Sign in to use this feature.

Years

Between: -

Subjects

remove_circle_outline
remove_circle_outline
remove_circle_outline
remove_circle_outline
remove_circle_outline
remove_circle_outline
remove_circle_outline
remove_circle_outline
remove_circle_outline

Journals

Article Types

Countries / Regions

Search Results (72)

Search Parameters:
Keywords = pipe-to-soil potential

Order results
Result details
Results per page
Select all
Export citation of selected articles as:
18 pages, 3181 KB  
Article
Effect of Matrix Properties and Pipe Characteristics on Internal Erosion in Unsaturated Clayey Sand Slope
by Olaniyi Afolayan, Anna Lancaster and Jack Montgomery
Geosciences 2025, 15(10), 405; https://doi.org/10.3390/geosciences15100405 - 17 Oct 2025
Viewed by 315
Abstract
Soil piping is the process by which subsurface water creates and enlarges channels, or “pipes,” within soil, enabling rapid and preferential flow beneath the surface. The collapse of these eroded pipes can lead to land degradation, gully formation, and potential damage to overlying [...] Read more.
Soil piping is the process by which subsurface water creates and enlarges channels, or “pipes,” within soil, enabling rapid and preferential flow beneath the surface. The collapse of these eroded pipes can lead to land degradation, gully formation, and potential damage to overlying infrastructure. While the structural consequences of pipe collapse are well recognized, there is limited understanding of the factors controlling pipe collapse and how water within the pipe influences moisture levels within a slope. This study used physical models of unsaturated slopes to examine how compaction conditions, pipe characteristics, and hydraulic conditions affect the progression of internal erosion. Models were created with different initial pipe sizes, moisture contents, densities at compaction and levels of pipe connectivity. Volumetric water content (VWC) sensors and cameras were used to monitor the slope response to subsurface flow, and measurements of pipe geometry were collected after the tests. Results showed that lower initial soil water content was more susceptible to pipe collapse, while higher water content showed improved pipe stability and sustained preferential flow. Fully connected pipes grew through erosion due to the pipe flow, while disconnected pipes grew mainly through local pipe collapse. Hydraulic equilibrium and soil erodibility affected the final pipe morphology more than the initial pipe size. These experimental results demonstrate that soil fabric and hydraulic connectivity of the pipe control the progression of piping, likelihood of collapse, and movement of water within the soil matrix. Full article
Show Figures

Figure 1

28 pages, 3682 KB  
Article
Development of an Integrated 3D Simulation Model for Metro-Induced Ground Vibrations
by Omrane Abdallah, Mohammed Hussein and Jamil Renno
Infrastructures 2025, 10(9), 253; https://doi.org/10.3390/infrastructures10090253 - 21 Sep 2025
Viewed by 465
Abstract
This paper introduces a novel 3D simulation framework that integrates the Pipe-in-Pipe (PiP) model with Finite Element Analysis (FEA) using Ansys Parametric Design Language (APDL). This framework is designed to incorporate a 3D building model directly, assessing ground-borne vibrations from metro tunnels and [...] Read more.
This paper introduces a novel 3D simulation framework that integrates the Pipe-in-Pipe (PiP) model with Finite Element Analysis (FEA) using Ansys Parametric Design Language (APDL). This framework is designed to incorporate a 3D building model directly, assessing ground-borne vibrations from metro tunnels and their impact on surrounding structures. The PiP model efficiently calculates displacement fields around tunnels in full-space, applying the resulting fictitious forces to the FEA model, which includes a directly coupled 3D building model. This integration allows for precise simulation of vibration propagation through soil into buildings. A comprehensive verification test confirmed the model’s accuracy and reliability, demonstrating that the hybrid PiP-FEA model achieves significant computational savings-approximately 40% in time and 65% in memory usage-compared to the traditional full 3D FEA model. The results exhibit strong agreement between the PiP-FEA and full FEA models across a frequency range of 1–250 Hz, with less than 1% deviation, highlighting the effectiveness of the PiP-FEA approach in capturing the dynamic behavior of ground-borne vibrations. Additionally, the methodology developed in this paper extends beyond the specific case study presented and shows potential for application to various urban vibration scenarios. While the current validation is limited to numerical comparisons, future work will incorporate field data to further support the framework’s applicability under real metro-induced vibration conditions. Full article
(This article belongs to the Section Infrastructures and Structural Engineering)
Show Figures

