Sign in to use this feature.

Years

Between: -

Subjects

remove_circle_outline
remove_circle_outline
remove_circle_outline
remove_circle_outline
remove_circle_outline
remove_circle_outline
remove_circle_outline
remove_circle_outline
remove_circle_outline

Journals

Article Types

Countries / Regions

remove_circle_outline
remove_circle_outline
remove_circle_outline
remove_circle_outline

Search Results (385)

Search Parameters:
Keywords = photosynthetic physiologic characteristics

Order results
Result details
Results per page
Select all
Export citation of selected articles as:
28 pages, 15628 KB  
Article
Effects of Different Plant Growth Regulators on Growth Physiology and Photosynthetic Characteristics of Pinus koraiensis Seedlings
by Wenbo Zhang, Chunming Li, Zhenghua Li, Naizhong Hu, Guanghao Cao, Jiaqi Huang, Panke Yang, Huanzhen Liu, Hui Bai and Haifeng Zhang
Plants 2025, 14(23), 3671; https://doi.org/10.3390/plants14233671 (registering DOI) - 2 Dec 2025
Abstract
Pinus koraiensis, as a keystone tree species, possesses immense economic and ecological value. However, the present cultivation of high-quality seedlings in Pinus koraiensis plantations remains hindered by prohibitively high costs and inadequate technological advancements. Additionally, the species’ prolonged growth cycle and low [...] Read more.
Pinus koraiensis, as a keystone tree species, possesses immense economic and ecological value. However, the present cultivation of high-quality seedlings in Pinus koraiensis plantations remains hindered by prohibitively high costs and inadequate technological advancements. Additionally, the species’ prolonged growth cycle and low yield, when compounded by issues such as excessive harvesting, may result in supply constraints. Plant growth regulators (PGRs), a class of naturally occurring or synthetically derived chemical compounds, are capable of modulating plant development and physiology. These regulators exert notable effects by enhancing root proliferation, facilitating lignification, influencing plant architecture, and augmenting yield. Owing to their operational simplicity and relatively low cost, PGR applications hold substantial promise for cultivating Pinus koraiensis seedlings with superior traits. In this study, four-year-old Pinus koraiensis seedlings were employed to evaluate the impacts of three PGRs (paclobutrazol, chlormequat chloride, and diethyl aminoethyl hexanoate), alongside varied application methods (dosage and frequency), on the growth, physiological, and photosynthetic parameters of the seedlings. The findings revealed that treatment with 1.5 g/L paclobutrazol produced the most pronounced effects across a range of indicators. Specifically, this treatment markedly enhanced growth traits (e.g., branch diameter, new shoot length, lateral branch length, aboveground fresh and dry weights, root fresh and dry weights, lateral root dry weight, and number of second-order roots), physiological attributes (e.g., increased superoxide dismutase and peroxidase activities, elevated lignin content, and reduced relative conductivity and malondialdehyde levels), and photosynthetic metrics (e.g., elevated net photosynthetic rate, stomatal conductance, transpiration rate, and maximum net photosynthetic rate), thereby constituting the optimal treatment combination. Full article
Show Figures

Figure 1

18 pages, 1994 KB  
Article
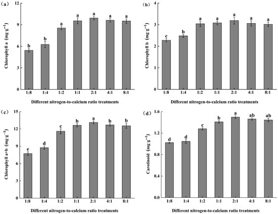
Nitrogen–Calcium Stoichiometry Regulates Growth and Physiology in Mongolian Pine (Pinus sylvestris var. mongolica)
by Shenglan Huang, Hui Li, Yan Huo, Xiaohang Weng and Hongbo Wang
Forests 2025, 16(12), 1809; https://doi.org/10.3390/f16121809 - 2 Dec 2025
Abstract
Nitrogen and calcium are the key elements required for plant growth. Variations in calcium concentration will affect nitrogen absorption in plants, regulate photosynthetic processes, and participate in the absorption and transport of photosynthetic products. The changes of nitrogen and calcium nutrients is conducive [...] Read more.
Nitrogen and calcium are the key elements required for plant growth. Variations in calcium concentration will affect nitrogen absorption in plants, regulate photosynthetic processes, and participate in the absorption and transport of photosynthetic products. The changes of nitrogen and calcium nutrients is conducive to alleviating the decline and mortality of Mongolian pine forests, thus contributing to the preservation of regional ecological security. In this study, an investigation was conducted into the effects of seven nitrogen-to-calcium (N-Ca) ratios (1:8, 1:4, 1:2, 1:1, 2:1, 4:1, and 8:1) on the growth and physiology of Mongolian pine seedlings through pot experiments. The results of the one-way analysis of variance indicated that variations in the N-Ca ratio could significantly affect processes such as plant height, basal diameter, biomass accumulation, and photosynthesis in Mongolian pine seedlings. A low N-Ca ratio caused calcium toxicity, resulting in reduced stomatal conductance (Ci) and a lower net photosynthetic rate (Tr). Conversely, a high N-Ca ratio led to nitrogen toxicity, decreased antioxidant enzyme activity, and adversely affected the accumulation of photosynthetic pigments and photosynthetic products. At an N-Ca ratio of 2:1, Mongolian pine seedlings not only exhibited maximized biomass and photosynthetic capacity but also demonstrated significantly elevated levels of antioxidant enzymes and content of soluble substances. In conclusion, an optimal N-Ca ratio of 2:1 existed for Mongolian pine seedlings, which significantly improved their growth and physiological characteristics. Full article
(This article belongs to the Section Forest Soil)
Show Figures

