Sign in to use this feature.

Years

Between: -

Subjects

remove_circle_outline
remove_circle_outline
remove_circle_outline
remove_circle_outline
remove_circle_outline

Journals

Article Types

Countries / Regions

Search Results (70)

Search Parameters:
Keywords = polymorphous adenocarcinoma

Order results
Result details
Results per page
Select all
Export citation of selected articles as:
19 pages, 4559 KB  
Article
Genetic Variants and Soluble Isoforms of PD-1/PD-L1 as Novel Biomarkers for Pancreatic Ductal Adenocarcinoma (PDAC) Susceptibility and Prognosis
by Marwa Hassan, Walaa H. El-Maadawy, Yasmine Elhusseny, Fatma Elbatol Agamy, Sally A. Fahim and Mahmoud Balata
Biomedicines 2025, 13(9), 2246; https://doi.org/10.3390/biomedicines13092246 - 12 Sep 2025
Cited by 1 | Viewed by 799
Abstract
Background: Pancreatic ductal adenocarcinoma (PDAC) is a highly aggressive neoplasm often diagnosed at advanced stages. Immune checkpoint molecules, particularly programmed cell death protein-1 (PD-1) and its ligand PD-L1, are pivotal in tumor immune evasion. Genetic polymorphisms in PD-1/PD-L1 and their soluble isoforms (sPD-1/sPD-L1) [...] Read more.
Background: Pancreatic ductal adenocarcinoma (PDAC) is a highly aggressive neoplasm often diagnosed at advanced stages. Immune checkpoint molecules, particularly programmed cell death protein-1 (PD-1) and its ligand PD-L1, are pivotal in tumor immune evasion. Genetic polymorphisms in PD-1/PD-L1 and their soluble isoforms (sPD-1/sPD-L1) may influence individual susceptibility to cancer and disease progression. Therefore, this study was conducted to examine the correlation between PD-1/PD-L1 gene polymorphisms, serum levels of sPD-1/sPD-L1, and their association with PDAC susceptibility, severity, and prognostication. Methods: This case–control study was performed with 150 PDAC patients and 150 controls. Clinical and laboratory data, including tumor markers (CA19-9 and CEA), were recorded. Allele-specific PCR was utilized to genotype PD-1 (rs6749527 and rs7421861) and PD-L1 (rs2297136, and rs4143815). sPD-1/sPD-L1 were quantified with ELISA. Mapping of the Kaplan–Meier survival curve of mutant genes was performed. Results: The rs7421861 AG and GG and rs4143815 GG genotypes, together with their G-alleles, were linked to increased PDAC risk and greater tumor burden. In contrast, the rs2297136 GG genotype and G-allele conferred protection against PDAC development. Serum sPD-L1 levels, rather than sPD-1, were markedly elevated in PDAC patients, progressively increased with tumor grade, and correlated with tumor markers. Also, higher PD-L1 gene expression was associated with lower overall survival. Conclusions: PD-1/PD-L1 genetic variants, particularly rs7421861 and rs4143815, along with sPD-L1 levels, correlate with PDAC susceptibility and disease severity. These findings endorse the prospects of integrating immune checkpoint genetic variants and soluble biomarkers for early identification, risk stratification, prognostication, and personalized therapeutic strategies in PDAC management. Full article
Show Figures

Figure 1

14 pages, 739 KB  
Systematic Review
Genetic Artificial Intelligence in Gastrointestinal Disease: A Systematic Review
by Kwang-Sig Lee and Eun Sun Kim
Diagnostics 2025, 15(17), 2227; https://doi.org/10.3390/diagnostics15172227 - 2 Sep 2025
Viewed by 823
Abstract
Background/Objectives: The application of predictive and explainable artificial intelligence to bioinformatics data such as single nucleotide polymorphism (SNP) information is attracting rising attention in the diagnosis of various diseases. However, there are few reviews available on the recent progress of genetic artificial [...] Read more.
Background/Objectives: The application of predictive and explainable artificial intelligence to bioinformatics data such as single nucleotide polymorphism (SNP) information is attracting rising attention in the diagnosis of various diseases. However, there are few reviews available on the recent progress of genetic artificial intelligence for the early diagnosis of gastrointestinal disease (GID). The purpose of this study is to complete a systematic review on the recent progress of genetic artificial intelligence in GID. Methods: The source of data was ten original studies from PubMed. The ten original studies were eligible according to the following criteria: (participants) the dependent variable of GID or associated disease; (interventions/comparisons) artificial intelligence; (outcomes) accuracy, the area under the curve (AUC), and/or variable importance; a publication year of 2010 or later; and the publication language of English. Results: The performance outcomes reported varied within 79–100 for accuracy (%) and 63–98 for the AUC (%). Random forest was the best approach (AUC 98%) for the classification of inflammatory bowel disease with 13 single nucleotide polymorphisms (SNPs). Similarly, random forest was the best method (R-square 99%) for the regression of the gut microbiome SNP saturation number. The following SNPs were discovered to be major variables for the prediction of GID or associated disease: rs2295778, rs13337626, rs2296188, rs2114039 (esophageal adenocarcinoma); rs28785174, rs60532570, rs13056955, rs7660164 (Crohn’s disease early intestinal resection); rs4945943 (Crohn’s disease); rs316115020, rs316420452 (calcium metabolism); rs738409_G, rs2642438_A, rs58542926_T, rs72613567_TA (steatotic liver disease); rs148710154, rs75146099 (esophageal squamous cell carcinoma). The following demographic and health-related variables were found to be important predictors of GID or associated disease besides SNPs: age, body mass index, disease behavior, immune cell type, intestinal microbiome, MARCKS protein, smoking, and SNP density/number. No deep learning study was found even though deep learning was used as a search term together with machine learning. Conclusions: Genetic artificial intelligence is effective and non-invasive as a decision support system for GID. Full article
Show Figures

