Sign in to use this feature.

Years

Between: -

Subjects

remove_circle_outline
remove_circle_outline
remove_circle_outline
remove_circle_outline
remove_circle_outline
remove_circle_outline
remove_circle_outline
remove_circle_outline
remove_circle_outline

Journals

remove_circle_outline
remove_circle_outline
remove_circle_outline

Article Types

Countries / Regions

remove_circle_outline
remove_circle_outline
remove_circle_outline
remove_circle_outline

Search Results (717)

Search Parameters:
Keywords = nitrogen-uptake efficiency

Order results
Result details
Results per page
Select all
Export citation of selected articles as:
23 pages, 4452 KB  
Article
Characterization of CO2 Adsorption Behavior in Pyrolyzed Shales for Enhanced Sequestration Applications
by Asmau Iyabo Balogun, Haylay Tsegab Gebretsadik, Jemilat Yetunde Yusuf, Hassan Soleimani, Eswaran Padmanabhan and Abdullateef Oluwagbemiga Balogun
Molecules 2025, 30(21), 4196; https://doi.org/10.3390/molecules30214196 - 27 Oct 2025
Viewed by 267
Abstract
Mitigating climate change through the reduction of atmospheric CO2 emissions remains a critical global priority. Solid adsorbents, particularly shales, have become promising options for CO2 storage due to their favorable structural and chemical properties. In this study, a solid sorbent was [...] Read more.
Mitigating climate change through the reduction of atmospheric CO2 emissions remains a critical global priority. Solid adsorbents, particularly shales, have become promising options for CO2 storage due to their favorable structural and chemical properties. In this study, a solid sorbent was developed by pyrolyzing shale at 800 °C under a nitrogen (N2) atmospheric condition, yielding spent shale. The key physicochemical properties influencing CO2 sorption were characterized using X-ray diffraction (XRD), Field Emission Scanning Electron Microscopy (FESEM), Brunauer–Emmett–Teller (BET) surface area analysis, and Temperature-Programmed Desorption (TPD). Mineralogical analysis revealed the presence of quartz, feldspars, clays, and carbonate minerals. The spent shale exhibited surface areas of 30–34 m2/g and pore diameters ranging from 3 to 10 nm. TPD results confirmed the presence of active adsorption sites, with a maximum CO2 sorption capacity of about 1.62 mmol/g—surpassing several commercial sorbents. Adsorption behavior was best described by the Sips and Toth isotherm models (R2 > 0.99), indicating multilayer and heterogeneous adsorption processes. Kinetic modeling using both pseudo-first-order and pseudo-second-order equations revealed that CO2 uptake was governed by both diffusion and chemisorption mechanisms. These findings positioned spent shale as a low-cost, efficient sorbent for CO2 storage, promoting circular resource utilization and advancing sustainable carbon management strategies. This novel shale-derived material offers a competitive pathway for carbon capture, storage, and sequestration applications. Full article
(This article belongs to the Special Issue Porous Carbons for CO2 Adsorption and Capture)
Show Figures

Figure 1

25 pages, 3722 KB  
Article
Characterization and Evaluation of Biomass Waste Biochar for Turfgrass Growing Medium Enhancement in a Pot Experiment
by Marija Koprivica, Jelena Petrović, Marija Simić, Jelena Dimitrijević, Marija Ercegović and Snežana Trifunović
Agriculture 2025, 15(21), 2206; https://doi.org/10.3390/agriculture15212206 - 23 Oct 2025
Viewed by 222
Abstract
The sustainable management of urban grasslands is crucial for resilient city ecosystems. With increasing urbanization, improving soil quality to support turfgrass growth has become a priority. This study evaluates biochar produced from Paulownia leaves (PLB), a low-cost byproduct of Paulownia cultivation, as a [...] Read more.
The sustainable management of urban grasslands is crucial for resilient city ecosystems. With increasing urbanization, improving soil quality to support turfgrass growth has become a priority. This study evaluates biochar produced from Paulownia leaves (PLB), a low-cost byproduct of Paulownia cultivation, as a growing medium amendment. Raw leaves (PL) and PLB were characterized by SEM, FTIR, and elemental analysis to assess physicochemical changes. A three-month pot experiment under outdoor conditions was conducted with turfgrass plots exposed to different irrigation and fertilization regimes. Growing medium pH, moisture, electrical conductivity, cation exchange capacity, nutrient availability, grass chlorophyll content, and uptake were monitored. The application of PLB improved the growing medium structure, raised the pH by up to one unit, and enhanced pigment accumulation in turfgrass samples. When combined with nitrogen fertilizer, PLB significantly increased turfgrass visual quality, whereas under limited irrigation, PLB alone improved seedling establishment compared to controls. Statistical analysis confirmed significant treatment effects by ANOVA, and PCA provided a precise classification of treatment groups. These findings indicate that PLB can improve nutrient efficiency, turfgrass resilience, and organic waste management. Full article
(This article belongs to the Section Agricultural Soils)
Show Figures

