Sign in to use this feature.

Years

Between: -

Subjects

remove_circle_outline
remove_circle_outline
remove_circle_outline
remove_circle_outline
remove_circle_outline
remove_circle_outline
remove_circle_outline
remove_circle_outline
remove_circle_outline

Journals

remove_circle_outline
remove_circle_outline
remove_circle_outline
remove_circle_outline
remove_circle_outline
remove_circle_outline
remove_circle_outline
remove_circle_outline
remove_circle_outline
remove_circle_outline
remove_circle_outline
remove_circle_outline
remove_circle_outline
remove_circle_outline
remove_circle_outline
remove_circle_outline
remove_circle_outline
remove_circle_outline
remove_circle_outline
remove_circle_outline
remove_circle_outline
remove_circle_outline
remove_circle_outline
remove_circle_outline
remove_circle_outline
remove_circle_outline
remove_circle_outline
remove_circle_outline
remove_circle_outline

Article Types

Countries / Regions

remove_circle_outline
remove_circle_outline
remove_circle_outline
remove_circle_outline
remove_circle_outline
remove_circle_outline
remove_circle_outline
remove_circle_outline

Search Results (1,964)

Search Parameters:
Keywords = mixed strategy approach

Order results
Result details
Results per page
Select all
Export citation of selected articles as:
25 pages, 3029 KB  
Review
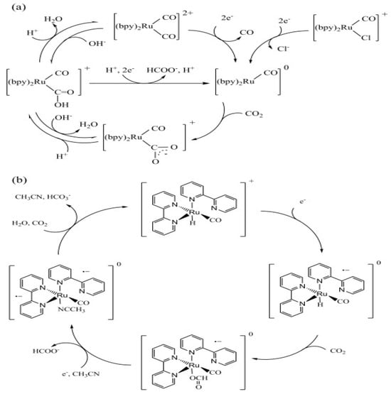
Visible-Light-Driven CO2 Photoreduction Using Ruthenium (II) Complexes: Mechanisms, Hybrid Systems and Recent Advances
by Pauline Ncube and Mokgaotsa Jonas Mochane
Catalysts 2025, 15(11), 1036; https://doi.org/10.3390/catal15111036 (registering DOI) - 2 Nov 2025
Abstract
The photocatalytic reduction of carbon dioxide (CO2) into energy-dense fuels using visible light provides a sustainable approach for solar-to-chemical energy transformation. Among the diverse metal molecular systems developed, ruthenium (II) (Ru(II)) complexes have emerged as promising catalysts due to their superior [...] Read more.
The photocatalytic reduction of carbon dioxide (CO2) into energy-dense fuels using visible light provides a sustainable approach for solar-to-chemical energy transformation. Among the diverse metal molecular systems developed, ruthenium (II) (Ru(II)) complexes have emerged as promising catalysts due to their superior redox properties, strong visible light absorption, and customizable ligand structures. This review explores recent advances in Ru(II)-catalyzed CO2 photoreduction, with particular attention given to catalyst design strategies, mechanistic pathways, and system integration methodologies. Key configurations, including photosensitizer/catalyst (PS/Cat) mixed systems, covalently bonded dyads, and hybrid/supramolecular frameworks, are evaluated in terms of efficiency, turnover numbers (TON), and selectivity. A critical analysis of challenges such as competing H2 generation, inefficient charge transfer, and limited long-term stability is presented. Emerging trends toward the use of pincer ligands, transition metal integration, and self-photosensitizing frameworks are discussed as potential approaches for improving efficiency. Overall, this review offers insights into the structural and mechanistic features driving CO2 photoreduction and provides perspectives for the rational design of next-generation Ru-based photocatalytic systems for efficient solar CO2 conversion and the photocatalytic reduction of carbon dioxide (CO2) into energy-dense fuels using visible light. Full article
Show Figures

