Sign in to use this feature.

Years

Between: -

Subjects

remove_circle_outline
remove_circle_outline
remove_circle_outline
remove_circle_outline
remove_circle_outline
remove_circle_outline
remove_circle_outline
remove_circle_outline

Journals

Article Types

Countries / Regions

Search Results (43)

Search Parameters:
Keywords = intracellular water (ICW)

Order results
Result details
Results per page
Select all
Export citation of selected articles as:
13 pages, 1527 KB  
Article
Neuromuscular Electrical Stimulation Plus Nutritional Counseling Attenuates Thigh Muscle Thickness Loss in Hospitalized Cancer Patients
by Tatyanne L. N. Gomes, Thaís C. Borges, Jessica F. M. Ivo, Lara G. Mainardi, Renata G. C. Abadio, Benjamin T. Wall and Gustavo D. Pimentel
Pathophysiology 2025, 32(4), 68; https://doi.org/10.3390/pathophysiology32040068 (registering DOI) - 2 Dec 2025
Abstract
Background and aims: This study aimed to determine whether neuromuscular electrical stimulation (NMES) combined with nutritional counseling promotes an increase in thigh muscle thickness (MT), as well as to assess changes in the relationship between MT and intracellular water (ICW). Body composition methods [...] Read more.
Background and aims: This study aimed to determine whether neuromuscular electrical stimulation (NMES) combined with nutritional counseling promotes an increase in thigh muscle thickness (MT), as well as to assess changes in the relationship between MT and intracellular water (ICW). Body composition methods such as ultrasound may overestimate muscle mass, depending on the context, because they cannot distinguish the contractile protein component from body fluids, including intra- and extracellular water. Methods: A pilot randomized parallel trial was conducted with 25 hospitalized patients with unselected cancer, who were divided into two groups: NMES + Diet and Diet. Both groups received nutritional counseling, but only one group received NMES. NMES was applied bilaterally to the origin and insertion points of the quadriceps twice daily, with a 3 h interval between sessions, for 7 consecutive days. MT and ICW were measured before and after the intervention. Food consumption was assessed using a 24 h dietary recall at baseline and at the end of the study to quantify and adjust macronutrient intake during the intervention. Results: Both treatment groups (Diet × NMES + Diet) showed similar dropout rates which means participants in the more intensive treatment did not quit more frequently, once intervention with NMES was feasible and well tolerated. In addition, both groups showed a reduction in carbohydrate intake (p = 0.012) and an increase in leucine intake (p < 0.001) post-intervention. The increase in leucine intake was significantly greater in the NMES + Diet group (p < 0.001), and the reduction in carbohydrate intake was also greater in this group (p = 0.012). In the delta analysis, the NMES + Diet group showed an increase in thigh MT, whereas the Diet group experienced a decrease (Diet group: ∆ = −2.53 ± 3.73 mm vs. NMES + Diet group: ∆ = 2.09 ± 2.27 mm, p = 0.001). Moreover, the MT/ICW ratio was higher in the NMES + Diet group post-intervention (Diet group: ∆ = −0.15 ± 0.19 mm/L vs. NMES + Diet group: ∆ = 0.11 ± 0.09 mm/L, p < 0.001), while no significant difference in ICW was observed between groups. Conclusions: short-term intervention combining nutritional counseling with NMES increased thigh MT and the MT/ICW ratio, possibly due to NMES-induced extracellular water expansion. Full article
Show Figures

Figure 1

15 pages, 2719 KB  
Article
Clinical Significance of Phase Angle for Assessing Quality of Life and Prognosis in Hemodialysis Patients
by Norihito Yoshida, Tatsuki Tanaka, Yusuke Suzuki, Sadamu Takahashi, Mai Hitaka, Shingo Ishii, Keisuke Yamazaki and Yasushi Ohashi
Nutrients 2025, 17(23), 3631; https://doi.org/10.3390/nu17233631 - 21 Nov 2025
Viewed by 366
Abstract
Background/Objectives: The phase angle (PA), derived from bioelectrical impedance analysis (BIA), reflects cellular integrity and nutritional status. Previous studies have reported associations between PA, QOL, and prognosis in hemodialysis patients; however, evidence in Japanese populations remains limited. This multicenter study aimed to confirm [...] Read more.
Background/Objectives: The phase angle (PA), derived from bioelectrical impedance analysis (BIA), reflects cellular integrity and nutritional status. Previous studies have reported associations between PA, QOL, and prognosis in hemodialysis patients; however, evidence in Japanese populations remains limited. This multicenter study aimed to confirm and extend these associations by examining the relationships of PA with QOL domains and survival outcomes in maintenance HD patients. Methods: In this multicenter cross-sectional study, 319 HD patients were stratified into sex-specific PA quartiles, and baseline characteristics, laboratory data, and body composition measures were compared across groups. Health-related QOL was assessed using the SF-36 and KDQOL-SF™. Associations between PA and QOL were tested with multivariable linear regression models. Survival was evaluated using Kaplan–Meier analysis with Bonferroni-adjusted pairwise comparisons. Results: Higher PA was significantly associated with favorable nutritional and laboratory parameters, including higher hemoglobin, albumin, creatinine, and GNRI, and lower NT-proBNP. PA also correlated positively with muscle mass and intracellular water, and inversely with the ECW/ICW ratio. Multivariable analyses showed that PA remained independently associated with several physical QOL domains, including physical functioning, role—physical, and general health, even after adjustment for dialysis adequacy (Kt/V) and inflammation (CRP). Kaplan–Meier analysis demonstrated lower survival in the lowest PA quartile, and ROC analysis identified sex-specific cutoff values for predicting mortality (4.0° for females, 4.8° for males). Conclusions: This multicenter confirmatory study showed that PA is independently associated with nutritional status, physical QOL, and mortality in maintenance hemodialysis patients. PA may serve as a practical, noninvasive biomarker for nutritional and functional assessment in clinical practice. Full article
(This article belongs to the Collection Clinical Nutrition in Kidney Disease)
Show Figures

