Sign in to use this feature.

Years

Between: -

Subjects

remove_circle_outline
remove_circle_outline
remove_circle_outline
remove_circle_outline
remove_circle_outline

Journals

Article Types

Countries / Regions

Search Results (15)

Search Parameters:
Keywords = in-operando

Order results
Result details
Results per page
Select all
Export citation of selected articles as:
13 pages, 5736 KB  
Article
Temperature-Dependent Hydrogenation, Hydrodeoxygenation, and Hydrogenolysis of Anisole on Nickel Catalysts
by Shuya Zhang, Xiaochen Liu, Yuanjie Xu and Yu Tang
Catalysts 2023, 13(11), 1418; https://doi.org/10.3390/catal13111418 - 6 Nov 2023
Cited by 4 | Viewed by 3827
Abstract
Hydrogenation stands out as one of the most promising techniques for converting biomass-derived molecules into valuable products. The expected products of upgrading biomass molecules include hydrocarbon, oxygenate, and methane. Ni-based catalysts have attracted considerable interest owing to their unique properties and relatively low [...] Read more.
Hydrogenation stands out as one of the most promising techniques for converting biomass-derived molecules into valuable products. The expected products of upgrading biomass molecules include hydrocarbon, oxygenate, and methane. Ni-based catalysts have attracted considerable interest owing to their unique properties and relatively low cost. In this work, NiO prepared by the calcination and urea precipitation methods, namely NiO–C and NiO–U, is investigated for the hydrogenation of anisole. It is found that reaction temperature exerts a significant influence on the hydrogenation pathways. At 150 °C, C–reduced NiO proves more inclined towards hydrogenation, while U–reduced NiO demonstrates a tendency for hydrodeoxygenation (HDO). Moreover, as the temperature rises, both nickel catalysts change the reaction route to hydrogenolysis and eventually only produce methane at 300 °C, whereas metallic Ni is formed as the catalytic active phase. In situ FTIR experiments suggest the hydrogenolysis pathway and the formation of methane. This work investigates a route to produce methane from biomass molecules. Full article
(This article belongs to the Special Issue Heterogeneous Catalysis for Selective Hydrogenation)
Show Figures

Graphical abstract

12 pages, 3870 KB  
Article
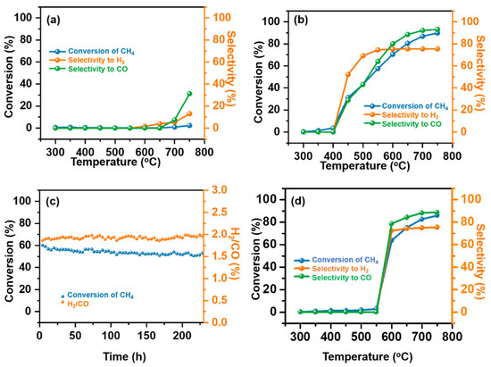
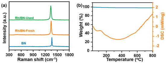
Identifying the Metallic State of Rh Catalyst on Boron Nitride during Partial Oxidation of Methane by Using the Product Molecule as the Infrared Probe
by Jikang Yao, Yuanjie Xu, Hua Yang, Zhuangzhuang Ren, Lizhi Wu and Yu Tang
Catalysts 2022, 12(10), 1146; https://doi.org/10.3390/catal12101146 - 30 Sep 2022
Cited by 11 | Viewed by 2593
Abstract
The partial oxidation of methane (POM) is a promising method for converting methane to syngas. The transition metal supported on boron nitride (BN) has recently been studied as part of a catalog of emerging catalysts. However, the chemical state of the metal supported [...] Read more.
The partial oxidation of methane (POM) is a promising method for converting methane to syngas. The transition metal supported on boron nitride (BN) has recently been studied as part of a catalog of emerging catalysts. However, the chemical state of the metal supported on BN during methane reforming is still in debate. In this work, we report a rhodium catalyst on boron nitride (Rh/BN) for the POM, with exceptional activity and long-term stability at 600 °C for 230 h. The Rh/BN catalyst was investigated by X-ray diffraction, X-ray photoelectron spectroscopy, Raman spectroscopy, transmission electron microscopy, and diffuse reflectance infrared Fourier transformed spectroscopy (DRIFTS). As revealed by in situ DRIFTS, the infrared band (2020 cm−1) of the product molecule, CO, adsorbed on the Rh, as the probe confirms the metallic state of Rh during the POM reaction. In addition, the results of in situ DRIFTS indicate that the reactive gaseous environment would react with the catalyst to form B-OH and B-H, which synergistically boost the POM activity. Full article
(This article belongs to the Section Industrial Catalysis)
Show Figures