Figure 1

25 pages, 7171 KB  
Article
CFD–DEM Analysis of Internal Soil Erosion Induced by Infiltration into Defective Buried Pipes
by Jun Xu, Fei Wang and Bryce Vaughan
Geosciences 2025, 15(7), 253; https://doi.org/10.3390/geosciences15070253 - 3 Jul 2025
Viewed by 924
Abstract
Internal soil erosion caused by water infiltration around defective buried pipes poses a significant threat to the long-term stability of underground infrastructures such as pipelines and highway culverts. This study employs a coupled computational fluid dynamics–discrete element method (CFD–DEM) framework to simulate the [...] Read more.
Internal soil erosion caused by water infiltration around defective buried pipes poses a significant threat to the long-term stability of underground infrastructures such as pipelines and highway culverts. This study employs a coupled computational fluid dynamics–discrete element method (CFD–DEM) framework to simulate the detachment, transport, and redistribution of soil particles under varying infiltration pressures and pipe defect geometries. Using ANSYS Fluent (CFD) and Rocky (DEM), the simulation resolves both the fluid flow field and granular particle dynamics, capturing erosion cavity formation, void evolution, and soil particle transport in three dimensions. The results reveal that increased infiltration pressure and defect size in the buried pipe significantly accelerate the process of erosion and sinkhole formation, leading to potentially unstable subsurface conditions. Visualization of particle migration, sinkhole development, and soil velocity distributions provides insight into the mechanisms driving localized failure. The findings highlight the importance of considering fluid–particle interactions and defect characteristics in the design and maintenance of buried structures, offering a predictive basis for assessing erosion risk and infrastructure vulnerability. Full article
Show Figures

Figure 1

16 pages, 5503 KB  
Article
Bending Stress and Deformation Characteristics of Gas Pipelines in Mountainous Terrain Under the Influence of Subsidence
by Guozhen Zhao, Jiadong Li and Haoyan Liang
Energies 2025, 18(13), 3323; https://doi.org/10.3390/en18133323 - 24 Jun 2025
Viewed by 586
Abstract
Aiming at the problem that the surface subsidence caused by coal mining in mountainous areas will pose a potential threat to the safe operation of gas pipelines in goaf subsidence areas, taking the geological conditions of Mugua Coal Mine in Shanxi Province as [...] Read more.
Aiming at the problem that the surface subsidence caused by coal mining in mountainous areas will pose a potential threat to the safe operation of gas pipelines in goaf subsidence areas, taking the geological conditions of Mugua Coal Mine in Shanxi Province as the research background, through the combination of similar simulation and finite element simulation, the deformation and stress characteristics of gas pipelines affected by subsidence in mountainous terrain are analyzed, and the failure law of gas pipelines in different terrains of the coal mining area is revealed. The results demonstrate that topographic stress convergence creates a maximum compression zone at the valley base of the central subsidence basin, causing significant pipeline depression. Hillslope areas primarily experience tension from soil slippage, while slope–valley transition zones exhibit a high-risk shear–tension coupling. Analysis via the pipe–soil interaction model reveals concentrated mid-subsidence pipeline stresses with subsequent relaxation through redistribution. Accordingly, the following zoned protection strategy is proposed: enhanced compression monitoring in valley segments, tensile reinforcement for slope sections, and prioritized shear prevention in transition zones. The research provides a theoretical basis for the safe operation and maintenance of gas pipeline networks in mountainous areas. Full article
Show Figures