Figure 1

20 pages, 7466 KB  
Article
Regulatory Roles of Seedling Shading and Strip Planting on Soybean Branching and Yield in Relay Intercropping Systems
by Xiaopei Tang, Sisi Qin, Yao Zhao, Mei Xu, Huanbo Li, Yunhai Ai, Yi Wang and Weiguo Liu
Agronomy 2025, 15(12), 2756; https://doi.org/10.3390/agronomy15122756 - 29 Nov 2025
Viewed by 103
Abstract
The coordinated development of stems and branches, together with optimal strip spacing, is crucial for improving soybean yield in the soybean–maize relay strip intercropping system. Shading during the seedling stage often causes excessive stem elongation and reduced branching; however, the physiological mechanisms underlying [...] Read more.
The coordinated development of stems and branches, together with optimal strip spacing, is crucial for improving soybean yield in the soybean–maize relay strip intercropping system. Shading during the seedling stage often causes excessive stem elongation and reduced branching; however, the physiological mechanisms underlying stem–branch responses to changing light environments remain unclear. This study aimed to clarify how early-stage shading and subsequent light recovery regulate stem and branch development through changes in canopy light environment, phytohormones, and the expression of related genes. Shade-tolerant Nandou12 and shade-sensitive Nannong99-6 were used as experimental soybean cultivars. Six treatments were implemented: a non-shaded control with uniform strip spacing (T0: 40 cm); seedling shading (40% PAR-transmission nets for 35 days after emergence) combined with variable strip spacing (T1: 40 cm; T2: 70 cm; T3: 100 cm; T4: 130 cm; T5: 160 cm). Canopy light environment, main stem and branch traits, photosynthetic characteristics, phytohormones, related gene expression, and yield components were measured. The results indicated that shade at the seedling stage significantly upregulated auxin (IAA) biosynthesis gene GmYUCC and downregulated phytochrome gene GmPhyB in the main stem tips, corresponding to increased IAA and cytokinins (CKs). In branch tips, shading significantly downregulated GmYUCC and GmPhyB while upregulated GmMAX3B, which is consistent with reduced levels of IAA, CKs, and brassinosteroid (BR), and increased strigolactones (SLs). After light recovery, GmPhyB and GmYUCC were upregulated whereas GmMAX3B was downregulated, accompanied by higher IAA, GA, CKs, and BRs, lower SLs, and improved chlorophyll content, Rubisco content, photosynthesis, and the accumulation of soluble sugar and starch in branches. Nandou12 achieved up to 10% higher yield under shading, and a 100 cm strip spacing maintained 74–111% yield of the non-shaded soybean. These findings demonstrate that cultivars with strong shade tolerance and high branching potential, combined with a 100-cm strip spacing, effectively sustain yield in relay-intercropped soybean by enabling favorable physiological responses to early shading and subsequent light recovery. Full article
(This article belongs to the Section Innovative Cropping Systems)
Show Figures