Figure 1

19 pages, 969 KB  
Article
The Role of Single Nucleotide Polymorphisms at the Arg399Gln Locus of the XRCC1 Gene in Patients with Non-Small Cell Lung Cancer (NSCLC)
by Beata Smolarz, Bartosz Cieślik-Wolski, Józef Kozak, Honorata Łukasiewicz, Dariusz Samulak, Dariusz Trzmielak, Hanna Romanowicz and Marianna Makowska
Int. J. Mol. Sci. 2025, 26(13), 6540; https://doi.org/10.3390/ijms26136540 - 7 Jul 2025
Cited by 1 | Viewed by 969
Abstract
In recent years, an increasingly important role in the etiopathogenesis of lung cancer has been attributed to genetic predisposition. Current genetic research suggests that the increased risk of this cancer may be due to gene polymorphism within repair genes. In the case of [...] Read more.
In recent years, an increasingly important role in the etiopathogenesis of lung cancer has been attributed to genetic predisposition. Current genetic research suggests that the increased risk of this cancer may be due to gene polymorphism within repair genes. In the case of lung cancer, observations about genes involved in the DNA repair system by cutting bases of nitrogen—base excision repair (BER)—seem to be interesting. Most attention has been devoted to the XRCC1 gene, which coordinates the various stages of BER. The aim of this study was to assess the role of the single nucleotide polymorphism Arg399Gln in the XRCC1 gene as a factor influencing the risk of lung cancer. The study involved 118 patients with non-small cell lung cancer (NSCLC). The control group consisted of 60 people who did not have cancer. The study proved that the polymorphism of the XRCC1 gene is characterized by a statistically significant relationship with the onset of cancer. There were no statistically significant differences between the Arg399Gln polymorphism of the XRCC1 gene and risk factors for non-small cell lung cancer, such as age, sex, smoking and its duration, or place of residence, as well as between the histological type of the tumor or its severity. Detailed analysis of three genotypes—Arg/Arg, Arg/Gln, and Gln/Gln—showed that the incidence of particular genotypes in the group of patients was, respectively, 16.10%, 27.12%, and 58.78%. In the case of the Gln/Gln genotype, the most common associated histopathological type was squamous cell carcinoma, and in the case of adenocarcinoma, the most common genotype was Arg/Arg. It was estimated that each Arg allele reduced the chance of tumor occurrence to 0.48 times the reference value, i.e., the Gln/Gln genotype class for the Arg/Gln genotype and the Arg/Gln genotype for the Arg/Arg genotype. The relationship between the male sex and the occurrence of cancer remained insignificant, in contrast to the presence of nicotinism. Studies suggest that the Arg399Gln polymorphism of the XRCC1 gene has limited prognostic significance in non-small cell lung cancer. Full article
(This article belongs to the Section Molecular Oncology)
Show Figures

