Sign in to use this feature.

Years

Between: -

Subjects

remove_circle_outline
remove_circle_outline
remove_circle_outline
remove_circle_outline

Journals

Article Types

Countries / Regions

Search Results (18)

Search Parameters:
Keywords = long-acting-β2-agonist (LABA)

Order results
Result details
Results per page
Select all
Export citation of selected articles as:
31 pages, 2843 KB  
Review
Respiratory Ciliary Beat Frequency in COPD: Balancing Oxidative Stress and Pharmacological Treatment
by Marta Joskova, Vladimira Sadlonova, Daniela Mokra, Ivan Kocan, Martina Sutovska, Karin Kackova and Sona Franova
Antioxidants 2025, 14(11), 1340; https://doi.org/10.3390/antiox14111340 - 6 Nov 2025
Viewed by 817
Abstract
In chronic obstructive pulmonary disease (COPD), dysregulated calcium homeostasis, oxidative stress, and mucus hypersecretion converge to suppress ciliary beat frequency (CBF), thereby compromising mucociliary clearance (MCC). These mechanisms are subject to pharmacological modulation. Long-acting muscarinic antagonists (LAMAs) exert direct cilia-stimulatory effects and may [...] Read more.
In chronic obstructive pulmonary disease (COPD), dysregulated calcium homeostasis, oxidative stress, and mucus hypersecretion converge to suppress ciliary beat frequency (CBF), thereby compromising mucociliary clearance (MCC). These mechanisms are subject to pharmacological modulation. Long-acting muscarinic antagonists (LAMAs) exert direct cilia-stimulatory effects and may counteract pathogen-induced mucin overproduction without impairing clearance. Long-acting β2-agonists (LABAs) enhance ciliary activity through the cAMP–PKA–dynein (cyclic adenosine monophosphate–protein kinase A–dynein) signalling pathway. Inhaled corticosteroids (ICSs), although largely neutral on CBF, provide indirect protection by suppressing IL-13–driven inflammation. Phosphodiesterase (PDE)-4 inhibitors sustain intracellular cAMP and promote ciliary motility, though their clinical use remains limited by adverse effects. Emerging evidence suggests that dual and triple therapies may provide additive or synergistic benefits for preserving mucociliary function. Clinically, ex vivo CBF interpretation may be influenced by ongoing pharmacotherapy and tissue sampling site. Nasal brush samples may predominantly reflect systemic rather than inhaled therapy. Moreover, differences in PDE isoform expression between nasal and bronchial epithelium further complicate direct extrapolation of results. Rigorous patient stratification by treatment regimen is therefore essential to reconcile inconsistencies reported across studies. Ultimately, preservation of MCC in COPD depends on a delicate balance between oxidative stress and pharmacological modulation of ciliary function. Full article
(This article belongs to the Special Issue Oxidative Stress in Respiratory Disorders)
Show Figures

Figure 1

13 pages, 557 KB  
Article
Pressurized Metered-Dose Inhaler Versus Dry Powder Inhaler Adherence Among Individuals with Asthma and COPD
by Dekel Shlomi, Bernice Oberman, Yehonatan Halevy, Shiri Kushnir, Hadas Meir and Yael Reichenberg
Adv. Respir. Med. 2025, 93(5), 44; https://doi.org/10.3390/arm93050044 - 11 Oct 2025
Viewed by 1304
Abstract
Background: The core management of most individuals with asthma and COPD is daily treatment with inhalers such as inhaled corticosteroids (ICS) and long-acting bronchodilators. The two main types of inhalers used are pressurized metered-dose inhalers (pMDIs) and dry powder inhalers (DPIs). Different studies [...] Read more.
Background: The core management of most individuals with asthma and COPD is daily treatment with inhalers such as inhaled corticosteroids (ICS) and long-acting bronchodilators. The two main types of inhalers used are pressurized metered-dose inhalers (pMDIs) and dry powder inhalers (DPIs). Different studies have shown low adherence to inhaler treatments among subjects with asthma and COPD. In this study, we explored the differences in adherence between pMDIs and DPIs of combined ICS and long-acting β2-agonist inhalers (ICS + LABA) in a large cohort, free from commercial biases. Methods: In this historical prospective study, we included all adult subjects with asthma and/or COPD who acquired at least one ICS + LABA inhaler between 2016 and 2019. We carried out propensity score matching and then compared the maximal number of pMDIs and DPIs purchased in any continuous 12 months during the study period. We also compared once-a-day DPIs with twice-a-day DPIs. Results: Of the 36,998 matched subjects, 5897 (15.9%) purchased pMDIs. The overall median [IQR] inhalers purchased for pMDIs and DPIs were 1 [1, 4] and 3 [1, 8], respectively; for subjects with asthma, 1 [1, 3] and 2 [1, 6]; for subjects with COPD, 1 [1, 3] and 3 [1, 10]; and for subjects with asthma–COPD overlap, 2 [1, 7] and 6 [2, 12]. For all the comparisons, p < 0.001. The once-a-day DPI group had a slight but significantly better adherence than the twice-a-day DPI group. Conclusions: For ICS + LABA therapy, the number of DPIs purchased was significantly greater than the number of pMDIs purchased, as well as the once-a-day DPI relative to the other DPIs. Overall, subjects with asthma and/or COPD had low adherence to all inhalers, with the highest adherence observed among subjects with asthma–COPD overlap. Full article
Show Figures