Figure 1

17 pages, 23520 KB  
Article
Activation of Iron Tailings with Organic Acids: A Sustainable Approach for Soil Amelioration
by Hui-Chen Wang, Zi-Hao Zhao, Dong-Yun Han, Xiao-Hong Wang, Xue-Tao Yuan and Yan-Jun Ai
Sustainability 2025, 17(20), 9308; https://doi.org/10.3390/su17209308 - 20 Oct 2025
Viewed by 298
Abstract
The large-scale accumulation of iron tailings poses serious environmental challenges and represents a significant loss of potential resources. Due to the stable silicate mineral structure of iron tailings, essential nutrient elements remain encapsulated, resulting in low bioavailability and limited uptake by plants. This [...] Read more.
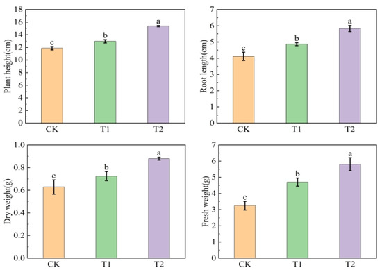
The large-scale accumulation of iron tailings poses serious environmental challenges and represents a significant loss of potential resources. Due to the stable silicate mineral structure of iron tailings, essential nutrient elements remain encapsulated, resulting in low bioavailability and limited uptake by plants. This characteristic greatly restricts their direct use in agricultural applications. To overcome this limitation, this study employed three organic acids, namely citric acid, oxalic acid, and acetic acid, to activate iron tailings. The activation efficiency was systematically evaluated, and the effects of activated iron tailings on plant growth were assessed through pot experiments. The results showed that all three organic acids significantly enhanced the release of available silicon and iron from iron tailings, with oxalic acid exhibiting the highest activation capacity, increasing available Si and Fe to 882.99 mg/kg and 395.41 mg/kg, respectively. Pot experiments further revealed that the organic acid–iron tailing composites markedly improved soil nutrient availability, with available potassium, phosphorus, alkali-hydrolyzable nitrogen, iron, and silicon increasing by 50.03%, 95.99%, 82.59%, 163.21%, and 200.01%, respectively. Consequently, plant growth was substantially enhanced, including increases in plant height (29.49%), shoot fresh weight (41.62%), and shoot dry weight (39.89%). This study provides a novel and sustainable strategy for the valorization of iron tailings as an agricultural resource and soil amendment, demonstrating considerable potential for both environmental remediation and agronomic improvement. Full article
Show Figures

Figure 1

21 pages, 1679 KB  
Article
The Impact of Reduced Nitrogen Fertilizer Application and Arbuscular mycorrhizal fungi Inoculation on Nitrogen Utilization in Intercropped Areca catechu L. and Vanilla planifolia Andrews
by Huifa Zhuang, Xinyu Tang, Ziwei Ning, Chengjun Zhou, Qingyun Zhao, Hui Wang, Yizhang Xing and Ang Zhang
Plants 2025, 14(20), 3207; https://doi.org/10.3390/plants14203207 - 18 Oct 2025
Viewed by 321
Abstract
Areca (Areca catechu L.) is an important economic crop in tropical regions, but excessive nitrogen application leads to low nitrogen fertilizer utilization efficiency (approximately 30%). Vanilla (Vanilla planifolia Andrews) can be intercropped with areca to enhance land use efficiency. However, the [...] Read more.
Areca (Areca catechu L.) is an important economic crop in tropical regions, but excessive nitrogen application leads to low nitrogen fertilizer utilization efficiency (approximately 30%). Vanilla (Vanilla planifolia Andrews) can be intercropped with areca to enhance land use efficiency. However, the impact of combined nitrogen reduction and Arbuscular mycorrhizal fungi (AMF) inoculation on the intercropping system of areca and vanilla remains unclear. This study examined the impact of nitrogen reduction (at levels of conventional fertilization, a 30% reduction and a 60% reduction) and the inoculation of AMF on the photosynthetic characteristics, physiological metabolism, and nitrogen utilization within an areca and vanilla intercropping system, employing a two-factor experimental design. The nitrogen reduction significantly inhibited SPAD value (chlorophyll content) (decreased by 46.21%), net photosynthesis (Pn) (decreased by 71.13%), and transpiration rate (Tr) (decreased by 44.34%) of vanilla without inoculation of AMF, but had little effect on the photosynthesis of areca. Inoculation with AMF, notably Funneliformis mosseae, alleviated the adverse effects of reduced nitrogen on vanilla. The net photosynthesis and intercellular CO2 concentration (Ci) significantly increased by 76.23% and 69.48%, respectively. Additionally, the nitrogen uptake efficiency of the areca was improved, with root vitality increasing by 39.96%. Additionally, AMF enhanced the activities of acid phosphatase (ACP) (increased by 38.86% in vanilla) and nitrate reductase (NR) (increased by 53.77% in areca), promoting soil mineral nutrient activation and nitrogen metabolism. The nitrogen reduction combined with AMF inoculation can improve the nitrogen use efficiency of the areca and vanilla intercropping system, revealing its synergistic mechanism in the tropical intercropping system. Full article
(This article belongs to the Section Plant Nutrition)
Show Figures