Figure 1

11 pages, 223 KB  
Article
Exploring the Role of SIRT1 Polymorphisms in Colorectal Cancer Risk: A Case–Control Study
by Justyna Klusek, Piotr Lewitowicz, Grażyna Nowak-Starz, Bartosz Witczak, Ruslan Oblap, Dorota Kozieł, Anna Nasierowska-Guttmejer, Jolanta Klusek, Artur Jóźwik, Tomasz Rogula, Kamila Kocańda and Stanisław Głuszek
J. Clin. Med. 2025, 14(11), 3912; https://doi.org/10.3390/jcm14113912 - 2 Jun 2025
Viewed by 756
Abstract
Background: Colorectal cancer (CRC), the most common malignancy of the gastrointestinal tract, is the second leading cause of cancer-related deaths worldwide. In this context, investigating low-penetrance gene variants associated with the increased risk of CRC represents a novel and crucial approach to enhancing [...] Read more.
Background: Colorectal cancer (CRC), the most common malignancy of the gastrointestinal tract, is the second leading cause of cancer-related deaths worldwide. In this context, investigating low-penetrance gene variants associated with the increased risk of CRC represents a novel and crucial approach to enhancing prevention strategies and clinical surveillance. By focusing on these genetic variants, there is potential for more accurate prediction of individual CRC risk, which could contribute to the refinement of current screening and prophylactic programs. The aim of this case–control study was to explore the association between SIRT1 polymorphisms and CRC risk. Methods: We analyzed three SNPs—rs12778366 (T/C), rs3758391 (C/T), and rs7895833 (A/G)—in the promoter region of the SIRT1 gene, which may influence SIRT1 expression and thus play a role in cancer development. Our study included 200 patients with colorectal adenocarcinoma and 115 controls. Genomic DNA was extracted from blood samples, and SIRT1 SNP analysis was performed using the qPCR method and endpoint genotyping. Results: Univariate regression analysis revealed a slightly increased risk of developing CRC in individuals with minor alleles of the analyzed polymorphisms; however, the observed differences were not statistically significant. Conclusions: Although our findings did not reveal statistically significant differences in SIRT1 gene polymorphism frequencies between the CRC group and the control group, we observed a tendency that suggests further investigation in larger cohorts is warranted. This research underscores the importance of understanding low-penetrance genetic factors in CRC, highlighting their potential to inform more personalized and effective prevention strategies. Full article
(This article belongs to the Section Oncology)
7 pages, 3306 KB  
Case Report
Exploring Oral Polymorphous Adenocarcinoma: Clinical Characteristics, Diagnosis, and Treatment Outcomes. A Case Report
by Christina Charisi, Vasileios Zisis, Petros Papadopoulos, Konstantinos Poulopoulos, Nikolaos Kyriakou and Athanasios Poulopoulos
Reports 2025, 8(2), 70; https://doi.org/10.3390/reports8020070 - 16 May 2025
Viewed by 985
Abstract
Background and clinical significance: Polymorphous adenocarcinoma of the oral cavity is predominantly located in the palate. It is characterized by a slow rate of growth and thus may be misdiagnosed as a benign tumor. Its histology is intricate with other salivary malignancies, [...] Read more.
Background and clinical significance: Polymorphous adenocarcinoma of the oral cavity is predominantly located in the palate. It is characterized by a slow rate of growth and thus may be misdiagnosed as a benign tumor. Its histology is intricate with other salivary malignancies, thus necessitating specific immunohistochemical stains. Our case report illustrates an adenocarcinoma localized in the palate of a 61-year-old female patient. Case presentation: The patient came to the postgraduate clinic of Oral Medicine and Pathology, Department of Oral Medicine and Pathology, School of Dentistry, Faculty of Health Sciences, Aristotle University of Thessaloniki, Greece and provided written informed consent for the subsequent examination. The patient complained about the presence of a mass on the palate, which was otherwise asymptomatic, without being able to pinpoint when the tumor initially emerged. The lesion was biopsied and the histology suggested the immunophenotype p63+/p40- which constitutes an important diagnostic clue for polymorphous adenocarcinoma. The patient was referred to the Department of Oral and Maxillofacial Surgery. Conclusions: The standard therapeutic approach primarily involves surgical excision. The goal is to achieve optimal patient outcome while minimizing unnecessary morbidity. As surgical techniques and understanding of the disease continue to advance, it is crucial for healthcare providers to stay informed and integrate these developments into practice to improve treatment outcomes for patients. Full article
(This article belongs to the Section Dentistry/Oral Medicine)
Show Figures