Figure 1

17 pages, 1420 KB  
Article
Real-World Effectiveness of Fluticasone Furoate/Umeclidinium/Vilanterol Initiation in Japanese Patients with Asthma Previously on Inhaled Corticosteroid/Long-Acting β2-Agonist Therapy: A Retrospective Cohort Study
by Toru Oga, Yasuhiro Gon, Masashi Takano, Risako Ito, Chifuku Mita, Isao Mukai, Stephen G. Noorduyn, Gema Requena and Masao Yarita
J. Clin. Med. 2025, 14(8), 2566; https://doi.org/10.3390/jcm14082566 - 9 Apr 2025
Viewed by 2036
Abstract
Background: Japanese guidelines recommend the addition of a long-acting muscarinic antagonist for patients with asthma uncontrolled on inhaled corticosteroid/long-acting β2-agonist (ICS/LABA) therapy, the effectiveness of which is evaluated here. Methods: Retrospective, observational, single-arm cohort study in patients with asthma [...] Read more.
Background: Japanese guidelines recommend the addition of a long-acting muscarinic antagonist for patients with asthma uncontrolled on inhaled corticosteroid/long-acting β2-agonist (ICS/LABA) therapy, the effectiveness of which is evaluated here. Methods: Retrospective, observational, single-arm cohort study in patients with asthma initiating fluticasone furoate/umeclidinium/vilanterol (FF/UMEC/VI) following ICS/LABA, using independently analyzed data from Japanese claims databases: JMDC and Medical Data Vision (MDV). The index date was that of the first FF/UMEC/VI prescription. Outcomes were assessed during a 12-month follow-up versus a 12-month pre-index period (baseline) and included asthma exacerbations, oral corticosteroid (OCS) use, and short-acting β2-agonist (SABA) use. P-values associated with rate ratios (RRs) were estimated using Conditional Poisson regression. Results: Overall, 3229 patients in the JMDC database and 1135 in the MDV database were included. Following FF/UMEC/VI initiation, the total annualized moderate–severe asthma exacerbation rate in the JMDC database reduced from 0.50 to 0.40 per-person-per-year (PPPY) (RR [95% confidence interval]: 0.78 [0.73, 0.84]; p < 0.001), with similar reductions in the MDV database: 0.53 to 0.42 PPPY (0.79 [0.70, 0.89]; p < 0.001). In both databases, there was a 20% reduction (JMDC: 0.80 [0.73, 0.88]; p < 0.001; MDV: 0.80 [0.68, 0.94]; p = 0.005) in patients with ≥1 OCS prescription after FF/UMEC/VI initiation. The proportion of patients with ≥1 SABA canister prescription dropped by 31% 0.69 [0.57, 0.84]; p < 0.001) in the JMDC database and 23% (0.77 [0.66, 0.90]; p < 0.001) in the MDV database. Conclusions: This suggests FF/UMEC/VI is effective in improving asthma exacerbations and reducing OCS and SABA use in Japanese patients previously using ICS/LABA in real-world clinical practice. Full article
(This article belongs to the Section Respiratory Medicine)
Show Figures