Graphical abstract

11 pages, 733 KB  
Article
Linking Intradialytic Blood Volume Dynamics to Extracellular Fluid Status: Toward Personalized Fluid Assessment in Hemodialysis
by Martin Russwurm, Marvin Braun, Julia Menne, Lara Ploeger, Marc Miran, Fabian Max, Lotte Dahmen, Joachim Hoyer and Johannes Wild
J. Clin. Med. 2025, 14(20), 7188; https://doi.org/10.3390/jcm14207188 - 12 Oct 2025
Viewed by 561
Abstract
Background: Accurate assessment of volume status remains a central challenge in hemodialysis (HD). Although bioimpedance spectroscopy (BIS) can quantify fluid compartments, it is time-consuming and requires a lot of personnel. Modern HD machines provide continuous relative blood volume (RBV) monitoring. We examined [...] Read more.
Background: Accurate assessment of volume status remains a central challenge in hemodialysis (HD). Although bioimpedance spectroscopy (BIS) can quantify fluid compartments, it is time-consuming and requires a lot of personnel. Modern HD machines provide continuous relative blood volume (RBV) monitoring. We examined whether intradialytic RBV dynamics reflect pre-dialysis extracellular fluid (ECW) status to inform personalized fluid management. Methods: In an ancillary, monocentric, prospective study of the SkInDialysis trial (DRKS00036332), 11 maintenance-HD patients underwent three standardized dialysis sessions with simultaneous measurement of RBV and BIS. BIS was performed at five time points per session (pre-HD; 20, 80, and 160 min after the start of HD; and post-HD). Ultrafiltration (UF), RBV, total body water (TBW), ECW, and intracellular water (ICW) were recorded. Results: Mean total UF was 2809 ± 894 mL/session. RBV declined to 94.7 ± 3.1% at 20 min and to 87.6 ± 5.5% by the end of the session. TBW decreased by 2.9 ± 2.7%, driven by ECW reduction (−3.15 ± 2.9%) over ICW (−1.1 ± 1.65%). Cumulative UF correlated with declines in TBW (R2 = 0.18; p = 0.02) and ECW (R2 = 0.23; p = 0.01) and more modestly with ICW (R2 = 0.16; p = 0.04). In contrast, ΔRBV (pre- vs. post-HD) did not correlate with UF, weight loss, or compartmental water changes. Early steady-state RBV at 80 min correlated with pre-HD ECW (R2 = 0.19; p = 0.02) and more strongly with the pre-HD ECW/ICW ratio (R2 = 0.34; p = 0.001). Conclusions: In this small, repeated-measures cohort, absolute early steady state RBV levels were associated with pre-dialysis ECW and the ECW/ICW ratio, whereas RBV change (ΔRBV) did not track absolute fluid removal. Our data support a time-anchored RBV level as a pragmatic, device-embedded indicator of the pre-dialysis extracellular reservoir. Full article
(This article belongs to the Special Issue Hemodialysis: Clinical Updates and Advances)
Show Figures