Figure 1

18 pages, 8993 KB  
Article
Identification, Classification, and Evolutionary Profile of the NPF Gene Family in Sorghum bicolor
by Zicong Liang, Zhiyang Jiang, Dongyang Li, Silu Zhang, Sitong Liu, Yue Liu, Shuai Shi and Chang Liu
Agronomy 2025, 15(10), 2402; https://doi.org/10.3390/agronomy15102402 - 16 Oct 2025
Viewed by 257
Abstract
Nitrate transporter 1/peptide transporter family (NPF) proteins play pivotal roles in nitrogen uptake, translocation, and stress adaptation in plants. To comprehensively investigate this gene family in sorghum (Sorghum bicolor), we conducted the genome-wide identification and characterization of SbNPF genes. A total [...] Read more.
Nitrate transporter 1/peptide transporter family (NPF) proteins play pivotal roles in nitrogen uptake, translocation, and stress adaptation in plants. To comprehensively investigate this gene family in sorghum (Sorghum bicolor), we conducted the genome-wide identification and characterization of SbNPF genes. A total of 88 SbNPF members were identified and classified into eight subfamilies based on phylogenetic analysis, displaying diverse gene structures, conserved motifs, and evolutionary relationships. Gene duplication analysis revealed that tandem duplication was the primary driver of SbNPF family expansion, with most duplicated pairs undergoing purifying selection. Synteny analysis showed extensive collinearity between sorghum and rice, but limited conservation with Arabidopsis, highlighting the evolutionary divergence between monocots and dicots. Cis-regulatory element prediction suggested that SbNPF genes are widely involved in abiotic stress responses, hormone signaling, and light responsiveness. Expression profiling using RNA-seq data revealed distinct tissue-specific expression patterns, indicating functional specialization across roots, stems, leaves, and reproductive tissues. Furthermore, RT-qPCR analysis under low-nitrogen (LN) conditions demonstrated that several SbNPF genes, including SbNPF1.1, SbNPF2.6, SbNPF2.7, and SbNPF4.5, were significantly upregulated in shoots, whereas SbNPF1.2, SbNPF2.7, and SbNPF3.1 were downregulated in roots, suggesting differential regulatory roles in nitrogen acquisition and utilization under nutrient-limiting environments. Collectively, these findings provide novel insights into the evolutionary dynamics and potential functions of the SbNPF gene family and establish a foundation for future functional studies and molecular breeding aimed at improving nitrogen use efficiency in sorghum. Full article
(This article belongs to the Section Agroecology Innovation: Achieving System Resilience)
Show Figures