Graphical abstract

22 pages, 7973 KB  
Article
Method for In-Operando Contamination of Lithium Ion Batteries for Prediction of Impurity-Induced Non-Obvious Cell Damage
by Patrick Höschele, Simon Franz Heindl, Bernd Schneider, Wolfgang Sinz and Christian Ellersdorfer
Batteries 2022, 8(4), 35; https://doi.org/10.3390/batteries8040035 - 14 Apr 2022
Cited by 6 | Viewed by 4622
Abstract
The safety of lithium-ion batteries within electrified vehicles plays an important role. Hazards can arise from contaminated batteries resulting from non-obvious damages or insufficient production processes. A systematic examination requires experimental methods to provoke a defined contamination. Two prerequisites were required: First, the [...] Read more.
The safety of lithium-ion batteries within electrified vehicles plays an important role. Hazards can arise from contaminated batteries resulting from non-obvious damages or insufficient production processes. A systematic examination requires experimental methods to provoke a defined contamination. Two prerequisites were required: First, the extent and type of contamination should be determinable to exclude randomness. Second, specimens should work properly before the contamination, enabling realistic behavior. In this study, two experimental methods were developed to allow for the first time a controlled and reproducible application of water or oxygen into 11 single-layer full cells (Li4Ti5O12/LiCoO2) used as specimens during electrical cycling. Electrochemical impedance spectroscopy was used to continuously monitor the specimens and to fit the parameters of an equivalent circuit model (ECM). For the first time, these parameters were used to calibrate a machine-learning algorithm which was able to predict the contamination state. A decision tree was calibrated with the ECM parameters of eight specimens (training data) and was validated by predicting the contamination state of the three remaining specimens (test data). The prediction quality proved the usability of classification algorithms to monitor for contaminations or non-obvious battery damage after manufacturing and during use. It can be an integral part of battery management systems that increases vehicle safety. Full article
(This article belongs to the Special Issue Lithium-Ion Batteries Aging Mechanisms, 2nd Edition)
Show Figures

Figure 1

14 pages, 6064 KB  
Article
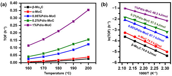
Palladium-Incorporated α-MoC Mesoporous Composites for Enhanced Direct Hydrodeoxygenation of Anisole
by Yue Yang, Xiaochen Liu, Yuanjie Xu, Xing Gao, Yihu Dai and Yu Tang
Catalysts 2021, 11(3), 370; https://doi.org/10.3390/catal11030370 - 12 Mar 2021
Cited by 26 | Viewed by 3899
Abstract
Hydrodeoxygenation (HDO) is one of the promising catalytic routes for converting biomass derived molecules to high value products. A key step of HDO is the cleavage of an aromatic C–O bond to accomplish the deoxygenation step, however, which is energetically unfavorable. Herein, we [...] Read more.
Hydrodeoxygenation (HDO) is one of the promising catalytic routes for converting biomass derived molecules to high value products. A key step of HDO is the cleavage of an aromatic C–O bond to accomplish the deoxygenation step, however, which is energetically unfavorable. Herein, we report a series of palladium (Pd)-incorporated α-phase of molybdenum carbide (α-MoC) mesoporous composites for enhanced HDO activity of a biomass model molecule, anisole. The catalysts, x%Pd/α-MoC (x% is the molar ratio of Pd/Mo), were investigated by X-ray diffraction (XRD), temperature programmed reduction (TPR), temperature programmed desorption (TPD), Brunauer–Emmett–Teller (BET), Raman, transmission electron microscopy (TEM), and X-ray photoelectron spectroscopy (XPS) techniques. Pd is highly dispersed on α-MoC when x% ≤ 1%, but aggregate to form nanoparticles when x% = 5%. The x%Pd/α-MoC catalysts (x% ≤ 1%) show enhanced HDO activity in terms of turnover frequency (TOF) and apparent activation energy barrier (Ea) compared with α-MoC and β-Mo2C catalysts. The TOF of 1%Pd/α-MoC catalyst at 160 °C is 0.115 h−1 and the Ea is 48.2 kJ/mol. Moreover, the direct cleavage of aromatic C–O bond is preferred on 1%Pd/α-MoC catalyst. The enhanced HDO activity is attributed to superior H2 dissociation ability by the highly dispersed Pd sites on carbide. This work brings new insights for rational design of the catalyst for selective C–O bond activation. Full article
(This article belongs to the Section Biomass Catalysis)
Show Figures

