Sign in to use this feature.

Years

Between: -

Subjects

remove_circle_outline
remove_circle_outline
remove_circle_outline
remove_circle_outline
remove_circle_outline
remove_circle_outline
remove_circle_outline
remove_circle_outline
remove_circle_outline

Journals

remove_circle_outline
remove_circle_outline
remove_circle_outline
remove_circle_outline
remove_circle_outline
remove_circle_outline
remove_circle_outline
remove_circle_outline
remove_circle_outline
remove_circle_outline

Article Types

Countries / Regions

remove_circle_outline
remove_circle_outline
remove_circle_outline
remove_circle_outline
remove_circle_outline
remove_circle_outline

Search Results (1,143)

Search Parameters:
Keywords = magnetic vector

Order results
Result details
Results per page
Select all
Export citation of selected articles as:
18 pages, 4012 KB  
Article
A Sequential Adaptive Linear Kalman Filter Based on the Geophysical Field for Robust MARG Attitude Estimation
by Taoran Zhao, Ziwei Deng, Zhijian Jiang, Menglei Wang, Junfeng Zhou, Yiyang Xu and Xinhua Lin
Appl. Sci. 2025, 15(21), 11593; https://doi.org/10.3390/app152111593 - 30 Oct 2025
Viewed by 37
Abstract
In magnetometer, accelerometer, and rate gyroscope (MARG) attitude and heading reference systems, accelerometers and magnetometers are susceptible to external acceleration and soft/hard magnetic anomalies, which reduce the attitude estimation accuracy. To address this problem, a sequential adaptive Kalman filter algorithm based on the [...] Read more.
In magnetometer, accelerometer, and rate gyroscope (MARG) attitude and heading reference systems, accelerometers and magnetometers are susceptible to external acceleration and soft/hard magnetic anomalies, which reduce the attitude estimation accuracy. To address this problem, a sequential adaptive Kalman filter algorithm based on the geophysical field is proposed for anti-interference MARG attitude estimation. By establishing the linear system model based on the gravitational field and geomagnetic field, the singularity and coupling in other system models are avoided. Additionally, the sequential Sage–Husa adaptive strategy is employed to estimate the measurement noise parameters in real time by a specific force and magnetic vector, which suppresses the impact of external acceleration and the soft/hard magnetic anomalies. To verify the effectiveness and advancement of the proposed algorithm, a series of anti-interference experiments were designed. Experimental results show that, compared with the geophysical-field-based Kalman filter algorithm without an adaptive strategy, the proposed improved algorithm reduces the yaw maximum error by over 94% and inclination maximum error by over 21%, which improves the MARG attitude estimation robustness and makes this algorithm superior to the existing three adaptive strategies and two algorithms. Full article
(This article belongs to the Special Issue Navigation and Positioning Based on Multi-Sensor Fusion Technology)
Show Figures

Figure 1

14 pages, 20276 KB  
Article
A Discrete Space Vector Modulation MPC-Based Artificial Neural Network Controller for PMSM Drives
by Jiawei Guo, Takahiro Kawaguchi and Seiji Hashimoto
Machines 2025, 13(11), 996; https://doi.org/10.3390/machines13110996 - 30 Oct 2025
Viewed by 66
Abstract
In addition to the basic voltage vector modulation technique, virtual vectors can be generated through the discrete space vector modulation (DSVM) technique. Consequently, DSVM-based model predictive control (MPC) can achieve the reduction in current harmonics and torque ripples in permanent magnet synchronous machine [...] Read more.
In addition to the basic voltage vector modulation technique, virtual vectors can be generated through the discrete space vector modulation (DSVM) technique. Consequently, DSVM-based model predictive control (MPC) can achieve the reduction in current harmonics and torque ripples in permanent magnet synchronous machine (PMSM) drives. However, as the number of virtual candidate voltage vectors becomes excessively large, the computational burden increases significantly. This paper proposes an artificial neural network (ANN) control algorithm, in which massive input and output datasets generated by an existing DSVM-MPC algorithm are utilized for ANN offline training. In this way, the ANN can efficiently select the optimal voltage vector without enumerating all candidate voltage vectors, thereby reducing the heavy online computation of the DSVM-MPC controller and significantly reducing the computational burden. Finally, the effectiveness of the proposed ANN controller is validated. Full article
(This article belongs to the Section Electrical Machines and Drives)
Show Figures