Figure 1

11 pages, 634 KB  
Article
Bioelectrical Impedance Profiling to Estimate Neuropathic and Vascular Risk in Patients with Type 2 Diabetes Mellitus
by Elizabeth Quiroga-Torres, Fernanda Marizande, Cristina Arteaga, Marcelo Pilamunga, Lisbeth Josefina Reales-Chacón, Silvia Bonilla, Doménica Robayo, Sara Buenaño, Sebastián Camacho, William Galarza and Alberto Bustillos
Diagnostics 2025, 15(16), 2005; https://doi.org/10.3390/diagnostics15162005 - 11 Aug 2025
Viewed by 1222
Abstract
Background/Objectives: Microvascular complications are a major source of disability in type 2 diabetes mellitus (T2DM). We investigated whether body composition indices derived from multifrequency bioelectrical impedance analysis (BIA) independently predict neuropathy, retinopathy, nephropathy, and stroke, and whether they improve risk discrimination beyond the [...] Read more.
Background/Objectives: Microvascular complications are a major source of disability in type 2 diabetes mellitus (T2DM). We investigated whether body composition indices derived from multifrequency bioelectrical impedance analysis (BIA) independently predict neuropathy, retinopathy, nephropathy, and stroke, and whether they improve risk discrimination beyond the established clinical variables. Methods: In this cross-sectional analytical study (March 2024–February 2025), 124 adults with T2DM ≥ 12 months attending the outpatient diabetes clinic of the Universidad Técnica de Ambato (Ecuador) were enrolled. After an overnight fast and 15 min supine rest, thirteen whole-body BIA metrics including skeletal muscle mass (SMM), intracellular water (ICW), phase angle (PhA), and visceral fat area (VFA) were obtained with a segmental analyzer (InBody S10). Complications were ascertained with standard clinical and laboratory protocols. Principal component analysis (PCA) summarized the correlated BIA measures; multivariable logistic regression (adjusted for age, sex, diabetes duration, HbA1c, BMI, and medication use) generated odds ratios (ORs) per standard deviation (SD). Discrimination was assessed with bootstrapped receiver-operating characteristic curves. Results: The first principal component, driven by SMM, ICW, and PhA, accounted for a median 68% (range 65–72%) of body composition variance across all complications. Each SD increase in SMM lowered the odds of neuropathy (OR 0.54, 95% CI 0.41–0.71) and nephropathy (OR 0.70, 0.53–0.92), whereas VFA raised the risk of neuropathy (OR 1.55, 1.22–1.97) and retinopathy (OR 1.47, 1.14–1.88). PhA protected most strongly against stroke (OR 0.55, 0.37–0.82). Composite models integrating SMM, PhA, and adiposity indices achieved AUCs of 0.79–0.85, outperforming clinical models alone (all ΔAUC ≥ 0.05) and maintaining good calibration (Hosmer–Lemeshow p > 0.20). Optimal probability cut-offs (0.39–0.45) balanced sensitivity (0.74–0.80) and specificity (0.68–0.72). Conclusions: A lean tissue BIA signature (higher SMM, ICW, PhA) confers independent protection against neuropathy, retinopathy, nephropathy, and stroke, whereas visceral adiposity amplifies the risk. Because the assessment is rapid, inexpensive, and operator-independent, routine multifrequency BIA can be embedded into diabetes clinics to triage patients for early specialist referral and to monitor interventions aimed at preserving muscle and reducing visceral fat, thereby enhancing microvascular risk management in T2DM. Full article
(This article belongs to the Special Issue Advances in Modern Diabetes Diagnosis and Treatment Technology)
Show Figures

Graphical abstract

13 pages, 266 KB  
Article
Correlation Between Phase Angle and Body Composition, Strength and Nutritional Habits in Male Gamers
by Catarina N. Matias, Francesco Campa, Joana Cardoso, Margarida L. Cavaca, Rafael Carlos and Filipe J. Teixeira
Sports 2025, 13(8), 257; https://doi.org/10.3390/sports13080257 - 6 Aug 2025
Viewed by 901
Abstract
Gaming has evolved into a cultural phenomenon with a global reach, captivating millions of individuals. Nevertheless, little is known about this population. We aim to physiologically characterise the Portuguese gamers, bearing in mind that phase angle (PhA) is a general indicator of health, [...] Read more.
Gaming has evolved into a cultural phenomenon with a global reach, captivating millions of individuals. Nevertheless, little is known about this population. We aim to physiologically characterise the Portuguese gamers, bearing in mind that phase angle (PhA) is a general indicator of health, to check possible correlations between body composition, strength, and nutrition. A sample of 35 male gamers (individuals who play video games) was evaluated for anthropometry; body composition through DXA for whole-body bone mineral content (BMC), fat-free mass (FFM, kg), fat mass, and visceral adipose tissue, and through BIA (bioelectrical impedance analysis) for total body water (TBW), water pools (extracellular water and intracellular water, ICW), and PhA; strength through maximal isometric handgrip strength using a dynamometer; and nutritional intake using a three-day food record. Results show that participants are within reference metrics for all the analysed variables except regarding protein and carbohydrate intake (all values are above and below the Acceptable Macronutrient Distribution Ranges, respectively). A positive correlation was observed between PhA and TBW, ICW, handgrip strength, BMC and FFM, and a negative correlation with fat mass (absolute, percentage and visceral). In conclusion, PhA correlates with body composition variables, which aligns with previous research as a predictor of health and performance. Full article
13 pages, 769 KB  
Article
New Bioelectrical Impedance-Based Equations to Estimate Resting Metabolic Rate in Young Athletes
by Theodoros Stampoulis, Alexandra Avloniti, Dimitrios Draganidis, Dimitrios Balampanos, Polyxeni Efthimia Chalastra, Anastasia Gkachtsou, Dimitrios Pantazis, Nikolaos-Orestis Retzepis, Maria Protopapa, Athanasios Poulios, Nikolaos Zaras, Maria Michalopoulou, Ioannis G. Fatouros and Athanasios Chatzinikolaou
Methods Protoc. 2025, 8(3), 53; https://doi.org/10.3390/mps8030053 - 19 May 2025
Cited by 1 | Viewed by 2941
Abstract
Resting metabolic rate (RMR) significantly impacts total daily energy expenditure, particularly on training days, and varies among trained individuals. Studies estimating RMR in this population show notable discrepancies. This study aimed to develop and validate new bioelectrical impedance analysis-based (BIA) RMR equations for [...] Read more.
Resting metabolic rate (RMR) significantly impacts total daily energy expenditure, particularly on training days, and varies among trained individuals. Studies estimating RMR in this population show notable discrepancies. This study aimed to develop and validate new bioelectrical impedance analysis-based (BIA) RMR equations for young athletes, using a calibration and a validation group of 219 and 51 participants, respectively. RMR was measured via indirect calorimetry, while body composition was assessed through DXA and BIA. Correlation and agreement were evaluated by using Pearson’s correlation coefficients and Bland–Altman analysis. Multiple linear regression was applied for the estimation of RMR and a one-way ANOVA was used to compare the new BIA-based equations with other specific formulas. A significant correlation was noted between the BIA and DXA measurements. The final equation, applicable to both genders, was significantly correlated with intracellular water (ICW) and trunk fat, predicting 71.1% of RMR variance. When analyzed separately, body weight and protein displayed a moderate correlation with RMR in men (r = 0.616, p < 0.001), while ICW was correlated with the percentage of body fat in women (r = 0.579, p < 0.001). In the validation group, the values obtained through the three BIA-based equations were similar to the measured RMR, but differed significantly from those obtained through the four existing equations for trained individuals. In conclusion, the developed equations based on BIA-mediated body composition analysis provide a reliable method for estimating RMR in trained populations daily. Full article
(This article belongs to the Section Biomedical Sciences and Physiology)
Show Figures