Figure 1

31 pages, 3366 KB  
Article
Beyond Efficiency: Integrating Resilience into the Assessment of Road Intersection Performance
by Nazanin Zare, Maria Luisa Tumminello, Elżbieta Macioszek and Anna Granà
Smart Cities 2025, 8(6), 184; https://doi.org/10.3390/smartcities8060184 (registering DOI) - 1 Nov 2025
Abstract
Extreme weather events, such as storms, pose significant challenges to the reliability and efficiency of urban road networks, making intersection design and management critical to maintaining mobility. This paper addresses the dual objectives of traffic efficiency and resilience by evaluating the performance of [...] Read more.
Extreme weather events, such as storms, pose significant challenges to the reliability and efficiency of urban road networks, making intersection design and management critical to maintaining mobility. This paper addresses the dual objectives of traffic efficiency and resilience by evaluating the performance of roundabouts, signalized, and two-way stop-controlled (TWSC) intersections under normal and storm-disrupted conditions. A mixed-method approach was adopted, combining a heuristic framework from the Highway Capacity Manual with microsimulations in AIMSUN Next. Three Polish case studies were examined; each was modeled under alternative control strategies. The findings demonstrate the superior robustness of roundabouts, which retain functionality during power outages, while signalized intersections reveal vulnerabilities when control systems fail, reverting to less efficient TWSC behavior. TWSC intersections consistently exhibited the weakest performance, particularly under high or uneven traffic demand. Despite methodological differences in delay estimation, the convergence of results through Level of Service categories strengthens the reliability of findings. Beyond technical evaluation, the study underscores the importance of resilient intersection design in climate-vulnerable regions and the value of integrating analytical and simulation-based methods. By situating intersection performance within urban resilience, this research provides actionable insights for policymakers, planners, and engineers seeking to balance efficiency with adaptability in infrastructure planning. Full article
Show Figures

Figure 1

20 pages, 950 KB  
Review
The Role of Plant Genetic Resources and Grain Variety Mixtures in Building Sustainable Agriculture in the Context of Climate Change
by Aleksandra Pietrusińska-Radzio, Paulina Bolc, Anna Tratwal and Dorota Dziubińska
Sustainability 2025, 17(21), 9737; https://doi.org/10.3390/su17219737 (registering DOI) - 31 Oct 2025
Abstract
In an era of global warming, sustainable agriculture, which emphasises the conservation of biodiversity and the rational use of natural resources, is growing in importance. One of the key elements is to increase the genetic diversity of crops through the use of crop [...] Read more.
In an era of global warming, sustainable agriculture, which emphasises the conservation of biodiversity and the rational use of natural resources, is growing in importance. One of the key elements is to increase the genetic diversity of crops through the use of crop wild relatives (CWRs) and local varieties, which provide a source of genes for resistance to biotic and abiotic stresses. Modern agricultural systems are characterised by low biodiversity, which increases the susceptibility of plants to diseases and pests. Growing mixtures of varieties, both intra- and interspecific, is a practical strategy to increase plant resistance, stabilise yields and reduce pathogen pressure. This manuscript has a review character and synthesises the current literature on the use of CWRs, local varieties, and variety mixtures in sustainable agriculture. The main research question of the study is to what extent plant genetic resources, including CWRs and local varieties, as well as the cultivation of variety mixtures, can promote plant resistance, stabilise yields and contribute to sustainable agriculture under climate change. The objectives of the study are to assess the role of genetic resources and variety mixtures in maintaining biodiversity and yield stability, and to analyse the potential of CWRs and local varieties in enhancing plant resistance. Additionally, the study investigates the impact of variety mixtures in reducing disease and pest development, and identifies barriers to the use of genetic resources in breeding along with strategies to overcome them. The study takes an interdisciplinary approach including literature and gene bank data analysis (in situ and ex situ), field trials of cultivar mixtures under different environmental conditions, genetic and molecular analysis of CWRs, the use of modern genome editing techniques (CRISPR/Cas9) and assessment of ecological mechanisms of mixed crops such as barrier effect, and induced resistance and complementarity. In addition, the study considers collaboration with participatory and evolutionary breeding programmes (EPBs/PPBs) to adapt local varieties to specific environmental conditions. The results of the study indicate that the integration of plant genetic resources with the practice of cultivating variety mixtures creates a synergistic model that enhances plant resilience and stabilises yields. This approach also promotes agroecosystem conservation, contributing to sustainable agriculture under climate change. Full article
26 pages, 6891 KB  
Article
Visitors’ Perceptions and Valuation of Cultural Ecosystem Services in Three Urban Wetlands of Bogotá, Colombia: A Mixed-Methods Study
by Victor Fabian Forero Ausique, Diana Cristina Díaz Guevara, Juan Sebastián Chiriví Salomón and Silvana Daniela Forero
Sustainability 2025, 17(21), 9716; https://doi.org/10.3390/su17219716 (registering DOI) - 31 Oct 2025
Abstract
Urban wetlands provide cultural ecosystem services (CES) that are essential to human well-being. However, their study remains limited in Colombia and across Latin America, particularly in terms of quantitative assessments of CES in urban ecosystems. This research examines the perception and valuation of [...] Read more.
Urban wetlands provide cultural ecosystem services (CES) that are essential to human well-being. However, their study remains limited in Colombia and across Latin America, particularly in terms of quantitative assessments of CES in urban ecosystems. This research examines the perception and valuation of CES among visitors to three urban wetlands designated as Ramsar sites in Bogotá, Colombia—Santa María del Lago, Juan Amarillo, and Córdoba. We assessed how sociodemographic profiles influence the appreciation and valuation of CES employing a mixed-methods approach that combined structured surveys, hierarchical cluster analysis (HCA), and principal component analysis (PCA). Results revealed notable differences among the wetlands: Santa María del Lago attracts younger visitors and is characterized by strong appreciation for landscape aesthetics and spirituality; Juan Amarillo exhibits a mixed visitor profile with lower appreciation for spirituality; and Córdoba receives older visitors with higher education levels, who prioritize recreation and tourism. HCA and PCA identified distinct visitor segments: “passive visitors,” oriented toward contemplation and learning, and “active visitors,” focused on recreation and tourism. Across all sites, the most valued services were aesthetic appreciation of the landscape and knowledge of nature. This study provides empirical evidence to support the integration of CES into decision-making and environmental policy for urban planning, recommending differentiated governance strategies, targeted environmental education programs, and low-impact tourism initiatives aligned with Ramsar principles and nature-based solutions. Full article
Show Figures