Figure 1

16 pages, 963 KB  
Article
Agronomic Assessment of Olive Mill Wastewater Sludge Derived Composts on Lactuca sativa and Zea mays: Fertilizing Efficiency and Potential Toxic Effect on Seed Germination and Seedling Growth
by Miguel Ángel Mira-Urios, José A. Sáez-Tovar, F. Javier Andreu-Rodríguez, Silvia Sánchez-Méndez, Luciano Orden, Lucía Valverde-Vozmediano, María Dolores Pérez-Murcia and Raúl Moral
Agronomy 2025, 15(10), 2391; https://doi.org/10.3390/agronomy15102391 - 15 Oct 2025
Viewed by 295
Abstract
Olive mill wastewater is a polluting residue generated from the olive oil industry and is one which constitutes an environmental concern in Mediterranean countries. Composting has been reported as a viable valorization alternative, as it reduces the volume and the phytotoxic characteristics of [...] Read more.
Olive mill wastewater is a polluting residue generated from the olive oil industry and is one which constitutes an environmental concern in Mediterranean countries. Composting has been reported as a viable valorization alternative, as it reduces the volume and the phytotoxic characteristics of OMW. In this study, several composts derived from OMW were evaluated under controlled conditions over two growing season pot experiments using Lactuca sativa as a test crop. The analysis focused on soil quality changes, crop yield, and plant development. Additionally, potential phytotoxicity was also evaluated through a direct acute toxicity plant growth test. Application of OMW composts improved soil fertility indicators, including oxidizable carbon, Kjeldahl total nitrogen, Olsen phosphorous, and plant availability. Crop yields were comparable to those obtained with other organic amendments such as vermicompost and fresh cattle manure in both growing seasons and plant development (in terms of chlorophyll content and canopy cover) was not negatively affected. Nutrient uptake (NPK) was consistent during both growing seasons, with similar nitrogen use efficiency to that achieved in other organic treatments. Regarding the potential toxic effect, the OMW composts tested enhanced seed germination when mixed with coconut fiber at weight ratios below 29.2%. No half-maximal effective concentration (EC50) values were detected, even at 100% compost concentration, while half-maximal inhibitory concentration (LC50) values ranged between 65–75%. These results indicate that OMW composts can serve as an effective short-term source of plant-available nitrogen and a medium-term source of phosphorus, without risk of finding inhibitory or phytotoxic effects on crops. Full article
(This article belongs to the Section Agricultural Biosystem and Biological Engineering)
Show Figures

Graphical abstract

20 pages, 1116 KB  
Article
Investigating the Effects of Soil Type and Potassium Fertiliser Timing on Potassium Leaching: A Five-Soil Lysimeter Study
by Thomas P. McCarthy, John B. Murphy and Patrick J. Forrestal
Soil Syst. 2025, 9(4), 110; https://doi.org/10.3390/soilsystems9040110 - 13 Oct 2025
Viewed by 315
Abstract
Potassium (K) is essential for grassland productivity, but soil K leaching can reduce fertiliser use efficiency, increasing environmental losses. International evidence suggests soil type and K fertiliser timing influence K leaching, yet limited data exist for Ireland’s diverse soil types. This study investigated [...] Read more.
Potassium (K) is essential for grassland productivity, but soil K leaching can reduce fertiliser use efficiency, increasing environmental losses. International evidence suggests soil type and K fertiliser timing influence K leaching, yet limited data exist for Ireland’s diverse soil types. This study investigated the effects of K fertiliser timing (autumn, winter, and spring) and soil type on K leaching using a controlled lysimeter facility with five representative Irish soils sown with perennial ryegrass. Potassium fertiliser (125 kg K ha−1) was applied in October, December, or February, with leachate collected from October to April. Soil type affected cumulative K leaching (1.4–9.8 kg ha−1; p ≤ 0.001), with the greatest losses observed in sandy soils. Potassium and nitrogen uptake in spring-harvested grass were also influenced by soil type (p ≤ 0.05), with strong positive correlation between the two nutrients (R2 = 0.78; p ≤ 0.001). Temporally, significant interactions (p ≤ 0.05) between K application timing and sampling date were found for K leachate in three of the five soils tested. Autumn and winter applications tended to increase cumulative leaching risk, especially on coarser-textured soils such as the Oakpark soil (p ≤ 0.05). The study indicates that applying K in early spring will tend to reduce leaching K losses, particularly on sandy soils. Full article
(This article belongs to the Topic Soil Health and Nutrient Management for Crop Productivity)
Show Figures

