Sign in to use this feature.

Years

Between: -

Subjects

remove_circle_outline
remove_circle_outline
remove_circle_outline
remove_circle_outline
remove_circle_outline
remove_circle_outline
remove_circle_outline
remove_circle_outline
remove_circle_outline

Journals

remove_circle_outline
remove_circle_outline
remove_circle_outline
remove_circle_outline
remove_circle_outline
remove_circle_outline
remove_circle_outline
remove_circle_outline
remove_circle_outline
remove_circle_outline
remove_circle_outline
remove_circle_outline

Article Types

Countries / Regions

remove_circle_outline
remove_circle_outline
remove_circle_outline
remove_circle_outline

Search Results (1,648)

Search Parameters:
Keywords = lithium-ion (Li-ion) batteries

Order results
Result details
Results per page
Select all
Export citation of selected articles as:
25 pages, 3346 KB  
Review
Extraction Technologies for Lithium Resources from Salt Lake Brines: Research Progress, Challenges and Future Prospects
by Huiyong Wu, Tingting Dong, Zhou Zhang and Yue Cheng
Metals 2025, 15(12), 1327; https://doi.org/10.3390/met15121327 - 1 Dec 2025
Abstract
Lithium has emerged as a critical energy metal due to its indispensable role in batteries, aerospace applications, new energy vehicles, and large-scale energy storage systems. The accelerated growth of electric mobility and renewable energy storage has led to a substantial increase in lithium [...] Read more.
Lithium has emerged as a critical energy metal due to its indispensable role in batteries, aerospace applications, new energy vehicles, and large-scale energy storage systems. The accelerated growth of electric mobility and renewable energy storage has led to a substantial increase in lithium demand, thereby exacerbating the prevailing global supply–demand imbalance. To address this challenge, it is imperative to diversify lithium resources and to advance extraction technologies that are both efficient and sustainable. In comparison with conventional hard-rock deposits, liquid resources such as salt lake brines, oilfield brines, and deep-well brines are gaining attention owing to their broad distribution, abundant reserves, and advantages of reduced land use, lower water consumption, and lower carbon emissions. This work presents a critical review of current lithium recovery strategies from brines, including precipitation, solvent extraction, adsorption, nanofiltration/electrodialysis, and electrochemical methods. Each approach is critically evaluated in terms of Li/Mg selectivity, extraction efficiency, operational stability, and environmental compatibility. Precipitation processes offer simplicity but suffer from low Li recovery and high chemical consumption; solvent extraction achieves high selectivity but faces phase and reagent loss; adsorption using Mn-based sieves yields high capacity with good regeneration stability, whereas membrane and electrochemical systems enable continuous lithium recovery with reduced energy input. Distinct advantages and existing gaps are systematically summarized to provide quantitative insights into performance trade-offs among these pathways. Key findings highlight that organophosphorus–FeCl3 systems and Mn-based lithium-ion sieves show the best trade-off between selectivity and regeneration stability, whereas emerging membrane–electrochemical hybrids demonstrate promise for low-energy, continuous lithium recovery. The prospects for future development highlight highly selective functional materials, integrated multi-technology processes, and greener, low-energy extraction pathways. Full article
(This article belongs to the Special Issue Advances in Mineral Processing and Hydrometallurgy—4th Edition)
Show Figures

