Sign in to use this feature.

Years

Between: -

Subjects

remove_circle_outline
remove_circle_outline
remove_circle_outline
remove_circle_outline
remove_circle_outline
remove_circle_outline
remove_circle_outline
remove_circle_outline
remove_circle_outline

Journals

remove_circle_outline
remove_circle_outline
remove_circle_outline
remove_circle_outline
remove_circle_outline
remove_circle_outline
remove_circle_outline
remove_circle_outline
remove_circle_outline
remove_circle_outline
remove_circle_outline
remove_circle_outline
remove_circle_outline
remove_circle_outline
remove_circle_outline
remove_circle_outline
remove_circle_outline
remove_circle_outline
remove_circle_outline

Article Types

Countries / Regions

remove_circle_outline
remove_circle_outline
remove_circle_outline
remove_circle_outline
remove_circle_outline
remove_circle_outline

Search Results (2,472)

Search Parameters:
Keywords = microporation

Order results
Result details
Results per page
Select all
Export citation of selected articles as:
30 pages, 8888 KB  
Article
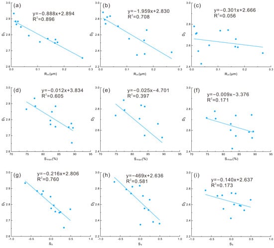
Influence of Key Parameters on the Fractal Dimension and Impact on Gas-Bearing Capacity: A Case Study from the Lower Shihezi Formation, Ordos Basin
by Lei Bao, Yuming Liu, Qi Chen, Zhanyang Zhang and Jiagen Hou
Fractal Fract. 2025, 9(12), 799; https://doi.org/10.3390/fractalfract9120799 - 5 Dec 2025
Abstract
Pore–throat structure and gas distribution are critical factors in evaluating the quality of tight sandstone reservoirs and hydrocarbon resource potential. Twelve tight sandstone samples from the Lower Permian Shihezi Formation in Hangjin Banner, Ordos Basin, were selected for CTS, X-ray diffraction, HPMI, and [...] Read more.
Pore–throat structure and gas distribution are critical factors in evaluating the quality of tight sandstone reservoirs and hydrocarbon resource potential. Twelve tight sandstone samples from the Lower Permian Shihezi Formation in Hangjin Banner, Ordos Basin, were selected for CTS, X-ray diffraction, HPMI, and gas displacement NMR analyses. By converting the T2 spectra into pore–throat distributions and applying fractal methods, we quantitatively analyzed the influences of multiple factors on gas distribution characteristics across different pore–throat sizes. The main results are as follows: All samples exhibit a three-stage pore–throat distribution, defining mesopores, micropores, and nanopores; quartz content mainly influences the fractal dimension of mesopores by enhancing structural stability and gas storage capacity, whereas clay minerals control the fractal characteristics of nanopores by increasing pore–throat complexity. An increase in clay mineral content increases the fractal dimension, indicating stronger reservoir heterogeneity and consequently poorer gas-bearing capacity. Larger pore–throat parameters (Rm, Sk, and Smax) correspond to lower fractal dimensions, indicating better connectivity and greater gas storage capacity. Among these factors, pore–throat parameters exert the most significant influence on the fractal dimensions of mesopores and micropores, jointly determining the overall connectivity and the upper limit of the reservoir’s gas-bearing capacity. The results demonstrate that larger pore–throat parameters and higher quartz content help reduce the fractal dimension and enhance the gas-bearing capacity of tight reservoirs. This research enhances understanding of pore–throat structures and gas-bearing capacity in low-permeability reservoirs and provides a theoretical basis for exploration, development, and enhanced recovery in the study area. Full article
Show Figures