Graphical abstract

24 pages, 669 KB  
Review
Nutrient-Element-Mediated Alleviation of Cadmium Stress in Plants: Mechanistic Insights and Practical Implications
by Xichao Sun, Liwen Zhang, Yingchen Gu, Peng Wang, Haiwei Liu, Liwen Qiang and Qingqing Huang
Plants 2025, 14(19), 3081; https://doi.org/10.3390/plants14193081 - 6 Oct 2025
Viewed by 704
Abstract
Cadmium (Cd), a pervasive and highly phytotoxic metal pollutant, poses severe threats to agricultural productivity, ecosystem stability, and human health through its entry into the food chain. Plants have evolved intricate defense mechanisms, among which the strategic manipulation of nutrient elements emerges as [...] Read more.
Cadmium (Cd), a pervasive and highly phytotoxic metal pollutant, poses severe threats to agricultural productivity, ecosystem stability, and human health through its entry into the food chain. Plants have evolved intricate defense mechanisms, among which the strategic manipulation of nutrient elements emerges as a critical physiological and biochemical strategy for mitigating Cd stress. This comprehensive review delves deeply into the multifaceted roles of essential macronutrient elements (nitrogen, phosphorus, potassium, calcium, magnesium, sulfur), essential micronutrient elements (zinc, iron, manganese, copper) and non-essential beneficial elements (silicon, selenium) in modulating plant responses to Cd toxicity. We meticulously dissect the physiological, biochemical, and molecular underpinnings of how these nutrients influence Cd bioavailability in the rhizosphere, Cd uptake and translocation pathways, sequestration and compartmentalization within plant tissues, and the activation of antioxidant defense systems. Nutrient elements exert their influence through diverse mechanisms: competing with Cd for root uptake transporters, promoting the synthesis of complexes that reduce Cd mobility, stabilizing cell walls and plasma membranes to restrict apoplastic flow and symplastic influx, modulating redox homeostasis by enhancing antioxidant enzyme activities and non-enzymatic antioxidant pools, regulating signal transduction pathways, and influencing gene expression profiles related to metal transport, chelation, and detoxification. The complex interactions between nutrients themselves further shape the plant’s capacity to withstand Cd stress. Recent advances elucidating nutrient-mediated epigenetic regulation, microRNA involvement, and the role of nutrient-sensing signaling hubs in Cd responses are critically evaluated. Furthermore, we synthesize the practical implications of nutrient management strategies, including optimized fertilization regimes, selection of nutrient-efficient genotypes, and utilization of nutrient-enriched amendments, for enhancing phytoremediation efficiency and developing low-Cd-accumulating crops, thereby contributing to safer food production and environmental restoration in Cd-contaminated soils. The intricate interplay between plant nutritional status and Cd stress resilience underscores the necessity for a holistic, nutrient-centric approach in managing Cd toxicity in agroecosystems. Full article
(This article belongs to the Special Issue Plant Ecotoxicology and Remediation Under Heavy Metal Stress)
Show Figures

Figure 1

15 pages, 2135 KB  
Article
Novel Synthesis of Phosphorus-Doped Porous Carbons from Lotus Petiole Using Sodium Phytate for Selective CO2 Capture
by Yue Zhi, Jiawei Shao, Junting Wang, Xiaohan Liu, Qiang Xiao, Muslum Demir, Utku Bulut Simsek, Linlin Wang and Xin Hu
Molecules 2025, 30(19), 3990; https://doi.org/10.3390/molecules30193990 - 5 Oct 2025
Viewed by 481
Abstract
Developing sustainable and high-performance sorbents for efficient CO2 capture is essential for mitigating climate change and reducing industrial emissions. In this study, phosphorus-doped porous carbons (LPSP-T) were synthesized via a one-step activation–doping strategy using lotus petiole biomass as a precursor and sodium [...] Read more.
Developing sustainable and high-performance sorbents for efficient CO2 capture is essential for mitigating climate change and reducing industrial emissions. In this study, phosphorus-doped porous carbons (LPSP-T) were synthesized via a one-step activation–doping strategy using lotus petiole biomass as a precursor and sodium phytate as a dual-function activating and phosphorus-doping agent. The simultaneous activation and phosphorus incorporation at various temperatures (650–850 °C) under a nitrogen atmosphere produced carbons with tailored textural properties and surface functionalities. Among them, LPSP-700 exhibited the highest specific surface area (525 m2/g) and a hierarchical porous structure, with abundant narrow micropores (<1 nm) and phosphorus-containing surface groups that synergistically enhanced CO2 capture performance. The introduction of P functionalities not only improved the surface polarity and binding affinity toward CO2 but also promoted the formation of a well-connected pore network. As a result, LPSP-700 delivered a CO2 uptake of 2.51 mmol/g at 25 °C and 1 bar (3.34 mmol/g at 0 °C), along with a high CO2/N2 selectivity, fast CO2 adsorption kinetics and moderate isosteric heat of adsorption (Qst). Furthermore, the dynamic CO2 adsorption capacity (0.81 mmol/g) was validated by breakthrough experiments, and cyclic adsorption–desorption tests revealed excellent stability with negligible loss in performance over five cycles. Correlation analysis revealed pores < 2.02 nm as the dominant contributors to CO2 uptake. Overall, this work highlights sodium phytate as an effective dual-role agent for simultaneous activation and phosphorus doping and validates LPSP-700 as a sustainable and high-performance sorbent for CO2 capture under post-combustion conditions. Full article
(This article belongs to the Special Issue Porous Carbons for CO2 Adsorption and Capture)
Show Figures