Figure 1

11 pages, 1307 KB  
Article
Ligand-Assisted Purification of Mixed-Halide Perovskite Nanocrystals with Near-Unity PLQY for High-Color-Purity Display Applications
by Stephy Jose, Joo Yeon Kim, Hyunsu Cho, Chan-Mo Kang and Sukyung Choi
Materials 2025, 18(21), 4975; https://doi.org/10.3390/ma18214975 (registering DOI) - 31 Oct 2025
Viewed by 86
Abstract
Cesium halide perovskite nanocrystals (PNCs) have emerged as promising materials for application in high-color-purity displays due to their exceptional optoelectronic properties, which include narrow emission linewidths, tunable bandgaps, and high photoluminescence quantum yields (PLQYs). However, preserving these characteristics during purification remains a major [...] Read more.
Cesium halide perovskite nanocrystals (PNCs) have emerged as promising materials for application in high-color-purity displays due to their exceptional optoelectronic properties, which include narrow emission linewidths, tunable bandgaps, and high photoluminescence quantum yields (PLQYs). However, preserving these characteristics during purification remains a major challenge as surface ligand detachment during the washing process can lead to increased defect states, reduced quantum efficiency, and spectral broadening. The choice of anti-solvent plays a crucial role in maintaining the structural and optical integrity of PNCs, as it directly influences ligand retention and material stability. In this study, we propose an optimized purification strategy for mixed-halide perovskite nanocrystals that incorporates post-synthetic ligand supplementation, in which controlled amounts of oleic acid (OA) and oleylamine (OAm) are sequentially introduced into the crude solution prior to anti-solvent treatment. This approach reinforces surface passivation, suppresses trap state formation, and minimizes halide loss. Consequently, a near-unity PLQY with narrow full-width-at-half-maximum emissions is achieved for both green- and red-emissive nanocrystals, markedly enhancing color purity and providing a promising route toward next-generation wide-color-gamut display technologies. Full article
Show Figures