Figure 1

11 pages, 2419 KB  
Article
Prospective, Open-Label, Observational, Multicenter, Single Arm, Post-Marketing Study in Asthmatic Patients for Evaluation of Safety and Effectiveness of Indacaterol/Mometasone DPI (PROMISING-SHIFT)
by Saurabh Karmakar, Gajendra V. Singh, Amit S. Bhate, Vijaykumar Barge, Bharat Mehrotra, Chintan Patel, Ekta Sinha, Sagar Bhagat, Saiprasad Patil and Hanmant Barkate
Adv. Respir. Med. 2025, 93(1), 3; https://doi.org/10.3390/arm93010003 - 6 Feb 2025
Viewed by 1896
Abstract
Background: Asthma significantly impacts global health, necessitating effective management strategies. A combination of inhaled corticosteroids (ICSs) and long-acting β2-agonists (LABA) is recommended for patients with inadequately controlled asthma. Method: This prospective, open-label, multicenter study (PROMISING-SHIFT) study evaluated the safety and efficacy of once-daily [...] Read more.
Background: Asthma significantly impacts global health, necessitating effective management strategies. A combination of inhaled corticosteroids (ICSs) and long-acting β2-agonists (LABA) is recommended for patients with inadequately controlled asthma. Method: This prospective, open-label, multicenter study (PROMISING-SHIFT) study evaluated the safety and efficacy of once-daily Indacaterol/Mometasone (IND/MF) dry powder inhaler (DPI) in Indian asthma patients (≥12 years), inadequately controlled with prior therapies. Patients received IND/MF DPI in three strengths (150/80 mcg, 150/160 mcg, 150/320 mcg) over 12 weeks. Results: The study included a total of 174 participants, and 27 adverse events (AEs) in 25 patients (14.37%) were reported, primarily mild to moderate, with no serious adverse events (SAEs). Drug-related treatment-emergent adverse events (TEAEs) were observed in 11 patients. Significant improvements were noted in the mean trough FEV1 and FVC, increasing from baseline to week 4 and week 12 (p < 0.001). The mean ACQ-5 score significantly decreased from 3.0 ± 0.73 baseline to 2.50 ± 0.53 (16.67%) at week 4 and further to 1.73 ± 0.35 at week 12, along with reduced exacerbations (p < 0.001). The need for rescue medication declined from 13.79% to 8.62%, and 96.55% of patients reported treatment satisfaction by study completion. Conclusion: Once-daily IND/MF DPI demonstrated a favorable safety profile with marked improvements in lung function, asthma control, and patient satisfaction, making it a promising option for long-term asthma management in Indian patients. Full article
Show Figures

Figure 1

13 pages, 571 KB  
Review
Open and Closed Triple Inhaler Therapy in Patients with Uncontrolled Asthma
by Serafeim-Chrysovalantis Kotoulas, Ioanna Tsiouprou, Kalliopi Domvri, Polyxeni Ntontsi, Athanasia Pataka and Konstantinos Porpodis
Adv. Respir. Med. 2023, 91(4), 288-300; https://doi.org/10.3390/arm91040023 - 4 Jul 2023
Cited by 4 | Viewed by 4018
Abstract
Long-acting muscarinic antagonists (LAMAs) are a class of inhalers that has recently been included as add-on therapy in the GINA guidelines, either in a single inhaler device with inhaled corticosteroids plus long-acting β2-agonists (ICS + LABA) (closed triple inhaler therapy) or in a [...] Read more.
Long-acting muscarinic antagonists (LAMAs) are a class of inhalers that has recently been included as add-on therapy in the GINA guidelines, either in a single inhaler device with inhaled corticosteroids plus long-acting β2-agonists (ICS + LABA) (closed triple inhaler therapy) or in a separate one (open triple inhaler therapy). This review summarizes the existing evidence on the addition of LAMAs in patients with persistently uncontrolled asthma despite ICS + LABA treatment based on clinical efficacy in the reduction of asthma symptoms and exacerbations, the improvement in lung function, and its safety profile. Full article
Show Figures

Figure 1

15 pages, 1852 KB  
Review
Associated Factors of Pneumonia in Individuals with Chronic Obstructive Pulmonary Disease (COPD) Apart from the Use of Inhaled Corticosteroids
by Rosario Lineros, Lourdes Fernández-Delgado, Antonio Vega-Rioja, Pedro Chacón, Bouchra Doukkali, Javier Monteseirin and David Ribas-Pérez
Biomedicines 2023, 11(5), 1243; https://doi.org/10.3390/biomedicines11051243 - 22 Apr 2023
Cited by 12 | Viewed by 6280
Abstract
Inhaled corticosteroids (ICSs) are widely used in chronic obstructive pulmonary disease (COPD) and in combination with long-acting β2 agonists (LABAs) to reduce exacerbations and improve patient lung function and quality of life. However, ICSs have been associated with an increased risk of pneumonia [...] Read more.
Inhaled corticosteroids (ICSs) are widely used in chronic obstructive pulmonary disease (COPD) and in combination with long-acting β2 agonists (LABAs) to reduce exacerbations and improve patient lung function and quality of life. However, ICSs have been associated with an increased risk of pneumonia in individuals with COPD, although the magnitude of this risk remains unclear. Therefore, it is difficult to make informed clinical decisions that balance the benefits and adverse effects of ICSs in people with COPD. There may be other causes of pneumonia in patients with COPD, and these causes are not always considered in studies on the risks of using ICSs in COPD. We consider it very useful to clarify these aspects in assessing the influence of ICSs on the incidence of pneumonia and their role in the treatment of COPD. This issue has important implications for current practice and the evaluation and management of COPD, since COPD patients may benefit from specific ICS-based treatment strategies. Many of the potential causes of pneumonia in patients with COPD can act synergistically, so they can be included in more than one section. Full article
Show Figures