Figure 1

19 pages, 65499 KB  
Article
Variable Control Period Model Predictive Current Control with Current Hysteresis for Permanent Magnet Synchronous Motor Drives
by Yuhao Guo, Fuxi Jiang, Siqi Wang, Shanmei Cheng and Zuoqi Hu
Actuators 2025, 14(11), 517; https://doi.org/10.3390/act14110517 - 25 Oct 2025
Viewed by 327
Abstract
Conventional finite control set model predictive control (FCS-MPC) for permanent magnet synchronous motor (PMSM) drives suffers from a fundamental trade-off: shortening the control period improves current tracking but increases switching frequency and losses. This paper proposes a hysteresis-based variable control period MPC (HBVCP-MPC) [...] Read more.
Conventional finite control set model predictive control (FCS-MPC) for permanent magnet synchronous motor (PMSM) drives suffers from a fundamental trade-off: shortening the control period improves current tracking but increases switching frequency and losses. This paper proposes a hysteresis-based variable control period MPC (HBVCP-MPC) to break this compromise. Unlike methods like direct torque control (DTC) and model predictive direct torque control (MPDTC) that use hysteresis to select voltage vectors (VV), our approach first selects the optimal VV via a cost function that balances current tracking accuracy and switching frequency. Hysteresis on the dq-axis currents is then employed solely to dynamically determine the application time of this pre-selected VV, which defines the variable control period. This grants continuous adjustment over the VV duration, enabling superior current tracking without a proportional rise in switching frequency. Experimental results confirm that the proposed method achieves enhanced steady-state performance at a comparable switching frequency. Full article
Show Figures

Figure 1

20 pages, 862 KB  
Article
Comparison of Advanced Predictive Controllers for IPMSMs in BEV and PHEV Traction Applications
by Romain Cocogne, Sebastien Bilavarn, Mostafa El-Mokadem and Khaled Douzane
World Electr. Veh. J. 2025, 16(11), 592; https://doi.org/10.3390/wevj16110592 - 24 Oct 2025
Viewed by 391
Abstract
The adoption of Interior Permanent Magnet Synchronous Motor (IPMSM) in Battery Electric Vehicle (BEV) and Plug-in Hybrid Electric Vehicle (PHEV) drives the need for innovative approaches to improve control performance and power conversion efficiency. This paper aims at evaluating advanced Model Predictive Control [...] Read more.
The adoption of Interior Permanent Magnet Synchronous Motor (IPMSM) in Battery Electric Vehicle (BEV) and Plug-in Hybrid Electric Vehicle (PHEV) drives the need for innovative approaches to improve control performance and power conversion efficiency. This paper aims at evaluating advanced Model Predictive Control (MPC) strategies for IPMSM drives in a methodic comparison with the most widespread Field Oriented Control (FOC). Different extensions of direct Finite Control Set MPC (FCS-MPC) and indirect Continuous Control Set MPC (CCS-MPC) MPCs are considered and evaluated in terms of reference tracking performance, robustness, power efficiency, and complexity based on Matlab, Simulink™ simulations. Results confirm the inherent better control quality of MPCs over FOC in general and allow us to further identify some possible directions for improvement. Moreover, indirect MPCs perform better, but complexity may prevent them from supporting real-time implementation in some cases. On the other hand, direct MPCs are less complex and reduce inverter losses but at the cost of increased Total Harmonic Distortion (THD) and decreased robustness to parameters deviations. These results also highlight various trade-offs between different predictive control strategies and their feasibility for high-performance automotive applications. Full article
(This article belongs to the Section Propulsion Systems and Components)
Show Figures