Figure 1

34 pages, 7903 KB  
Review
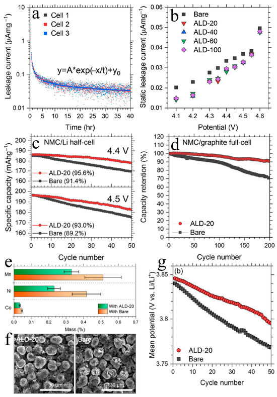
Precisely Engineering Interfaces for High-Energy Rechargeable Lithium Batteries
by Kah Chun Lau and Xiangbo Meng
Batteries 2025, 11(12), 441; https://doi.org/10.3390/batteries11120441 (registering DOI) - 29 Nov 2025
Viewed by 168
Abstract
While we are pursuing a fully electrified society, high-energy rechargeable batteries are undergoing intensive investigation. In this respect, atomic and molecular layer deposition (ALD and MLD) have been drawing increasing interest, due to their unmatched capabilities to precisely modify electrodes’ surfaces for better [...] Read more.
While we are pursuing a fully electrified society, high-energy rechargeable batteries are undergoing intensive investigation. In this respect, atomic and molecular layer deposition (ALD and MLD) have been drawing increasing interest, due to their unmatched capabilities to precisely modify electrodes’ surfaces for better electrochemical performance. In this work, we reviewed the recent studies using ALD/MLD for interface engineering of several important electrode materials, including nickel (Ni)-rich metal oxide cathodes, silicon (Si), and lithium (Li) anodes in lithium-ion and lithium metal batteries. We particularly discussed the most promising coatings from these studies and explored the underlying mechanisms based on experiments and modeling. We anticipate that this work will inspire more studies using ALD/MLD as an important technique for securing new solutions for batteries. Full article
(This article belongs to the Special Issue 10th Anniversary of Batteries: Interface Science in Batteries)
Show Figures

Figure 1

12 pages, 1873 KB  
Article
Fabrication of Cu-Doped Li4Ti5O12 Particles Embedded in Reduced Graphene Oxide Nanosheets for High-Rate Lithium-Ion Battery Anode
by Xiaoqian Deng, Menghan Zhu, Miao He, Zuyong Feng and Beibei Zhang
Inorganics 2025, 13(12), 394; https://doi.org/10.3390/inorganics13120394 (registering DOI) - 29 Nov 2025
Viewed by 85
Abstract
This study presents the synthesis of Cu-doped Li4Ti5O12 (LTO) and Cu-doped Li4Ti5O12@reduced graphene oxide (rGO) anode materials via a simple wet chemical approach combined with freeze-drying. The LTO-0.1Cu@rGO anode delivers an ideal [...] Read more.
This study presents the synthesis of Cu-doped Li4Ti5O12 (LTO) and Cu-doped Li4Ti5O12@reduced graphene oxide (rGO) anode materials via a simple wet chemical approach combined with freeze-drying. The LTO-0.1Cu@rGO anode delivers an ideal rate capacity of 376, 350, 327, 297 and 259 mAh g−1 at 0.2, 0.5, 1.0, 2.0 and 5.0 A g−1, respectively, and exhibits stable, long-life cyclic performance of 223.0 mAh g−1 at 5.0 A g−1 after 1000 cycles with 94.8% retention. This superior electrochemical performance is attributed to the unique structure of Cu-doped LTO particles that are uniformly embedded within a conductive, interconnected rGO network. Therefore, these results indicate that combined doping and coating strategies have great potential for enhancing the electrochemical properties of LTO anodes for LIBs. Full article
Show Figures