Figure 1

23 pages, 19115 KB  
Article
Estimation of Carbon Sequestration Capacity of Cultivated Land Based on Improved CASA-CGC Model—A Case Study of Anhui Province
by Lina Zhang, Chun Dong, Rui Zhang, Kaifang Shi, Yingchun Wang and Bao Li
Agriculture 2025, 15(23), 2462; https://doi.org/10.3390/agriculture15232462 - 27 Nov 2025
Viewed by 89
Abstract
Quantifying carbon sequestration in cultivated land ecosystems is essential for achieving carbon neutrality and ensuring food security, yet current models often fail to capture the complex interactions between crop phenology and environmental factors at regional scales. This paper proposed an improved CASA-CGC model [...] Read more.
Quantifying carbon sequestration in cultivated land ecosystems is essential for achieving carbon neutrality and ensuring food security, yet current models often fail to capture the complex interactions between crop phenology and environmental factors at regional scales. This paper proposed an improved CASA-CGC model that couples crop phenological parameters with photosynthetic physiological processes, enabling precise carbon sink accounting at the growth cycle scale of cultivated land ecosystems. Results indicate that the carbon sequestration capacity of cultivated land in the province significantly increased from 2010 to 2022, with an average increase of 163.04 g C m−2, and the spatial pattern showed a centralized evolution characteristic. Model validation showed that the accuracy of the CASA-CGC model is significantly better than traditional methods. Compared with remote sensing inversion products and 93 ground measurement point data, the improved CASA-CGC model increased the R2 by 0.155 and reduced the RMSE by 4.19 compared with the tr-CASA model. The innovative introduction of the GeoDetector model reveals that the nonlinear interaction between natural and human factors dominates the carbon sequestration process (accounting for 60%), with the interaction effect between altitude and cropping system configuration being the strongest (q = 0.312), confirming that humans can significantly amplify the potential of natural carbon sinks by optimizing cropping systems. Full article
Show Figures

Figure 1

13 pages, 2064 KB  
Article
Comparative Study on Photosynthetic Characteristics and Leaf Structure of Paphiopedilum parishii in Different Growth Periods
by Li Lu, Haiying Jiang, Xinru Cai, Xi Li, Guohua He, Shuo Feng, Xiao Wei and Jianmin Tang
Agronomy 2025, 15(12), 2713; https://doi.org/10.3390/agronomy15122713 - 25 Nov 2025
Viewed by 109
Abstract
This study investigates the differences in photosynthetic characteristics of Paphiopedilum parishii (Rchb.f.) Stein during its reproductive and nutrient growth periods. Using plants from the same individual, we compared light response curves, chlorophyll content, leaf epidermal structure, and leaf anatomical structure between these two [...] Read more.
This study investigates the differences in photosynthetic characteristics of Paphiopedilum parishii (Rchb.f.) Stein during its reproductive and nutrient growth periods. Using plants from the same individual, we compared light response curves, chlorophyll content, leaf epidermal structure, and leaf anatomical structure between these two growth stages. The results show the following: (1) The overall shape of the light response curves was similar across both periods, but plants in the nutrient growth period exhibited higher net photosynthetic rates (Pn) at all light intensities compared to those in the reproductive growth period. (2) During the nutrient growth period, apparent quantum efficiency (AQY), maximum net photosynthetic rate (Pmax), and light saturation point (LSP) were all significantly higher than in the reproductive growth period, while the light compensation point (LCP) and dark respiration rate (Rd) showed no significant differences. (3) Structurally, during the nutrient growth period, stomatal density significantly increased, while stomatal area decreased. Additionally, leaf thickness and mesophyll tissue thickness both markedly increased, indicating enhanced carbon assimilation efficiency through improved CO2 uptake capacity and expanded photosynthetic area. (4) Significant differences in leaf anatomical structure between the two periods were primarily observed in leaf thickness and mesophyll tissue thickness, providing more space for energy accumulation during the post-flowering recovery phase. This study systematically reveals the dynamic changes in photosynthetic physiology and structural characteristics of P. parishii across different phenological stages, offering a theoretical foundation for its reintroduction and cultivation management. Full article
(This article belongs to the Section Plant-Crop Biology and Biochemistry)
Show Figures

Figure 1

15 pages, 1282 KB  
Article
Evaluating the Role of Tobacco Stalk Biochar in Wheat Growth Under Microplastic Exposure
by Suhang Li, Qiong Yang, Longcheng Jiang, Jiaxin Yao, Yang Luo, Rou Ma, Jiaojiao Liu, Jun Ren, Yangzhou Xiang and Ying Liu
Plants 2025, 14(23), 3578; https://doi.org/10.3390/plants14233578 - 23 Nov 2025
Viewed by 239
Abstract
The accumulation of microplastics in agricultural soils poses a serious threat to both crop production and ecosystem health. To explore potential remediation strategies, we conducted a two-factor pot experiment (PE-MPs × TSB). This study was designed to systematically analyze the interactive effects of [...] Read more.
The accumulation of microplastics in agricultural soils poses a serious threat to both crop production and ecosystem health. To explore potential remediation strategies, we conducted a two-factor pot experiment (PE-MPs × TSB). This study was designed to systematically analyze the interactive effects of polyethylene microplastics (PE-MPs) and tobacco stalk-derived biochar (TSB) on soil properties, physiological characteristics, and growth indicators of wheat. Results indicated that TSB addition significantly increased soil pH, organic matter, and available potassium content, which was associated with a mitigation of the soil acidification and nutrient imbalance observed under PE-MPs. Physiologically, TSB was linked to higher activities of antioxidant enzymes (SOD and POD) and maintained leaf chlorophyll content and photosynthetic function, thereby consistent with a reduction in oxidative stress and better maintenance of growth in the presence of PE-MPs. Furthermore, partial least squares structural equation modeling (PLS-SEM) supported a hypothetical cascading pathway for TSB’s dominant influence: soil improvement → physiological mitigation → growth recovery. The total effect of TSB on biomass (0.71) was substantially greater than that of PE-MPs (0.01). This study proposes a conceptual model and provides correlative evidence that is consistent with multi-level processes through which TSB may alleviate PE-MPs stress, thereby providing theoretical support for the resource utilization of agricultural waste and the green remediation of microplastic-contaminated soil. Full article
Show Figures