Figure 1

14 pages, 253 KB  
Article
Hydration Strategies and Body Composition Differences in Male and Female Elite Bodybuilders During Competition
by Frano Giakoni-Ramírez, Catalina Muñoz-Strale, Josivaldo de Souza-Lima, Luis Aránguiz Dote, José Francisco López-Gil, Vicente Javier Clemente-Suárez and Rodrigo Yáñez-Sepúlveda
Nutrients 2025, 17(9), 1554; https://doi.org/10.3390/nu17091554 - 30 Apr 2025
Viewed by 5698
Abstract
Background: Body composition and hydration status, particularly the balance between intracellular (ICW) and extracellular (ECW) water compartments, are critical factors influencing performance and aesthetics in competitive bodybuilding. Despite their significance, limited research has explored sex-based differences in hydration strategies and their impact on [...] Read more.
Background: Body composition and hydration status, particularly the balance between intracellular (ICW) and extracellular (ECW) water compartments, are critical factors influencing performance and aesthetics in competitive bodybuilding. Despite their significance, limited research has explored sex-based differences in hydration strategies and their impact on competitive outcomes. Objectives: This study aimed to characterize and compare ICW and ECW distribution, as well as their relationship with key physiological parameters, between male and female elite bodybuilders during an international competition. Methods: A total of 34 elite bodybuilders (18 males and 16 females) participated in this cross-sectional study. Body composition was assessed using multifrequency bioelectrical impedance analysis (BIA). The parameters evaluated included total body water, ICW, ECW, and phase angle (PhA). Differences between sexes were analyzed using Student’s t-tests, with statistical significance set at p < 0.05. Results: Significant sex-based differences were observed in water compartment distribution. Male bodybuilders exhibited higher ICW values (33.1 ± 2.8 L vs. 25.7 ± 2.5 L; p < 0.001) and PhA (8.2 ± 0.7 vs. 7.0 ± 0.9; p < 0.05), indicating greater muscle mass and cell integrity. In contrast, females had a higher ECW-to-total body water ratio (42.7% vs. 39.5%; p < 0.05), likely influenced by hormonal and metabolic factors. These findings suggest that sex-specific physiological characteristics should be considered when developing hydration and competition strategies. Conclusions: The study highlights the importance of sex-specific approaches to hydration and body composition management in bodybuilding. The observed differences in ICW and ECW distributions underscore the need for individualized training, nutrition, and hydration strategies to optimize competitive performance while maintaining athlete health. Future research should focus on longitudinal assessments to better understand hydration dynamics across different stages of competition preparation. Full article
(This article belongs to the Special Issue Nutrition, Exercise and Body Composition)
14 pages, 1348 KB  
Article
Overweight and Obese Children Aged 6–17 Years in China Had Lower Level of Hydration Status: A Cross-Sectional Study
by Jianfen Zhang, Wei Cao, Juan Xu, Hongliang Wang, Ruihe Luo, Qian Gan, Titi Yang, Hui Pan, Zhenyu Yang, Wenhua Zhao and Qian Zhang
Nutrients 2025, 17(2), 364; https://doi.org/10.3390/nu17020364 - 20 Jan 2025
Cited by 2 | Viewed by 1695
Abstract
Purpose: The aims of this study were to explore the differences in total body water and hydration status among Chinese children aged 6–17 years. Methods: A cross-sectional study was implemented among children aged 6–17 years in China. The total body water (TBW), intracellular [...] Read more.
Purpose: The aims of this study were to explore the differences in total body water and hydration status among Chinese children aged 6–17 years. Methods: A cross-sectional study was implemented among children aged 6–17 years in China. The total body water (TBW), intracellular water (ICW), and extracellular water (ECW) were determined by bioelectrical impedance analysis (BIA). The participants were divided according to age—age 6–8 years, age 9–11 years, age 12–14 years, age 15–17 years—and body mass index (BMI) of China—underweight, normal weight, overweight, and obese groups. The differences of variables of groups were compared using analysis of variance, Student’s t-test, and Kruskal–Wallis test. Significance levels were set at 0.05 (p < 0.05). Results: A total of 59,643 participants (30,103 males and 29,540 females) completed the study. As children became older, the TBW, ICW, ECW, ICW/TBW, and TBW/FFM (TBW to fat free mass ratio) increased simultaneously (all p < 0.05); concurrently, the ECW/TBW decreased with age (all p < 0.05). Boys had higher TBW, ICW, ECW, ICW/TBW, TBW/BW, and TBW/FFM than those of girls at each age (all p < 0.05). For all BMI groups, increases in TBW, ICW, ECW were observed from the underweight group to the obese group, both in boys and girls (all p < 0.001). For the increase in BMI in all age groups, the values of TBW made a significantly lower percentage compared to BW. The higher BMI groups showed higher levels of TBW/FFM, both in girls and boys (all p < 0.001). Conclusions: The body water contents of children aged 6–17 years varied according to their age, sex, and BMI. Overweight and obese individuals may have inferior hydration status compared to those with normal weight. Full article
(This article belongs to the Special Issue Diet, Obesity, and Overweight in Children and Adolescents)
Show Figures