Figure 1

41 pages, 5342 KB  
Review
A Review on Air and Liquid Cooling Strategies for Lithium-Ion Batteries
by Erdi Tosun, Petar Ilinčić, Sinan Keyinci, Ali Cem Yakaryilmaz and Mustafa Ozcanli
Appl. Sci. 2025, 15(23), 12617; https://doi.org/10.3390/app152312617 - 28 Nov 2025
Viewed by 116
Abstract
The energy that powers electric vehicles comes directly from their high-performance batteries, serving as the heart of their operation. They convert stored chemical energy into mechanical energy to propel vehicles. One of the most vital parts of an electric vehicle is a battery [...] Read more.
The energy that powers electric vehicles comes directly from their high-performance batteries, serving as the heart of their operation. They convert stored chemical energy into mechanical energy to propel vehicles. One of the most vital parts of an electric vehicle is a battery pack. Superior advantages such as higher energy density, longer life cycles, and the fast-charging ability of lithium-ion batteries set them apart from the others. However, battery performance and longevity exhibit a high degree of temperature sensitivity. In other words, operating batteries below and above the specified temperature range values causes problems such as decreased lifespan, safety issues, and performance losses. In electric vehicles, varying power demands during driving cause different current levels to be drawn from the battery packs. This leads to fluctuations in battery temperatures due to chemical reactions occurring. Besides that, regional and seasonal temperature variations also affect the operating temperatures of batteries. Therefore, maintaining the batteries within the specified temperature range, typically between 25 and 40 °C, is only achievable with an adequate battery thermal management system. This review intends to guide researchers working on designing more efficient thermal management systems by providing refined information about previous efforts in this field. The designs found in the literature have been illustrated with simplified figures. Cooling inlet and outlet locations are indicated in blue and red, enabling easier comparison and better understanding of different cooling designs. Air-cooling studies in the literature show that a well-designed system can keep the Tmax and ΔT values of LiB cells ~305 K and 2.8 K during 3C discharge at a Tambient of about 298.15 K. When liquid cooling systems are examined, a 50% glycol–water mixture can maintain pouch cells at nearly 30.3 °C with a ΔT of 2.78 °C under similar 3C and 25 °C conditions. Overall, the results demonstrate that well-designed BTMS configurations including optimized airflow or coolant–flow arrangements are capable of keeping LiBs safely within their optimal thermal operating conditions. Full article
(This article belongs to the Special Issue Recent Advances in Transportation Machinery)
Show Figures

Figure 1

11 pages, 3431 KB  
Article
Temperature-Correlated Characterization of EoL Lithium Cobalt Oxide Batteries with Microwave-Based Pyrometallurgical Recovery
by Emma Pitacco, Marco Ragazzini, Caterina Bernardini, Mehran Ghadimi, Mirko Pigato, Michele Forzan and Katya Brunelli
Metals 2025, 15(12), 1302; https://doi.org/10.3390/met15121302 - 26 Nov 2025
Viewed by 62
Abstract
With the increasing volumes of spent lithium-ion batteries from electric vehicles and the concurrent increase in raw materials cost for cathode production, finding effective methods for recycling battery materials has become critically important. This study investigated a pyrometallurgical approach using microwave irradiation to [...] Read more.
With the increasing volumes of spent lithium-ion batteries from electric vehicles and the concurrent increase in raw materials cost for cathode production, finding effective methods for recycling battery materials has become critically important. This study investigated a pyrometallurgical approach using microwave irradiation to achieve carbothermal reduction of LiCoO2. FactSage thermodynamic calculations were performed for process simulation and an infrared thermal camera was employed for temperature measurements, allowing the authors to optimize the process parameters to obtain metallic cobalt. Specifically, the research included microwave experiments on mixed black mass samples of anode and cathode materials in different proportions, treated at varying power levels and exposure times under air atmosphere. The effect of the process parameters and therefore of the temperature on microstructure was studied with SEM-EDS and XRD analysis. The feasibility of a wet magnetic separation method between cobalt and lithium compounds formed during the reaction was also evaluated. The results obtained from the final separation process indicated that individual compounds can be obtained at the end of the cycle; moreover, the optimization of time, temperature, and graphite additions during the tests allowed the authors to obtain promising results. Full article
Show Figures

Figure 1

17 pages, 4410 KB  
Article
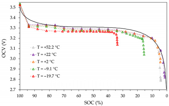
Experimental Evidence on the Effect of Temperature on the Performance of a Lithium-Ion Battery
by Maurizio Bressan, Elena Campagnoli and Valter Giaretto
Batteries 2025, 11(12), 439; https://doi.org/10.3390/batteries11120439 - 26 Nov 2025
Viewed by 67
Abstract
The current energy transition highlights the importance not only of energy production, but also of its efficient storage, for which lithium-ion batteries are currently the leading technology. In many applications, these devices operate outdoors at temperatures below 0 °C, and consequently, their performance [...] Read more.
The current energy transition highlights the importance not only of energy production, but also of its efficient storage, for which lithium-ion batteries are currently the leading technology. In many applications, these devices operate outdoors at temperatures below 0 °C, and consequently, their performance is reduced due to the lower mobility of the ions. With the aim of evaluating this decrease in performance, measurements were carried out on a commercial LiFePO4 module in the temperature range −20–+55 °C. The results show that the battery capacity decreases by 15% compared to the value measured at room temperature when the operating temperature drops to approximately −10 °C, and by 35% at approximately −20 °C. The paper also introduces a modified version of the Arrhenius kinetic model that allows for the analytical evaluation of the change in battery capacity as a function of temperature. The modified model proposes a quadratic dependence of the activation energy on the temperature through a temperature coefficient that for the two tested modules is equal to 8.0 × 10−5 eV/K2 and 6.7 × 10−5 eV/K2, respectively. Full article
(This article belongs to the Section Battery Performance, Ageing, Reliability and Safety)
Show Figures