Graphical abstract

22 pages, 4301 KB  
Article
A Cross-Scenario Generalizable Duty Cycle Aggregation Method for Electric Loaders with Scenario Verification
by Qiaohong Ming, Yangyang Wang, Feng Wang, Houran Ying, Hao Zeng, Jie Ren and Zhiwei Cui
Energies 2025, 18(21), 5713; https://doi.org/10.3390/en18215713 - 30 Oct 2025
Viewed by 85
Abstract
With the rapid advancement of construction machinery electrification, optimizing the energy efficiency of electric loaders requires representative duty cycles that accurately capture real-world operating characteristics. However, most existing studies rely on simplified test-track cycles, which fail to reflect the complexity of actual operations. [...] Read more.
With the rapid advancement of construction machinery electrification, optimizing the energy efficiency of electric loaders requires representative duty cycles that accurately capture real-world operating characteristics. However, most existing studies rely on simplified test-track cycles, which fail to reflect the complexity of actual operations. To address this gap, this paper takes a commercial concrete mixing plant as a case study and proposes a cross-scenario generalization method for the duty cycle aggregation of electric loaders. The method integrates multi-source signal acquisition, task-segment partitioning, feature extraction, and dimensionality reduction via Principal Component Analysis (PCA), enabling the clustering of typical operating modes and reconstruction of representative duty cycles through segment concatenation. The aggregated duty cycles are validated using Jensen–Shannon divergence, showing similarity levels above 93% compared with field measurements from mixing plants in Yiwu and Kunshan. These results demonstrate the method’s strong temporal adaptability and cross-scenario transferability. The proposed approach provides a solid foundation for energy consumption assessment, powertrain matching, and control strategy optimization of electric loaders while also supporting the development of duty cycle databases and future industry standardization. Full article
(This article belongs to the Special Issue Drive System and Control Strategy of Electric Vehicle)
Show Figures

Figure 1

17 pages, 1610 KB  
Systematic Review
Trap of Social Media Algorithms: A Systematic Review of Research on Filter Bubbles, Echo Chambers, and Their Impact on Youth
by Mukhtar Ahmmad, Khurram Shahzad, Abid Iqbal and Mujahid Latif
Societies 2025, 15(11), 301; https://doi.org/10.3390/soc15110301 - 30 Oct 2025
Viewed by 351
Abstract
This systematic review synthesizes a decade of peer-reviewed research (2015–2025) examining the interplay of filter bubbles, echo chambers, and algorithmic bias in shaping youth engagement within social media. A total of 30 studies were analyzed, using the PRISMA 2020 framework, encompassing computational audits, [...] Read more.
This systematic review synthesizes a decade of peer-reviewed research (2015–2025) examining the interplay of filter bubbles, echo chambers, and algorithmic bias in shaping youth engagement within social media. A total of 30 studies were analyzed, using the PRISMA 2020 framework, encompassing computational audits, simulation modeling, surveys, ethnographic accounts, and mixed-methods designs across diverse platforms, including Facebook, YouTube, Twitter/X, Instagram, TikTok, and Weibo. Results reveal three consistent patterns: (i) algorithmic systems structurally amplify ideological homogeneity, reinforcing selective exposure and limiting viewpoint diversity; (ii) youth demonstrate partial awareness and adaptive strategies to navigate algorithmic feeds, though their agency is constrained by opaque recommender systems and uneven digital literacy; and (iii) echo chambers not only foster ideological polarization but also serve as spaces for identity reinforcement and cultural belonging. Despite these insights, the evidence base suffers from geographic bias toward Western contexts, limited longitudinal research, methodological fragmentation, and conceptual ambiguity in key definitions. This review highlights the need for integrative, cross-cultural, and youth-centered approaches that bridge empirical evidence with lived experiences. Full article
(This article belongs to the Special Issue Algorithm Awareness: Opportunities, Challenges and Impacts on Society)
Show Figures

Figure 1

25 pages, 1980 KB  
Review
A Narrative Review of Life Cycle Assessments of Electric Vehicles: Methodological Challenges and Global Implications
by Monika Zajemska, Anna Biniek-Poskart, Andrzej Skibiński, Magdalena Skrzyniarz and Jakub Rzącki
Energies 2025, 18(21), 5704; https://doi.org/10.3390/en18215704 - 30 Oct 2025
Viewed by 226
Abstract
Considering the rapid global shift towards electric mobility and the growing importance of life-cycle assessments (LCAs) in policy and investment decisions, a critical examination of the methodological challenges and broader implications of electric vehicle (EV) life-cycle assessments is both timely and necessary. While [...] Read more.
Considering the rapid global shift towards electric mobility and the growing importance of life-cycle assessments (LCAs) in policy and investment decisions, a critical examination of the methodological challenges and broader implications of electric vehicle (EV) life-cycle assessments is both timely and necessary. While numerous studies have assessed the environmental impacts of EVs using LCA, there remains a lack of consolidated insight into how methodological inconsistencies, particularly in system boundaries, functional units, and data sources, affect the comparability and policy relevance of results. This article addresses this gap by presenting a narrative review of LCA applied to EVs, with a focus on methodological approaches and environmental impact categories. The review aims to synthesize current knowledge, identify prevailing research trends, and highlight key methodological challenges in the LCA of EVs. A structured search was conducted using the Scopus database, initially yielding 1926 publications through a broad search strategy. To improve relevance and reduce the number of marginally related articles, the search was refined to include only article titles, resulting in 187 studies selected for detailed analysis. The VOSviewer software was employed to perform bibliometric and co-occurrence analysis, revealing key clusters in the literature related to battery production, electricity mix, and recycling. Full article
(This article belongs to the Special Issue Sustainable Energy, Environment and Low-Carbon Development)
Show Figures