Figure 1

19 pages, 504 KB  
Article
Effects of Sodium-Glucose Cotransporter-2 Inhibitors on Body Composition and Fluid Status in Cardiovascular Rehabilitation Patients with Coronary Artery Disease and Heart Failure
by José C. De La Flor, Blanca Coto Morales, Elena Basabe, María Rey Hernandez, Rocío Zamora González-Mariño, Celia Rodríguez Tudero, Irwing Benites Flores, Carlos Espinoza, Michael Cieza Terrones, Secundino Cigarrán Guldris and Jesús Hernández Vaquero
Medicina 2024, 60(12), 2096; https://doi.org/10.3390/medicina60122096 - 21 Dec 2024
Cited by 2 | Viewed by 3136
Abstract
Background and Objectives: Sodium glucose cotransporter-2 (SGLT-2) inhibitors have emerged as integral therapeutic tools in the management of patients with cardiovascular–kidney–metabolic (CKM) syndrome. In addition to their well-documented effects on lowering glucose levels and cardiovascular- and reno-protective actions, SGLT-2 inhibitors, through a [...] Read more.
Background and Objectives: Sodium glucose cotransporter-2 (SGLT-2) inhibitors have emerged as integral therapeutic tools in the management of patients with cardiovascular–kidney–metabolic (CKM) syndrome. In addition to their well-documented effects on lowering glucose levels and cardiovascular- and reno-protective actions, SGLT-2 inhibitors, through a reduction in body weight (BW), generate changes in the body composition and volume status that have not been clearly studied. Materials and Methods: This retrospective, observational longitudinal cohort, single-center study analyzed and compared body composition and fluid status measured by bioelectrical impedance analysis (BIA) from weeks 0 to 12 after the initiation of the cardiac rehabilitation (CR) program for coronary artery disease and heart failure in 59 patients who started treatment with SGLT-2 inhibitors (SGLT-2iG) and 112 patients without SGLT-2 inhibitors (non-SGLT-2iG). Results: Changes between the baseline and week 12 in the SGLT-2iG and non-SGLT-2iG were −0.3 L (p = 0.003) and −0.03 L (p = 0.82) in extracellular water (ECW) (p = 0.05), −0.39 L (p < 0.001) and −0.14 L (p = 0.33) in intracellular water (ICW) (p = 0.12), −0.69 (p < 0.001) and −0.16 (p = 0.52) in total body water (TBW) (p = 0.08), and −0.01 (p = 0.37) and −0.001 (p = 0.25) in the ECW/TBW ratio, respectively. After 3 months of exercise therapy in the CR program, patients in the SGLT-2iG showed a greater decrease than the non-SGLT-2iG in weight (−1.34 kg, p < 0.001 vs. −0.99, p = 0.02), body mass index (BMI) (−0.45 kg/m2, p < 0.001 vs. −0.38, p = 0.004), arm circumference (−0.57 cm, p = 0.008 vs. −0.12 cm, p = 0.21), waist circumference (−1.5 cm, p = 0.04 vs. −0.11 cm, p = 0.83), systolic blood pressure (SBP) (−8.9 mmHg, p = 0.049 vs. −4.19, p = 0.08), and diastolic blood pressure (DBP) (−5.15, p = 0.03 vs. −2.85, p = 0.01). The bioelectrical impedance analysis (BIA) revealed a significant decrease in body fat mass (BFM) and visceral fat area, without a loss of lean body mass (LBM) or skeletal muscle mass in the SGLT-2iG. Conclusions: SGLT-2 inhibitors exert beneficial effects on body compartments and volume status. Although they induce modest weight loss, this appears to be mainly directed at ECW, BFM, and visceral fat, without a loss of LBM nor skeletal muscle mass, which could contribute to the observed CKM benefits. Full article
(This article belongs to the Section Urology & Nephrology)
Show Figures