Figure 1

16 pages, 3092 KB  
Article
Potential Influence of ADAM9 Genetic Variants and Expression Levels on the EGFR Mutation Status and Disease Progression in Patients with Lung Adenocarcinoma
by Jer-Hwa Chang, Tsung-Ching Lai, Kuo-Hao Ho, Thomas Chang-Yao Tsao, Lun-Ching Chang, Shun-Fa Yang and Ming-Hsien Chien
Int. J. Mol. Sci. 2025, 26(10), 4606; https://doi.org/10.3390/ijms26104606 - 11 May 2025
Viewed by 1000
Abstract
Lung adenocarcinoma (LUAD) is driven by epidermal growth factor receptor (EGFR) mutations, making it a key therapeutic target. ADAM9, a member of the A disintegrin and metalloproteinase (ADAM) family, facilitates the release of growth factors and was implicated in activating the [...] Read more.
Lung adenocarcinoma (LUAD) is driven by epidermal growth factor receptor (EGFR) mutations, making it a key therapeutic target. ADAM9, a member of the A disintegrin and metalloproteinase (ADAM) family, facilitates the release of growth factors and was implicated in activating the EGFR-mediated progression in several cancer types. In this study, we explored potential associations among ADAM9 single-nucleotide polymorphisms (SNPs), the EGFR mutation status, and the clinicopathological progression of LUAD in a Taiwanese population. In total, 535 LUAD patients with various EGFR statuses were enrolled, and allelic distributions of ADAM9 SNPs—located in promoter and intron regions, including rs78451751 (T/C), rs6474526 (T/G), rs7006414 (T/C), and rs10105311 (C/T)—were analyzed using a TaqMan allelic discrimination assay. We found that LUAD patients with at least one polymorphic G allele in ADAM9 rs6474526 had a lower risk of developing EGFR mutations compared to those with the wild-type (WT) TT genotype. Furthermore, G-allele carriers (TG + GG) of rs6474526 were associated with an increased likelihood of developing larger tumors (T3 or T4), particularly among patients with mutant EGFR. Conversely, in patients with WT EGFR, carriers of the T allele in rs10105311 had a lower risk of progressing to advanced stages (stage III or IV). Among females or non-smokers, G-allele carriers of rs6474526 demonstrated a higher risk of advanced tumor stages and distant metastases. In clinical data from the Genotype-Tissue Expression (GTEx) database, individuals with the polymorphic T allele in rs6474526 showed reduced ADAM9 expression in lung and whole blood tissues. Screening the genotype of rs6474526 in a set of LUAD cell lines revealed that cells carrying at least one minor G allele exhibited higher ADAM9 levels compared to those with the TT genotype. Additionally, analyses using TCGA and CPTAC databases revealed elevated ADAM9 expression in LUAD specimens compared to normal tissues. Elevated protein levels were correlated with advanced T stages, pathological stages, and worse prognoses. In summary, our results suggest that ADAM9 genetic variants of rs6474526 may affect ADAM9 expression and are associated with the EGFR mutation status. Both rs6474526 and rs10105311 were correlated with disease progression in LUAD patients. These variants could serve as potential biomarkers for predicting clinical outcomes. Full article
(This article belongs to the Section Molecular Pathology, Diagnostics, and Therapeutics)
Show Figures

Figure 1

16 pages, 2409 KB  
Article
Decoding Resistin Gene Polymorphisms: Implications for Lung Cancer Risk and Clinical Outcomes of Platinum-Based Chemotherapy
by Weijing Gong, Dandan Huang, Tao Zhou, Xinxin Zhu, Yifei Huang, Yongning Lv, Yu Zhang, Zhaoqian Liu, Fang Zeng and Sanlan Wu
Biomedicines 2025, 13(2), 291; https://doi.org/10.3390/biomedicines13020291 - 24 Jan 2025
Viewed by 1319
Abstract
Background: Resistin (RETN), an inflammatory cytokine exhibiting multifaceted roles in cancer progression, has emerged as a plausible mediator between inflammation and oncogenesis. Prior research from our group has highlighted the pivotal role of resistin in carcinogenesis and its impact on drug responsiveness. [...] Read more.
Background: Resistin (RETN), an inflammatory cytokine exhibiting multifaceted roles in cancer progression, has emerged as a plausible mediator between inflammation and oncogenesis. Prior research from our group has highlighted the pivotal role of resistin in carcinogenesis and its impact on drug responsiveness. The present study delves into the relationship between resistin expression and genetic polymorphisms with cancer risk and clinical outcomes among lung cancer patients undergoing platinum-based chemotherapy. Methods: Immunohistochemical analysis was conducted to assess resistin expression levels in 104 tumor tissues derived from lung adenocarcinoma patients. Additionally, 498 lung cancer patients and 213 healthy controls were recruited for this study, with 467 patients undergoing at least two cycles of platinum-based chemotherapy. Unconditional logistical regression analysis was employed to evaluate the associations between RETN polymorphisms and lung cancer risk, as well as clinical outcomes. Genotyping of RETN polymorphisms (rs1862513 and rs3745367) was performed using the Sequenom MassARRAY System. Results: The findings revealed a positive correlation between resistin expression in tumor tissues and metastasis (particularly distant metastasis) and overall survival in lung adenocarcinoma. However, RETN polymorphisms were not significantly associated with overall survival in lung cancer patients. No substantial association was observed between RETN polymorphisms and lung cancer risk, chemotherapy response, or toxicities, except for rs1862513, which showed a link with severe gastrointestinal toxicity. Meta-analysis results further confirmed the absence of a significant association between RETN polymorphisms and cancer risk. Conclusions: Despite the pivotal role of resistin in carcinogenesis, only the RETN rs1862513 polymorphism emerges as a potential biomarker for gastrointestinal toxicity in lung cancer patients undergoing platinum-based chemotherapy. However, these findings necessitate validation through well-designed studies with larger sample sizes. Full article
Show Figures