Figure 1

28 pages, 6267 KB  
Article
Screening of Macadamia integrifolia Varieties Based on the Comparison of Seedling Adaptability and Quality Differences
by Xibin Zhang, Xu Li, Liangyi Zhao, Zhitao Yang, Chengping Luo, Fuyan Ma, Weifeng Zhao, Baoqiong Zhang, Wenxiu Yang, Xuehu Yang and Liangliang Sun
Biology 2025, 14(12), 1638; https://doi.org/10.3390/biology14121638 - 21 Nov 2025
Viewed by 265
Abstract
Macadamia (Macadamia spp.), as a high-value cash crop, relies on varietal adaptability screening and quality optimization for enhanced industrial benefits. However, existing research has predominantly focused on the mature tree stage. Systematic studies on the physiological characteristics during the seedling stage and [...] Read more.
Macadamia (Macadamia spp.), as a high-value cash crop, relies on varietal adaptability screening and quality optimization for enhanced industrial benefits. However, existing research has predominantly focused on the mature tree stage. Systematic studies on the physiological characteristics during the seedling stage and comprehensive multi-indicator evaluations remain insufficient, limiting improved variety selection and industrial development. This study investigated three macadamia varieties (A4, A16, A203). We systematically measured leaf morphology, photosynthetic parameters, antioxidant enzyme activities, and free amino acid content at the seedling stage, combined with a comprehensive analysis of mature fruit morphology, mineral elements, amino acid composition, and pericarp phenolic compounds. The results indicated that at the seedling stage: A4 exhibited the highest SPAD value and CAT activity, significantly exceeding A16 and A203 by 137.14% and 139.82%, respectively, alongside the lowest MDA content, highlighting its superior stress resistance; A16 showed the highest Pn, Cleaf, and WUE, with total amino acid content being 38.09% and 18.79% higher than A4 and A203, respectively; A203 demonstrated the highest light energy utilization efficiency, significantly higher SOD activity compared to A16 and A203, and the lowest O2− content. Regarding fruit quality: A16 kernels contained the highest total amino acids and umami amino acids, with sweet and aromatic amino acids also being significantly higher than in other varieties; A203 performed notably well in K, Mg, and Mn content, with medicinal amino acids accounting for over 70% of the total; A4 pericarp contained significantly higher levels of phenolic compounds, such as p-hydroxybenzoic acid, compared to A16 and A203, some exceeding 80%. Correlation analysis revealed a complex regulatory network among fruit traits, mineral elements, amino acids, and phenolics. In summary, A4, A16, and A203 possess respective advantages in high stress resistance, superior flavor quality, and high nutritional functionality. This study establishes a comprehensive “morphology–photosynthesis–antioxidant activity–amino acids–quality” evaluation system, providing a scientific basis for targeted breeding and whole-industry-chain development of macadamia. Full article
(This article belongs to the Special Issue Advances in Tropical and Subtropical Plant Ecology and Physiology)
Show Figures