Figure 1

18 pages, 1581 KB  
Article
Synthesis and Characterization of Activated Biocarbons Produced from Avocado Seeds Using the Non-Toxic and Environmentally Friendly Activating Agent K2CO3 for CO2 Capture
by Joanna Siemak and Beata Michalkiewicz
Molecules 2025, 30(23), 4658; https://doi.org/10.3390/molecules30234658 - 4 Dec 2025
Abstract
Activated biocarbons were synthesized from avocado seeds using potassium carbonate as an activating agent. The study aimed to evaluate K2CO3 as a greener and less corrosive alternative to KOH, traditionally used for producing porous carbons. Twelve samples were obtained under [...] Read more.
Activated biocarbons were synthesized from avocado seeds using potassium carbonate as an activating agent. The study aimed to evaluate K2CO3 as a greener and less corrosive alternative to KOH, traditionally used for producing porous carbons. Twelve samples were obtained under varying activation conditions using both dry K2CO3 and its saturated solution. The material activated at 800 °C with a 1:1 precursor-to-activator ratio (C_K2CO3_800) showed the highest CO2 adsorption capacity of 6.26 mmol/g at 0 °C and 1 bar. Nitrogen adsorption–desorption analysis confirmed a predominantly microporous structure, with ultramicropores (0.3–0.7 nm) primarily responsible for the high CO2 uptake. The Sips model provided the best fit to the adsorption equilibrium data, indicating a heterogeneous surface. The isosteric heat of adsorption (22–26 kJ/mol) confirmed a physical adsorption mechanism. Furthermore, the CO2/N2 selectivity, evaluated using the Ideal Adsorbed Solution Theory (IAST), reached values up to 18 at low pressures, highlighting the excellent separation performance. These findings demonstrate that avocado seed-derived activated carbons prepared with K2CO3 are efficient, renewable, and environmentally friendly sorbents for CO2 capture, combining high adsorption capacity with sustainability and ease of synthesis. Full article
(This article belongs to the Special Issue From Biomass to High-Value Products: Processes and Applications)
Show Figures

Figure 1

15 pages, 2628 KB  
Article
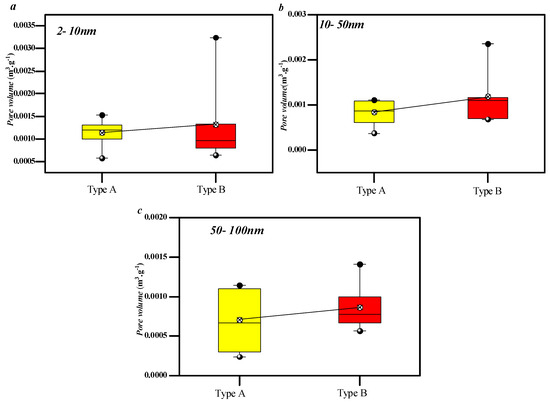
Multiscale Pore Structure and Heterogeneity of Deep Medium-Rank Coals in the Eastern Ordos Basin
by Zhengyuan Qin, Lu Chen, Zhiguo Li, Guangwei Xu, Lianying Du, Jinlong Jia, Jianxiong Yang, Vivek Agarwal and Stephen Grebby
Processes 2025, 13(12), 3912; https://doi.org/10.3390/pr13123912 - 3 Dec 2025
Viewed by 123
Abstract
The pore–fracture system in coal reservoirs is a critical factor controlling coalbed methane (CBM) productivity. This study focuses on deep coal samples from the Benxi and Taiyuan formations in the southeastern margin of the Ordos Basin. Using low-pressure CO2 and N2 [...] Read more.
The pore–fracture system in coal reservoirs is a critical factor controlling coalbed methane (CBM) productivity. This study focuses on deep coal samples from the Benxi and Taiyuan formations in the southeastern margin of the Ordos Basin. Using low-pressure CO2 and N2 adsorption experiments combined with fractal theory (Song and FHH models), the pore structure and heterogeneity of micropores (<2 nm) and mesopores (2–100 nm) were systematically analyzed. The results indicate that ash content is the primary inhibiting factor for pore development, showing significant negative correlations with micropore specific surface area, pore volume, and mesopore volume. The influence of macerals exhibits scale-dependent effects: vitrinite is the main contributor to micropore development, while vitrinite and ash content show a synergistic positive correlation with the volume proportion of 10–50 nm mesopores. Thermal maturity has no significant impact on pore volume but notably enhances mesopore heterogeneity. This study reveals an “ash-dominant, vitrinite-assisted” pore development pattern in low- to medium-rank coals, providing a theoretical basis for the efficient development of deep CBM. Full article
Show Figures