Figure 1

30 pages, 1775 KB  
Systematic Review
The Immunoexpression and Prognostic Significance of Stem Cell Markers in Malignant Salivary Gland Tumors: A Systematic Review and Meta-Analysis
by Eleni-Marina Kalogirou, Athina Tosiou, Stavros Vrachnos, Vasileios L. Zogopoulos, Ioannis Michalopoulos, Theodora Tzanavari and Konstantinos I. Tosios
Genes 2025, 16(1), 37; https://doi.org/10.3390/genes16010037 - 29 Dec 2024
Viewed by 1767
Abstract
Background/Objectives: Salivary gland carcinomas encompass a broad group of malignant lesions characterized by varied prognoses. Stem cells have been associated with the potential for self-renewal and differentiation to various subpopulations, resulting in histopathological variability and diverse biological behavior, features that characterize salivary gland [...] Read more.
Background/Objectives: Salivary gland carcinomas encompass a broad group of malignant lesions characterized by varied prognoses. Stem cells have been associated with the potential for self-renewal and differentiation to various subpopulations, resulting in histopathological variability and diverse biological behavior, features that characterize salivary gland carcinomas. This study aims to provide a thorough systematic review of immunohistochemical studies regarding the expression and prognostic significance of stem cell markers between different malignant salivary gland tumors (MSGTs). Methods: The English literature was searched via the databases MEDLINE/PubMed, EMBASE via OVID, Web of Science, Scopus, and CINHAL via EBSCO. The Joanna Briggs Institute Critical Appraisal Tool was used for risk of bias (RoB) assessment. Meta-analysis was conducted for markers evaluated in the same pair of diseases in at least two studies. Results: Fifty-four studies reported the expression of stem cell markers, e.g., c-KIT, CD44, CD133, CD24, ALDH1, BMI1, SOX2, OCT4, and NANOG, in various MSGTs. Low, moderate, and high RoB was observed in twenty-five, eleven, and eighteen studies, respectively. Meta-analysis revealed an outstanding discriminative ability of c-KIT for adenoid cystic carcinoma (AdCC) over polymorphous adenocarcinoma [P(LG)A] but did not confirm the prognostic significance of stem cell markers in MSGTs. Conclusions: This study indicated a possible link between stem cells and the histopathological heterogeneity and diverse biological behavior that characterize the MSGTs. c-KIT might be of diagnostic value in discriminating between AdCC and P(LG)A. Full article
(This article belongs to the Section Human Genomics and Genetic Diseases)
Show Figures

Figure 1

12 pages, 1417 KB  
Article
The Immune Modulation HLA-G*01:01:01 Full Allele Is Associated with Gastric Adenocarcinoma Development
by Fabio Suarez-Trujillo, Ignacio Juarez, Christian Vaquero-Yuste, Alberto Gutierrez-Calvo, Adela Lopez-García, Inmaculada Lasa, Remedios Gomez, José Manuel Martin-Villa and Antonio Arnaiz-Villena
Int. J. Mol. Sci. 2024, 25(19), 10645; https://doi.org/10.3390/ijms251910645 - 3 Oct 2024
Cited by 3 | Viewed by 1637
Abstract
The Human Leukocyte Antigen (HLA) system contains a set of genes involved at many levels in the innate and adaptive immune response. Among the non-classical HLA class I genes, HLA-G stands out for the numerous studies about its pivotal role in regulating/modulating immune [...] Read more.
The Human Leukocyte Antigen (HLA) system contains a set of genes involved at many levels in the innate and adaptive immune response. Among the non-classical HLA class I genes, HLA-G stands out for the numerous studies about its pivotal role in regulating/modulating immune responses. Also, its involvement in extravillous cytotrophoblast function, viral infections, autoimmunity, and cancer has been extensively documented. The present study explores for the first time the relationship between natural alleles of HLA-G, rather than STSs, SNPs, or partial gene polymorphisms, and the development of gastric adenocarcinoma, by analyzing the genetic profile of a cohort of 40 Spanish patients with this type of tumor using DNA extracted from paired biopsies of tumoral and adjacent non-tumoral gastric tissue. Our results reveal a significant statistical relationship between the presence of the HLA-G*01:01:01 allele and the development of gastric cancer, while other common alleles such as -G*01:04 or -G*01:05N did not demonstrate a significant correlation. Studying the involvement of HLA genes in the development of many diseases is relevant to understanding their pathophysiology. However, the absence of specific mechanisms underlying these associations suggests that investigating complete HLA natural alleles’ extended haplotypes or complotypes may offer a more precise and valuable approach to elucidating the association of HLA with the pathogenesis of disease. Full article
(This article belongs to the Special Issue Molecular Genetics of Human Leucocyte Antigen in Diseases)
Show Figures