Figure 1

28 pages, 12538 KB  
Article
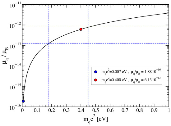
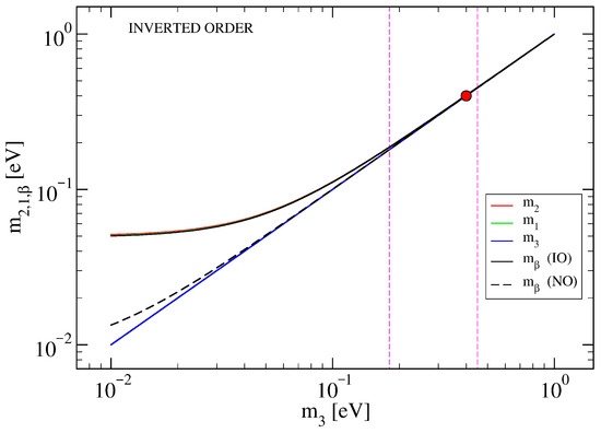
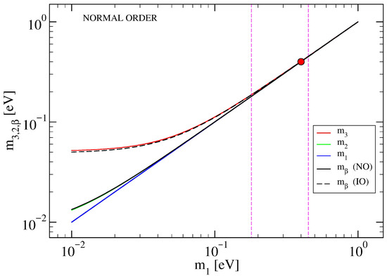
Embedding Vacuum Fluctuations in the Dirac Equation: On the Neutrino Electric Millicharge and Magnetic Moment
by Hector Eduardo Roman
Axioms 2025, 14(11), 779; https://doi.org/10.3390/axioms14110779 - 23 Oct 2025
Viewed by 178
Abstract
An extension of the Dirac equation for an initially massless particle carrying an electric charge, assumed to be embedded via minimal coupling into an external fluctuating electromagnetic four-potential of the vacuum, is suggested. We conjecture that appropriate averages of the four-vector can lead [...] Read more.
An extension of the Dirac equation for an initially massless particle carrying an electric charge, assumed to be embedded via minimal coupling into an external fluctuating electromagnetic four-potential of the vacuum, is suggested. We conjecture that appropriate averages of the four-vector can lead to observable quantities, such as a particle mass in its rest frame. The conditions on the potential mean values to become gauge-invariant are obtained. The mass is found to be proportional to the magnitude of the charge times the associated mean Lorentz scalar of the four-potential, and the relation holds for both spacelike and timelike types of four-vectors. For the latter, the extended Dirac equation violates Lorentz covariance, but the violation can be argued to occur within a time scale allowed by the uncertainty principle. For larger times, the particle has acquired a mass and Lorentz covariance is restored. This mathematical scenario is applied to acquire estimates of the neutrino millicharge and magnetic moment, in good agreement with the present upper bounds obtained experimentally. The issue of unstable particle decay is considered by focusing, for illustration, on the main decay channels of the selected particles. From the lifetime of the τ lepton, a lower bound of the effective neutrino mass is predicted, which can be tested in future experiments. Full article
(This article belongs to the Special Issue Special Functions and Related Topics, 2nd Edition)
Show Figures