Figure 1

20 pages, 3676 KB  
Article
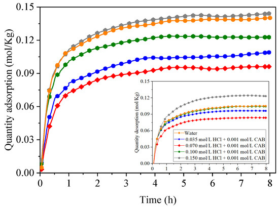
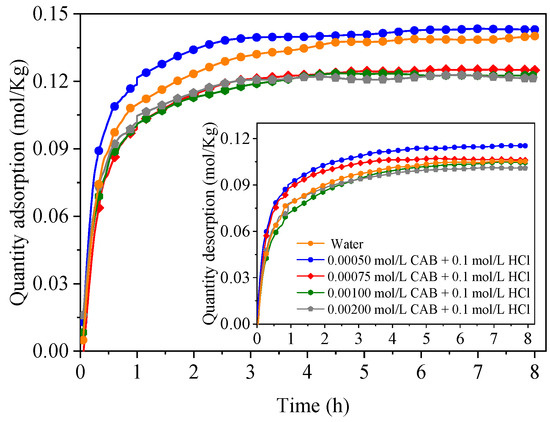
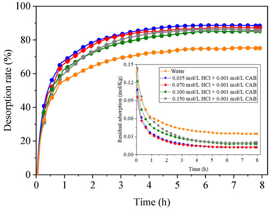
Investigation of CH4 Desorption–Diffusion Properties Under the Stepwise Wetting–Corrosion Effects of Hydrochloric Acid and Cocamidopropyl Betaine
by Kai Dong, Wei Zhang, Dongliang Zhong and Jin Yan
Energies 2025, 18(23), 6336; https://doi.org/10.3390/en18236336 - 2 Dec 2025
Viewed by 86
Abstract
Coalbed methane (CBM) is an unconventional natural gas primarily stored in coal seams. The efficient recovery of CBM mainly depends on the desorption and diffusion process. In this study, a stepwise wetting–corrosion method employing a combination of surfactant (cocamidopropyl betaine) and acid (hydrochloric [...] Read more.
Coalbed methane (CBM) is an unconventional natural gas primarily stored in coal seams. The efficient recovery of CBM mainly depends on the desorption and diffusion process. In this study, a stepwise wetting–corrosion method employing a combination of surfactant (cocamidopropyl betaine) and acid (hydrochloric acid) was proposed to promote the desorption and diffusion of CBM. The microstructure and CH4 desorption–diffusion characteristics of the coal samples treated with the stepwise wetting–corrosion method were evaluated at varying concentrations of cocamidopropyl betaine (CAB) and hydrochloric acid (HCl). The relationship between wettability, specific surface area, and CH4 adsorption–desorption was identified, and the effect of pore connectivity on CH4 diffusion was investigated. The results indicate that the stepwise wetting–corrosion treatment eliminated mineral blockages within the coal matrix, thereby clearing the microporous pathways and improving the overall pore connectivity for methane transport enhancement. By preventing the contact between the surfactant and the acid, the breakdown of surfactant molecules was inhibited. This enabled homogeneous acidizing throughout the coal matrix, which reduced the specific surface area and increased the methane desorption rate by 13.99%. In addition, a significant reduction in the mass transfer Biot number and a notable enhancement in methane diffusivity were obtained. Therefore, the stepwise wetting–corrosion method combining CAB and HCl shows a potential to increase gas production and will provide an alternative to traditional high-energy fracturing techniques, contributing to efficient and sustainable CBM extraction. Full article
Show Figures

Figure 1

17 pages, 1652 KB  
Article
Boron-Doped Bamboo-Derived Porous Carbon via Dry Thermal Treatment for Enhanced Electrochemical Performance
by Hyeon-Hye Kim, Cheol-Ki Cho, Ju-Hwan Kim, Hye-Min Lee, Kay-Hyeok An, Dong-Cheol Chung and Byung-Joo Kim
Batteries 2025, 11(12), 443; https://doi.org/10.3390/batteries11120443 - 2 Dec 2025
Viewed by 139
Abstract
In this study, boron was introduced into bamboo-derived porous carbon (BPC) through dry thermal treatment using boric acid. During heat treatment, boric acid was converted to B2O3, which subsequently interacted with the oxygen-containing surface groups of BPC, leading to [...] Read more.
In this study, boron was introduced into bamboo-derived porous carbon (BPC) through dry thermal treatment using boric acid. During heat treatment, boric acid was converted to B2O3, which subsequently interacted with the oxygen-containing surface groups of BPC, leading to the formation and evolution of B–O–B and B–C bonds. This boron-induced bonding network reconstruction enhanced π-electron delocalization and surface polarity, while maintaining the intrinsic microporous framework of BPC. Among the prepared samples, B-BPC-1 exhibited an optimized balance between the conductive domains and defect concentration, resulting in lower internal resistance and improved ion transport behavior. Correspondingly, B-BPC-1 delivered a better capacitive performance than both undoped BPC and commercial activated carbon. These results indicate that controlling boron incorporation under appropriate heat-treatment conditions effectively improves charge-transfer kinetics while maintaining a stable pore morphology. The proposed dry thermal doping method provides a practical and environmentally benign route for developing high-performance porous carbon electrodes for electric double-layer capacitor applications. Full article
Show Figures