Figure 1

10 pages, 263 KB  
Article
Characteristics of Asthma Exacerbations in Emergency Care in Switzerland—Demographics, Treatment, and Burden of Disease in Patients with Asthma Exacerbations Presenting to an Emergency Department in Switzerland (CARE-S)
by Marco Rueegg, Jeannette-Marie Busch, Peter van Iperen, Joerg D. Leuppi and Roland Bingisser
J. Clin. Med. 2023, 12(8), 2857; https://doi.org/10.3390/jcm12082857 - 13 Apr 2023
Cited by 4 | Viewed by 3824
Abstract
Emergency care for asthma is provided by general practitioners, pulmonologists, and emergency departments (EDs). Although it is known that patients presenting to EDs with acute asthma exacerbations are a vulnerable population and that this mode of presentation is a risk marker for more [...] Read more.
Emergency care for asthma is provided by general practitioners, pulmonologists, and emergency departments (EDs). Although it is known that patients presenting to EDs with acute asthma exacerbations are a vulnerable population and that this mode of presentation is a risk marker for more severe complications, research on this population is scarce. We conducted a retrospective study on patients with asthma exacerbations who presented to the ED of the University Hospital Basel, Switzerland, during 2017–2020. Of the last 200 presentations, 100 were selected and analyzed to assess demographic information, the use of previous and ED-prescribed asthma medication, and clinical outcomes after a mean period of time of 18 months. Of these 100 asthma patients, 96 were self-presenters, and 43 had the second highest degree of acuity (emergency severity index 2). Global Initiative for Asthma (GINA) step 1 and step 3 were the most common among patients with known GINA levels, accounting for 22 and 18 patients, respectively. A total of 4 patients were undergoing treatment with oral corticosteroids at presentation, and 34 were at discharge. At presentation, 38 patients used the combination therapy of inhaled corticosteroid/long-acting β2-agonist (ICS/LABA), and 6 patients underwent ICS monotherapy. At discharge, 68 patients were prescribed with ICS/LABA. At entry to the ED, about one-third of patients did not use any asthma medication. In total, 10 patients were hospitalized. None of them needed invasive or non-invasive ventilation. A follow-up for the study was precluded by the majority of patients. This group of asthma patients seemed particularly vulnerable as their asthma medication at presentation was often not according to guidelines or even lacking, and almost all the patients had self-presented to the ED without any reference from a physician. The majority of patients did not give consent to the collection of any follow-up information. These medical shortcomings reflect an urgent medical need to improve care for patients at high risk of asthma exacerbations. Full article
(This article belongs to the Section Emergency Medicine)
11 pages, 1865 KB  
Article
Differences in Pulmonary Function Improvement after Once-Daily LABA/LAMA Fixed-Dose Combinations in Patients with COPD
by Wei-Chun Huang, Chih-Yu Chen, Wei-Chih Liao, Biing-Ru Wu, Wei-Chun Chen, Chih-Yen Tu, Chia-Hung Chen and Wen-Chien Cheng
J. Clin. Med. 2022, 11(23), 7165; https://doi.org/10.3390/jcm11237165 - 1 Dec 2022
Cited by 1 | Viewed by 3119
Abstract
This real-world study evaluated the efficacy of once-daily long-acting β2-agonist (LABA)/long-acting muscarinic antagonist (LAMA) fixed-dose combinations (FDCs) for improving lung function in patients with chronic obstructive pulmonary disease (COPD). Patients with COPD who were treated with once-daily LABA/LAMA FDCs for 12 months were [...] Read more.
This real-world study evaluated the efficacy of once-daily long-acting β2-agonist (LABA)/long-acting muscarinic antagonist (LAMA) fixed-dose combinations (FDCs) for improving lung function in patients with chronic obstructive pulmonary disease (COPD). Patients with COPD who were treated with once-daily LABA/LAMA FDCs for 12 months were included. We evaluated their lung function improvement after 12 months of treatment with different LABA/LAMA FDCs. A total of 198 patients with COPD who were treated with once-daily LABA/LAMA FDCs were analyzed. A total of 114 patients were treated with umeclidinium/vilanterol (UMEC/VIL); 34 patients were treated with indacaterol/glycopyrronium (IND/GLY); and 50 patients were treated with tiotropium/olodaterol (TIO/OLO). The forced expiratory volume in 1 s (FEV1) was significantly increased in the patients treated with all three once-daily FDCs (55.2% to 60.9%, p = 0.012 for UMEC/VIL, 58.2% to 63.6%, p = 0.023 for IND/GLY, and 54.1% to 57.7%, p = 0.009 for TIO/OLO). The treatment of COPD patients with TIO/OLO resulted in a significant improvement in both forced vital capacity (FVC%) (71.7% to 77.9%, p = 0.009) and residual volume (RV%) (180.1% to 152.5%, p < 0.01) compared with those treated with UMEC/VIL (FVC%: 75.1% to 81.5%, p < 0.001; RV%:173.8% to 165.2%, p = 0.231) or IND/GLY (FVC%: 73.9% to 79.3%, p = 0.08; RV%:176.8% to 168.3%, p = 0.589). Patients treated with UMEC/VIL or TIO/OLO showed significant improvement in FVC. In addition, those receiving TIO/OLO also showed significant improvement in RV reduction. Full article
(This article belongs to the Section Respiratory Medicine)
Show Figures