Figure 1

26 pages, 32134 KB  
Article
Analysis of the Mechanical Response Characteristics of a Suction Pile Wellhead Pre-Tilted Conductor for Gas Hydrate Pilot Production
by Xing Fang, Zhong Li and Yufa He
Processes 2025, 13(6), 1867; https://doi.org/10.3390/pr13061867 - 13 Jun 2025
Viewed by 519
Abstract
The use of suction pile wellheads with pre-tilted conductors is expected to help overcome the challenge of high tilting difficulty in offshore gas hydrate extraction. However, structural design and safety control technologies still lack theoretical guidance. In this study, based on Novak’s plane-strain [...] Read more.
The use of suction pile wellheads with pre-tilted conductors is expected to help overcome the challenge of high tilting difficulty in offshore gas hydrate extraction. However, structural design and safety control technologies still lack theoretical guidance. In this study, based on Novak’s plane-strain assumption, the potential effects of the pre-tilted conductor on the pipe–soil interaction were considered, along with the influence of working loads and conductor structural parameters. A dynamic vibration model was established to describe the interaction between the suction pile wellhead’s pre-tilted conductor and the surrounding soil, and an analytical expression for the impedance at the conductor’s bottom was derived. Subsequently, parameter analysis was performed using a Python-based computational program (version 3.12.5) to investigate the mechanical response characteristics of the conductor under varying conductor sizes, total lengths, pre-tilted angles, external load magnitudes, and frequency. The results showed that increasing the conductor outer diameter from 32’ to 40’ significantly reduced end displacement by up to 91.24% and bending moments by 30.22%, while shear load decreased by 31.45%, providing important insights for the design of pre-tilted conductors in gas hydrate pilot production. The findings provide theoretical support for the optimal design and safety control technologies of suction pile wellhead pre-tilted conductors. Full article
Show Figures

Figure 1

20 pages, 2243 KB  
Review
Prospects of Improving the Vibroacoustic Method for Locating Buried Non-Metallic Pipelines
by Vladimir Pshenin, Alexander Sleptsov and Leonid Dukhnevich
Eng 2025, 6(6), 121; https://doi.org/10.3390/eng6060121 - 2 Jun 2025
Cited by 3 | Viewed by 1679
Abstract
Acoustic methods are a promising direction when determining the position of buried non-metallic pipelines. Under difficult soil conditions, one of the most effective methods is the vibroacoustic method, which has a maximum range of application when acoustic waves propagate through the transported medium. [...] Read more.
Acoustic methods are a promising direction when determining the position of buried non-metallic pipelines. Under difficult soil conditions, one of the most effective methods is the vibroacoustic method, which has a maximum range of application when acoustic waves propagate through the transported medium. However, due to limited energy input into the pipeline, signal detection at significant distances from the source becomes challenging. This article considers the mechanism of acoustic oscillations attenuation in pipes and suggests possible directions for optimization of the investigated technology. The evaluation of mathematical modeling methods for the investigated process is conducted, and the key signal attenuation relationships are presented. The analysis allowed us to establish that the vibroacoustic method has the potential of increasing the efficiency by approximately 10–20%. Full article
(This article belongs to the Special Issue Interdisciplinary Insights in Engineering Research)
Show Figures

Figure 1

21 pages, 2034 KB  
Article
Stabilization of Sandy Soil Against Internal Erosion Using Fly Ash with Alkali-Activated Binder
by Mohammad Almasaeid, Mousa Attom, Magdi El-Emam and Mohamad G. Arab
Water 2025, 17(10), 1552; https://doi.org/10.3390/w17101552 - 21 May 2025
Cited by 1 | Viewed by 2786
Abstract
Seepage forces due to the flow of water inside embankment hydraulic structures, such as dams or levees, result in internal erosion or piping. This will result in a reduction in soil strength, causing the failure of hydraulic structures. Stabilization of the soil is [...] Read more.
Seepage forces due to the flow of water inside embankment hydraulic structures, such as dams or levees, result in internal erosion or piping. This will result in a reduction in soil strength, causing the failure of hydraulic structures. Stabilization of the soil is one of the most effective approaches to avoid such catastrophic failure and prevent significant loss of life and property. The objective of this research is to stabilize sandy soil against internal erosion using fly ash (FA) alone and fly ash mixed with alkali-activated binder (NaOH). Although fly ash is commonly used for clay soil, its reactivity with alkali activators like NaOH makes it a potential candidate for stabilizing non-cohesive sandy soils when combined with alkaline solutions. A well-graded sandy soil was selected and mixed with fly ash alone and fly ash with sodium hydroxide at different percentages. Compaction curves were determined for each percentage, and specimens from the mix were remolded at 98% relative compaction and optimum moisture content corresponding to the compaction curve value. The hole erosion test (HET) was employed to evaluate internal erosion parameters. During the hole erosion test, seepage conditions were simulated by applying a controlled water flow through remolded specimens to replicate erosion caused by internal seepage forces. Additionally, the internal erosion parameters were evaluated at different curing times (2 days, 7 days, and 28 days were selected to capture short-term, intermediate, and long-term effects of chemical reactions on soil stabilization). Parameters such as the friction factor, coefficient of soil erosion, and critical shear stress were obtained, and the erosion rate index (IHET) was determined. It was found that using FA–NaOH significantly reduced internal erosion and increased the erosion rate index and the critical shear of the soil. The addition of 10% fly ash mixed with activated-alkali binder at 7 days curing time stabilized the soil against erosion. At this percentage, the erosion rate index equal to 5.3 and soil was categorized as: “very slow erosion”. However, mixing the sand with fly ash alone has a small or insignificant effect on the internal erosion of the soil, especially at higher percentages of fly ash. The optimum percentage of fly ash alone to improve the soil resistance to internal erosion was found to be 5% at 28 days of curing time where the soil rated as “moderately slow”. Full article
(This article belongs to the Special Issue Soil Erosion and Sedimentation by Water)
Show Figures