Figure 1

14 pages, 3608 KB  
Article
An Integrated Morphological Framework for Analyzing Informal Settlements: The Case of Saadi Neighborhood, Shiraz
by Sanaz Nezhadmasoum and Beser Oktay Vehbi
Urban Sci. 2025, 9(11), 448; https://doi.org/10.3390/urbansci9110448 - 30 Oct 2025
Viewed by 232
Abstract
Informal settlements accommodate more than one billion people worldwide, yet their intricate urban forms are frequently perceived as chaotic, which impedes the formulation of sustainable upgrading strategies. The main objective of this research is to bridge a major methodological gap by developing analytical [...] Read more.
Informal settlements accommodate more than one billion people worldwide, yet their intricate urban forms are frequently perceived as chaotic, which impedes the formulation of sustainable upgrading strategies. The main objective of this research is to bridge a major methodological gap by developing analytical tools that can systematically decode the inherent spatial logic of such environments. This paper develops and applies an integrated four-part morphological framework designed to provide a deep, form-based reading of informal urbanism. The framework’s indicators were systematically derived from an extensive review of the literature and subsequently validated through the Fuzzy Delphi Method (FDM) with a panel of 15 experts, ensuring analytical robustness. The validated framework was then applied to the Saadi neighborhood, a representative informal settlement in Shiraz, Iran, using a multi-scalar, mixed-methods approach that integrated GIS, remote sensing, and in-depth field surveys. The analysis produced a comprehensive analytical atlas, culminating in a detailed morphological profile. The findings identify Saadi’s urban form not as disordered, but as a ‘consolidating, low-rise, fine-grained fabric shaped by topography,’ revealing a clear, self-organized spatial logic. The study concludes that the proposed framework is a robust and replicable tool for moving beyond pejorative descriptions of informality. By providing an evidence-based method to read the physical language of these settlements, the approach offers a crucial foundation for developing more context-sensitive and sustainable urban upgrading strategies. Full article
Show Figures

Figure 1

20 pages, 1100 KB  
Article
Data Distribution Strategies for Mixed Traffic Flows in Software-Defined Networks: A QoE-Driven Approach
by Hongming Li, Hao Li, Yuqing Ji and Ziwei Wang
Appl. Sci. 2025, 15(21), 11573; https://doi.org/10.3390/app152111573 - 29 Oct 2025
Viewed by 119
Abstract
The rapid proliferation of heterogeneous applications, from latency-critical video delivery to bandwidth-intensive file transfers, poses increasing challenges for modern communication networks. Traditional traffic engineering approaches often fall short in meeting diverse Quality of Experience (QoE) requirements under such conditions. To overcome these limitations, [...] Read more.
The rapid proliferation of heterogeneous applications, from latency-critical video delivery to bandwidth-intensive file transfers, poses increasing challenges for modern communication networks. Traditional traffic engineering approaches often fall short in meeting diverse Quality of Experience (QoE) requirements under such conditions. To overcome these limitations, this study proposes a QoE-driven distribution framework for mixed traffic in Software-Defined Networking (SDN) environments. The framework integrates flow categorization, adaptive path selection, and feedback-based optimization to dynamically allocate resources in alignment with application-level QoE metrics. By prioritizing delay-sensitive flows while ensuring efficient handling of high-volume traffic, the approach achieves balanced performance across heterogeneous service demands. In our 15-RSU Mininet tests under service number = 1 and offered demand = 10 ms, JOGAF attains max end-to-end delays of 415.74 ms, close to the 399.64 ms achieved by DOGA, while reducing the number of active hosts from 5 to 3 compared with DOGA. By contrast, HNOGA exhibits delayed growth of up to 7716.16 ms with 2 working hosts, indicating poorer suitability for latency-sensitive flows. These results indicate that JOGAF achieves near-DOGA latency with substantially lower host activation, offering a practical energy-aware alternative for mixed traffic SDN deployments. Beyond generic communication scenarios, the framework also shows strong potential in Intelligent Transportation Systems (ITS), where SDN-enabled vehicular networks require adaptive, user-centric service quality management. This work highlights the necessity of coupling classical traffic engineering concepts with SDN programmability to address the multifaceted challenges of next-generation networking. Moreover, it establishes a foundation for scalable, adaptive data distribution strategies capable of enhancing user experience while maintaining robustness across dynamic traffic environments. Full article
(This article belongs to the Section Electrical, Electronics and Communications Engineering)
Show Figures