Figure 1

16 pages, 1648 KB  
Article
Germline Polymorphisms Associated with Overall Survival in Lung Adenocarcinoma: Genome-Wide Analysis
by Francesca Minnai, Sara Noci, Martina Esposito, Marc A. Schneider, Sonja Kobinger, Martin Eichhorn, Hauke Winter, Hans Hoffmann, Mark Kriegsmann, Matteo A. Incarbone, Giovanni Mattioni, Davide Tosi, Thomas Muley, Tommaso A. Dragani and Francesca Colombo
Cancers 2024, 16(19), 3264; https://doi.org/10.3390/cancers16193264 - 25 Sep 2024
Cited by 2 | Viewed by 1555
Abstract
Background/Objectives: Lung cancer remains a global health concern, with substantial variation in patient survival. Despite advances in detection and treatment, the genetic basis for the divergent outcomes is not understood. We investigated germline polymorphisms that modulate overall survival in 1464 surgically resected lung [...] Read more.
Background/Objectives: Lung cancer remains a global health concern, with substantial variation in patient survival. Despite advances in detection and treatment, the genetic basis for the divergent outcomes is not understood. We investigated germline polymorphisms that modulate overall survival in 1464 surgically resected lung adenocarcinoma patients. Methods: A multivariable Cox proportional hazard model was used to assess the association of more than seven million polymorphisms with overall survival at the 60-month follow-up, considering age, sex, pathological stage, decade of surgery and principal components as covariates. Genes in which variants were identified were studied in silico to investigate functional roles. Results: Six germline variants passed the genome-wide significance threshold. These single nucleotide polymorphisms were mapped to non-coding (intronic) regions on chromosomes 2, 3, and 5. The minor alleles of rs13000315, rs151212827, and rs190923216 (chr. 2, 3 and 5, respectively) were found to be independent negative prognostic factors. All six variants have been reported to regulate the expression of nine genes, seven of which are protein-coding, in different tissues. Survival-associated variants on chromosomes 2 and 3 were already reported to regulate the expression of NT5DC2 and NAGK, with high expression associated with the minor alleles. High NT5DC2 and NAGK expression in lung adenocarcinoma tissue was already shown to correlate with poor overall survival. Conclusions: This study highlights a potential regulatory role of the identified polymorphisms in influencing outcome and suggests a mechanistic link between these variants, gene expression regulation, and lung adenocarcinoma prognosis. Validation and functional studies are warranted to elucidate the mechanisms underlying these associations. Full article
(This article belongs to the Section Cancer Pathophysiology)
Show Figures

Figure 1

12 pages, 698 KB  
Review
Concomitance of Pericardial Tamponade and Pulmonary Embolism in an Invasive Mucinous Lung Adenocarcinoma with Atypical Presentation: Diagnostic and Therapeutic Pitfalls—Case Report and Literature Review
by Nicoleta Sorina Bertici, Cristina Tudoran, Razvan Adrian Bertici, Ovidiu Fira-Mladinescu, Dragos Catalin Jianu, Caius Glad Streian, Raluca Elisabeta Staicu, Andrei Raul Manzur and Ana Lascu
Int. J. Mol. Sci. 2024, 25(15), 8413; https://doi.org/10.3390/ijms25158413 - 1 Aug 2024
Cited by 2 | Viewed by 1959
Abstract
The invasive mucinous adenocarcinoma of the lungs (LIMA) is an uncommon histological subtype of the mucinous adenocarcinoma. In this article, we present the case of a patient with a very high cardiovascular risk profile, diagnosed with LIMA, pericardial tamponade due to secondary dissemination, [...] Read more.
The invasive mucinous adenocarcinoma of the lungs (LIMA) is an uncommon histological subtype of the mucinous adenocarcinoma. In this article, we present the case of a patient with a very high cardiovascular risk profile, diagnosed with LIMA, pericardial tamponade due to secondary dissemination, and pulmonary embolism, whose management rouses many challenges. Despite receiving the correct anticoagulant and antiaggregant therapy, our patient developed repeated acute major cardiovascular events leading to a fatal outcome. To gather additional information on LIMA and the above cluster of pathologies, we performed the first research of the international medical literature for scientific articles published in the last eight years on PubMed, ResearchGate, Clarivate, and Google Scholar. As the first literature research failed to identify any case similar to our patient, we performed a second study of the same databases for subjects with lung adenocarcinoma instead of LIMA and the same comorbidities, and we found 10 cases. LIMA is a less frequent type of adenocarcinoma, with polymorphic radiologic appearances on the chest computed tomography, frequently mimicking pneumonia, and thus delaying the diagnosis and therapy. It has a worse prognosis and higher mortality than the common adenocarcinoma, but information on its secondary dissemination and complications is still required. Full article
Show Figures