Figure 1

17 pages, 4187 KB  
Article
Optimization of Subsurface Drainage Parameters in Saline–Alkali Soils to Improve Salt Leaching Efficiency in Farmland in Southern Xinjiang
by Han Guo, Guangning Wang, Zhenliang Song, Pengfei Xu, Xia Li and Liang Ma
Agronomy 2025, 15(5), 1222; https://doi.org/10.3390/agronomy15051222 - 17 May 2025
Cited by 1 | Viewed by 1042
Abstract
In arid regions, soil salinization and inefficient water use are major challenges to sustainable agricultural development. Optimizing subsurface drainage system layouts is critical for improving saline soil reclamation efficiency. This study conducted field experiments from 2023 to 2024 to evaluate the effects of [...] Read more.
In arid regions, soil salinization and inefficient water use are major challenges to sustainable agricultural development. Optimizing subsurface drainage system layouts is critical for improving saline soil reclamation efficiency. This study conducted field experiments from 2023 to 2024 to evaluate the effects of varying subsurface drainage configurations—specifically, burial depths (1.0–1.5 m) and pipe spacings (20–40 m)—on drainage and salt removal efficiency in silty loam soils of southern Xinjiang, aiming to develop an optimized scheme balancing water conservation and desalination. Five treatments (A1–A5) were established to measure evaporation, drainage, and salt discharge during both spring and winter irrigation. These variables were analyzed using a water balance model and multifactorial ANOVA to quantify the interactive effects of drainage depth and spacing. The results indicated that treatment A5 (1.5 m depth, 20 m spacing) outperformed all the others in terms of both the drainage-to-irrigation ratio (Rd/i) and the drainage salt efficiency coefficient (DSEC), with a two-year average Rd/i of 32.35% across two spring and two winter irrigation events, and a mean DSEC of 3.28 kg·m−3. The 1.5 m burial depth significantly improved salt leaching efficiency by increasing the salt control volume and reducing capillary rise. The main effect of burial depth on both Rd/i and DSEC was highly significant (p < 0.01), whereas the effect of spacing was not statistically significant (p > 0.05). Although the limited experimental duration and the use of a single soil type may affect the generalizability of the findings, the recommended configuration (1.5 m burial depth, 20 m spacing) shows strong potential for broader application in silty loam regions of southern Xinjiang and provides technical support for subsurface drainage projects aimed at reclaiming saline soils in arid regions. Full article
(This article belongs to the Section Water Use and Irrigation)
Show Figures

Figure 1

16 pages, 3194 KB  
Article
Quantitative Source Identification, Pollution Risk Assessment of Potentially Toxic Elements in Soils of a Diamond Mining Area
by Anna Gololobova and Yana Legostaeva
Soil Syst. 2025, 9(2), 48; https://doi.org/10.3390/soilsystems9020048 - 13 May 2025
Viewed by 732
Abstract
Potentially toxic elements (PTEs) are the most important indicators of environmental pollution and represent a potential risk to the ecology and human health in industrial regions. Eight potentially toxic elements (Mn, Ni, Co, Cr, Pb, Zn, Cd, As) in soils formed on the [...] Read more.
Potentially toxic elements (PTEs) are the most important indicators of environmental pollution and represent a potential risk to the ecology and human health in industrial regions. Eight potentially toxic elements (Mn, Ni, Co, Cr, Pb, Zn, Cd, As) in soils formed on the territory of the industrial site of the Udachny Mining and Processing Division were considered in this study. The potential ecological risk index (RI) was calculated to determine environmental risks of soil contamination. The concentrations of PTEs decreased in the following order Mn > Ni > Zn > Co > Pb > Cr > As > Cd. In total, 19.51% of the sites in the study area exhibited a high potential ecological risk for Mn and Ni, while only 4.87% exhibited a low potential ecological risk for other PTEs. The greatest impacts on soil contamination are exerted by the areas of the Udachny and Zarnitsa pipes, tailings ponds, and the area’s highly mineralized water outlet. The results of correlation analysis (CA) and hierarchical cluster analysis (HCA) revealed that the same groups of elements were present: Co-Cr-Ni and Cd-Zn. The PMF findings demonstrate that the five main diverse sources of PTEs in this study area’s soils were natural, mining activities, transportation, and industrialization, as well as highly mineralized waters. Full article
Show Figures