Figure 1

17 pages, 12237 KB  
Article
Interfacial Electronic Coupling in Si@SiC@EG Core–Shell Architectures Enables High-Capacity and Long-Life Lithium-Ion Batteries
by Huangyu Zhao, Sihao He, Changlong Sun, Kesheng Gao, Honglin Li, Qiuju Zheng, Lingshan Geng, Yan-Jie Wang, Enyue Zhao and Yuanyuan Zhu
Molecules 2025, 30(23), 4517; https://doi.org/10.3390/molecules30234517 - 22 Nov 2025
Viewed by 370
Abstract
Silicon anodes have attracted considerable attention as next-generation lithium-ion battery materials owing to their exceptionally high theoretical capacity. However, their practical application remains limited by severe volume fluctuations during cycling, which lead to rapid capacity fading. In this work, a Si@SiC@ epitaxial Graphene [...] Read more.
Silicon anodes have attracted considerable attention as next-generation lithium-ion battery materials owing to their exceptionally high theoretical capacity. However, their practical application remains limited by severe volume fluctuations during cycling, which lead to rapid capacity fading. In this work, a Si@SiC@ epitaxial Graphene (EG) core–shell nanocomposite is constructed through in situ epitaxial growth to overcome these challenges. The SiC interlayer functions as a robust mechanical buffer, accommodating the volume expansion of silicon during lithiation and delithiation, while the external graphene shell offers high electronic conductivity, structural resilience, and may provide additional Li+ storage sites. Structural and electrochemical characterizations, including ex situ X-ray diffraction, in situ Raman spectroscopy, and ex situ X-ray photoelectron spectroscopy, verify the reversible Li+ insertion/extraction and the preservation of structural integrity without phase collapse. The Si@SiC@EG anode delivers a high reversible capacity of 1747 mAh g−1 at 0.1 A g−1, outstanding rate performance, and remarkable durability, maintaining 872 mAh g−1 after 2000 cycles at 1 A g−1. Density functional theory calculations further indicate that strong interfacial coupling effectively lowers Li+ migration barriers, thereby improving ion transport kinetics. These findings highlight the potential of the Si@SiC@EG heterostructure as a viable platform for high-energy-density lithium-ion storage. Full article
(This article belongs to the Special Issue Modern Materials in Energy Storage and Conversion—Second Edition)
Show Figures

