Sign in to use this feature.

Years

Between: -

Subjects

remove_circle_outline
remove_circle_outline
remove_circle_outline
remove_circle_outline
remove_circle_outline
remove_circle_outline

Journals

Article Types

Countries / Regions

Search Results (8)

Search Parameters:
Keywords = microporous aluminophosphates

Order results
Result details
Results per page
Select all
Export citation of selected articles as:
15 pages, 5488 KB  
Article
Regulation of the Properties of the Hierarchical Porous Structure of Alumophosphate Molecular Sieves AEL by Reaction Gels Prepared with Different Templates
by Arthur R. Zabirov, Dmitry V. Serebrennikov, Rezeda Z. Kuvatova, Nadezhda A. Filippova, Rufina A. Zilberg, Olga S. Travkina and Marat R. Agliullin
Gels 2025, 11(4), 297; https://doi.org/10.3390/gels11040297 - 17 Apr 2025
Viewed by 793
Abstract
Microporous alumophosphate molecular sieves AlPO4-n are promising materials for use in catalysis, gas adsorption, and gas separation. However, AlPO4-n faces problems such as diffusion limitations that lead to a deterioration in mass transfer. To solve this problem, we studied [...] Read more.
Microporous alumophosphate molecular sieves AlPO4-n are promising materials for use in catalysis, gas adsorption, and gas separation. However, AlPO4-n faces problems such as diffusion limitations that lead to a deterioration in mass transfer. To solve this problem, we studied the crystallization of alumophosphate reaction gels prepared using aluminum isopropoxide and various secondary amines as templates, including diethyl-, di-n-propyl-, diisopropyl-, and di-n-butylamines. Using X-ray diffraction, Ramon spectroscopy, and STEM methods, it has been demonstrated that the reaction gels prepared using DPA, DIPA, and DBA are amorphous xerogels consisting of 5–10 nm nanoparticles. The reaction gel prepared with DEA is a combination of a layered phase and an amorphous aluminophosphate. It has been shown that the use of aluminum iso-propoxide allows the production of AlPO4-11 in the form of 2–4 µm aggregates consisting of primary AlPO4-11 nanocrystals. The template was found to exert a significant effect upon both the characteristics of the porous structure and the size of AlPO-11 nanocrystals. A template is proposed for the synthesis of hierarchical AlPO4-11 with a maximum volume of mesopores. The morphology and crystal size of AlPO4-11 were found to strongly influence its adsorption properties in the adsorption of octane. Full article
(This article belongs to the Special Issue Gel-Related Materials: Challenges and Opportunities)
Show Figures

Graphical abstract

15 pages, 4699 KB  
Article
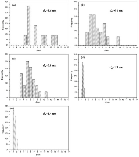
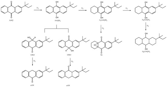
The Effects of AlPO-n Additives as Catalytic Support on Pd-Catalytic Hydrogenation of 2-Amylanthraquinone Process
by Dawei Li, Hongjiu Su, Hua Yan, Xiaoye Yang, Junhong Zhou and Shudong Wang
Catalysts 2022, 12(10), 1156; https://doi.org/10.3390/catal12101156 - 1 Oct 2022
Cited by 1 | Viewed by 2299
Abstract
The Pd-catalyzed hydrogenation of anthraquinone to synthesize hydrogen peroxide is an important process in the chemical industry. A Pd catalyst with high dispersion is the key to hydrogenation activity and selectivity. For the first time, this team introduced the AlPO-5 zeolite to SiO [...] Read more.
The Pd-catalyzed hydrogenation of anthraquinone to synthesize hydrogen peroxide is an important process in the chemical industry. A Pd catalyst with high dispersion is the key to hydrogenation activity and selectivity. For the first time, this team introduced the AlPO-5 zeolite to SiO2 powder to prepare a finely dispersed Pd catalyst with higher efficiency than the conventional Pd/SiO2 catalyst. Based on previous research, other aluminophosphate molecular sieves (AlPO-n) with different properties from AlPO-5 were introduced to the SiO2 support, and then the synthesized hydrogenation catalysts were characterized by the BET, XRD, H2-TPR, NH3-TPD, H2-TPD, XPS and HRTEM methods and then tested for the hydrogenation of 2-amylanthraquinone in a continuous stirred tank reactor (CSTR). It was demonstrated that the Pd-AlPO-31/SiO2 catalyst exhibits superior H2O2 yield (8.4 g·L−1) and selectivity (96%) among all prepared Pd-AlPO-n/SiO2 and Pd/SiO2 catalysts. The characterization results suggest that the dimensions and structure of AlPO-31 micropore channels are responsible for highly dispersing Pd particles, preventing the accumulation of Pd particles, and intensifying H2 adsorption in its micropore channels, which is significant for the catalytic activity. Full article
Show Figures