Figure 1

25 pages, 6579 KB  
Article
Optimising Embodied Carbon in Axial Tension Piles: A Comparative Study of Concrete, Steel, and Timber Piles Using a Hybrid Genetic Approach
by Kareem Abushama, Will Hawkins, Loizos Pelecanos and Tim Ibell
Materials 2025, 18(9), 2160; https://doi.org/10.3390/ma18092160 - 7 May 2025
Viewed by 796
Abstract
The construction industry is a major contributor to the global climate crisis, prompting increasing interest in minimising the embodied carbon of structures, whether through material production regulations or the optimisation of structural elements. While a wide body of literature addresses the reduction of [...] Read more.
The construction industry is a major contributor to the global climate crisis, prompting increasing interest in minimising the embodied carbon of structures, whether through material production regulations or the optimisation of structural elements. While a wide body of literature addresses the reduction of embodied carbon in superstructures, limited attention has been devoted to the optimisation of foundations, particularly piles. This research introduces a hybrid genetic algorithm optimisation tool designed to minimise the embodied carbon of tension piles in different soil conditions. Six different pile types are analysed: solid and hollow concrete piles, steel pipes, universal column (UC) sections, and timber piles in both square and circular forms. The optimal design parameters for each pile type on undrained clay and loose sand are presented and compared. The results demonstrate the potential for reducing the embodied carbon of tension piles when utilising optimised designs. Finally, a case study involving an 8-metre-high cross-road signpost is presented, illustrating the practical application of the proposed optimisation algorithm for reducing embodied carbon in future designs. Full article
Show Figures

Figure 1

15 pages, 8892 KB  
Communication
Repeatable Imaging of Soil Processes Through a Stabilized Port: Examples of (i) Soil Contaminants and (ii) Plant Root Growth
by Julio A. Zimbron and Christian C. Rayo
Sensors 2025, 25(3), 968; https://doi.org/10.3390/s25030968 - 6 Feb 2025
Cited by 1 | Viewed by 911
Abstract
This work presents an imaging testing system (software and hardware) that can generate repeatable images through a stabilized port in the soil for processes known to change with time. The system includes (i) a stabilized port in the ground made of standard PVC [...] Read more.
This work presents an imaging testing system (software and hardware) that can generate repeatable images through a stabilized port in the soil for processes known to change with time. The system includes (i) a stabilized port in the ground made of standard PVC pipe, with sections lined with a borosilicate glass tube, and (ii) a digital imaging instrument to survey the optically transparent portion of the stabilized port. The instrument uses a probe containing a digital camera and two light sources, one using white lights and one using ultraviolet (UV) lights (365 nm). The main instrument controls the probe using a cable within the stabilized port to take overlapping pictures of the soil under the different light sources. Two examples are provided, one to document the distribution of soil and groundwater contaminants known as non-aqueous phase liquids (NAPL, which include petroleum) at variable water saturation levels and a second one to monitor the growth of a plant over a 2-week interval. In both examples, the system successfully identified critical changes in soil processes and showed a resolution of approximately 15 µm (in the order of the thickness of a human hair), demonstrating the potential for repeated imaging of soil processes known to experience temporal changes. Both examples are illustrative, as additional applications might be possible. The novelty of this system lies in its ability to generate repeated measurements at larger depths than the current shallow systems installed by hand. Full article
(This article belongs to the Section Environmental Sensing)
Show Figures