Figure 1

19 pages, 597 KB  
Review
LABA/LAMA as First-Line Therapy for COPD: A Summary of the Evidence and Guideline Recommendations
by Marc Miravitlles, Tomotaka Kawayama and Michael Dreher
J. Clin. Med. 2022, 11(22), 6623; https://doi.org/10.3390/jcm11226623 - 8 Nov 2022
Cited by 21 | Viewed by 17484
Abstract
Inhaled bronchodilators (alone or in combination) are the cornerstone of treatment for symptomatic patients with COPD, either as initial/first-line treatment or for second-line/treatment escalation in patients who experience persistent symptoms or exacerbations on monotherapy. The Global Initiative for Chronic Obstructive Lung Disease 2022 [...] Read more.
Inhaled bronchodilators (alone or in combination) are the cornerstone of treatment for symptomatic patients with COPD, either as initial/first-line treatment or for second-line/treatment escalation in patients who experience persistent symptoms or exacerbations on monotherapy. The Global Initiative for Chronic Obstructive Lung Disease 2022 report recommends initial pharmacological treatment with a long-acting muscarinic antagonist (LAMA) or a long-acting β2-agonist (LABA) as monotherapy for most patients, or dual bronchodilator therapy (LABA/LAMA) in patients with more severe symptoms, regardless of exacerbation history. The recommendations for LABA/LAMA are broader in the American Thoracic Society treatment guidelines, which strongly recommend LABA/LAMA combination therapy over LAMA or LABA monotherapy in patients with COPD and dyspnea or exercise intolerance. However, despite consistent guideline recommendations, real-world prescribing data indicate that LAMA and/or LABA without an inhaled corticosteroid are not the most widely prescribed therapies in COPD. This article reviews global and regional/national guideline recommendations for the use of LABA/LAMA in COPD, examines the evidence for the effectiveness and safety of LABA/LAMA versus other therapies and offers a practical guide for clinicians to help ensure appropriate use of LABA/LAMA therapy. Full article
Show Figures

Figure 1

19 pages, 2374 KB  
Article
Optimization of Long-Acting Bronchodilator Dose Ratios Using Isolated Guinea Pig Tracheal Rings for Synergistic Combination Therapy in Asthma and COPD
by Elena Menchi, Charaf El Khattabi, Stéphanie Pochet, Olivier Denis, Karim Amighi and Nathalie Wauthoz
Pharmaceuticals 2022, 15(8), 963; https://doi.org/10.3390/ph15080963 - 3 Aug 2022
Cited by 2 | Viewed by 3844
Abstract
The co-administration of a long-acting β2-agonist (LABA), and a long-acting muscarinic antagonist (LAMA), has been shown to be beneficial in the management of non-communicable chronic respiratory diseases, such as asthma and chronic obstructive pulmonary disease (COPD). The resulting relaxation of the airways can [...] Read more.
The co-administration of a long-acting β2-agonist (LABA), and a long-acting muscarinic antagonist (LAMA), has been shown to be beneficial in the management of non-communicable chronic respiratory diseases, such as asthma and chronic obstructive pulmonary disease (COPD). The resulting relaxation of the airways can be synergistically enhanced, reducing symptoms and optimizing lung function. This provides an insight into more effective treatments. In this study, the LABAs formoterol fumarate dihydrate (FOR) and indacaterol maleate (IND) were each associated with tiotropium bromide monohydrate (TIO) to assess their synergistic potential. This was done using an appropriate ex vivo model of isolated perfused guinea pig tracheal rings, and pharmacological models of drug interaction. Among the dose ratios studied for both types of combination, a higher synergistic potential was highlighted for FOR/TIO 2:1 (w/w). This was done through three steps by using multiple additions of drugs to the organ baths based on a non-constant dose ratio and then on a constant dose ratio, and by a single addition to the organ baths of specific amounts of drugs. In this way, the synergistic improvement of the relaxant effect on the airways was confirmed, providing a basis for improving therapeutic approaches in asthma and COPD. The synergy found at this dose ratio should now be confirmed on a preclinical model of asthma and COPD by assessing lung function. Full article
(This article belongs to the Section Pharmacology)
Show Figures