Figure 1

22 pages, 2145 KB  
Article
Quadrupedal Locomotion with Passive Ventral Wheels: A Data-Driven Approach to Energy Efficiency Analysis
by David Omar Al Tawil, Paolo Arena, Alessia Li Noce and Luca Patanè
Robotics 2025, 14(11), 158; https://doi.org/10.3390/robotics14110158 - 29 Oct 2025
Viewed by 188
Abstract
In this paper, a hybrid locomotion approach is proposed and experimentally validated for a quadrupedal robot to enhance energy efficiency on mixed terrains. A mechanical solution was implemented by adding passive wheels on the robot’s abdomen, to allow for gliding on flat portions [...] Read more.
In this paper, a hybrid locomotion approach is proposed and experimentally validated for a quadrupedal robot to enhance energy efficiency on mixed terrains. A mechanical solution was implemented by adding passive wheels on the robot’s abdomen, to allow for gliding on flat portions of the faced terrains. This strategy aims to reduce the use of the legs, decreasing the overall energy consumption. To allow an efficient use of simulations, a data-driven approach was developed to estimate motor power consumption from joint dynamics on the real robot and subsequently applied within the simulation environment. The neural network achieved a coefficient of determination of R2 = 0.97, ensuring accurate estimation of energy consumption under both simulated and real conditions. Experimental and simulated results show that the proposed sliding gait reduces the average Cost of Transport from approximately 4.5–6.0 during trotting to 0.8–1.1 during sliding, corresponding to a four–five-fold improvement in energy efficiency. Overall, the results demonstrate that a simple mechanical upgrade of the robot’s body structure can significantly enhance locomotion efficiency and versatility on flat or slightly descending terrains. Full article
(This article belongs to the Special Issue Applications of Neural Networks in Robot Control)
Show Figures

Figure 1

25 pages, 1003 KB  
Article
School-Based Participatory Arts for Psychosocial Adjustment and Well-Being in Health Emergencies: An Embedded Mixed-Methods Study
by Konstantinos Mastrothanasis, Angelos Gkontelos, Emmanouil Pikoulis, Maria Kladaki, Aikaterini Vasiou, Avra Sidiropoulou, Despoina Papantoniou, Anastasia Pikouli and Evika Karamagioli
Healthcare 2025, 13(21), 2737; https://doi.org/10.3390/healthcare13212737 - 29 Oct 2025
Viewed by 411
Abstract
Background: The COVID-19 pandemic disrupted school life worldwide, heightening risks to students’ psychosocial well-being and mental health, and creating an urgent need for sustainable support strategies during crises. Drama-based interventions, as participatory arts-based approaches, are proposed as flexible interventions that can strengthen resilience, [...] Read more.
Background: The COVID-19 pandemic disrupted school life worldwide, heightening risks to students’ psychosocial well-being and mental health, and creating an urgent need for sustainable support strategies during crises. Drama-based interventions, as participatory arts-based approaches, are proposed as flexible interventions that can strengthen resilience, social interaction, and emotional expression in school communities. Objective: This study evaluated the impact of a large-scale, short-term, remote drama-based intervention on the psychosocial adjustment and well-being of primary school students during the pandemic. Methods: An embedded mixed methods design with a pre-post measurement was employed, involving 239 teachers and 719 students aged 9–13 years from schools across various regions of Greece. Psychosocial functioning was assessed using a standardized instrument measuring levels of social, school, and emotional competence, as well as behavioral difficulties. The intervention, totaling 700 min over seven weeks, followed a five-day weekly structure that combined health-focused and psychosocial activities. Results: Quantitative findings indicated improvements across several dimensions of psychosocial adaptation and well-being, while Reliable Change Index analysis revealed important individual-level changes. Qualitative data corroborated these results, highlighting enhanced peer collaboration, increased emotional expression, and stronger classroom cohesion, while also emphasizing the adaptability and scalability of the approach under restrictive conditions. Conclusions: The findings suggest that such artful interventions can make a meaningful contribution to promoting well-being and sustaining the educational and social life of school communities during public health emergencies, thereby adding to the applied psychology evidence based on effective school health interventions. Full article
Show Figures