Graphical abstract

43 pages, 8540 KB  
Article
Mechanical Characterization of Anhydrous Microporous Aluminophosphate Materials: Tridimensional Incompressibility, Ductility, Isotropy and Negative Linear Compressibility
by Francisco Colmenero, Álvaro Lobato and Vicente Timón
Solids 2022, 3(3), 457-499; https://doi.org/10.3390/solids3030032 - 16 Aug 2022
Cited by 2 | Viewed by 4555
Abstract
Here, a detailed mechanical characterization of five important anhydrous microporous aluminophosphate materials (VPI-5, ALPO-8, ALPO-5, ALPO-18, and ALPO-31) is performed using first principles methods based on periodic density functional theory. These materials are characterized by the presence of large empty structural channels expanding [...] Read more.
Here, a detailed mechanical characterization of five important anhydrous microporous aluminophosphate materials (VPI-5, ALPO-8, ALPO-5, ALPO-18, and ALPO-31) is performed using first principles methods based on periodic density functional theory. These materials are characterized by the presence of large empty structural channels expanding along several different crystallographic directions. The elasticity tensors, mechanical properties, and compressibility functions of these materials are determined and analyzed. All of these materials have a common elastic behavior and share many mechanical properties. They are largely incompressible at zero pressure, the compressibilities along the three crystallographic directions being frequently smaller than 5 TPa1. Notably, the compressibilities of ALPO-5 and ALPO-31 along the three principal directions are smaller than this threshold. Likewise, the compressibilities of ALPO-18 along two directions are smaller than 5 TPa1. All of the considered materials are shear resistant and ductile due to the large bulk to shear moduli ratio. Furthermore, all of these materials have very small mechanical anisotropies. ALPO-18 exhibits the negative linear compressibility (NLC) phenomenon for external pressures in the range P = 1.21 to P = 2.70 GPa. The minimum value of the compressibility along the [1 0 0] direction, ka=30.9 TPa1, is encountered for P = 2.04 GPa. The NLC effect in this material can be rationalized using the empty channel structural mechanism. The effect of water molecule adsorption in the channels of ALPO-18 is assessed by studying the hydrated ALPO-18 material (ALPO-18W). ALPO-18W is much more compressible and less ductile than ALPO-18 and does not present NLC effects. Finally, the effect of aging and pressure polymorphism in the mechanical properties of VPI-5 and ALPO-5 is studied. As hydration, aging leads to significant variations in the elastic properties of VPI-5 and increases substantially its compressibility. For ALPO-5, pressure polymorphism has a small impact in its elasticity at zero pressure but a large influence at high pressure. Full article
Show Figures

Graphical abstract

11 pages, 2260 KB  
Article
Insight in the Crystallization Kinetics of AlPO4-11 Molecular Sieve Using Di-Isopropylamine as Template
by Renilson O. Mapele, Antonio O. S. Silva, Marcelo J. B. Souza, Anne M. G. Pedrosa, Ana C. F. Coriolano, Glauber J. T. Fernandes, Valter J. Fernandes and Antonio S. Araujo
Appl. Sci. 2021, 11(14), 6544; https://doi.org/10.3390/app11146544 - 16 Jul 2021
Cited by 1 | Viewed by 2555
Abstract
The hydrothermal synthesis of aluminophosphate molecular sieve type AlPO4-11 was processed from chemicals containing psueudobohemite, 85% phosphoric acid, water, and di-isopropylamine as templating agent. The crystallization of the samples was studied by taking samples in times from 2 to 74 h. [...] Read more.
The hydrothermal synthesis of aluminophosphate molecular sieve type AlPO4-11 was processed from chemicals containing psueudobohemite, 85% phosphoric acid, water, and di-isopropylamine as templating agent. The crystallization of the samples was studied by taking samples in times from 2 to 74 h. The obtained white powder products were characterized by X-ray diffraction patterns (XRD), Fourier transform infrared spectroscopy (FT-IR), thermogravimetry (TG) and differential scanning calorimetry (DTG) data and pH measurement of the mother liquor. The pore volume, as determined from TG and DTG curves, was ca. 0.17 cm3g−1. The percent relative crystallinity was determined by XRD and FT-IR methods. The crystallization kinetics evidenced that the hydrothermal synthesis of AlPO4-11 exhibited in its initial phase a behavior of first order reaction with a specific velocity constant of ca. 0.25 h−1, as determined from XRD and FT-IR data. The results obtained by both X-ray diffraction and infrared spectroscopy are comparable, and FT-IR is found to be a rapid method for estimating crystallinity and structure of aluminophosphate. Full article
Show Figures