Graphical abstract

17 pages, 6213 KB  
Article
Preoperative Prediction of Axillary Lymph Node Metastasis in Breast Cancer Using Radiomics Features of Voxel-Wise DCE-MRI Time-Intensity-Curve Profile Maps
by Ya Ren, Kexin Chen, Meng Wang, Jie Wen, Sha Feng, Honghong Luo, Cuiju He, Yuan Guo, Dehong Luo, Xin Liu, Dong Liang, Hairong Zheng, Na Zhang and Zhou Liu
Biomedicines 2025, 13(10), 2562; https://doi.org/10.3390/biomedicines13102562 - 21 Oct 2025
Viewed by 336
Abstract
Objective: Axillary lymph node (ALN) status in breast cancer is pivotal for guiding treatment and determining prognosis. The study aimed to explore the feasibility and efficacy of a radiomics model using voxel-wise dynamic contrast-enhanced magnetic resonance imaging (DCE-MRI) time-intensity-curve (TIC) profile maps [...] Read more.
Objective: Axillary lymph node (ALN) status in breast cancer is pivotal for guiding treatment and determining prognosis. The study aimed to explore the feasibility and efficacy of a radiomics model using voxel-wise dynamic contrast-enhanced magnetic resonance imaging (DCE-MRI) time-intensity-curve (TIC) profile maps to predict ALN metastasis in breast cancer. Methods: A total of 615 breast cancer patients who underwent preoperative DCE-MRI from October 2018 to February 2024 were retrospectively enrolled and randomly allocated into training (n = 430) and testing (n = 185) sets (7:3 ratio). Based on wash-in rate, wash-out enhancement, and wash-out stability, each voxel within manually segmented 3D lesions that were categorized into 1 of 19 TIC subtypes from the DCE-MRI images. Three feature sets were derived: composition ratio (type-19), radiomics features of TIC subtypes (type-19-radiomics), and radiomics features of third-phase DCE-MRI (phase-3-radiomics). Student’s t-test and the least absolute shrinkage and selection operator (LASSO) was used to select features. Four models (type-19, type-19-radiomics, type-19-combined, and phase-3-radiomics) were constructed by a support vector machine (SVM) to predict ALN status. Model performance was assessed using sensitivity, specificity, accuracy, F1 score, and area under the curve (AUC). Results: The type-19-combined model significantly outperformed the phase-3-radiomics model (AUC = 0.779 vs. 0.698, p < 0.001; 0.674 vs. 0.559) and the type-19 model (AUC = 0.779 vs. 0.541, p < 0.001; 0.674 vs. 0.435, p < 0.001) in cross-validation and independent testing sets. The type-19-radiomics showed significantly better performance than the phase-3-radiomics model (AUC = 0.764 vs. 0.698, p = 0.002; 0.657 vs. 0.559, p = 0.037) and type-19 model (AUC = 0. 764 vs. 0.541, p < 0.001; 0.657 vs. 0.435, p < 0.001) in cross-validation and independent testing sets. Among four models, the type-19-combined model achieved the highest AUC (0.779, 0.674) in cross-validation and testing sets. Conclusions: Radiomics analysis of voxel-wise DCE-MRI TIC profile maps, simultaneously quantifying temporal and spatial hemodynamic heterogeneity, provides an effective, noninvasive method for predicting ALN metastasis in breast cancer. Full article
(This article belongs to the Special Issue Breast Cancer Research: Charting Future Directions)
Show Figures

Figure 1

20 pages, 37279 KB  
Article
Design, Implementation and Experimental Validation of an ADCS Helmholtz Cage
by Paweł Zagórski, Dawid Knapik, Krzysztof Kołek, Maciej Rosół, Andrzej Tutaj and Alberto Gallina
Appl. Sci. 2025, 15(20), 11208; https://doi.org/10.3390/app152011208 - 20 Oct 2025
Viewed by 307
Abstract
This work presents a validation process of a Helmholtz cage developed by the authors at AGH University of Krakow. This type of test stand can generate a near-uniform, precisely controlled magnetic field inside its workspace. This is a crucial tool for several applications, [...] Read more.
This work presents a validation process of a Helmholtz cage developed by the authors at AGH University of Krakow. This type of test stand can generate a near-uniform, precisely controlled magnetic field inside its workspace. This is a crucial tool for several applications, including calibration of magnetic sensors, testing magnetorquers, and hardware-in-the-loop tests of attitude determination and control systems of small satellites. Although many institutions develop Helmholtz cages, we found the literature on methods of validating the final accuracy and uniformity of the generated magnetic field somewhat lacking. In this research, we showcase an approach to perform 3D scans of the magnetic field inside the cage using a probe actuated by a robotic arm. With that method, we verified that the magnitude and angle nonuniformity of the magnetic field vectors in our cage are below 2 percent and 0.4°, respectively, for a wide range of control inputs. We also perform background magnetic field measurements to identify and quantify sources of magnetic disturbances coming from the outside of our system and propose methods of minimizing their impact. It turns out that careful design and building process of the cage and its power driver might not be sufficient to achieve the optimal performance. In our case, we found that some factors, if unmitigated, can cause an error of a few milligauss. Hopefully, this work will help other teams developing similar devices avoid at least some of the possible pitfalls. Full article
(This article belongs to the Section Aerospace Science and Engineering)
Show Figures