Graphical abstract

19 pages, 2112 KB  
Article
Electrochemical and Post-Mortem Study of Pyrrolinium-Based Ionic Liquid on a Single-Layer Pouch Cell
by Pradeep Kumar Dammala, Javier García-Alonso, David Maestre, Kamil Burak Dermenci, Bianchi Méndez, Joeri Van Mierlo and Maitane Berecibar
Batteries 2025, 11(11), 428; https://doi.org/10.3390/batteries11110428 - 20 Nov 2025
Viewed by 184
Abstract
Ionic liquid (IL)-based electrolytes have garnered significant interest for enhancing lithium-ion battery (LIB) safety due to their non-flammability, thermal stability, high conductivity, and broad electrochemical stability. We propose novel pyrrolinium-based ionic liquids to enhance lithium-ion mobility and address safety concerns in LIBs. This [...] Read more.
Ionic liquid (IL)-based electrolytes have garnered significant interest for enhancing lithium-ion battery (LIB) safety due to their non-flammability, thermal stability, high conductivity, and broad electrochemical stability. We propose novel pyrrolinium-based ionic liquids to enhance lithium-ion mobility and address safety concerns in LIBs. This study investigated LiTFSI in [Pyr13] [FSI] ionic liquid for Li-ion batteries. The cyclic stability and rate performance of single-layer full cells with commercial graphite anode and NMC532 cathode were examined for the electrolyte required per cell and compared to those using a carbonate electrolyte (LP30). Electrolytes containing LiTFSI/[Pyr13] [FSI] exhibited satisfactory rate performance and stable cycling for 100 cycles. The reversible capacity was maintained at over 22 mAh for a cycle period of 100 cycles with an electrolyte loading of 161.8 µL/cm2. These electrolytes exhibited the highest oxidation stability, surpassing 5.3 V compared to that of the Li+/Li reference electrode. Long cycle life of up to 1000 cycles was conducted, showing 80% capacity retention. Post-mortem analysis using scanning electron microscopy (SEM) and micro-Raman spectroscopy allowed observation of LiTFSI/ [Pyr13] [FSI] effects on cathode and anode active particle stability, and reduced formation of secondary reactions between the IL and battery electrodes. Full article
(This article belongs to the Special Issue Battery Manufacturing: Current Status, Challenges, and Opportunities)
Show Figures

Figure 1

17 pages, 2434 KB  
Article
Solvent Extraction of Critical Minerals from the Leachate of High-Nickel Black Mass Using Nickel-Preloaded Extractants
by Junmo Ahn, Ki-Hun Kim, Yeon-Chul Cho, Yeongran Hong, Byeongkyu Kim, Go-Gi Lee and Jaewoo Ahn
Minerals 2025, 15(11), 1221; https://doi.org/10.3390/min15111221 - 20 Nov 2025
Viewed by 315
Abstract
This study investigated the solvent extraction of a high-nickel-content metal solution using nickel-preloaded extractants. A synthetic high-nickel lithium-ion battery (LIB) black mass leachate was prepared to extract Cu, Al, and Mn using Ni-preloaded D2EHPA (Ni-D2EHPA). Then, Co was extracted from the raffinate using [...] Read more.
This study investigated the solvent extraction of a high-nickel-content metal solution using nickel-preloaded extractants. A synthetic high-nickel lithium-ion battery (LIB) black mass leachate was prepared to extract Cu, Al, and Mn using Ni-preloaded D2EHPA (Ni-D2EHPA). Then, Co was extracted from the raffinate using Ni-preloaded PC88A (Ni-PC88A). The results showed that Ni-preloaded D2EHPA extracted more than 99% of the Al, Cu, and Mn. Co was also co-extracted at a rate of 53%, but 99% of the Co was scrubbed with 0.2 M H2SO4. Co was extracted from the raffinate using Ni-PC88A at a rate of 99% with 1.0 O/A. Finally, 99% of the Co in the organic phase was stripped using 2.0 M sulfuric acid. After Co extraction using Ni-PC88A, 80 g/L Ni and 1.38 g/L Li remained in the raffinate. Crude nickel sulfate was produced from the raffinate after precipitation of Li as lithium carbonate. Full article
(This article belongs to the Section Mineral Processing and Extractive Metallurgy)
Show Figures