Figure 1

18 pages, 3817 KB  
Article
Comparing the Efficacy and Safety Profile of Triple Fixed-Dose Combinations in COPD: A Meta-Analysis and IBiS Score
by Paola Rogliani, Josuel Ora, Francesco Cavalli, Mario Cazzola and Luigino Calzetta
J. Clin. Med. 2022, 11(15), 4491; https://doi.org/10.3390/jcm11154491 - 1 Aug 2022
Cited by 18 | Viewed by 8240
Abstract
Background: Triple fixed-dose combination (FDC) therapy is recommended in severe chronic obstructive pulmonary disease (COPD) patients experiencing frequent exacerbations and/or symptoms not controlled by dual FDCs. Since no randomized controlled trials (RCTs) have directly compared the different inhaled corticosteroid/long-acting β2-adrenoceptor agonist/long-acting [...] Read more.
Background: Triple fixed-dose combination (FDC) therapy is recommended in severe chronic obstructive pulmonary disease (COPD) patients experiencing frequent exacerbations and/or symptoms not controlled by dual FDCs. Since no randomized controlled trials (RCTs) have directly compared the different inhaled corticosteroid/long-acting β2-adrenoceptor agonist/long-acting muscarinic antagonist (ICS/LABA/LAMA) FDCs, we performed a meta-analysis to compare the impact of the current available ICS/LABA/LAMA FDCs in COPD. Methods: A meta-analysis was performed by connecting beclomethasone dipropionate/formoterol fumarate/glycopyrronium bromide or glycopyrrolate (BDP/FOR/GLY), budesonide (BUD)/GLY/FOR, and fluticasone furoate/umeclidinium bromide/vilanterol (FF/UMEC/VI) FDCs via ICS/LABA or LABA/LAMA FDCs arms. The safety and efficacy profiles were investigated, and the Implemented Bidimensional Surface under the cumulative ranking curve analysis (IBiS) was carried out. Protocol registration: CRD42022301189. Results: Data from 21,809 COPD patients were extracted from the ETHOS, IMPACT, KRONOS, and TRILOGY studies. No significant (p > 0.05) differences were detected across the triple FDCs with respect to the risk of exacerbation, trough forced expiratory volume in the first second (FEV1), transition dyspnea index (TDI), St. George’s Respiratory Questionnaire (SGRQ), risk of serious adverse events (SAEs), cardiovascular (CV) SAEs, pneumonia, and all-cause mortality. According to IBiS score, BDP/FOR/GLY 200/12/25 µg twice daily (BID) was the FDC reporting the best combined efficacy/safety profile (area 41.41%), although FF/UMEC/VI 100/62.5/25 µg once daily (QD) showed the greatest efficacy profile (50.54%). The protection against mortality related to the dose of ICS. Conclusions: All triple FDCs are effective and safe in COPD regardless of the regimen of administration (twice daily vs. once daily), with no relevant difference in the risk of CV SAEs and pneumonia. Full article
(This article belongs to the Section Respiratory Medicine)
Show Figures

Figure 1

16 pages, 14004 KB  
Systematic Review
The Impact of 52-Week Single Inhaler Device Triple Therapy versus Dual Therapy on the Mortality of COPD Patients: A Systematic Review and Meta-Analysis of Randomized Controlled Trials
by Chih-Cheng Lai, Chao-Hsien Chen, Kuang-Hung Chen, Cheng-Yi Wang, Tsan-Ming Huang, Ya-Hui Wang and Hao-Chien Wang
Life 2022, 12(2), 173; https://doi.org/10.3390/life12020173 - 25 Jan 2022
Cited by 8 | Viewed by 6009
Abstract
There are more single inhaler device triple therapy available for COPD patients now. However, the effect of long-term triple therapy fixed dose combination (FDC) on mortality remains unclear. This study aimed to evaluate the impact of one-year single inhaler device triple therapy, including [...] Read more.
There are more single inhaler device triple therapy available for COPD patients now. However, the effect of long-term triple therapy fixed dose combination (FDC) on mortality remains unclear. This study aimed to evaluate the impact of one-year single inhaler device triple therapy, including long-acting β2-agonists (LABAs), long-acting muscarinic receptor antagonists (LAMAs), and inhaled corticosteroids (ICSs), with dual therapies, comprised of either LABA/LAMA or ICS/LABA, on the mortality of patients with COPD. We searched the PubMed, Cochrane library, Web of Science, Embase databases, and clinical trial registry of clinicaltrials.gov and WHO ICTRP. Randomized controlled trials (RCTs) compared single inhaler device triple and dual therapies for 52 weeks were selected for the meta-analysis. The primary endpoint was all-cause mortality. A total of 6 RCTs were selected for the meta-analysis, including 10,274 patients who received single inhaler device triple therapy (ICS/LABA/LAMA FDC) and 12,395 patients who received ICS/LABA or LABA/LAMA dual therapy. Risk of death was significantly lower in the ICS/LABA/LAMA FDC group compared to the LABA/LAMA group (RR = 0.69, 95% CI = 0.53–0.90, p = 0.007). There was no significant difference in mortality between the ICS/LABA/LAMA FDC and ICS/LABA therapy groups (RR = 0.94, 95% CI = 0.72–1.24, p = 0.66). In addition, patients receiving ICS/LABA/LAMA FDC therapy had less moderate or severe exacerbations compared with the dual therapy groups (RR = 0.76, 95% CI = 0.73–0.80, p < 0.001 for LABA/LAMA; RR = 0.84, 95% CI = 0.78–0.90, p < 0.001 for ICS/LABA). By contrast, the risk of pneumonia in the ICS/LABA/LAMA FDC group was higher than in the LABA/LAMA group (RR = 1.43, 95% CI = 1.21–1.68, p < 0.001). In conclusion, ICS/LABA/LAMA FDC therapy could help improve the clinical outcomes of patients with COPD. However, triple therapy could increase the risk of pneumonia in comparison with LABA/LAMA dual therapy. Full article
(This article belongs to the Special Issue State-of-the-Art in Chronic Obstructive Pulmonary Disease (COPD))
Show Figures