Figure 1

22 pages, 2696 KB  
Article
Adaptive Maximum Power Capture Control for Wind Power Systems with VRB Storage Using SVR-Based Sensorless Estimation and FPNN-IPSO Optimization
by Kai-Hung Lu, Chih-Ming Hong and Fu-Sheng Cheng
Energies 2025, 18(20), 5461; https://doi.org/10.3390/en18205461 - 16 Oct 2025
Viewed by 256
Abstract
This study proposes a novel sensorless maximum power capture control strategy for variable-speed wind energy conversion systems employing a permanent magnet synchronous generator (PMSG). The proposed method integrates a fuzzy probabilistic neural network (FPNN) with an improved particle swarm optimization (IPSO) algorithm to [...] Read more.
This study proposes a novel sensorless maximum power capture control strategy for variable-speed wind energy conversion systems employing a permanent magnet synchronous generator (PMSG). The proposed method integrates a fuzzy probabilistic neural network (FPNN) with an improved particle swarm optimization (IPSO) algorithm to enable adaptive learning capabilities. Additionally, support vector regression (SVR) is employed to estimate wind speed without the use of mechanical sensors, thereby enhancing system reliability and reducing maintenance requirements. A vanadium redox battery (VRB) is integrated to enhance power stability under fluctuating wind conditions. Simulation results demonstrate that the proposed FPNN-IPSO-based controller achieves superior performance compared to conventional Takagi–Sugeno–Kang (TSK) fuzzy and proportional–integral (PI) controllers. Specifically, the FPNN-IPSO controller exhibits notable improvements in average power output, tracking accuracy, and overall system efficiency. The proposed method increases power output by 9.71% over the PI controller and supports Plug-and-Play operation, making it suitable for intelligent microgrid integration. This work demonstrates an effective approach for intelligent, sensorless MPC control in hybrid wind–battery microgrids. Full article
Show Figures

Figure 1

17 pages, 2716 KB  
Article
A Study on the Performance Comparison of Brain MRI Image-Based Abnormality Classification Models
by Jinhyoung Jeong, Sohyeon Bang, Yuyeon Jung and Jaehyun Jo
Life 2025, 15(10), 1614; https://doi.org/10.3390/life15101614 - 16 Oct 2025
Viewed by 291
Abstract
We developed a model that classifies normal and abnormal brain MRI images. This study initially referenced a small-scale real patient dataset (98 normal and 155 abnormal MRI images) provided by the National Institute of Aging (NIA) to illustrate the class imbalance challenge. However, [...] Read more.
We developed a model that classifies normal and abnormal brain MRI images. This study initially referenced a small-scale real patient dataset (98 normal and 155 abnormal MRI images) provided by the National Institute of Aging (NIA) to illustrate the class imbalance challenge. However, all experiments and performance evaluations were conducted on a larger synthetic dataset (10,000 images; 5000 normal and 5000 abnormal) generated from the National Imaging System (NIS/AI Hub). Therefore, while the NIA dataset highlights the limitations of real-world data availability, the reported results are based exclusively on the synthetic dataset. In the preprocessing step, all MRI images were normalized to the same size, and data augmentation techniques such as rotation, translation, and flipping were applied to increase data diversity and reduce overfitting during training. Based on deep learning, we fine-tuned our own CNN model and a ResNet-50 transfer learning model using ImageNet pretrained weights. We also compared the performance of our model with traditional machine learning using SVM (RBF kernel) and random forest classifiers. Experimental results showed that the ResNet-50 transfer learning model achieved the best performance, achieving approximately 95% accuracy and a high F1 score on the test set, while our own CNN also performed well. In contrast, SVM and random forests showed relatively poor performance due to their inability to sufficiently learn the complex characteristics of the images. This study confirmed that deep learning techniques, including transfer learning, achieve excellent brain abnormality detection performance even with limited real-world medical data. These results highlight methodological potential but should be interpreted with caution, as further validation with real-world clinical MRI data is required before clinical applicability can be established. Full article
(This article belongs to the Section Radiobiology and Nuclear Medicine)
Show Figures