Graphical abstract

14 pages, 2656 KB  
Article
Evaluation of Filter Cake Washing Processes in Hydrometallurgical Battery Recycling of Lithium-Ion Batteries to Optimize Recoveries
by Dominic Dittmer, Maya Andary, Fabian Diaz and Bernd Friedrich
Metals 2025, 15(11), 1262; https://doi.org/10.3390/met15111262 - 19 Nov 2025
Viewed by 326
Abstract
Due to climate change, electromobility and thus lithium-ion batteries are attracting increased interest. With a simultaneous increase in demand for raw materials like Li, Ni, Co, and Mn, their hydrometallurgical recycling is also gaining attention. The associated recoveries must be improved due to [...] Read more.
Due to climate change, electromobility and thus lithium-ion batteries are attracting increased interest. With a simultaneous increase in demand for raw materials like Li, Ni, Co, and Mn, their hydrometallurgical recycling is also gaining attention. The associated recoveries must be improved due to EU regulations. In a lab scale, metals are lost to the wrong filter cakes after leaching, cementation, and precipitations. Therefore, this work investigates the question of how many wash steps are suitable after each process step to optimize the recoveries and purity of filter cakes by comparing a reference process and a process with extended washing. The comparison showed that it is possible to recover up to 3.5% of Ni, Co, and Mn by extended washing at each step and in total nearly 100% of Li if wash water is recirculated. An investigation of the substeps of washing demonstrated that single wash steps are able to recover from 0.5% to 3.5% of Ni, Co, and Mn and from 1.6% to 8.7% of Li. The impact of extended washing on purity is shown by the analysis of filter cakes, where the purity of Fe and Al could be improved by 43.0% and for Ni, Co, and Mn by 48.0%. The paper closes with recommendations on how many wash steps are suitable after each process step. Full article
Show Figures

Figure 1

29 pages, 5727 KB  
Review
Progress in Improving Safety Performance of Battery Separators Based on MOF Materials: Mechanisms, Materials and Applications
by Tian Zhao, Yajuan Bi, Jiayao Chen, Jiangrong Yu, Shilin Peng, Fuli Luo and Yi Chen
Safety 2025, 11(4), 111; https://doi.org/10.3390/safety11040111 - 17 Nov 2025
Viewed by 1373
Abstract
This comprehensive review examines the transformative role of metal–organic frameworks (MOFs) in advancing battery separator technology to address critical safety challenges in rechargeable lithium metal batteries. MOF-based separators leverage their highly specific surface area, tunable pore structures, and functionalized organic ligands to enable [...] Read more.
This comprehensive review examines the transformative role of metal–organic frameworks (MOFs) in advancing battery separator technology to address critical safety challenges in rechargeable lithium metal batteries. MOF-based separators leverage their highly specific surface area, tunable pore structures, and functionalized organic ligands to enable precise ion-sieving effects, uniform lithium-ion flux regulation, and dendrite suppression—significantly mitigating risks of internal short circuits and thermal runaway. We systematically analyze the mechanisms by which classical MOF families (e.g., ZIF, UiO, MIL series) enhance separator performance through physicochemical properties such as electrolyte wettability, thermal stability (>400 °C), and mechanical robustness. Furthermore, we highlight innovative composite strategies integrating MOFs with polymer matrices (e.g., PVDF, PAN) or traditional separators, which synergistically improve ionic conductivity while inhibiting polysulfide shuttling in lithium–sulfur batteries and side reactions in aqueous zinc-ion systems. Case studies demonstrate that functionalized MOF separators achieve exceptional electrochemical outcomes: Li–S batteries maintain >99% Coulombic efficiency over 500 cycles, while solid-state batteries exhibit 2400 h dendrite-free operation. Despite promising results, scalability challenges related to MOF synthesis costs and long-term stability under operational conditions require further research. This review underscores MOFs’ potential as multifunctional separator materials to enable safer, high-energy-density batteries and provides strategic insights for future material design. Full article
Show Figures