Graphical abstract

23 pages, 2784 KB  
Article
Concentration-Dependent N-P Interactions Cause Organ-Specific Responses and Nutrient Allocation in Poplar Seedlings
by Xiaan Tang, Yi Zhang, Changhao Li, Xiaotan Zhi and Chunyan Wang
Plants 2025, 14(19), 3037; https://doi.org/10.3390/plants14193037 - 1 Oct 2025
Viewed by 457
Abstract
This study explores the complex regulatory mechanisms of nitrogen (N) and phosphorus (P) supply interactions on the growth, root architecture, and nutrient uptake of Populus × euramericana ‘Neva’ seedlings. It shows that these responses depend on nutrient concentrations and exhibit organ-specific patterns. Low [...] Read more.
This study explores the complex regulatory mechanisms of nitrogen (N) and phosphorus (P) supply interactions on the growth, root architecture, and nutrient uptake of Populus × euramericana ‘Neva’ seedlings. It shows that these responses depend on nutrient concentrations and exhibit organ-specific patterns. Low P (0 mM) and sufficient N (15–30 mM) enhances plant height and aboveground biomass by promoting P acquisition processes. At moderate N levels (5–15 mM), P supply is sufficient (0.5–1.5 mM) for root and stem growth. Nitrogen application prioritizes aboveground biomass, reducing the root-to-shoot ratio. Root architecture also responds organ-specifically: sufficient N under low P promotes fine root growth to increase P absorption; under moderate P (0.5 mM), balanced N optimizes branching; and under sufficient P (1.5 mM), N increases root thickness while reducing fine root investment. In terms of P metabolism, moderate N under low P increases P concentrations by upregulating phosphate transporter genes, while sufficient N maintains P use efficiency (PUE). For N metabolism, added P under low N (0 mM) maintains N use efficiency (NUE), while higher N levels (15–30 mM) reduce NUE due to interference in nitrogen transport and enzyme activity. This study highlights the importance of organ-specific resource allocation in adapting to N–P interactions and suggests optimizing fertilization strategies based on soil nutrient status to avoid physiological imbalance. Full article
Show Figures

Figure 1

22 pages, 2391 KB  
Article
Improving Nitrogen Availability and Crop Productivity Using Bioameliorants in Maize–Soybean Intercropping on Suboptimal Land
by Wahyu Astiko, Mohamad Taufik Fauzi, Lolita Endang Susilowati, Lalu Zulkifli and Fahrurozi
Nitrogen 2025, 6(4), 89; https://doi.org/10.3390/nitrogen6040089 - 1 Oct 2025
Viewed by 499
Abstract
Suboptimal land conditions, characterized by limited nutrient availability and poor soil physical properties, restrict the growth and productivity of maize–soybean intercropping systems. Bioameliorants containing beneficial microorganisms, such as mycorrhizae, offer a sustainable strategy to enhance soil fertility and nutrient uptake efficiency. This study [...] Read more.
Suboptimal land conditions, characterized by limited nutrient availability and poor soil physical properties, restrict the growth and productivity of maize–soybean intercropping systems. Bioameliorants containing beneficial microorganisms, such as mycorrhizae, offer a sustainable strategy to enhance soil fertility and nutrient uptake efficiency. This study evaluated the effects of different bioameliorant compositions on nitrogen availability, plant growth, and yield in maize–soybean intercropping on suboptimal land. A randomized complete block design with four replicates tested five treatments: F0 (control, no bioameliorant), F1 (10% compost + 10% rice husk charcoal + 10% manure + 70% mycorrhizal biofertilizer), F2 (15% each of compost, manure, charcoal + 55% biofertilizer), F3 (20% each + 40% biofertilizer), and F4 (25% each component). Results showed that the balanced F4 bioameliorant markedly improved nitrogen availability, soil health, and yields in maize–soybean intercropping on sandy soils. These findings highlight its potential as a sustainable strategy to enhance productivity, reduce reliance on chemical fertilizers, and strengthen agroecosystem resilience on suboptimal land. The optimized F4 formulation therefore represents a practical approach to improving nutrient availability and plant performance in maize–soybean intercropping systems under marginal soil conditions. Full article
Show Figures