Figure 1

12 pages, 30762 KB  
Article
Tailoring Water Adsorption Capacity of APO-Tric
by Suzana Mal, Alenka Ristić, Amalija Golobič and Nataša Zabukovec Logar
Crystals 2021, 11(7), 773; https://doi.org/10.3390/cryst11070773 - 2 Jul 2021
Cited by 3 | Viewed by 2924
Abstract
Microporous triclinic AlPO4-34, known as APO-Tric, serves as an excellent water adsorbent in thermal energy storage, especially for low temperature thermochemical energy storage. Increased water adsorption capacity of thermochemical material usually leads to higher thermal energy storage capacity, thus offering improved [...] Read more.
Microporous triclinic AlPO4-34, known as APO-Tric, serves as an excellent water adsorbent in thermal energy storage, especially for low temperature thermochemical energy storage. Increased water adsorption capacity of thermochemical material usually leads to higher thermal energy storage capacity, thus offering improved performance of the adsorbent. The main disadvantage of aluminophosphate-based TCM materials is their high cost due to the use of expensive organic templates acting as structure directing agents. Using ionic liquids as low cost solvents with associated structure directing role can increase the availability of these water adsorbents for TES applications. Here, a green synthesis of APO-Tric crystals at elevated and ambient pressure by using 1-ethyl-3-methyl imidazolium bromide ionic liquid is presented. Large 200 µm romboid shaped monocrystals were obtained at 200 °C after 6 days. The structure of APO-Tric and the presence of 1,3-dimetylimidazolium cation in the micropores were determined by single crystal XRD at room temperature and 150 K. Water sorption capacity of APO-Tric prepared by ionothermal synthesis at elevated pressure increased in comparison to the material obtained at hydrothermal synthesis most probably due to additional structural defects obtained after calcination. The reuse of exhausted ionic liquid was also confirmed, which adds to the reduction of toxicity and cost production of the aluminophosphate synthesis. Full article
(This article belongs to the Special Issue Crystals for Thermal Energy Storage)
Show Figures

Graphical abstract

15 pages, 4599 KB  
Article
White Light Emission by Simultaneous One Pot Encapsulation of Dyes into One-Dimensional Channelled Aluminophosphate
by Rebeca Sola-Llano, Ainhoa Oliden-Sánchez, Almudena Alfayate, Luis Gómez-Hortigüela, Joaquín Pérez-Pariente, Teresa Arbeloa, Johan Hofkens, Eduard Fron and Virginia Martínez-Martínez
Nanomaterials 2020, 10(6), 1173; https://doi.org/10.3390/nano10061173 - 16 Jun 2020
Cited by 5 | Viewed by 3301
Abstract
By simultaneous occlusion of rationally chosen dyes, emitting in the blue, green and red region of the electromagnetic spectrum, into the one-dimensional channels of a magnesium-aluminophosphate with AEL-zeolitic type structure, MgAPO-11, a solid-state system with efficient white light emission under UV excitation, was [...] Read more.
By simultaneous occlusion of rationally chosen dyes, emitting in the blue, green and red region of the electromagnetic spectrum, into the one-dimensional channels of a magnesium-aluminophosphate with AEL-zeolitic type structure, MgAPO-11, a solid-state system with efficient white light emission under UV excitation, was achieved. The dyes herein selected—acridine (AC), pyronin Y (PY), and hemicyanine LDS722—ensure overall a good match between their molecular sizes and the MgAPO-11 channel dimensions. The occlusion was carried out via the crystallization inclusion method, in a suitable proportion of the three dyes to render efficient white fluorescence systems by means of fine-tuned FRET (fluorescence resonance energy transfer) energy transfer processes. The FRET processes are thoroughly examined by the analysis of fluorescence decay traces using the femtosecond fluorescence up-conversion technique. Full article
(This article belongs to the Special Issue Photoactive Nanomaterials)
Show Figures