Figure 1

32 pages, 5306 KB  
Review
Neuroimaging and Machine Learning in OCD: Advances in Diagnostic and Therapeutic Insights
by Norah A. Alturaiqi, Wijdan S. Aljebreen, Wedad Alawad, Shuaa S. Alharbi and Haifa F. Alhasson
Brain Sci. 2025, 15(10), 1106; https://doi.org/10.3390/brainsci15101106 - 14 Oct 2025
Viewed by 558
Abstract
Background/Objectives: Obsessive–Compulsive Disorder (OCD) is a chronic mental health condition characterized by intrusive thoughts and repetitive behaviors. Traditional diagnostic methods rely on subjective clinical assessments, delaying effective intervention. This review examines how advanced neuroimaging techniques, such as Magnetic Resonance Imaging (MRI) and Diffusion [...] Read more.
Background/Objectives: Obsessive–Compulsive Disorder (OCD) is a chronic mental health condition characterized by intrusive thoughts and repetitive behaviors. Traditional diagnostic methods rely on subjective clinical assessments, delaying effective intervention. This review examines how advanced neuroimaging techniques, such as Magnetic Resonance Imaging (MRI) and Diffusion Tensor Imaging (DTI), integrated with machine learning (ML), can improve OCD diagnostics by identifying structural and functional brain abnormalities, particularly in the cortico-striato-thalamo-cortical (CSTC) circuit. Methods: Findings from studies using MRI and DTI to identify OCD-related neurobiological markers are synthesized. Machine learning algorithms like Convolutional Neural Networks (CNNs) and Support Vector Machines (SVMs) are evaluated for their ability to analyze neuroimaging data. The role of transfer learning in overcoming dataset limitations and heterogeneity is also explored. Results: ML algorithms have achieved diagnostic accuracies exceeding 80%, revealing subtle neurobiological markers linked to OCD. Abnormalities in the CSTC circuit are consistently identified. Transfer learning shows promise in enhancing predictive modeling and enabling personalized treatment strategies, especially in resource-constrained settings. Conclusions: The integration of neuroimaging and ML represents a transformative approach to OCD diagnostics, offering improved accuracy and biologically informed insights. Future research should focus on optimizing multimodal imaging techniques, increasing data generalizability, and addressing interpretability challenges to enhance clinical applicability. These innovations have the potential to advance precision diagnostics and support more targeted therapeutic interventions, ultimately improving outcomes for individuals with OCD. Full article
Show Figures

Figure 1

24 pages, 1698 KB  
Article
Deep Learning-Based Classification of Transformer Inrush and Fault Currents Using a Hybrid Self-Organizing Map and CNN Model
by Heungseok Lee, Sang-Hee Kang and Soon-Ryul Nam
Energies 2025, 18(20), 5351; https://doi.org/10.3390/en18205351 - 11 Oct 2025
Viewed by 277
Abstract
Accurate classification between magnetizing inrush currents and internal faults is essential for reliable transformer protection and stable power system operation. Because their transient waveforms are so similar, conventional differential protection and harmonic restraint techniques often fail under dynamic conditions. This study presents a [...] Read more.
Accurate classification between magnetizing inrush currents and internal faults is essential for reliable transformer protection and stable power system operation. Because their transient waveforms are so similar, conventional differential protection and harmonic restraint techniques often fail under dynamic conditions. This study presents a two-stage classification model that combines a self-organizing map (SOM) and a convolutional neural network (CNN) to enhance robustness and accuracy in distinguishing between inrush currents and internal faults in power transformers. In the first stage, an unsupervised SOM identifies topologically structured event clusters without the need for labeled data or predefined thresholds. Seven features are extracted from differential current signals to form fixed-length input vectors. These vectors are projected onto a two-dimensional SOM grid to capture inrush and fault distributions. In the second stage, the SOM’s activation maps are converted to grayscale images and classified by a CNN, thereby merging the interpretability of clustering with the performance of deep learning. Simulation data from a 154 kV MATLAB/Simulink transformer model includes inrush, internal fault, and overlapping events. Results show that after one cycle following fault inception, the proposed method improves accuracy (AC), precision (PR), recall (RC), and F1-score (F1s) by up to 3% compared with a conventional CNN model, demonstrating its suitability for real-time transformer protection. Full article
(This article belongs to the Special Issue Application of Artificial Intelligence in Electrical Power Systems)
Show Figures