Figure 1

21 pages, 3526 KB  
Article
A Comprehensive Analysis of Environmental Emissions from Trenchless CIPP and Excavation Technologies for Sanitary Sewers
by Eesha Karkhanis, Vinayak Kaushal, Gayatri Thakre and Mohammad Najafi
Appl. Sci. 2025, 15(3), 1268; https://doi.org/10.3390/app15031268 - 26 Jan 2025
Cited by 4 | Viewed by 2403
Abstract
The renewal of underground infrastructure is an emerging challenge for most municipalities in the United States. As compared to trenchless cured-in-place pipes (CIPPs), excavation technologies (ETs) have adverse impacts on the environment. Due to its lower ecological impact, trenchless technology is preferred in [...] Read more.
The renewal of underground infrastructure is an emerging challenge for most municipalities in the United States. As compared to trenchless cured-in-place pipes (CIPPs), excavation technologies (ETs) have adverse impacts on the environment. Due to its lower ecological impact, trenchless technology is preferred in comparison to conventional pipe replacement. The selection of the most appropriate method depends on factors such as the existing sewer network, traffic disruption, soil conditions, and environmental safety. Recent concerns pertaining to environmental impact have increased the demand for reduced carbon footprints. The objectives of this paper are the following: (1) to present a comprehensive review on the achievements achieved over the years in understanding the factors influencing environmental emissions from the use of CIPP and ETs and (2) to analyze and compare the environmental emissions produced from CIPPs and ETs for 8-inch-, 10-inch-, and 12-inch-diameter pipes. Published papers from 1990 through 2024 have been included, which reported emissions from both alternatives. A comparison of total environmental emissions produced from both the processes is presented. The literature review and analysis suggest that higher emissions are a result of higher fuel consumption, material use, and input allocation. The emissions of pipeline renewal methods were evaluated using USEPA’s TRACI 2.1 methodology within SimaPro software. The analysis showed that CIPP renewal greatly reduced carbon emissions when compared with ET. CIPPs exhibited approximately 70% less ecological impact, 75% less impact on human health, and 60% less depletion of resources. CIPPs reduced carbon emissions by 78–100% in comparison to ETs. The recycling materials used in CIPPs potentially reduce the environmental impact by 10%, making them highly sustainable. The installation phase should therefore be carefully analyzed for factors like the pipe material and the pipes’ external diameter in view of achieving the greatest sustainability of these methods, as these characteristics affect emissions. It can be inferred that the comparison of the emissions of both alternatives is extremely vital for sustainable underground infrastructure development. Full article
(This article belongs to the Special Issue Advances in Underground Pipeline Technology, 2nd Edition)
Show Figures

Figure 1

24 pages, 5271 KB  
Article
Design and Experimental Research on a Chisel-Type Variable Hierarchical Deep Fertilization Device Suitable for Saline–Alkali Soil
by Nan Xu, Zhenbo Xin, Jin Yuan, Zenghui Gao, Yu Tian, Chao Xia, Xuemei Liu and Dongwei Wang
Agriculture 2025, 15(2), 209; https://doi.org/10.3390/agriculture15020209 - 18 Jan 2025
Cited by 2 | Viewed by 1036
Abstract
In China, there are around 36.7 million hectares of saline–alkali lands that hold utilization potential. Precision fertilization stands as a vital measure for enhancing the quality of saline–alkali soil and promoting a significant increase in crop yields. The performance of the fertilization device [...] Read more.
In China, there are around 36.7 million hectares of saline–alkali lands that hold utilization potential. Precision fertilization stands as a vital measure for enhancing the quality of saline–alkali soil and promoting a significant increase in crop yields. The performance of the fertilization device is a decisive factor in determining the effectiveness of fertilization. To optimize the fertilizer utilization rate in coastal saline–alkali soils and substantially reduce fertilizer waste, it is imperative to transport fertilizers to the deep soil layers and execute layered variable-rate fertilization. In light of this, a chisel-type variable-rate layered electronically controlled deep-fertilization device specifically designed for saline–alkali soils has been developed. Extensive experimental research on its fertilization performance has also been carried out. Drawing on the principles of soil dynamics, this paper meticulously investigates the structures of key components and the operating parameters of the fertilization device. Key parameters such as the penetration angle of the fertilizer shovel, the penetration clearance angle, the curvature of the shovel handle, the angle between the fertilizer baffle and the fertilizer pipe wall, the angle between the fertilizer pipe and the horizontal plane, and the forward speed are precisely determined. Moreover, this study explores the quantitative relationship between the fertilizer discharge amount of the fertilizer applicator and the effective working width. Simultaneously, this research mainly focuses on analyzing the impact of the forward speed on the operational effect of layered and variable-rate fertilization. Through a series of field experiments, it was conclusively determined that the optimal fertilization effect was attained when the forward speed was set at 6 km/h. Under this condition, the average deviation in the fertilization amount was merely 2.76%, and the average coefficients of variation in the fertilizer amount uniformity in each soil layer were 7.62, 6.32, 6.06, and 5.65%, respectively. Evidently, the experimental results not only successfully met the pre-set objectives, but also fully satisfied the design requirements. Undoubtedly, this article can offer valuable methodological references for the research and development of fertilization devices tailored for diverse crops cultivated on saline–alkali lands. Full article
(This article belongs to the Section Agricultural Technology)
Show Figures