Figure 1

16 pages, 2097 KB  
Article
Copper Recovery from a Refractory Sulfide Mineral by Ferric Leaching and Regeneration of the Leaching Medium Through Catalytic Oxidation with Carbon for Recirculation
by Verónica Cascante-Alvarado, Ernesto de la Torre and Carlos F. Aragón-Tobar
AppliedChem 2025, 5(4), 38; https://doi.org/10.3390/appliedchem5040038 - 2 Dec 2025
Viewed by 73
Abstract
Optimizing copper recovery from sulfide minerals such as chalcopyrite, which constitutes over 70% of global copper reserves, is essential due to the depletion of conventional copper oxide resources. This study aimed to establish optimal ferric leaching conditions for a chalcopyrite-rich concentrate to maximize [...] Read more.
Optimizing copper recovery from sulfide minerals such as chalcopyrite, which constitutes over 70% of global copper reserves, is essential due to the depletion of conventional copper oxide resources. This study aimed to establish optimal ferric leaching conditions for a chalcopyrite-rich concentrate to maximize copper recovery and to evaluate the regeneration of the oxidizing potential in the residual leaching solution for reuse. Ferric sulfate (Fe2(SO4)3), as a ferric ion (Fe3+) carrier, was used as oxidizing agents at a concentration of [0.1 M] in sulfuric acid ([0.5 M] H2SO4), using a CuFeS2 concentrate (75% chalcopyrite) leached over 80 h. Copper was recovered through cementation with metallic iron, while the residual leaching solution, containing ferrous ions, was analyzed to determine total iron content via atomic absorption spectroscopy and to assess the presence of ferrous ions through KMnO4 titration. This step was crucial, as an excess of ferrous ions would indicate a loss of oxidizing potential of the ferric ion (Fe3+). Catalytic oxidation was conducted with microporous activated carbon (30 g/L) to regenerate Fe3+ for a second leaching cycle, achieving 90.7% Fe2+ oxidation. Optimal leaching conditions resulted in 95% soluble copper recovery at 1% solids, d80: 74 μm, pH < 2, Eh > 450 mV, 92 °C, [0.5 M] H2SO4, and [0.1 M] Fe2(SO4)3. In the second cycle, the regenerated solution reached 75% copper recovery. These findings highlight temperature as a critical factor for copper recovery and demonstrate catalytic oxidation as a viable method for regenerating ferric solutions in industrial applications. Full article
Show Figures

Figure 1

20 pages, 8298 KB  
Article
Fractal and CT Analysis of Water-Bearing Coal–Rock Composites Under True Triaxial Loading–Unloading
by Qiang Xu, Ze Xia, Shuyu Du, Yukuan Fan, Gang Huang, Shengyan Chen, Zhisen Zhang and Yang Liu
Fractal Fract. 2025, 9(12), 782; https://doi.org/10.3390/fractalfract9120782 - 1 Dec 2025
Viewed by 159
Abstract
To reveal the deformation and failure mechanisms as well as the fracture evolution patterns of water-bearing coal–rock composites under complex stress conditions, this study established a true triaxial stress model for the key load-bearing structure of mined coal pillar dams and developed a [...] Read more.
To reveal the deformation and failure mechanisms as well as the fracture evolution patterns of water-bearing coal–rock composites under complex stress conditions, this study established a true triaxial stress model for the key load-bearing structure of mined coal pillar dams and developed a true triaxial loading apparatus capable of implementing localized unloading paths. True triaxial loading–unloading tests were conducted on coal–rock composites under different water content conditions, and the internal fracture structures were quantitatively characterized using CT scanning combined with fractal analysis. The results indicate that: (1) under a constant axial stress-unloading confining stress path, failure primarily occurs in the coal component, and the extent of failure significantly increases with the water content of the roof rock. For instance, the total fracture volume in the coal body increased by approximately 66% from the dry to the saturated state, while the lateral strain at peak stress decreased by about 65% over the same range, indicating a transition towards more brittle behavior. (2) CT scanning and three-dimensional reconstruction results reveal that the fracture system exhibits pronounced multi-scale polarization, with significant differences in volume, surface area, and morphological parameters between the main fractures and micropores, reflecting strong heterogeneity and anisotropy; (3) fractal dimension analysis of two-dimensional slices indicates that the fracture structures exhibit fractal characteristics in all directions, with the spatial distribution of fractal dimensions closely related to the loading direction. Overall, the XY-direction fractures exhibit the highest complexity, whereas the XZ and YZ directions show pronounced directional anisotropy. As water content increases, the amplitude of fractal dimension fluctuations rises, reflecting an enhancement in the geometric complexity of the fracture system. Full article
Show Figures