Figure 1

16 pages, 328 KB  
Review
Involuntary Urine Loss in Menopause—A Narrative Review
by Lucian Șerbănescu, Sebastian Mirea, Paris Ionescu, Laura Andra Petrica, Ionut Ciprian Iorga, Monica Surdu, Traian Virgiliu Surdu and Vadym Rotar
J. Clin. Med. 2025, 14(21), 7664; https://doi.org/10.3390/jcm14217664 - 29 Oct 2025
Viewed by 234
Abstract
Objective: This narrative review aims to summarize current evidence on the epidemiology, risk factors, clinical patterns, and therapeutic strategies for urinary incontinence in menopausal women. Background: Urinary incontinence (UI) is a common, multifactorial condition that disproportionately affects women, with prevalence rising [...] Read more.
Objective: This narrative review aims to summarize current evidence on the epidemiology, risk factors, clinical patterns, and therapeutic strategies for urinary incontinence in menopausal women. Background: Urinary incontinence (UI) is a common, multifactorial condition that disproportionately affects women, with prevalence rising during pregnancy and post menopause. While stress urinary incontinence (SUI) predominates in younger and early postmenopausal women, urgency urinary incontinence (UUI) and mixed urinary incontinence (MUI) become increasingly prevalent with age and duration following menopause. Additional determinants, such as obesity, comorbidities, polypharmacy, and menopausal symptoms, burden further contribute to symptom severity and persistence. Materials and Methods: For the materials and methods, we used over 150 specialized studies and meta-analyses published in the specialized literature on this subject, of which 99 are mentioned in the bibliography of this narrative review. These materials are some of the most significant and up-to-date that address this complex topic. Content: This narrative review discusses the impact of menopause-related hormonal decline on the genitourinary tract, highlighting the role of estrogen deficiency in genitourinary syndrome of menopause (GSM). It addresses distinct patterns of UI across life stages, including pregnancy and the early and late postmenopause periods, and explores modifiable risk factors such as body mass index. Specific attention is given to nocturnal incontinence, medication-related effects, and coital incontinence, which significantly impair sexual health and quality of life. Therapeutic strategies are presented in a stepwise manner: conservative measures (pelvic floor muscle training), hormonal approaches (local vaginal estrogen), combination regimens, and surgical interventions, including midurethral slings, colposuspension, bulking agents, and neuromodulatory techniques. Future perspectives: Emerging modalities such as balneotherapy and energy-based therapies show promise but require further investigation. Conclusions: Urinary incontinence in menopausal women is best addressed through an individualized, multimodal approach that integrates conservative, hormonal, minimally invasive, and surgical options. Combination therapies demonstrate superior efficacy in addressing both continence and GSM-related symptoms. Future research should refine patient selection, optimize multimodal treatment algorithms, and prioritize long-term outcomes and quality-of-life measures in clinical decision-making. Full article
(This article belongs to the Section Obstetrics & Gynecology)
24 pages, 5039 KB  
Article
Diet Reconstruction Under Limited Prior Information: Dietary Contributions and Isotopic Niche of Metridium senile in the North Yellow Sea
by Yongsong Zhao, Xiujuan Shan, Guangliang Teng, Shiqi Song, Yunlong Chen and Xianshi Jin
Biology 2025, 14(11), 1508; https://doi.org/10.3390/biology14111508 - 28 Oct 2025
Viewed by 304
Abstract
Biomass of the plumose anemone Metridium senile has surged in the benthic ecosystem of the North Yellow Sea in recent years. Understanding its diet and the proportional contributions of food sources is essential for assessing the ecological consequences of this expansion. The species [...] Read more.
Biomass of the plumose anemone Metridium senile has surged in the benthic ecosystem of the North Yellow Sea in recent years. Understanding its diet and the proportional contributions of food sources is essential for assessing the ecological consequences of this expansion. The species is often characterized as a passive suspension feeder, yet laboratory feeding trials have documented shrimp consumption. Because prior dietary information from the region is scarce, conventional stable isotope approaches are poorly constrained. We developed an integrative framework coupling trophic position estimation, isotopic niche metrics, spatial point pattern analysis, and a Bayesian mixing model to improve diet attribution under limited prior information and to test whether M. senile preys on small-bodied and juvenile teleosts and invertebrates under natural conditions. Our analyses showed that: (i) M. senile occupied a high trophic position (TP = 3.09 ± 0.25), exceeding those estimated for putative predators in our dataset, implying weak top-down control; (ii) in isotopic niche analyses, M. senile showed high posterior probabilities of occurring within the niches of cephalopods and medium-sized fishes (78.30% and 63.04%, respectively), consistent with shared prey and inconsistent with a strictly suspension-feeding strategy; (iii) mixing space diagnostics informed by spatial point pattern analysis indicated that including small-sized fishes and shrimps as sources was necessary to reconcile the elevated TP; and (iv) the Bayesian mixing model estimated that small-bodied and juvenile teleosts and invertebrates supplied most long-term nutrition (posterior mean ≈ 0.65), with the remainder from suspension-derived sources, consistent with an opportunistic generalist rather than a strict suspension feeder. Sustained predation on small-bodied and juvenile teleosts and invertebrates could suppress early fish recruitment, impose top-down control on forage species, and alter the local food web structure. Management should monitor M. senile (size structure, population density, and co-occurrence with juveniles and forage biota) and consider targeted removals and seafloor litter cleanups in priority habitats. The framework is applicable to diet studies with limited prior information; adding δ34S, compound-specific amino-acid isotopes (CSIA-AA), and DNA-based dietary evidence should further sharpen source discrimination. Full article
Show Figures