Figure 1

18 pages, 3305 KB  
Article
Removal of Cu(II) from Aqueous Medium with LDH-Mg/Fe and Its Subsequent Application as a Sustainable Catalyst
by Edgar Oswaldo Leyva Cruz, Ricardo Lopez-Medina, Deyanira Angeles-Beltrán and Refugio Rodríguez-Vázquez
Catalysts 2025, 15(10), 930; https://doi.org/10.3390/catal15100930 - 1 Oct 2025
Viewed by 421
Abstract
In this work, the removal of Cu(II) ions from an aqueous effluent was studied using an Mg/Fe layered double hydroxide (LDH) as the adsorbent. The material was synthesized and characterized before and after the adsorption process to identify structural and morphological changes induced [...] Read more.
In this work, the removal of Cu(II) ions from an aqueous effluent was studied using an Mg/Fe layered double hydroxide (LDH) as the adsorbent. The material was synthesized and characterized before and after the adsorption process to identify structural and morphological changes induced by copper uptake. Techniques such as X-ray diffraction (XRD), scanning electron microscopy with energy-dispersive spectroscopy (SEM-EDS), ultraviolet-visible spectroscopy (UV-Vis), Raman spectroscopy, and nitrogen physisorption (BET) were employed to confirm the interaction between the metal ions and the LDH surface. The LDH-Mg/Fe exhibited a high maximum adsorption capacity of 526 mg/g, and the adsorption kinetics followed a pseudo-second-order model, achieving over 90% removal of Cu(II) within 2.5 h. The Cu(II)-loaded material was subsequently evaluated as a sustainable catalyst in two applications: (i) an organic synthesis via “click” chemistry, reaching yields of up to 85%, and (ii) the decoloration of Congo Red via a Fenton-like process, achieving a decoloration efficiency of at least 84%. These dual uses demonstrate the potential of Cu(II)-loaded LDH as a cost-effective and environmentally friendly approach to simultaneous pollutant removal and catalytic valorization. Full article
Show Figures

Graphical abstract

17 pages, 2999 KB  
Article
Evaluation of Yield-Related Morphological, Physiological, Agronomic, and Nutrient Uptake Traits of Grain Sorghum Varieties in the Kerala Region (India)
by Swathy Anija Hari Kumar, Usha Chacko Thomas, Yazen Al-Salman, Francisco Javier Cano, Roy Stephen, P. Shalini Pillai and Oula Ghannoum
Agronomy 2025, 15(10), 2320; https://doi.org/10.3390/agronomy15102320 - 30 Sep 2025
Viewed by 495
Abstract
Climate change poses a significant threat to crop production, particularly in tropical and semi-arid regions. Sorghum (Sorghum bicolor (L.) Moench), a resilient C4 cereal, has high photosynthetic efficiency and abiotic stress tolerance, making it a key crop for food, fodder, and [...] Read more.
Climate change poses a significant threat to crop production, particularly in tropical and semi-arid regions. Sorghum (Sorghum bicolor (L.) Moench), a resilient C4 cereal, has high photosynthetic efficiency and abiotic stress tolerance, making it a key crop for food, fodder, and feed security. This study evaluated agronomic and physiological traits influencing the yield performance of 20 sorghum varieties under field conditions in Kerala, India. The data were analyzed using a randomized block design (RBD) in GRAPES software, and a principal component analysis was performed in R. Variety CSV 17 exhibited the highest grain yield (GY) (3760 kg ha−1) and harvest index (HI) (43), with early flowering, early maturity, a high chlorophyll content (CHL), and minimal nitrogen (N), phosphorus (P), and potassium uptake. Conversely, CSV 20 produced the highest stover yield (22.5 t ha−1), associated with greater leaf thickness (LT), lower canopy temperature, taller plant height (PH), increased leaf number (LN), and extended maturity. Leaf temperature (Tleaf) was negatively correlated with the quantum yield of photosystem II (ΦPSII) and panicle length (PL), which were strong predictors of grain weight. The principal component analysis revealed that PC1 and PC2 explained 21% and 19% of the variation in the grain and stover yield, respectively. Hierarchical partitioning identified the potassium content (K%), CHL, Tleaf, leaf area index (LAI), ΦPSII, and LT as key contributors to the GY, while the SY was primarily influenced by the LN, nitrogen content (N%), maturity duration, PH, and ΦPSII. These findings highlight the potential of exploiting physiological traits for enhancing sorghum productivity under summer conditions in Kerala and similar environments. Full article
(This article belongs to the Section Farming Sustainability)
Show Figures