Graphical abstract

20 pages, 8941 KB  
Article
Transient Stability Enhancement of a PMSG-Based System by Saturated Current Angle Control
by Huan Li, Tongpeng Mu, Yufei Zhang, Duhai Wu, Yujun Li and Zhengchun Du
Appl. Sci. 2025, 15(20), 10861; https://doi.org/10.3390/app152010861 - 10 Oct 2025
Viewed by 293
Abstract
This paper investigates the transient stability of Grid-Forming (GFM) Permanent Magnet Synchronous Generator (PMSG) systems during grid faults. An analysis demonstrates how a fixed saturated current angle can trap the system in undesirable operating points, while reactive power coupling can degrade performance. Both [...] Read more.
This paper investigates the transient stability of Grid-Forming (GFM) Permanent Magnet Synchronous Generator (PMSG) systems during grid faults. An analysis demonstrates how a fixed saturated current angle can trap the system in undesirable operating points, while reactive power coupling can degrade performance. Both factors pose a risk of turbine overspeed and instability. To overcome these vulnerabilities, a dual-mechanism control strategy is proposed, featuring an adaptive saturated current angle control that, unlike conventional fixed-angle methods, which risk creating Current Limiting Control (CLC) equilibrium points, dynamically aligns the current vector with the grid voltage to guarantee a stable post-fault trajectory. The effectiveness of the proposed strategy is validated through time-domain simulations in MATLAB/Simulink. The results show that the proposed control not only prevents overspeed trip failures seen in conventional methods but also reduces post-fault recovery time by over 60% and significantly improves system damping, ensuring robust fault ride-through and enhancing overall system stability. Full article
(This article belongs to the Section Applied Physics General)
Show Figures

Figure 1

17 pages, 3259 KB  
Article
A Multivector Direct Model Predictive Control Scheme with Harmonic Suppression for DTP-PMSMs
by Baoyun Qi, Rui Yang, Yu Lu, Zhen Zhang, Bingchen Liang, Bin Deng, Jiancheng Liu, Liwei Yu and Hongyun Wu
Electronics 2025, 14(19), 3970; https://doi.org/10.3390/electronics14193970 - 9 Oct 2025
Viewed by 331
Abstract
A multivector direct model predictive control (DMPC) scheme is proposed for the dual three-phase permanent magnet synchronous machine (DTP-PMSM) drive system to achieve closed-loop control for both fundamental current tracking and harmonic current minimization. The proposed multivector DMPC scheme employs four active voltage [...] Read more.
A multivector direct model predictive control (DMPC) scheme is proposed for the dual three-phase permanent magnet synchronous machine (DTP-PMSM) drive system to achieve closed-loop control for both fundamental current tracking and harmonic current minimization. The proposed multivector DMPC scheme employs four active voltage vectors, including two large vectors and two basic vectors for implicit modulation. Moreover, the control optimization problem is formulated as a four-dimensional quadratic programming problem, which is suitable for real-time implementation. The proposed multivector DMPC scheme enables fast and accurate tracking of the fundamental current as well as effective suppression of harmonic currents in both the fundamental and harmonic subspaces. In addition, a Kalman filter observer is incorporated to enhance robustness against model uncertainties and disturbances. Experimental results on a DTP-PMSM test bench verify that the proposed multivector DMPC scheme effectively reduces torque ripple, improves current quality, and enhances both steady-state and transient performance of the system. Full article
(This article belongs to the Special Issue Emerging Technologies in Wireless Power and Energy Transfer Systems)
Show Figures