Figure 1

20 pages, 4707 KB  
Article
Study on Degradation of Oxytetracycline in Water by PMS Activated by Modified Macadamia Nut Shell Biochar
by Yixin Lu, Aojie Wang, Yi Wu, Linyun Gu, Shuyuan Liu and Guo Liu
Processes 2025, 13(12), 3867; https://doi.org/10.3390/pr13123867 - 30 Nov 2025
Viewed by 185
Abstract
With a complex molecular structure, oxytetracycline (OTC) has characteristics such as bioaccumulation and poor degradability. As a result, if it accumulates in the environment, it can cause bacteria to develop drug resistance, thereby affecting human health. There is a considerable cultivation area for [...] Read more.
With a complex molecular structure, oxytetracycline (OTC) has characteristics such as bioaccumulation and poor degradability. As a result, if it accumulates in the environment, it can cause bacteria to develop drug resistance, thereby affecting human health. There is a considerable cultivation area for macadamia nuts in southwestern China. This study mainly focuses on macadamia nut shells, preparing macadamia nut shell biochar (MBC) and cobalt-modified macadamia nut shell biochar (Co-MBC) for activating permonosulphate (PMS) to remove OTC in the water. To determine the optimal preparation conditions for the biochar, the effects of the pyrolysis temperature and the mass ratio of biomass to cobalt sulfate heptahydrate were investigated. The study shows that after modification, the surface roughness of the material increased, transforming into a micro-pore structure; thus, the specific surface area increases significantly and new functional groups appear on the surface. The optimal pyrolysis temperature for the biochar was determined to be 600 °C, and the optimal mass ratio of biomass to cobalt sulfate heptahydrate was 15:1. Under such conditions, the removal rate of OTC by a Co15-MBC600/PMS system in 20 min can reach 95.53%. The reaction mechanism involves pathways of the free radical (SO4) and non-free radical (1O2), and the Co2+/Co3+ cycle can promote the activation of PMS. Finally, the OTC can be mineralized into CO2 and H2O by reactions such as demethylation and decarboxylation. Co-MBC is highly effective and green and can be reused; therefore, it has good prospects for the removal of OTC in waste water. Full article
(This article belongs to the Special Issue Application of Biochar in Environmental Research)
Show Figures

Figure 1

25 pages, 15318 KB  
Article
Dual-Triggered Release Mechanisms in Calcium Alginate/Fe3O4 Capsules for Asphalt Self-Healing: Cyclic Load-Induced Sustained Release and Microwave-Activated On-Demand Delivery
by Pei Wan, Jiazhu Wang, Zirong Ma, Zhiming Lin, Peixin Zhong, Xiaobin Zou, Yilun Shen, Niecheng Lin, Hang Chen, Shaopeng Wu, Quantao Liu, Jianlin Feng, Lei Zhang and Xing Gong
Polymers 2025, 17(23), 3187; https://doi.org/10.3390/polym17233187 - 29 Nov 2025
Viewed by 209
Abstract
The calcium alginate/Fe3O4 capsules with multi-chamber structure can release interior rejuvenator under cyclic load and microwave irradiation; however, the rejuvenator release mechanism of capsules under two types of external activation is still unknown. Hence, this paper investigates the rejuvenator release [...] Read more.
The calcium alginate/Fe3O4 capsules with multi-chamber structure can release interior rejuvenator under cyclic load and microwave irradiation; however, the rejuvenator release mechanism of capsules under two types of external activation is still unknown. Hence, this paper investigates the rejuvenator release mechanism of capsules in asphalt concrete under cyclic load and microwave irradiation. This research covers the synthesis of calcium alginate/Fe3O4 capsules and the evaluation of fundamental characteristics. The asphalt concrete containing capsules are subjected to cyclic load and microwave irradiation, respectively. The rejuvenator discharge ratio of capsules after external activation is determined using FTIR spectrum analysis. Furthermore, the structure characteristics of the extracted capsules are monitored after cyclic load and microwave irradiation. The findings indicate that the capsules present a sustained release feature under cyclic load. The outer capsule surfaces forms microcracks (diffusion channel) and inner chamber walls generate micropores (release channel) under cyclic load pressure. The capsules release inner rejuvenator rapidly under the microwave irradiation. The nano-Fe3O4 particles generate irregular movement and form microwave action spots under the action of microwave irradiation, and the micropores (release and diffusion channel) occur on the outer surface of capsules and inner chamber wall. This paper reveals the mechanism of long-lasting slow release under cyclic load and active release under microwave irradiation of dual-responsive capsules, which may provide a theoretical basis for the all-season service of the capsule and the long-term intelligent maintenance of asphalt pavement. Full article
(This article belongs to the Section Smart and Functional Polymers)
Show Figures