Graphical abstract

21 pages, 2767 KB  
Article
System-Level Evaluation of Autonomous Vehicle Lane Deployment Strategies Under Mixed Traffic Flow
by Weiyi Long, Wei Wang and Kun Jin
Systems 2025, 13(11), 958; https://doi.org/10.3390/systems13110958 - 28 Oct 2025
Viewed by 224
Abstract
Connected and Autonomous Vehicles (CAVs) are expected to reshape future transportation systems. During the long transition period, in which CAVs and human-driven vehicles (HVs) coexist, deploying CAV-dedicated lanes offers a promising approach to enhancing overall efficiency, but raises concerns about distributional fairness. This [...] Read more.
Connected and Autonomous Vehicles (CAVs) are expected to reshape future transportation systems. During the long transition period, in which CAVs and human-driven vehicles (HVs) coexist, deploying CAV-dedicated lanes offers a promising approach to enhancing overall efficiency, but raises concerns about distributional fairness. This study develops a system-level evaluation framework that integrates bi-level network capacity optimization with practical planning constraints to determine optimal lane-deployment strategies. The bi-level model aims to maximize network reserve capacity at the upper level, while it captures mixed-traffic flow distribution under the lower-level user equilibrium (UE) principle. Both levels are constrained by CAV market penetration (MPR), social equity, and budget bound considerations. To ensure computational tractability, nonlinear relationships are linearized through Piecewise Linear Approximation (PLA), converting the original Mixed-Integer Nonlinear Programming (MINLP) model into a Mixed-Integer Linear Programming (MILP) formulation solvable by standard optimization solvers. Numerical experiments on the Sioux Falls network demonstrate that increasing MPR and dedicated lane deployment can substantially improve network capacity by up to 36% compared with the baseline, with diminishing marginal benefits as deployment scale excesses. Incorporating equity constraints further reduce the HV–CAV cost gap, promoting fairer outcomes without significant efficiency loss. These findings offer quantitative evidence on the efficiency–equity trade-offs in CAV-dedicated lanes planning and provide practical implications for policymakers in developing sustainable strategies. Full article
Show Figures

Figure 1

Back to TopTop