Figure 1

11 pages, 3156 KB  
Article
Identification of Druggable Genes for Asthma by Integrated Genomic Network Analysis
by Wirawan Adikusuma, Wan-Hsuan Chou, Min-Rou Lin, Jafit Ting, Lalu Muhammad Irham, Dyah Aryani Perwitasari, Wei-Pin Chang and Wei-Chiao Chang
Biomedicines 2022, 10(1), 113; https://doi.org/10.3390/biomedicines10010113 - 6 Jan 2022
Cited by 24 | Viewed by 7209
Abstract
Asthma is a common and heterogeneous disease characterized by chronic airway inflammation. Currently, the two main types of asthma medicines are inhaled corticosteroids and long-acting β2-adrenoceptor agonists (LABAs). In addition, biological drugs provide another therapeutic option, especially for patients with severe asthma. However, [...] Read more.
Asthma is a common and heterogeneous disease characterized by chronic airway inflammation. Currently, the two main types of asthma medicines are inhaled corticosteroids and long-acting β2-adrenoceptor agonists (LABAs). In addition, biological drugs provide another therapeutic option, especially for patients with severe asthma. However, these drugs were less effective in preventing severe asthma exacerbation, and other drug options are still limited. Herein, we extracted asthma-associated single nucleotide polymorphisms (SNPs) from the genome-wide association studies (GWAS) and phenome-wide association studies (PheWAS) catalog and prioritized candidate genes through five functional annotations. Genes enriched in more than two categories were defined as “biological asthma risk genes.” Then, DrugBank was used to match target genes with FDA-approved medications and identify candidate drugs for asthma. We discovered 139 biological asthma risk genes and identified 64 drugs targeting 22 of these genes. Seven of them were approved for asthma, including reslizumab, mepolizumab, theophylline, dyphylline, aminophylline, oxtriphylline, and enprofylline. We also found 17 drugs with clinical or preclinical evidence in treating asthma. In addition, eleven of the 40 candidate drugs were further identified as promising asthma therapy. Noteworthy, IL6R is considered a target for asthma drug repurposing based on its high target scores. Through in silico drug repurposing approach, we identified sarilumab and satralizumab as the most promising drug for asthma treatment. Full article
(This article belongs to the Special Issue Feature Papers in Drug Discovery and Development)
Show Figures