Figure 1

20 pages, 5525 KB  
Article
A Novel Sealant Containing Calcium Sulfoaluminate Nanoparticles on Micro-Arc Oxidation Coating and Its Sealing Mechanism
by Junlin Chen, Yifei Zhou, Runhui Huang, Chao Zhan and Guozhe Meng
Molecules 2025, 30(23), 4587; https://doi.org/10.3390/molecules30234587 - 28 Nov 2025
Viewed by 134
Abstract
Although micro-arc oxidation (MAO) coatings are widely used due to their corrosion and wear resistance, their inherent micro-pore defects seriously affect their service life. The conventional sealing materials to these defects often fail to bond well with the pore wall due to volume [...] Read more.
Although micro-arc oxidation (MAO) coatings are widely used due to their corrosion and wear resistance, their inherent micro-pore defects seriously affect their service life. The conventional sealing materials to these defects often fail to bond well with the pore wall due to volume shrinkage during curing, resulting in a service life that still does not meet expectations. Here, a novel pore-sealant is prepared to overcome the issue by adding nano calcium sulfoaluminate (CAS) expansive fillers. The modified CAS particles were compounded with glycidyl methacrylate (CAS sealant) and were driven to seal the micro-pores of MAO coatings by negative pressure. Results indicate that the surface porosity of the MAO coating decreased almost to zero after sealing treatment with the CAS sealant. Its low-frequency impedance |Z|0.01Hz remained at 108 Ω·cm2 after 672 h of immersion, which is three orders of magnitude higher than that achieved by traditional sealing methods. The mechanism is that the interface defects at fillers/pore walls are filled by the sealant volume expansion due to CAS water absorption, which significantly inhibits the rate of corrosion medium penetration into the coating. Full article
Show Figures

Figure 1

25 pages, 5596 KB  
Article
Effect of Multiple Mechanical Recycling Cycles on the Structure and Properties of PHBV Biocomposites Filled with Spent Coffee Grounds (SCG)
by Grzegorz Janowski, Wiesław Frącz, Łukasz Bąk, Janusz W. Sikora, Adam Tomczyk, Grażyna Mrówka-Nowotnik, Beata Mossety-Leszczak and Beata Pawłowska
Materials 2025, 18(23), 5368; https://doi.org/10.3390/ma18235368 - 28 Nov 2025
Viewed by 198
Abstract
The growing demand for sustainable materials in a circular economy necessitates the evaluation of the recyclability of biodegradable composites. This study aims to investigate the effect of multiple mechanical recycling cycles on the properties of a poly(3-hydroxybutyrate-co-3-hydroxyvalerate) (PHBV) biocomposite containing 45 wt% spent [...] Read more.
The growing demand for sustainable materials in a circular economy necessitates the evaluation of the recyclability of biodegradable composites. This study aims to investigate the effect of multiple mechanical recycling cycles on the properties of a poly(3-hydroxybutyrate-co-3-hydroxyvalerate) (PHBV) biocomposite containing 45 wt% spent coffee grounds (SCG). The material was produced via extrusion and injection molding, followed by five consecutive recycling cycles under controlled processing parameters. Changes in mechanical properties (tensile strength, elastic modulus, elongation at break, hardness, and impact tensile strength), processing shrinkage, thermal structure (DSC), and microstructure (SEM) were evaluated. The results revealed a gradual increase in PHBV crystallinity, confirmed by DSC analysis. Consequently, the changes in mechanical properties were significant; specifically, the elastic modulus increased by approximately 9.6% and hardness improved, whereas elongation at break decreased by approx. 18% and impact strength declined, indicating a transition towards a stiffer but more brittle material. SEM observations suggested microstructural evolution with reduced agglomerates after subsequent cycles and the predominance of a brittle fracture mechanism. Linear shrinkage in the flow direction remained stable, whereas changes in thickness shrinkage correlated with the formation of micropores. The findings demonstrate that PHBV-SCG biocomposites maintain adequate mechanical and processing performance even after five recycling cycles, highlighting their potential for applications within a circular economy framework. Full article
(This article belongs to the Special Issue Advances in Materials Processing (4th Edition))
Show Figures