Figure 1

15 pages, 613 KB  
Article
Effects of a Personalized Diet on Nutritional Status and Renal Function Outcome in Nephrectomized Patients with Renal Cancer
by Francesco Trevisani, Fabiana Laurenti, Francesco Fiorio, Matteo Paccagnella, Matteo Floris, Umberto Capitanio, Michele Ghidini, Ornella Garrone, Andrea Abbona, Andrea Salonia, Francesco Montorsi and Arianna Bettiga
Nutrients 2024, 16(9), 1386; https://doi.org/10.3390/nu16091386 - 3 May 2024
Cited by 2 | Viewed by 4733
Abstract
Nutritional therapy (NT) based on a controlled protein intake represents a cornerstone in managing chronic kidney disease (CKD). However, if a CKD patient is at the same time affected by cancer, oncologists and nutritionists tend to suggest a dietary regimen based on high [...] Read more.
Nutritional therapy (NT) based on a controlled protein intake represents a cornerstone in managing chronic kidney disease (CKD). However, if a CKD patient is at the same time affected by cancer, oncologists and nutritionists tend to suggest a dietary regimen based on high protein intake to avoid catabolism and malnutrition. International guidelines are not clear when we consider onco-nephrological patients and, as a consequence, no clinical shared strategy is currently applied in clinical practice. In particular, no precise nutritional management is established in nephrectomized patients for renal cell carcinoma (RCC), a specific oncological cohort of patients whose sudden kidney removal forces the remnant one to start a compensatory mechanism of adaptive hyperfiltration. Our study aimed to investigate the efficacy of a low–normal-protein high-calorie (LNPHC) diet based on a Mediterranean model in a consecutive cohort of nephrectomized RCC patients using an integrated nephrologist and nutritionist approach. A consecutive cohort of 40 nephrectomized RCC adult (age > 18) patients who were screened for malnutrition (malnutrition screening tool, MST < 2) were enrolled in a tertiary institution between 2020 and 2022 after signing a specific informed consent form. Each patient underwent an initial nephrological and nutritional evaluation and was subsequently subjected to a conventional CKD LNPHC diet integrated with aproteic foods (0.8 g/Kg/die: calories: 30–35 kcal per kg body weight/die) for a period of 6 months (±2 months). The diet was structured after considering eGFR (CKD-EPI 2021 creatinine formula), comorbidities, and nutritional status. MST, body mass index (BMI), phase angle (PA), fat mass percentage (FM%), fat-free mass index (FFMI), body cell mass index (BCMI), extracellular/intracellular water ratio (ECW/ICW), extracellular matrix/body cell mass ratio (ECM/BCM), waist/hip circumference ratio (WHC), lab test exams, and clinical variables were examined at baseline and after the study period. Our results clearly highlighted that the LNPHC diet was able to significantly improve several nutritional parameters, avoiding malnutrition and catabolism. In particular, the LNPHC diet preserved the BCM index (delta on median, ΔM + 0.3 kg/m2) and reduced the ECM/BCM ratio (ΔM − 0.03 *), with a significant reduction in the ECW/ICW ratio (ΔM − 0.02 *), all while increasing TBW (ΔM + 2.3% *). The LNPHC diet was able to preserve FFM while simultaneously depleting FM and, moreover, it led to a significant reduction in urea (ΔM − 11 mg/dL **). In conclusion, the LNPHC diet represents a new important therapeutic strategy that should be considered when treating onco-nephrological patients with solitary kidney due to renal cancer. Full article
Show Figures

Figure 1

13 pages, 2785 KB  
Article
Effect of Creatine Supplementation on Body Composition and Malnutrition-Inflammation Score in Hemodialysis Patients: An Exploratory 1-Year, Balanced, Double-Blind Design
by Ana Clara B. Marini, Raquel M. Schincaglia, Darren G. Candow and Gustavo D. Pimentel
Nutrients 2024, 16(5), 615; https://doi.org/10.3390/nu16050615 - 23 Feb 2024
Cited by 5 | Viewed by 17501
Abstract
Hemodialysis has a detrimental effect on fat-free mass (FFM) and muscle strength over time. Thus, we aimed to evaluate the effect of creatine supplementation on the body composition and Malnutrition-Inflammation Score (MIS) in patients with chronic kidney disease (CKD) undergoing hemodialysis. An exploratory [...] Read more.
Hemodialysis has a detrimental effect on fat-free mass (FFM) and muscle strength over time. Thus, we aimed to evaluate the effect of creatine supplementation on the body composition and Malnutrition-Inflammation Score (MIS) in patients with chronic kidney disease (CKD) undergoing hemodialysis. An exploratory 1-year balanced, placebo-controlled, and double-blind design was conducted with hemodialysis patients (≥18 years). The creatine group (CG) received 5 g of creatine monohydrate and 5 g of maltodextrin per day and the placebo group (PG) received 10 g of maltodextrin per day. MIS and body composition were analyzed at three time points: pre, intermediate (after 6 months), and post (after 12 months). After 6 months, 60% of patients on creatine experienced an increase in FFM compared to a 36.8% increase for those on placebo. Moreover, 65% of patients on creatine increased their skeletal muscle mass index (SMMI) compared to only 15.8% for those on placebo. Creatine increased intracellular water (ICW) in 60% of patients. MIS did not change after the intervention. In the CG, there was an increase in body weight (p = 0.018), FFM (p = 0.010), SMMI (p = 0.022). CG also increased total body water (pre 35.4 L, post 36.1 L; p = 0.008), mainly due to ICW (pre 20.2 L, intermediate 20.7 L, post 21.0 L; p = 0.016). Long-term creatine supplementation in hemodialysis patients did not attenuate the MIS, but enhanced FFM and SMMI, which was likely triggered by an increase in ICW. Full article
(This article belongs to the Section Proteins and Amino Acids)
Show Figures