Figure 1

8 pages, 2922 KB  
Perspective
Detection of Oncogene Hotspot Mutations in Female NSCLC Tumor DNA and Cell-Free DNA
by Ieva Drejeriene, Saulius Cicenas, Diana Stanciute, Arnoldas Krasauskas and Jurate Gruode
Cancers 2024, 16(9), 1770; https://doi.org/10.3390/cancers16091770 - 3 May 2024
Viewed by 1836
Abstract
Non-small-cell lung cancer (NSCLC) is the most prevalent type of lung cancer, with extensively characterized mutational spectra. Several biomarkers (such as EGFR, BRAF, KRAS gene mutations, etc.) have emerged as predictive and prognostic markers for NSCLC. Unfortunately, the quality of the [...] Read more.
Non-small-cell lung cancer (NSCLC) is the most prevalent type of lung cancer, with extensively characterized mutational spectra. Several biomarkers (such as EGFR, BRAF, KRAS gene mutations, etc.) have emerged as predictive and prognostic markers for NSCLC. Unfortunately, the quality of the available tumor biopsy and/or cytology material is not always adequate to perform the necessary molecular testing, prompting the search for alternatives. Cell-free DNA (cfDNA) found in plasma is emerging as a highly promising avenue or a supplementary method for assessing the efficacy of cancer treatments. This is especially valuable in instances where conventional biopsy specimens, like formalin-fixed, paraffin-embedded (FFPE), or freshly frozen tumor tissues prove inadequate for conducting molecular pathology analyses subsequent to the initial diagnostic procedures. By leveraging cfDNA from plasma, clinicians gain an additional tool to gauge the effectiveness of cancer therapies, thereby enhancing their ability to optimize tailored treatment strategies. In this study, 51 Lithuanian females with NSCLC were analyzed, with adenocarcinoma being the predominant pathology diagnosis in 40 cases (78%). Target mutations were identified in 38 out of 51 patients (74.5%) in tumor tissue samples, while in plasma samples, they were identified in only 10 patients’ samples (19.6%). Even though we did not have enough voluminous plasma samples in our study, gene mutations were detected in plasma from ten women, three of whom were diagnosed with early stages of lung cancer (stages I and II). For these patients, the following mutations were detected: deletion in exon 19 of the EGFR gene and single nucleotide polymorphisms in the TP53 and MET genes. All other women were diagnosed with stages III or IV of lung cancer. This indicates that the later stages of cancer contribute more cfDNA in plasma, making extraction less complicated. Full article
(This article belongs to the Section Cancer Biomarkers)
Show Figures

Figure 1

16 pages, 2831 KB  
Article
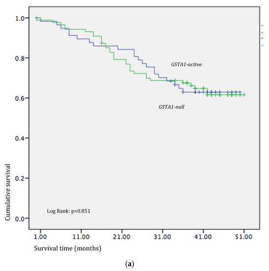
GSTM1 and GSTP1 Polymorphisms Affect Outcome in Colorectal Adenocarcinoma
by Milica Stojkovic Lalosevic, Vesna Coric, Tatjana Pekmezovic, Tatjana Simic, Aleksandra Pavlovic Markovic and Marija Pljesa Ercegovac
Medicina 2024, 60(4), 553; https://doi.org/10.3390/medicina60040553 - 28 Mar 2024
Cited by 3 | Viewed by 2372
Abstract
Background and Objectives: Despite improvements in screening programs, a large number of patients with colorectal cancer (CRC) are diagnosed in an advanced disease stage. Previous investigations imply that glutathione transferases (GSTs) might be associated with the development and progression of CRC. Moreover, [...] Read more.
Background and Objectives: Despite improvements in screening programs, a large number of patients with colorectal cancer (CRC) are diagnosed in an advanced disease stage. Previous investigations imply that glutathione transferases (GSTs) might be associated with the development and progression of CRC. Moreover, the detoxification mechanism of oxaliplatin, which represents the first line of treatment for advanced CRC, is mediated via certain GSTs. The aim of this study was to evaluate the significance of certain GST genetic variants on CRC prognosis and the efficacy of oxaliplatin-based treatment. Materials and Methods: This prospective study included 523 patients diagnosed with CRC in the period between 2014 and 2016, at the Digestive Surgery Clinic, University Clinical Center of Serbia, Belgrade. Patients were followed for a median of 43.47 ± 17.01 months (minimum 1–63 months). Additionally, 109 patients with advanced disease, after surgical treatment, received FOLFOX6 treatment as a first-line therapy between 2014 and 2020. The KaplanMeier method was used to analyze cumulative survival, and the Cox proportional hazard regression model was used to study the effects of different GST genotypes on overall survival. Results: Individuals with the GSTM1-null genotype and the GSTP1 IleVal+ValVal (variant) genotype had significantly shorter survival when compared to referent genotypes (GSTM1-active and GSTP1 IleIle) (log-rank: p = 0.001). Moreover, individuals with the GSTM1-null genotype who received 5-FU-based treatment had statistically significantly shorter survival when compared to individuals with the GSTM1-active genotype (log-rank: p = 0.05). Conclusions: Both GSTM1-null and GSTP1 IleVal+ValVal (variant) genotypes are associated with significantly shorter survival in CRC patients. What is more, the GSTM1-null genotype is associated with shorter survival in patients receiving FOLOFOX6 treatment. Full article
Show Figures