Figure 1

28 pages, 1310 KB  
Review
Nitrogen Use Efficiency in Agriculture: Integrating Biotechnology, Microbiology, and Novel Delivery Systems for Sustainable Agriculture
by Bruno B. Navarro, Mauricio J. Machado and Antonio Figueira
Plants 2025, 14(19), 2974; https://doi.org/10.3390/plants14192974 - 25 Sep 2025
Cited by 1 | Viewed by 1548
Abstract
Nitrogen (N) is the primary macronutrient that supports global agriculture. The Haber–Bosch process revolutionized the use of synthetic N fertilizers, enabling significant increases in crop yield. However, N losses from fertilization led to negative impacts on the environment. Improving crops’ N use efficiency [...] Read more.
Nitrogen (N) is the primary macronutrient that supports global agriculture. The Haber–Bosch process revolutionized the use of synthetic N fertilizers, enabling significant increases in crop yield. However, N losses from fertilization led to negative impacts on the environment. Improving crops’ N use efficiency (NUE) has been constrained by the limited understanding of N uptake and assimilation mechanisms, and the role of plant–microbe interactions. Among biological approaches, N fixation by cover crops and rhizobia symbioses represents a cornerstone strategy for improving NUE. The adoption of plant growth-promoting bacteria and arbuscular mycorrhizal fungi may enhance N acquisition by increasing root surface, modulating phytohormone levels, and facilitating nutrient transfer. Advances in plant molecular biology have identified key players and regulators of NUE (enzymes, transporters, and N-responsive transcription factors), which enhance N uptake and assimilation. Emerging biotechnological strategies include de novo domestication by genome editing of crop wild relatives to combine NUE traits and stress resilience back into domesticated cultivars. Additionally, novel fertilizers with controlled nutrient release and microbe-mediated nutrient mobilization, hold promise for synchronizing N availability with plant demand, reducing losses, and increasing NUE. Together, these strategies form a multidimensional framework to enhance NUE, mitigate environmental impacts, and facilitate the transition towards more sustainable agricultural systems. Full article
(This article belongs to the Special Issue Advances in Nitrogen Nutrition in Plants)
Show Figures

Figure 1

17 pages, 2568 KB  
Article
Developing Native Fish to Control Spirogyra in Paddy Fields for Improving the Growth, Nutrient Uptake, and Physiological Characteristics of Oryza sativa L.
by Mei Zhang, Runhai Jiang, Xiaorong Yang, Shaofu Wen, Zexiang Hua, Xiuli Hou and Xuexiu Chang
Agriculture 2025, 15(18), 1990; https://doi.org/10.3390/agriculture15181990 - 22 Sep 2025
Viewed by 441
Abstract
Oryza sativa L. is the largest food crop in the world. The harmful filamentous green algae Spirogyra in paddy fields poses a serious threat to O. sativa yield. Therefore, biological control for Spirogyra is important for sustainable agricultural development. The native fish species [...] Read more.
Oryza sativa L. is the largest food crop in the world. The harmful filamentous green algae Spirogyra in paddy fields poses a serious threat to O. sativa yield. Therefore, biological control for Spirogyra is important for sustainable agricultural development. The native fish species Acrossocheilus yunnanensis can graze on Spirogyra and exhibits strong environmental adaptability, providing a novel approach to the biological control of Spirogyra. Therefore, we designed the O. sativa+Spirogyra+A. yunnanensis co-culture system to study the effects of A. yunnanensis on O. sativa growth and physiological characteristics. The results indicated that Spirogyra stress significantly inhibited O. sativa biomass accumulation, root length and plant height development, reduced photosynthetic efficiency, and increased the contents of oxidative stress markers including malondialdehyde (MDA) and hydrogen peroxide (H2O2). Interestingly, grazing of A. yunnanensis on Spirogyra increased the biomass of Oryza sativa by 58.60%, the root–shoot ratio by 78.01%, and the root length and plant height by 49.83% and 25.85%, respectively. Meanwhile, the soil nitrate nitrogen (NO3-N), ammonium nitrogen (NH4+-N), and available phosphorus (AP) were enhanced, which improved O. sativa nutrient uptake and promoted photosynthetic pigment accumulation. This was manifested by an increase in chlorophyll content, net photosynthetic (Pn), transpiration rate, stomatal conductance (Gs), and intercellular CO2 concentration (Ci). Grazing of A. yunnanensis on Spirogyra alleviated the oxidative damage to O. sativa induced by Spirogyra, as evidenced by decreased malondialdehyde (MDA) and hydrogen peroxide (H2O2) level in both leaves and roots, along with increased protein content. This provides a new strategy for constructing a rice–fish symbiotic system by using indigenous fish species, achieving Spirogyra control and sustainable agricultural development. Full article
(This article belongs to the Section Crop Protection, Diseases, Pests and Weeds)
Show Figures

Graphical abstract

Back to TopTop