Figure 1

21 pages, 2352 KB  
Article
Forage Quality and Yield Enhancement via Wolfberry (Lycium barbarum L.)–Forage Intercropping System
by Ruitao Li, Lizhen Zhu, Gaixia Qiao, Xiongxiong Nan, Fang Wang, Yali Wang, Zelong Yu, Rong Qu, Hao Wang, Yu Li and Xudong Gu
Agronomy 2025, 15(11), 2660; https://doi.org/10.3390/agronomy15112660 - 20 Nov 2025
Viewed by 332
Abstract
The agroforestry system, which integrates the strategic intercropping of trees and grasses, is profoundly shaped by complex ecological interactions that dynamically reshape microclimatic environments and significantly impact the growth of understory forage species. Wolfberry–forage intercropping patterns have the potential to improve soil quality [...] Read more.
The agroforestry system, which integrates the strategic intercropping of trees and grasses, is profoundly shaped by complex ecological interactions that dynamically reshape microclimatic environments and significantly impact the growth of understory forage species. Wolfberry–forage intercropping patterns have the potential to improve soil quality and orchard productivity, but their effects on forage cover crops are still unclear. Therefore, this study selects wolfberry and nine forage grass as research subjects to examine the effects of intercropping these species on the morphological characteristics, yield, quality, photosynthetic capacity, and plant physiology of forage grass. Based on experimental data, cover cropping facilitated plant growth, maintained fruit yield, and promoted leaf photosynthesis in forage compared with monocropping. This was exemplified by a notable increase in forage plants under the intercropping system, for the number of primary branches or tillers, and an improvement in the drying ratio of forage grasses, while reducing plant height, leaf-to-stem ratio, and photosynthetic rate (p < 0.05). Furthermore, the intercropping system significantly enhances the dry weight yield of alfalfa, ryegrass, and mangold, with increases of 60%, 64%, and 70%, respectively (p < 0.05). Additionally, it improves forage quality by increasing the crude protein content in ryegrass and mangold by 32% and 10%, respectively, and decreasing acid detergent fiber content by 10% and 18% (p < 0.05). Collectively, the results indicated that mangold, ryegrass, and alfalfa were the optimal cover crops for sustainable wolfberry production in the study area. The use of appropriate wolfberry–forage cover crops enhanced hay yield and the quality of forage by stimulating photosynthetic capacity and biotic stress resistance. Our research elucidates the mechanisms underlying the effects of intercropping systems on forage grass growth, aiming to provide a scientific basis for the development of animal husbandry and the rational utilization of land resources in the Ningxia region. Full article
(This article belongs to the Section Grassland and Pasture Science)
Show Figures

Figure 1

19 pages, 4070 KB  
Article
Effects of Different Light Qualities on Proliferation and Physiological Characteristics of Aquilaria sinensis Tissue-Cultured Seedlings
by Le Feng, Chuqi Chen, Chongcheng Yang, Wei Li, Jiapeng Lai, Xiaoyun Min, Siting Gan, Runhua Yi, Chenjun Lin and Feng Feng
Life 2025, 15(11), 1770; https://doi.org/10.3390/life15111770 - 19 Nov 2025
Viewed by 236
Abstract
In this study, we applied eight different light quality treatments and investigated their effects on the proliferation and physiological characteristics of Aquilaria sinensis group-cultivated seedlings in order to screen the best light quality for optimizing group-cultivation fast multiplication technology. The results showed that [...] Read more.
In this study, we applied eight different light quality treatments and investigated their effects on the proliferation and physiological characteristics of Aquilaria sinensis group-cultivated seedlings in order to screen the best light quality for optimizing group-cultivation fast multiplication technology. The results showed that the highest multiplication rates were obtained with blue light and red light, which were significantly higher than those of white light. Blue light was the most effective in promoting the synthesis of photosynthetic pigments, while red light and blue violet light were favorable for the accumulation of soluble sugars. Correlation analysis showed that the multiplication rate was significantly and positively correlated with plant height, chlorophyll b, total chlorophyll, and soluble sugar content. The comprehensive evaluation indicated that blue light, blue-violet light, and red light was most suitable for fostering proliferation of, and physiological status improvement in, group-cultivated A. sinensis seedlings, with their superior performance likely attributable to the combined effects of specific spectral properties and appropriate photosynthetic photon flux density (PPFD) levels. The results of this study provide technical support for light environment regulation for the efficient and rapid propagation of group-cultured A. sinensis seedlings. Full article
(This article belongs to the Special Issue Physiological Responses of Plants Under Abiotic Stresses)
Show Figures