Figure 1

19 pages, 2433 KB  
Article
Two-Dimensional Analytical Magnetic Field Calculation in a Brushless Doubly Fed Reluctance Machine
by Slimane Tahi, Cherif Guerroudj, Smail Mezani, Rachid Ibtiouen and Noureddine Takorabet
Actuators 2025, 14(10), 486; https://doi.org/10.3390/act14100486 - 7 Oct 2025
Viewed by 264
Abstract
This paper proposes a 2D semi-analytical model based on the subdomain method for the performance analysis of a brushless doubly fed reluctance machine (BDFRM) with a salient pole rotor. In particular, assuming an infinite magnetic permeability of the iron core and assuming a [...] Read more.
This paper proposes a 2D semi-analytical model based on the subdomain method for the performance analysis of a brushless doubly fed reluctance machine (BDFRM) with a salient pole rotor. In particular, assuming an infinite magnetic permeability of the iron core and assuming a smooth stator, the field calculation region is divided into two solution subdomains, i.e., the rotor slot and air-gap. The magnetic vector potential in each subdomain is obtained by solving the governing PDE by the separation of variables method and employing the boundary conditions between adjacent interfaces. Moreover, based on the stored magnetic energy in the air-gap, the calculation of the three-phase windings’ self and mutual inductances is presented. Through a case study involving a 6/2 pole BDFRM, the accuracy of the developed subdomain model is confirmed by comparing its analytically predicted results with those obtained from two-dimensional finite element method (FEM) simulations. Full article
(This article belongs to the Special Issue Advanced Theory and Application of Magnetic Actuators—3rd Edition)
Show Figures

Figure 1

21 pages, 2942 KB  
Article
A Real-Time Six-Axis Electromagnetic Field Monitoring System with Wireless Transmission and Intelligent Vector Analysis for Power Environments
by Xiran Zheng, Xuecong Li, Yucheng Mai, Wendong Li, Meiqi Chen, Gengjie Huang, Zheng Zhang and Yue Wang
Appl. Sci. 2025, 15(19), 10785; https://doi.org/10.3390/app151910785 - 7 Oct 2025
Viewed by 551
Abstract
Accurate and real-time monitoring of low-frequency electromagnetic field (EMF) is essential in power and industrial environments, yet most conventional approaches still suffer from limited spatial coverage, manual operation, and insufficient digitization. To address these challenges, this paper proposes an intelligent EMF monitoring system [...] Read more.
Accurate and real-time monitoring of low-frequency electromagnetic field (EMF) is essential in power and industrial environments, yet most conventional approaches still suffer from limited spatial coverage, manual operation, and insufficient digitization. To address these challenges, this paper proposes an intelligent EMF monitoring system that integrates six-axis magnetic field sensing, temperature compensation, vector synthesis, Sub-1 GHz wireless communication, and real-time data visualization. The system supports simultaneous measurement of both AC and DC magnetic fields across the 30 Hz–100 kHz range, with specific optimization for power-frequency conditions (50/60 Hz). Designed with modular integration and low power consumption, it is suitable for portable deployment in field scenarios. Comprehensive laboratory and substation tests demonstrate high accuracy, with maximum measurement errors of 1.17% under zero-field and 1.42% under applied-field conditions—well below the ±5% tolerance defined by international standards. Wireless performance tests further confirm stable long-distance communication, achieving ranges of up to 5 km without significant transmission errors, while overall system measurement error reached as low as 0.015%. These results verify the system’s robustness, fidelity, and compliance with international safety standards. Overall, the proposed platform provides a practical and scalable solution for intelligent EMF monitoring, offering strong potential for deployment in industrial environments and infrastructure-critical applications. Full article
Show Figures

Figure 1

Back to TopTop