Figure 1

19 pages, 5591 KB  
Article
Comparison of Bioelectrical Impedance Analysis (BIA)-Derived Parameters in Healthy Volunteers and Critically Ill Patients
by Robbert Cleymaet, Marvin D’Hondt, Thomas Scheinok, Luca Malbrain, Inneke De Laet, Karen Schoonheydt, Hilde Dits, Niels Van Regenmortel, Michael Mekeirele, Colin Cordemans, Andrea Minini, Paolo Severgnini, Wojciech Dabrowski, Adrian Wong and Manu L. N. G. Malbrain
Life 2024, 14(1), 27; https://doi.org/10.3390/life14010027 - 23 Dec 2023
Cited by 7 | Viewed by 2258
Abstract
Objective: To compare bioelectrical impedance analysis (BIA)-derived parameters in healthy volunteers and critically ill patients and to assess its prognostic value in an ICU patient cohort. Design: Retrospective, observational data analysis. Setting: Single centre, tertiary-level ICU (Ziekenhuis Netwerk Antwerpen, ZNA Stuivenberg Hospital). Patients: [...] Read more.
Objective: To compare bioelectrical impedance analysis (BIA)-derived parameters in healthy volunteers and critically ill patients and to assess its prognostic value in an ICU patient cohort. Design: Retrospective, observational data analysis. Setting: Single centre, tertiary-level ICU (Ziekenhuis Netwerk Antwerpen, ZNA Stuivenberg Hospital). Patients: 101 patients and 101 healthy subjects, participants of International Fluid Academy Days. Measurements and main results: Compared to healthy volunteers, both male and female ICU patients had significantly higher values for total body water (TBW), extracellular water (ECW), extracellular fluid (ECF), plasma, and interstitial fluid volumes. The phase angle was significantly lower and the malnutrition index was significantly higher in ICU patients, regardless of gender. Non-survivors in the ICU had significantly higher extracellular water content (ECW, 50.7 ± 5.1 vs. 48.9 ± 4.3%, p = 0.047) and accordingly significantly lower intracellular water (ICW, 49.2 ± 5.1 vs. 51.1 ± 4.3%, p = 0.047). The malnutrition index was also significantly higher in non-survivors compared to survivors (0.94 ± 0.17 vs. 0.87 ± 0.16, p = 0.048), as was the capillary leak index (ECW/ICW). Conclusions: Compared to healthy volunteers, this study observed a higher malnutrition index and TBW in ICU patients with an accumulation of fluids in the extracellular compartment. ICU non-survivors showed similar results, indicating that ICU patients and a fortiori non-survivors are generally overhydrated, with increased TBW and ECW, and more undernourished, as indicated by a higher malnutrition index. Full article
(This article belongs to the Section Physiology and Pathology)
Show Figures

Figure 1

10 pages, 257 KB  
Article
The Relationship between Body Composition and Physical Activity Level in Students of Medical Faculties
by Aleksandra Jaremków, Iwona Markiewicz-Górka, Wojciech Hajdusianek, Karolina Czerwińska and Paweł Gać
J. Clin. Med. 2024, 13(1), 50; https://doi.org/10.3390/jcm13010050 - 21 Dec 2023
Cited by 10 | Viewed by 4020
Abstract
Maintaining an active lifestyle is crucial for good health. Markers of health risk include tissue components. This study aimed to indicate which body composition elements create the strongest correlations with physical activity performed in young students of medical faculties. The study group consisted [...] Read more.
Maintaining an active lifestyle is crucial for good health. Markers of health risk include tissue components. This study aimed to indicate which body composition elements create the strongest correlations with physical activity performed in young students of medical faculties. The study group consisted of 75 students (33 men and 42 women) from Wroclaw Medical University. Each student underwent accelerometer and anthropometric measurements and body composition analysis. Both men and women had similar physical activity levels. The study found that the amount of vigorous physical activity correlated significantly with the basal metabolic rate (BMR), fat, water and muscle content, fat-free mass (FFM), bone mass, extracellular to intracellular water ratio (ECW/ICW), and phase angle (PA), with r~ ± (0.2–0.4). The amount of moderate physical activity correlated with body mass, body mass index (BMI), BMR, FFM, and bone mass, with r~0.3–0.5. There are dimorphic differences in the strength of correlations between physical activity and elements of body composition. A greater amount of moderate and vigorous physical activity is associated with greater FFM and bone mass in men, which causes BMI to increase as well (in this case, higher BMI is not a sign of being overweight). For women, the beneficial effect of higher amounts of vigorous physical activity on reducing fat content and increasing muscle mass is more pronounced. In both men and women, an improvement in hydration is evident with increased vigorous physical activity volume. Full article
(This article belongs to the Special Issue Obesity and Physical Exercises)
13 pages, 2373 KB  
Article
Impact of the Body Composition on Knee Osteoarthritis Assessed Using Bioimpedance Analysis
by Jaromir Jarecki, Bartosz Potoczniak, Artur Dziedzic, Teresa Małecka-Masalska, Tomasz Skrzypek, Waldemar Kazimierczak, Marcin Skowronek, Magdalena Wójciak, Sławomir Dresler, Marcin Waśko and Ireneusz Sowa
J. Clin. Med. 2023, 12(22), 7037; https://doi.org/10.3390/jcm12227037 - 10 Nov 2023
Cited by 3 | Viewed by 2418
Abstract
Osteoarthritis (OA) ranks among the most prevalent inflammatory diseases affecting the musculoskeletal system and is a leading cause of disability globally, impacting approximately 250 million individuals. This study aimed to assess the relationship between the severity of knee osteoarthritis (KOA) and body composition [...] Read more.
Osteoarthritis (OA) ranks among the most prevalent inflammatory diseases affecting the musculoskeletal system and is a leading cause of disability globally, impacting approximately 250 million individuals. This study aimed to assess the relationship between the severity of knee osteoarthritis (KOA) and body composition in postmenopausal women using bioimpedance analysis (BIA). The study included 58 postmenopausal females who were candidates for total knee arthroplasty. The control group consisted of 25 postmenopausal individuals with no degenerative knee joint changes. The anthropometric analysis encompassed the body mass index (BMI), mid-arm and mid-thigh circumferences (MAC and MTC), and triceps skinfold thickness (TSF). Functional performance was evaluated using the 30 s sit-to-stand test. During the BIA test, electrical parameters such as membrane potential, electrical resistance, capacitive reactance, impedance, and phase angle were measured. Additionally, body composition parameters, including Total Body Water (TBW), Extracellular Water (ECW), Intracellular Water (ICW), Body Cellular Mass (BCM), Extracellular Mass (ECM), Fat-Free Mass (FFM), and Fat Mass (FM), were examined. The study did not find any statistically significant differences in the electrical parameters between the control (0–1 grade on the K–L scale) and study groups (3–4 grade on the K–L scale). However, statistically significant differences were observed in BMI, fat mass (FM), arm circumference, triceps skinfold thickness, and sit-to-stand test results between the analyzed groups. In conclusion, the association between overweight and obesity with KOA in postmenopausal women appears to be primarily related to the level of adipose tissue and its metabolic activity. Full article
Show Figures