Figure 1

22 pages, 4916 KB  
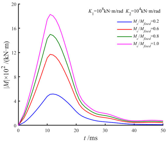
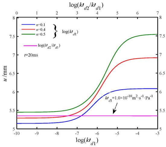
Article
Transient Horizontal Response of a Pipe Pile in Saturated Soil with a Flexible Support at the Pile Head
by Ao Su, Min Zhang, Wei Shang and Qiqi Wang
Appl. Sci. 2025, 15(2), 682; https://doi.org/10.3390/app15020682 - 11 Jan 2025
Cited by 1 | Viewed by 1210
Abstract
This study examines the horizontal transient response of pipe piles in saturated soil, assuming a two-stage equivalent linear relationship between the bending moment and the rotation at the pile head. The potential function is introduced, and the three-dimensional wave equation for saturated soils [...] Read more.
This study examines the horizontal transient response of pipe piles in saturated soil, assuming a two-stage equivalent linear relationship between the bending moment and the rotation at the pile head. The potential function is introduced, and the three-dimensional wave equation for saturated soils is decoupled using operator decomposition and the method of separation of variables. By applying the appropriate initial and boundary conditions, the horizontal lateral forces on the pile from both the surrounding soil and the soil within the pile shaft are calculated. The pipe pile is modeled as a Timoshenko beam. Continuity conditions at the pile–-soil interface are applied, and a time-domain solution for horizontal transient vibrations is derived. This solution accounts for various pile top constraint conditions and is obtained through the inverse Laplace transform. Validation against existing results demonstrates the accuracy of the proposed model. Finally, a parametric study investigates the effects of factors such as impact load, permeability, pile diameter, and pile head constraints on pile displacement. Full article
(This article belongs to the Section Civil Engineering)
Show Figures

Figure 1

18 pages, 2876 KB  
Article
Feasibility of Using Hypothetical Fractal Structures to Determine Water Outflow Zones After a Pipe Failure
by Małgorzata Iwanek and Paweł Suchorab
Sustainability 2024, 16(23), 10640; https://doi.org/10.3390/su162310640 - 4 Dec 2024
Viewed by 822
Abstract
Failures of water supply pipes are undesirable events with a random nature, yet they are an inevitable part of the operation of water infrastructure. Therefore, ongoing research is being conducted to develop methods for minimising their effects or securing underground infrastructure. One of [...] Read more.
Failures of water supply pipes are undesirable events with a random nature, yet they are an inevitable part of the operation of water infrastructure. Therefore, ongoing research is being conducted to develop methods for minimising their effects or securing underground infrastructure. One of the methods of limiting the effects of the suffosion phenomenon is determination of the water outflow zone, within which water will possibly flow to the soil surface after a pipe leak. The aim of this paper was to assess hypothetical structures created by outflowing water in terms of their potential use in determining the water outflow zone on the soil surface after a water pipe failure. Based on the laboratory test results, the Monte Carlo method was applied to generate the hypothetical population of points representing the places of water outflow. Three parameters characterising hypothetical structures were analysed: fractal dimension, length of a section, and the product of above parameters. The conducted research showed that it is possible to build a reliable hypothetical structure that allows for estimating the water outflow zone radius, knowledge of which would facilitate sustainable management of the water supply network by water utilities by enabling the estimation of the water outflow zone radius in practice. Full article
(This article belongs to the Collection Modeling and Simulations for Sustainable Water Environments)
Show Figures

Figure 1

Back to TopTop