Figure 1

21 pages, 2496 KB  
Article
Nuclear Magnetic Resonance Dynamics of LiTFSI–Pyrazole Eutectic Solvents
by Emilia Pelegano-Titmuss, Muhammad Zulqarnain Arif, Giselle de Araujo Lima e Souza, Phillip Stallworth, Yong Zhang, Adam Imel, Thomas Zawodzinski and Steven Greenbaum
Materials 2025, 18(22), 5184; https://doi.org/10.3390/ma18225184 - 14 Nov 2025
Viewed by 496
Abstract
Deep Eutectic Solvents (DESs) have emerged as promising candidates to replace conventional organic solvents in various technological applications due to their low vapor pressure, non-flammability, and ease of preparation at low costs. In particular, Type IV DESs, which are composed of metal salts [...] Read more.
Deep Eutectic Solvents (DESs) have emerged as promising candidates to replace conventional organic solvents in various technological applications due to their low vapor pressure, non-flammability, and ease of preparation at low costs. In particular, Type IV DESs, which are composed of metal salts and hydrogen bond donors, are possible replacements for lithium-ion battery electrolytes. In this study, we investigate the molecular dynamics of solvents of lithium bis(trifluoromethanesulfonyl)imide (LiTFSI) and pyrazole (PYR) at varying LiTFSI:PYR molar ratios (1:2, 1:3, 1:4, 1:5) using Nuclear Magnetic Resonance Dispersion (NMRD) and Pulsed Field Gradient (PFG) Nuclear Magnetic Resonance (NMR). PFG NMR reveals composition-dependent diffusion trends, while NMRD provides molecular-level insights into the longitudinal relaxation rate (R1 = 1/T1). Notably, the LiTFSI:PYR (1:2) sample shows distinct behavior across both techniques, exhibiting enhanced relaxation rates and lower self-diffusion for 1H compared to the other nuclei (19F and 7Li), suggestive of stronger and more efficient Li+–pyrazole interactions, as confirmed by the modeling of the relaxation profiles. Our study advances understanding of ion dynamics in azole-based eutectic solvents, supporting their potential use in safer battery electrolytes. Full article
(This article belongs to the Special Issue Ionic Liquid-Based Materials: Fundamentals and Applications)
Show Figures

Graphical abstract

23 pages, 2574 KB  
Article
Co(II) Recovery from Hydrochloric Acid Solution Using Menthol-Based Deep Eutectic Solvents (DESs): Application to NMC Battery Recycling
by María Isabel Martín-Hernández, María Lourdes Rodríguez, Irene García-Díaz, Gorka Barquero-Carmona, Lorena Alcaraz, Olga Rodríguez-Largo and Félix A. López
Molecules 2025, 30(22), 4414; https://doi.org/10.3390/molecules30224414 - 14 Nov 2025
Viewed by 431
Abstract
Lithium-ion batteries are essential to ensure electric mobility and reduce CO2 emissions from transportation. One of the most commonly used chemistries is nickel–cobalt–manganese (NMC) batteries, which also have applications beyond the automotive sector. The recycling of these batteries requires the development of [...] Read more.
Lithium-ion batteries are essential to ensure electric mobility and reduce CO2 emissions from transportation. One of the most commonly used chemistries is nickel–cobalt–manganese (NMC) batteries, which also have applications beyond the automotive sector. The recycling of these batteries requires the development of technologies to enable the selective separation and recovery of the metals present in the battery. One of these selective technologies involves the use of deep eutectic solvents (DESs). This research study investigates the different parameters that influence the recovery of Co(II) from hydrochloric acid medium using the deep eutectic solvent 3 Aliquat 336:7 L-Menthol. Firstly, using synthetic Co(II) solutions, the parameters influencing the cobalt extraction process are examined, and then these optimal conditions are applied to the recovery of cobalt from solutions obtained by dissolving NMC 622 battery black mass in 10 M HCl. The obtained results show that the DES used is highly selective for Co(II) recovery compared to other metals present in the solution (Ni, Li and Mn), achieving recoveries of up to 90% of the cobalt initially present in solution. Stripping with H2SO4 0.5 M allows the recovery of cobalt as a crystalline monohydrate salt (CoSO4.H2O). The optimization of the Co/Cu separation conditions is carried out, achieving the separation of Cu(II) using Aliquat 336 in kerosene. Full article
Show Figures