Figure 1

18 pages, 3167 KB  
Article
Foliar Application of Iron Nanoparticles Improves Chinese Cabbage Growth
by Miaomiao He, Jialu Yu, Yuzhen Wei, Fahad Munir, Fasih Ullah Haider and Liqun Cai
Plants 2025, 14(22), 3509; https://doi.org/10.3390/plants14223509 - 17 Nov 2025
Viewed by 247
Abstract
Iron deficiency limits plant growth and is usually addressed with iron fertilizers. Iron−based nanomaterials (nZVI, α−FeOOH, α−Fe2O3, γ−Fe2O3, and Fe3O4) show promise as novel alternatives, but the effects of sulfide nano−zero−valent [...] Read more.
Iron deficiency limits plant growth and is usually addressed with iron fertilizers. Iron−based nanomaterials (nZVI, α−FeOOH, α−Fe2O3, γ−Fe2O3, and Fe3O4) show promise as novel alternatives, but the effects of sulfide nano−zero−valent iron (S−nZVI) on crops remain little studied. Thus, this study aimed to synthesize a novel iron−based nanomaterial, S−nZVI, using a one−step method, and to evaluate the effects of S−nZVI and nZVI at concentrations ranging from 5 to 100 mg L1 on the physiological and photosynthetic characteristics of Chinese cabbage (Brassica rapa L.). In the study, foliar application of iron nanoparticles increased leaf area, biomass, and photosynthesis, with 50 mg L1 the most efficient concentration (S−nZVI > nZVI). Moreover, the photosynthetic rate of the leaves increased significantly (>200%), and carbohydrate accumulation also increased significantly. Additionally, S−nZVI treatment increased leaf iron content by 5.8−fold compared to the control group, likely by enhancing the activity of antioxidant enzymes. However, the 100 mg L1 S−nZVI treatment significantly inhibited these physiological and biochemical indicators. Overall, the foliar S−nZVI (50 mg L1) enhanced Chinese cabbage growth by alleviating iron deficiency, boosting antioxidant activity, and reducing oxidative stress; further field trials are needed to verify its effectiveness and cost−efficiency. Full article
(This article belongs to the Section Plant Response to Abiotic Stress and Climate Change)
Show Figures

Figure 1

16 pages, 2273 KB  
Article
Can Environmental Conditions Alter the Physiological and Photochemical Plasticity of Cacti (Opuntia and Nopalea) in Semiarid Environments?
by Lady Daiane Costa de Sousa Martins, Alexandre Maniçoba da Rosa Ferraz Jardim, Luciana Sandra Bastos de Souza, Lara Rosa de Lima e Silva, Wagner Martins dos Santos, Márcia Bruna Marim de Moura, Wilma Roberta dos Santos, Adriano Nascimento Simões, Sérgio Luiz Ferreira-Silva, Hugo Rafael Bentzen Santos, João L. M. P. de Lima and Thieres George Freire da Silva
Environments 2025, 12(11), 418; https://doi.org/10.3390/environments12110418 - 4 Nov 2025
Viewed by 546
Abstract
Cacti of the genera Opuntia and Nopalea exhibit morphophysiological and biochemical characteristics that favor their adaptation to semiarid environments, such as crassulacean acid metabolism (CAM) and cladode succulence. These strategies reduce water loss and allow the maintenance of photosynthesis under stress conditions. In [...] Read more.
Cacti of the genera Opuntia and Nopalea exhibit morphophysiological and biochemical characteristics that favor their adaptation to semiarid environments, such as crassulacean acid metabolism (CAM) and cladode succulence. These strategies reduce water loss and allow the maintenance of photosynthesis under stress conditions. In this study, we evaluated the seasonal variation in the physiological and photochemical responses of forage cactus clones grown in semiarid environments, considering the rainy, dry, and transition seasons. The net photosynthetic rate (Pn) and chlorophyll fluorescence parameters varied significantly as a function of water availability and microclimatic conditions. We found higher CO2 assimilation rates during the rainy season, while the dry season resulted in a strong impairment of photosynthetic activity, with reductions of 65% in stomatal conductance, 37% in transpiration, 20% in maximum quantum efficiency of photosystem II, and 19% in the electron transport rate. Furthermore, during these periods, we observed an increase in initial fluorescence and non-photochemical dissipation, demonstrating the activation of photoprotective mechanisms against excess light energy. During the transition seasons, the cacti exhibited rapid adjustments in gas exchange and energy dissipation, indicating the adaptive plasticity of CAM pathway. The MIU (Nopalea cochenillifera (L.) Salm-Dyck), OEM (Opuntia stricta (Haw.) Haw.), and IPA (Nopalea cochenillifera (L.) Salm-Dyck) clones demonstrated greater resilience, maintaining greater stability in Pn, instantaneous water use efficiency, and photochemical parameters during the drought. In contrast, the OEA (Opuntia undulata Griffiths) clone showed high sensitivity to water and heat stress, with marked reductions in physiological and photochemical performance. In summary, the photosynthetic efficiency and chlorophyll fluorescence of CAM plants result from the interaction between water availability, air temperature, radiation, and genotypic traits. This study provides a new scientific basis for exploring the effects of environmental conditions on the carbon and biochemical metabolism of cacti grown in a semiarid environment. Full article
Show Figures