Graphical abstract

15 pages, 4453 KB  
Article
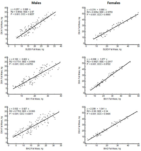
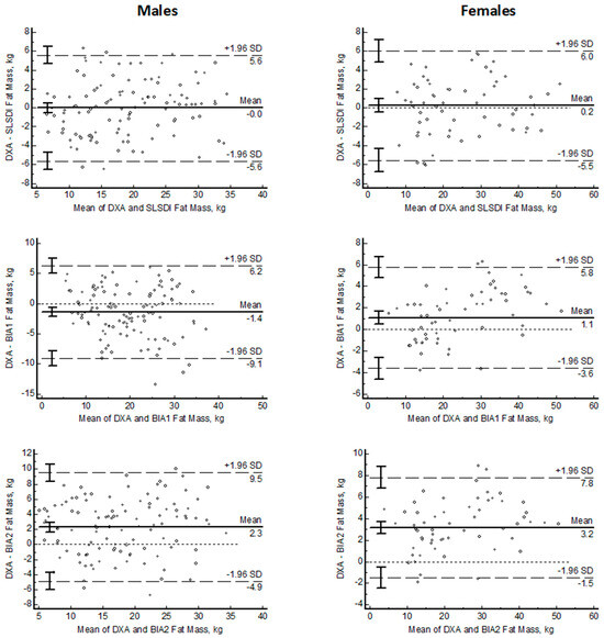
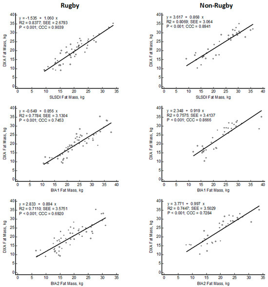
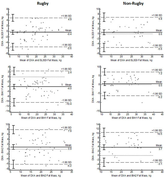
Fluid-Dependent Single-Frequency Bioelectrical Impedance Fat Mass Estimates Compared to Digital Imaging and Dual X-ray Absorptiometry
by Lexa Nescolarde, Carmine Orlandi, Gian Luca Farina, Niccolo’ Gori and Henry Lukaski
Nutrients 2023, 15(21), 4638; https://doi.org/10.3390/nu15214638 - 1 Nov 2023
Cited by 4 | Viewed by 3305
Abstract
The need for a practical method for routine determination of body fat has progressed from body mass index (BMI) to bioelectrical impedance analysis (BIA) and smartphone two-dimensional imaging. We determined agreement in fat mass (FM) estimated with 50 kHz BIA and smartphone single [...] Read more.
The need for a practical method for routine determination of body fat has progressed from body mass index (BMI) to bioelectrical impedance analysis (BIA) and smartphone two-dimensional imaging. We determined agreement in fat mass (FM) estimated with 50 kHz BIA and smartphone single lateral standing digital image (SLSDI) compared to dual X-ray absorptiometry (DXA) in 188 healthy adults (69 females and 119 males). BIA underestimated (p < 0.0001) FM, whereas SLSDI FM estimates were not different from DXA values. Based on limited observations that BIA overestimated fat-free mass (FFM) in obese adults, we tested the hypothesis that expansion of the extracellular water (ECW), expressed as ECW to intracellular water (ECW/ICW), results in underestimation of BIA-dependent FM. Using a general criterion of BMI > 25 kg/m2, 54 male rugby players, compared to 40 male non-rugby players, had greater (p < 0.001) BMI and FFM but less (p < 0.001) FM and ECW/ICW. BIA underestimated (p < 0.001) FM in the non-rugby men, but SLSDI and DXA FM estimates were not different in both groups. This finding is consistent with the expansion of ECW in individuals with excess body fat due to increased adipose tissue mass and its water content. Unlike SLSDI, 50 kHz BIA predictions of FM are affected by an increased ECW/ICW associated with greater adipose tissue. These findings demonstrate the validity, practicality, and convenience of smartphone SLSDI to estimate FM, seemingly not influenced by variable hydration states, for healthcare providers in clinical and field settings. Full article
(This article belongs to the Section Nutrition Methodology & Assessment)
Show Figures

Figure 1

Back to TopTop