Graphical abstract

19 pages, 4362 KB  
Article
Electrode-Resolved Analysis of Lithium Full Cells via OCV-Relaxation Deconvolution
by Yu-Jeong Min and Heon-Cheol Shin
Batteries 2025, 11(11), 415; https://doi.org/10.3390/batteries11110415 - 12 Nov 2025
Viewed by 346
Abstract
We present a time-domain direct current (DC) approach to differentiate positive- (PE) and negative-electrode (NE) contributions from two-electrode full-cell signals in lithium-ion batteries, enabling electrode-resolved diagnostics without specialized instrumentation. The responses of a LiNi0.8Co0.1Mn0.1O2 (PE)/graphite (NE) [...] Read more.
We present a time-domain direct current (DC) approach to differentiate positive- (PE) and negative-electrode (NE) contributions from two-electrode full-cell signals in lithium-ion batteries, enabling electrode-resolved diagnostics without specialized instrumentation. The responses of a LiNi0.8Co0.1Mn0.1O2 (PE)/graphite (NE) cell were recorded across −20 to 20 °C during galvanostatic pulses and subsequent open-circuit relaxations, alongside electrochemical impedance spectroscopy (EIS) measurements. These responses were analyzed using an equivalent-circuit-based model to decompose them into terms with characteristic times. Their distinct temperature dependences enabled attribution of the dominant terms to PE or NE, especially at low temperatures where temporal separation is substantial. The electrode attribution and activation energies were cross-validated against three-electrode measurements and were consistent with EIS-derived time constants. Reconstructing full-cell voltage transients from the identified terms reproduced the measured electrode-specific behavior, and quantitative comparisons showed that the DC time-domain separation aligned closely with directly measured PE/NE overpotentials during the current pulse. These results demonstrate a practical pathway to extract electrode-resolved information from cell voltage alone, offering new methodological possibilities for battery diagnostics and management while complementing three-electrode and alternating current (AC) techniques that are often constrained in field applications. Full article
(This article belongs to the Special Issue Control, Modelling, and Management of Batteries)
Show Figures

Figure 1

13 pages, 6441 KB  
Article
Tetrabromocobalt Phthalocyanine-Functionalized Carbon Nanotubes as a High-Performance Anode for Lithium-Ion Batteries
by Keshavananda Prabhu Channabasavana Hundi Puttaningaiah
Nanomaterials 2025, 15(22), 1713; https://doi.org/10.3390/nano15221713 - 12 Nov 2025
Viewed by 422
Abstract
The search for high-capacity, stable anode materials is crucial for advancing lithium-ion battery (LIB) technology. Although carbon nanotubes (CNTs) are known for their excellent electrical conductivity and mechanical strength, their practical capacity is still limited. This study presents an advanced anode design by [...] Read more.
The search for high-capacity, stable anode materials is crucial for advancing lithium-ion battery (LIB) technology. Although carbon nanotubes (CNTs) are known for their excellent electrical conductivity and mechanical strength, their practical capacity is still limited. This study presents an advanced anode design by molecular functionalizing both single-walled and multi-walled carbon nanotubes (SWCNTs and MWCNTs) with tetrabromocobalt phthalocyanine (CoPc), resulting in CoPc/SWCNT and CoPc/MWCNT hybrid materials. Metal phthalocyanines (MPcs) are recognized for their tunable and redox-active properties. In CoPc, the redox-active metal centers and π-conjugated structure are uniformly attached to the CNT surface through strong π-π interactions. This synergistic combination significantly boosts the lithium-ion (Li-ion) storage capacity by offering numerous coordination sites for Li-ions and enhancing charge transfer kinetics. Electrochemical analysis shows that the CoPc-SWCNT active anode electrode material shows an impressive reversible capacity of 1216 mAh g−1 after 100 cycles at a current density of 0.1 A g−1, substantially surpassing the capacities of pristine CoPc (327 mAh g−1) and a CoPc/MWCNT hybrid (488 mAh g−1). Furthermore, the CoPc/SWCNT anode exhibited exceptional rate capability and outstanding long-term cyclability. These results underscore the effectiveness of non-covalent functionalization with SWCNTs in enhancing the electrical conductivity, structural stability, and active site utilization of CoPc, positioning CoPc/SWCNT hybrids as a highly promising anode material for high-performance Li-ion storage. Full article
Show Figures

Graphical abstract

Back to TopTop