Figure 1

25 pages, 5442 KB  
Article
Physiological, Biochemical and Gene Expression Analyses of Halimodendron halodendron Responding to Drought Stress
by Huanqiong Hu, Panpan Zhang, Ling Wang, Hailian Liang, Jiye Liang and Ruiheng Lyu
Genes 2025, 16(11), 1274; https://doi.org/10.3390/genes16111274 - 28 Oct 2025
Viewed by 350
Abstract
Background: As a typical xerophyte, H. halodendron can not only grow in desert sandy areas but also serves as an excellent nectar source and ornamental plant. However, research on its molecular and physiological mechanisms underlying drought tolerance remains limited. Methods: This study [...] Read more.
Background: As a typical xerophyte, H. halodendron can not only grow in desert sandy areas but also serves as an excellent nectar source and ornamental plant. However, research on its molecular and physiological mechanisms underlying drought tolerance remains limited. Methods: This study systematically investigated its drought resistance characteristics by integrating physiological parameters and Illumina transcriptome sequencing, and further validated key genes involved in the drought resistance mechanisms. Results: A total of 46,305 functional genes were identified, among which 6561 were differentially expressed genes (DEGs). These DEGs were significantly enriched in chloroplast function, photosynthesis, proline biosynthesis, and peroxidase activity. Under drought stress, the net photosynthetic rate, stomatal conductance, chlorophyll content, and transpiration rate decreased. Under severe drought conditions, only 5 out of 80 photosynthesis-related DEGs were up-regulated, while the rest were down-regulated, indicating that reduced chlorophyll content impaired light absorption, carbon reactions, and photosynthetic efficiency. Additionally, the contents of proline, soluble sugars, and soluble proteins, as well as the activities of superoxide dismutase (SOD), catalase (CAT), and peroxidase (POD), increased. The identification of 35 osmotic regulation-related and 39 antioxidant enzyme-related DEGs suggests that H. halodendron enhances osmotic adjustment substance synthesis and reactive oxygen species (ROS) scavenging capacity to counteract osmotic stress. Conclusions: Physiological, biochemical and gene expression analyses under drought stress provide a basis for the study of the drought tolerance characteristics of H. halodendron, which is of great significance for ecological environment governance using H. halodendron. Full article
(This article belongs to the Section Plant Genetics and Genomics)
Show Figures

Figure 1

25 pages, 7751 KB  
Article
Agronomic and Environmental Suitability of ‘Tabtim Siam’ and ‘Xishi’ Pomelo in Dabu County (China)
by Irfan Ali Sabir, Chenguang Li, Changbao Xu, Guibing Hu and Yonghua Qin
Horticulturae 2025, 11(11), 1290; https://doi.org/10.3390/horticulturae11111290 - 27 Oct 2025
Viewed by 793
Abstract
It is essential to introduce new cultivars to diversify the pomelo industry in China. This paper compared the agronomic and environmental performances of new Tabtim Siam (TS) and Xishi (XS) pomelos with the local cultivars (Red-fleshed Sweet (RS) and Shatian (ST)) in Dabu [...] Read more.
It is essential to introduce new cultivars to diversify the pomelo industry in China. This paper compared the agronomic and environmental performances of new Tabtim Siam (TS) and Xishi (XS) pomelos with the local cultivars (Red-fleshed Sweet (RS) and Shatian (ST)) in Dabu County. We have generally evaluated the phenological, physiological, fruit quality, stress resistance, and storage characteristics. Findings indicated that TS and XS grew up well, and the phenological stages were adjusted to the local conditions. They had a high pollen viability and equivalent photosynthetic capacity. XS and TS had the highest yield and good fruit quality in terms of higher edible rates, more juice rate, and balanced sugar–acid content. Both the introduced cultivars had greater cold resistance compared with the control with lower semi-lethal temperatures. Polyethylene film at low temperatures to preserve the quality of storage was effective. Compared with RS and ST, TS and XS had a higher price in the market economically. The use of molecular markers (SCoT and SRAP) was able to discriminate all cultivars, which proved genetic uniqueness. In summary, TS and XS have potential to be grown in the Meizhou area and provide high quality, good adaptability, and greater market potential. Full article
(This article belongs to the Special Issue Advances in Tree Crop Cultivation and Fruit Quality Assessment)
Show Figures