Figure 1

11 pages, 273 KB  
Article
NOS2 Polymorphism in Aspect of Left and Right-Sided Colorectal Cancer
by Justyna Klusek, Piotr Lewitowicz, Ruslan Oblap, Ewa Orlewska, Bartosz Witczak, Michał Tomasz Marzec, Monika Kozłowska-Geller, Łukasz Nawacki, Monika Wawszczak-Kasza, Kamila Kocańda, Artur Jóźwik and Stanisław Głuszek
J. Clin. Med. 2024, 13(4), 937; https://doi.org/10.3390/jcm13040937 - 6 Feb 2024
Cited by 3 | Viewed by 1976
Abstract
Background: The NOS2 gene polymorphism rs2297518 is associated with an increased level of NO, which could contribute to colorectal cancer (CRC) development. We hypothesized that the potential influence of the NOS2 gene polymorphism on cancer development may vary between right-sided and left-sided [...] Read more.
Background: The NOS2 gene polymorphism rs2297518 is associated with an increased level of NO, which could contribute to colorectal cancer (CRC) development. We hypothesized that the potential influence of the NOS2 gene polymorphism on cancer development may vary between right-sided and left-sided colon cancers, and rectal cancers. The aim of this study was to determine the rs2297518 polymorphism influence on colorectal cancer development with regard to tumor localization. Methods: This case–control study included 199 patients with CRC and 120 controls. The qPCR endpoint genotyping was conducted using the TaqMan® genotyping assay. Results: This study revealed significant differences in tumor characteristic and in the minor alelle A frequency in the NOS2 genotype between colorectal cancers with different localizations. The mucinous adenocarcinoma was diagnosed significantly more often in right-sided cancers than in left-sided (30.6% vs. 10.9%, p = 0.009) and rectal cancers (30.6% vs. 7.1%, p = 0.0003). The minor allele A of the NOS2 genotype was observed more frequently in right-sided cancers than in left-sided cancers (44.9% vs. 23.1%, p = 0.0137) and more frequently in rectal cancers than in left-sided cancers (40.0% vs. 23.1%, p = 0.0285). Conclusions: In conclusion, the results support the hypothesis that the SNP rs2297518 of the NOS2 gene influences colorectal cancer development with regard to tumor localization. Full article
(This article belongs to the Section Oncology)
31 pages, 1334 KB  
Article
Genetic Impact of HOTAIR, LINC00951, POLR2E and HULC Polymorphisms in Histopathological and Laboratory Prognostic Factors in Esophageal Cancer in the West: A Case-Control Study
by Efstratia Baili, Maria Gazouli, Andreas C. Lazaris, Prodromos Kanavidis, Maria Boura, Adamantios Michalinos, Alexandros Charalabopoulos, Theodore Liakakos and Andreas Alexandrou
Cancers 2024, 16(3), 537; https://doi.org/10.3390/cancers16030537 - 26 Jan 2024
Cited by 3 | Viewed by 2257
Abstract
Long non-coding RNAs’ HOTAIR rs920778, LINC00951 rs11752942, POLR2E rs3787016, and HULC rs7763881 are progressively reported having a close genetic affinity with esophageal carcinogenesis in the East. Nonetheless, their correlation with variables already endorsed as significant prognostic factors in terms of staging, guiding treatment [...] Read more.
Long non-coding RNAs’ HOTAIR rs920778, LINC00951 rs11752942, POLR2E rs3787016, and HULC rs7763881 are progressively reported having a close genetic affinity with esophageal carcinogenesis in the East. Nonetheless, their correlation with variables already endorsed as significant prognostic factors in terms of staging, guiding treatment and predicting recurrence, metastasis, and survival have yet to be explored. Herein, we investigated their prognostic value by correlating them with clinicopathological and laboratory prognostic markers in esophageal cancer in the West. Formalin-fixed paraffin-embedded tissue specimens from 95 consecutive patients operated on for esophageal cancer between 2014 and 2018 were compared with 121 healthy community controls. HULC was not detected differently in any of the cancer prognostic subgroups. LINC00951 was underrepresented in Ca19.9 elevated subgroup. HOTAIR was more frequent in both worse differentiation grade and positive Signet-Ring-Cell and Ca19.9 subgroups. POLR2E was identified less frequently in Adenocarcinoma, Signet-Ring-Cell, and Diffuse histologies, as well as in Perineural, Lymphovascular, and Perivascular Invasion positive, while it was overrepresented in CEA positive subgroup. These lncRNAs polymorphisms may hold great potential not only as future therapeutic agents but also as novel markers for predictive analysis of esophageal cancer risk, clinical outcome, and survival. Clinical implications of these findings need to be validated with prospective larger sample-size studies. Full article
Show Figures

Figure 1

Back to TopTop