Figure 1

11 pages, 1028 KB  
Article
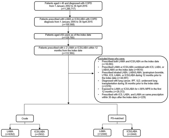
Escalation Time to Open Triple Combination Therapy from the Initiation of LAMA versus ICS/LABA in COPD Management: Findings from Comparing the Incidence of Tiotropium and ICS/LABA in Real-World Use in South Korea (CITRUS) Study
by Ye Jin Lee, Chin Kook Rhee, Yong Il Hwang, Kwang Ha Yoo, So Eun Lee, Doik Lee, Yong Bum Park and Youlim Kim
J. Pers. Med. 2021, 11(12), 1325; https://doi.org/10.3390/jpm11121325 - 7 Dec 2021
Cited by 2 | Viewed by 3787
Abstract
Background: bronchodilators are the key treatment for chronic obstructive pulmonary disease (COPD), however, inhaled corticosteroids (ICSs)/long-acting β2-agonists (LABA) are widely prescribed. We compared the escalation time to open triple combination therapy between long-acting muscarinic receptor antagonists (LAMA) and ICS/LABA in COPD management. Methods: [...] Read more.
Background: bronchodilators are the key treatment for chronic obstructive pulmonary disease (COPD), however, inhaled corticosteroids (ICSs)/long-acting β2-agonists (LABA) are widely prescribed. We compared the escalation time to open triple combination therapy between long-acting muscarinic receptor antagonists (LAMA) and ICS/LABA in COPD management. Methods: this retrospective study included COPD patients selected from the National Health Insurance Service of South Korea from January 2005 to April 2015. The primary outcome was the escalation time to triple therapy in patients who initially received LAMA or ICS/LABA. Other outcomes included risk factors predisposing escalation to triple combination therapy. Results: a total of 2444 patients were assigned to the LAMA or ICS/LABA groups. The incidences of triple combination therapy in the LAMA and ICS/LABA groups were 81.0 and 139.8 per 1000 person-years, respectively (p < 0.001); the median times to triple therapy escalation were 281 and 207 days, respectively (p = 0.03). Treatment with ICS/LABA showed a higher risk of triple therapy escalation compared to LAMA (hazard ratio (HR), 1.601; 95% confidence interval (CI), 1.402–1.829). The associated risk factor was male sex. (HR, 1.564; 95% CI, 1.352–1.809). Conclusions: the initiation of COPD treatment with LAMA is associated with a reduced escalation time to triple therapy compared with ICS/LABA. Full article
(This article belongs to the Section Epidemiology)
Show Figures

Figure 1

10 pages, 1600 KB  
Communication
LABAs and p38MAPK Inhibitors Reverse the Corticosteroid-Insensitivity of IL-8 in Airway Smooth Muscle Cells of COPD
by Jürgen Knobloch, David Jungck, Juliane Kronsbein, Erich Stoelben, Kazuhiro Ito and Andrea Koch
J. Clin. Med. 2019, 8(12), 2058; https://doi.org/10.3390/jcm8122058 - 22 Nov 2019
Cited by 18 | Viewed by 4169
Abstract
Airway inflammation in chronic obstructive pulmonary disease (COPD) is partially insensitive/resistant to inhaled corticosteroids (ICS). ICS plus bronchodilator therapy has been discussed for COPD phenotypes with frequent exacerbations and participation of corticosteroid-sensitive type 2/eosinophilic inflammation. Neutralization of non-type 2/IL-8-associated airway inflammation by reversion [...] Read more.
Airway inflammation in chronic obstructive pulmonary disease (COPD) is partially insensitive/resistant to inhaled corticosteroids (ICS). ICS plus bronchodilator therapy has been discussed for COPD phenotypes with frequent exacerbations and participation of corticosteroid-sensitive type 2/eosinophilic inflammation. Neutralization of non-type 2/IL-8-associated airway inflammation by reversion of its corticosteroid-resistance might be a future strategy for other phenotypes. Human airway smooth muscle cells (HASMCs) produce corticosteroid-insensitive IL-8 in response to TNFα or LPS in stable disease stages or bacteria-induced exacerbations, respectively. p38-mitogen-activated-protein-kinases (p38MAPKs) are alternative therapeutic targets. Hypothesis: long-acting-β2-agonists (LABAs) reverse the corticosteroid-insensitivity of IL-8 by p38MAPK inhibition in HASMCs. Cultivated HASMCs from COPD subjects were pre-incubated with formoterol, salmeterol, fluticasone-propionate, BIRB796 (p38MAPKα, -γ, -δ inhibitor), and/or SB203580 (p38MAPKα and -β inhibitor) before stimulation with TNFα or LPS. IL-8 and MAPK-activities were measured by ELISA. Formoterol, salmeterol, and fluticasone did not or hardly reduced TNFα- or LPS-induced IL-8. BIRB796 and SB203580 reduced TNFα-induced IL-8. SB203580 reduced LPS-induced IL-8. Fluticasone/formoterol, fluticasone/salmeterol, and fluticasone/BIRB796, but not fluticasone/SB203580 combinations, reduced TNFα-induced IL-8 stronger than single treatments. All combinations including fluticasone/SB203580 reduced LPS-induced IL-8 stronger than single treatments. TNFα induced p38MAPKα and -γ activity. LPS induced p38MAPKα activity. Formoterol reduced TNFα-induced p38MAPKγ and LPS-induced p38MAPKα activity. LABAs reverse the corticosteroid-insensitivity of IL-8 in airway smooth muscles via p38MAPKγ in stable disease and via p38MAPKα in exacerbations. Our pre-clinical data indicate a utility for also adding ICS in non-type 2 inflammatory COPD phenotypes to bronchodilator therapy. Depending on phenotype and disease stage, isoform-specific p38MAPK blockers might also reverse corticosteroid-resistance in COPD. Full article
Show Figures

Figure 1

Back to TopTop