Figure 1

10 pages, 1311 KB  
Article
The Electron Shuttle Critical Distance of Low Molecular Weight Organic Matters Accelerating Microbial Ferrihydrite Reduction
by Qun Xue, Jingtao Duan, Zhen Yang, Guoxin Sun and Jie Jiang
Molecules 2025, 30(23), 4559; https://doi.org/10.3390/molecules30234559 - 26 Nov 2025
Viewed by 208
Abstract
The redox activity of natural organic matter (NOM) is crucial for contaminants transformation in soils. Soil micropores (<2.5 nm) have limited accessibility for microorganisms and large NOM molecules; therefore, insoluble organic pollutants and heavy metals trapped in these micropores are usually reached by [...] Read more.
The redox activity of natural organic matter (NOM) is crucial for contaminants transformation in soils. Soil micropores (<2.5 nm) have limited accessibility for microorganisms and large NOM molecules; therefore, insoluble organic pollutants and heavy metals trapped in these micropores are usually reached by low molecular weight fractions (LMWF) of NOM. However, the mechanism of spatial electron transfer via electron shuttle of LMWF remains unclear. In this study, we separated low molecular weight fractions (LMWF < 3500 Da and LMWF < 14,000 Da) of Leonardite humic acids (LHA) and measured its acceleration of microbial ferrihydrite reduction. The results show that LMWF, as an electron shuttle, significantly accelerates the reduction in Fe (III), among which 3500-LMWF is the main fraction contributing to the acceleration. Additionally, 3D-EEM shows that quinone content was positively correlated with reduction efficiency, supporting its role as the key functional group. Based on the accelerating experiments, we determined an electron shuttling critical distance of 117.2 nm for LMWF LHA. These findings establish LMWFs as effective natural electron shuttles, providing a theoretical basis for understanding pollutant dynamics in soil micropores. Full article
Show Figures

Figure 1

20 pages, 7705 KB  
Article
Synthesis and Properties of *BEA Zeolite Modified with Iron(III) Oxide
by Giovana Magalhães dos Santos, Mateus Freitas Paiva, Juliene Oliveira Campos de França, Sílvia Cláudia Loureiro Dias and José Alves Dias
Inorganics 2025, 13(12), 383; https://doi.org/10.3390/inorganics13120383 - 24 Nov 2025
Viewed by 248
Abstract
Modification of zeolitic structures through the incorporation of transition metal oxides has proven to be a promising approach for heterogeneous catalysis. In the present study, *BEA zeolite was modified using the incipient wetness impregnation method with varying amounts (10, 20, and 40 wt.%) [...] Read more.
Modification of zeolitic structures through the incorporation of transition metal oxides has proven to be a promising approach for heterogeneous catalysis. In the present study, *BEA zeolite was modified using the incipient wetness impregnation method with varying amounts (10, 20, and 40 wt.%) of iron(III) oxide to investigate its structural and physicochemical properties. Characterization techniques such as XRD, UV–Vis DRS, FT–IR, Raman spectroscopy, SEM/EDS, TEM/EDS, and SAED, as well as textural and thermal analyses, were employed to assess the main changes. Different iron species were detected, including isolated iron(III) and well-dispersed Fe2O3 nanoparticles coating the zeolite surface. Under the synthesis conditions, increased Fe2O3 loading promoted hematite nanocrystal growth and the formation of the α-Fe2O3 phase, as demonstrated by XRD, Raman, and SAED analyses. Key observations included the preservation of the zeolite framework, high relative crystallinity (ranging from 70% to 85%), and a band gap of approximately 2.0 eV. Furthermore, a general increase in mesoporosity and external surface area was observed, along with a reduction in the number of acidic sites. This decrease may be attributed to restricted accessibility of the probe molecule (pyridine) to Brønsted sites due to micropore blockage in *BEA. These results demonstrate that the adopted synthesis method effectively produced α-Fe2O3/BEA catalysts, with no other crystalline phases of iron(III) oxide detected. Full article
(This article belongs to the Special Issue Mixed Metal Oxides, 3rd Edition)
Show Figures