Figure 1

25 pages, 645 KB  
Article
Greenhouse Gas Analysis of Sustainable Sugar Beet Cultivation, Taking into Account the Technological Value and Quality of Various Varieties
by Magdalena Wróbel-Jędrzejewska, Łukasz Przybysz, Ewelina Włodarczyk, Andrzej Baryga, Andrzej Jaśkiewicz, Łukasz Ściubak and Krzysztof Sitko
Sustainability 2025, 17(20), 9316; https://doi.org/10.3390/su17209316 - 20 Oct 2025
Viewed by 752
Abstract
Sustainable production also involves analyzing greenhouse gas (GHG) emissions throughout the entire cultivation and processing cycle. The emissions balance for different sugar beet varieties is a key element of environmental assessment in sustainable production systems. It is consistent with the objectives of the [...] Read more.
Sustainable production also involves analyzing greenhouse gas (GHG) emissions throughout the entire cultivation and processing cycle. The emissions balance for different sugar beet varieties is a key element of environmental assessment in sustainable production systems. It is consistent with the objectives of the European Green Deal and aims to decarbonize agri-food technology. This study aims to assess and compare GHG emissions associated with the cultivation of three sugar beet variants (Viola, Jaromir, and Pulitzer) taking into account their technological and quality characteristics. The varieties were selected based on their registration in the National Register and their importance in agricultural practice in Poland, as well as their contrasting technological profiles, which allow for the assessment of the relationship between raw material quality and GHG balance. The study combines life cycle assessment (LCA) with physiological parameters such as CO2 assimilation, sugar content, yield, fuel consumption, and fertilizer use. The aim is to identify the correlation between the technological value of a variety and its environmental impact. It has been shown that genotypic characteristics have a significant impact on both yield and emissions. The Viola and Jaromir varieties showed a favorable balance between photosynthetic efficiency and greenhouse gas emissions, while the Pulitzer variety, despite low emissions per kilogram of product, showed poorer yield performance. The importance of using integrated assessment methods combining production efficiency, environmental efficiency, and crop quality was emphasized. Such an approach is essential for the development of sustainable agricultural practices in line with the EU’s climate neutrality goals. Further research is needed to optimize agrotechnical strategies tailored to the requirements of individual varieties, contributing to climate-resilient and environmentally friendly crop production. Full article
Show Figures

Figure 1

21 pages, 1679 KB  
Article
The Impact of Reduced Nitrogen Fertilizer Application and Arbuscular mycorrhizal fungi Inoculation on Nitrogen Utilization in Intercropped Areca catechu L. and Vanilla planifolia Andrews
by Huifa Zhuang, Xinyu Tang, Ziwei Ning, Chengjun Zhou, Qingyun Zhao, Hui Wang, Yizhang Xing and Ang Zhang
Plants 2025, 14(20), 3207; https://doi.org/10.3390/plants14203207 - 18 Oct 2025
Viewed by 439
Abstract
Areca (Areca catechu L.) is an important economic crop in tropical regions, but excessive nitrogen application leads to low nitrogen fertilizer utilization efficiency (approximately 30%). Vanilla (Vanilla planifolia Andrews) can be intercropped with areca to enhance land use efficiency. However, the [...] Read more.
Areca (Areca catechu L.) is an important economic crop in tropical regions, but excessive nitrogen application leads to low nitrogen fertilizer utilization efficiency (approximately 30%). Vanilla (Vanilla planifolia Andrews) can be intercropped with areca to enhance land use efficiency. However, the impact of combined nitrogen reduction and Arbuscular mycorrhizal fungi (AMF) inoculation on the intercropping system of areca and vanilla remains unclear. This study examined the impact of nitrogen reduction (at levels of conventional fertilization, a 30% reduction and a 60% reduction) and the inoculation of AMF on the photosynthetic characteristics, physiological metabolism, and nitrogen utilization within an areca and vanilla intercropping system, employing a two-factor experimental design. The nitrogen reduction significantly inhibited SPAD value (chlorophyll content) (decreased by 46.21%), net photosynthesis (Pn) (decreased by 71.13%), and transpiration rate (Tr) (decreased by 44.34%) of vanilla without inoculation of AMF, but had little effect on the photosynthesis of areca. Inoculation with AMF, notably Funneliformis mosseae, alleviated the adverse effects of reduced nitrogen on vanilla. The net photosynthesis and intercellular CO2 concentration (Ci) significantly increased by 76.23% and 69.48%, respectively. Additionally, the nitrogen uptake efficiency of the areca was improved, with root vitality increasing by 39.96%. Additionally, AMF enhanced the activities of acid phosphatase (ACP) (increased by 38.86% in vanilla) and nitrate reductase (NR) (increased by 53.77% in areca), promoting soil mineral nutrient activation and nitrogen metabolism. The nitrogen reduction combined with AMF inoculation can improve the nitrogen use efficiency of the areca and vanilla intercropping system, revealing its synergistic mechanism in the tropical intercropping system. Full article
(This article belongs to the Section Plant Nutrition)
Show Figures

Figure 1

Back to TopTop