Graphical abstract

23 pages, 2170 KB  
Article
Improved Magnetization Transfers among Quadrupolar Nuclei in Two-Dimensional Homonuclear Correlation NMR Experiments Applied to Inorganic Network Structures
by Yang Yu, Philipp Keil, Michael Ryan Hansen and Mattias Edén
Molecules 2020, 25(2), 337; https://doi.org/10.3390/molecules25020337 - 14 Jan 2020
Cited by 10 | Viewed by 3681
Abstract
We demonstrate that supercycles of previously introduced two-fold symmetry dipolar recoupling schemes may be utilized successfully in homonuclear correlation nuclear magnetic resonance (NMR) spectroscopy for probing proximities among half-integer spin quadrupolar nuclei in network materials undergoing magic-angle-spinning (MAS). These (SR2 [...] Read more.
We demonstrate that supercycles of previously introduced two-fold symmetry dipolar recoupling schemes may be utilized successfully in homonuclear correlation nuclear magnetic resonance (NMR) spectroscopy for probing proximities among half-integer spin quadrupolar nuclei in network materials undergoing magic-angle-spinning (MAS). These (SR2 2 1 ) M , (SR2 4 1 ) M , and (SR2 8 1 )M recoupling sequences with M = 3 and M = 4 offer comparably efficient magnetization transfers in single-quantum–single-quantum (1Q–1Q) correlation NMR experiments under moderately fast MAS conditions, as demonstrated at 14.1 T and 24 kHz MAS in the contexts of 11 B NMR on a Na 2 O–CaO–B 2 O 3 –SiO 2 glass and 27 Al NMR on the open framework aluminophosphate AlPO-CJ19 [(NH 4 ) 2 Al 4 (PO 4 ) 4 HPO 4 · H 2 O]. Numerically simulated magnetization transfers in spin–3/2 pairs revealed a progressively enhanced tolerance to resonance offsets and rf-amplitude errors of the recoupling pulses along the series (SR2 2 1 ) M < (SR2 4 1 ) M < (SR2 8 1 )M for increasing differences in chemical shifts between the two nuclei. Nonetheless, for scenarios of a relatively minor chemical-shift dispersions ( 3 kHz), the (SR2 2 1 )M supercycles perform best both experimentally and in simulations. Full article
(This article belongs to the Special Issue Solid-State NMR Spectroscopy in Materials Chemistry)
Show Figures

Figure 1

17 pages, 968 KB  
Article
AlPOs Synthetic Factor Analysis Based on Maximum Weight and Minimum Redundancy Feature Selection
by Yuting Guo, Jianzhong Wang, Na Gao, Miao Qi, Ming Zhang, Jun Kong and Yinghua Lv
Int. J. Mol. Sci. 2013, 14(11), 22132-22148; https://doi.org/10.3390/ijms141122132 - 8 Nov 2013
Cited by 2 | Viewed by 5220
Abstract
The relationship between synthetic factors and the resulting structures is critical for rational synthesis of zeolites and related microporous materials. In this paper, we develop a new feature selection method for synthetic factor analysis of (6,12)-ring-containing microporous aluminophosphates (AlPOs). The proposed method is [...] Read more.
The relationship between synthetic factors and the resulting structures is critical for rational synthesis of zeolites and related microporous materials. In this paper, we develop a new feature selection method for synthetic factor analysis of (6,12)-ring-containing microporous aluminophosphates (AlPOs). The proposed method is based on a maximum weight and minimum redundancy criterion. With the proposed method, we can select the feature subset in which the features are most relevant to the synthetic structure while the redundancy among these selected features is minimal. Based on the database of AlPO synthesis, we use (6,12)-ring-containing AlPOs as the target class and incorporate 21 synthetic factors including gel composition, solvent and organic template to predict the formation of (6,12)-ring-containing microporous aluminophosphates (AlPOs). From these 21 features, 12 selected features are deemed as the optimized features to distinguish (6,12)-ring-containing AlPOs from other AlPOs without such rings. The prediction model achieves a classification accuracy rate of 91.12% using the optimal feature subset. Comprehensive experiments demonstrate the effectiveness of the proposed algorithm, and deep analysis is given for the synthetic factors selected by the proposed method. Full article
(This article belongs to the Section Physical Chemistry, Theoretical and Computational Chemistry)
Show Figures

Back to TopTop