Graphical abstract

24 pages, 10775 KB  
Article
Lithofacies-Controlled Pore Characteristics and Mechanisms in Continental Shales: A Case Study from the Qingshankou Formation, Songliao Basin
by Xinshu Huang, Zhiping Li, Xiangxue Han, Yongchao Wang and Yiyuan Guo
Minerals 2025, 15(12), 1239; https://doi.org/10.3390/min15121239 - 23 Nov 2025
Viewed by 267
Abstract
Pore systems in continental shales are controlled by lithofacies and show strong heterogeneity, which challenges shale oil development. The Qingshankou Formation in the Songliao Basin is a major shale oil play in China. Previous studies have focused on macroscopic reservoir properties, with limited [...] Read more.
Pore systems in continental shales are controlled by lithofacies and show strong heterogeneity, which challenges shale oil development. The Qingshankou Formation in the Songliao Basin is a major shale oil play in China. Previous studies have focused on macroscopic reservoir properties, with limited analysis of pore differences among lithofacies. This study integrates mineralogy, organic geochemistry, and multi-scale pore structure characterization to examine four typical lithofacies: argillaceous, siliceous, calcareous, and mixed shales. Results show that pore evolution in the Qingshankou Formation can be divided into five stages: immature (Ro < 0.6%), low maturity (0.6% < Ro ≤ 0.8%), middle maturity (0.8% < Ro ≤ 1.0%), high maturity (1.0% < Ro ≤ 1.2%), and over maturity (Ro > 1.2%). The overall pattern follows a “three declines and two increases” trend. Due to differences in mineral composition and organic matter (OM), each lithofacies displays dis-tinct pore characteristics, which further influence oil-bearing potential and mobility. Siliceous shale, rich in felsic minerals, exhibits well-preserved pores and a developed micro-fracture network, providing the largest pore volume and average diameter. This facilitates the storage and flow of free oil, making it the preferred exploration target. Argillaceous shale, characterized by abundant clay minerals and OM, supports micropore development and offers the highest specific surface area (SSA). This yields significant adsorbed oil potential, highlighting its value as a secondary exploration target. This study clarifies the lithofacial controls on pore development in continental shales, providing a scientific basis for predicting favorable intervals and optimizing exploration strategies in the Qingshankou Formation and analogous basins. Full article
Show Figures

Figure 1

16 pages, 5786 KB  
Article
Clinoptilolite-Based Adsorbents for Paracetamol Removal
by Szymon Wójcik, Katarzyna Fendrych, Włodzimierz Mozgawa and Magdalena Król
Molecules 2025, 30(23), 4506; https://doi.org/10.3390/molecules30234506 - 22 Nov 2025
Viewed by 280
Abstract
This study investigates the adsorption of paracetamol from aqueous solutions using natural clinoptilolite and its modified forms. The raw zeolite (p-CLI) was converted into its protonic (H-CLI) and organo-modified (o-CLI) counterparts through ammonium exchange and calcination, and treatment with hexadecyltrimethylammonium bromide (HDTMA-Br), respectively. [...] Read more.
This study investigates the adsorption of paracetamol from aqueous solutions using natural clinoptilolite and its modified forms. The raw zeolite (p-CLI) was converted into its protonic (H-CLI) and organo-modified (o-CLI) counterparts through ammonium exchange and calcination, and treatment with hexadecyltrimethylammonium bromide (HDTMA-Br), respectively. The materials were characterized by XRD, FT-IR, and SEM analyses. XRD confirmed that the clinoptilolite crystalline framework was preserved after both modifications, while FT-IR and SEM revealed partial removal of exchangeable cations in H-CLI and the formation of an HDTMA-derived organic layer on the external surface of o-CLI. Adsorption experiments were carried out under batch conditions at initial paracetamol concentrations of 0.5–10 mg/L, and equilibrium paracetamol concentrations were determined using differential pulse voltammetry (DPV). The raw clinoptilolite exhibited negligible adsorption capacity (<0.10 mg/g) due to its hydrophilic surface and microporous framework, which limit interaction with neutral organic molecules. Conversion to the protonic form slightly enhanced the adsorption performance (~0.15 mg/g), while HDTMA modification resulted in a modest additional increase (~0.25 mg/g), attributed to the formation of hydrophobic and organophilic surface sites. Overall, the results indicate that surface functionalization can improve the affinity of clinoptilolite toward weakly polar pharmaceuticals; however, the adsorption capacities remain limited. The novelty of this work lies in combining voltametric quantification with a direct comparison of proton-exchanged and surfactant-modified clinoptilolite to elucidate how specific structural and surface changes influence paracetamol uptake. Full article
(This article belongs to the Section Green Chemistry)
Show Figures

Figure 1

Back to TopTop