Graphical abstract

20 pages, 4710 KB  
Article
In-Operando Diffraction and Spectroscopic Evaluation of Pure, Zr-, and Ce-Doped Vanadium Dioxide Thermochromic Films Derived via Glycolate Synthesis
by Stanislav Kurajica, Vilko Mandić, Ivana Panžić, Mattia Gaboardi, Katarina Mužina, Ana Lozančić, Juraj Šipušić, Ivana Katarina Munda, Lucija Višić, Sanja Lučić Blagojević, Lara Gigli and Jasper Rikkert Plaisier
Nanomaterials 2020, 10(12), 2537; https://doi.org/10.3390/nano10122537 - 17 Dec 2020
Cited by 5 | Viewed by 2711
Abstract
Pure and doped vanadia (VO2, V0.98Zr0.02O2, V0.98Ce0.02O2) samples were prepared by wet chemistry synthesis from vanadyl glycolate intermediate phase and tape casted into films. Combining in-operando grazing incidence synchrotron [...] Read more.
Pure and doped vanadia (VO2, V0.98Zr0.02O2, V0.98Ce0.02O2) samples were prepared by wet chemistry synthesis from vanadyl glycolate intermediate phase and tape casted into films. Combining in-operando grazing incidence synchrotron X-ray diffraction and Raman spectroscopy, we studied the structural evolution of the films under isothermal conditions. The setup allowed assessment of the thermochromic functionality with continuous monitoring of the monoclinic to tetragonal transition in pure and doped vanadia phases, responsible for the transmission and reflection of light in the infrared part of the solar spectrum. The materials characterisation by X-ray diffraction beamline (MCX) goniometer demonstrated ideal performance, combining flexible geometry, high resolution, and the potential to accommodate the multi-channel equipment for in-operando characterisation. This method proved viable for evaluating the relevant structural and physical, and thereof functional properties of these systems. We revealed that dopants reduce the transition temperature by 5 °C on average. The synthetic route of the films was held responsible for the observed phase separation. The more favourable behaviour of cerium-doped sample was attributed to cerium alkoxide behaviour. In addition, structural, microstructural, thermal, and spectroscopic characterisation on powder samples was performed to gain more insight into the development of the phases that are responsible for thermochromic features in a broader range of doping ratios. The influence of the dopants on the extent of the thermochromic transition (transmission to reflection hysteresis) was also evaluated using (micro) structural, thermal and spectroscopic methods of powder samples. Characterisations showed that zirconium doping in 2, 4, and 6 mol% significantly influenced the phase composition and morphology of the precursor. Vanadium oxides other than VO2 can easily crystallise; however, a thermal treatment regime that allowed crystallisation of VO2 as a single phase was established. Full article
(This article belongs to the Special Issue Probing Single Events at the Nanoscale)
Show Figures

Graphical abstract

21 pages, 9198 KB  
Article
Analysis of Soot Deposition Mechanisms on Nickel-Based Anodes of SOFCs in Single-Cell and Stack Environment
by Konrad Motylinski, Marcin Blesznowski, Marek Skrzypkiewicz, Michal Wierzbicki, Agnieszka Zurawska, Arkadiusz Baran, Maciej Bakala and Jakub Kupecki
Processes 2020, 8(11), 1370; https://doi.org/10.3390/pr8111370 - 29 Oct 2020
Cited by 18 | Viewed by 4167
Abstract
Solid oxide fuel cells (SOFCs) can be fueled with various gases, including carbon-containing compounds. High operating temperatures, exceeding 600 °C, and the presence of a porous, nickel-based SOFC anode, might lead to the formation of solid carbon particles from fuels such as carbon [...] Read more.
Solid oxide fuel cells (SOFCs) can be fueled with various gases, including carbon-containing compounds. High operating temperatures, exceeding 600 °C, and the presence of a porous, nickel-based SOFC anode, might lead to the formation of solid carbon particles from fuels such as carbon monoxide and other gases with hydrocarbon-based compounds. Carbon deposition on fuel electrode surfaces can cause irreversible damage to the cell, eventually destroying the electrode. Soot formation mechanisms are strictly related to electrochemical, kinetic, and thermodynamic conditions. In the current study, the effects of carbon deposition on the lifetime and performance of SOFCs were analyzed in-operando, both in single-cell and stack conditions. It was observed that anodic gas velocity has an impact on soot formation and deposition, thus it was also studied in depth. Single-anode-supported solid oxide fuel cells were fueled with gases delivered in such a way that the initial velocities in the anodic compartment ranged from 0.1 to 0.7 m/s. Both cell operation and post-mortem observations proved that the carbon deposition process accelerates at higher anodic gas velocity. Furthermore, single-cell results were verified in an SOFC stack operated in carbon-deposition regime by dry-coupling with a downdraft 150 kWth biomass gasifier. Full article
(This article belongs to the Special Issue Recent Advances of Solid Oxide Fuel Cells (SOFC))
Show Figures

Figure 1

19 pages, 613 KB  
Article
Rapid Fault Diagnosis of PEM Fuel Cells through Optimal Electrochemical Impedance Spectroscopy Tests
by Behzad Najafi, Paolo Bonomi, Andrea Casalegno, Fabio Rinaldi and Andrea Baricci
Energies 2020, 13(14), 3643; https://doi.org/10.3390/en13143643 - 15 Jul 2020
Cited by 49 | Viewed by 6962
Abstract
The present paper is focused on proposing and implementing a methodology for robust and rapid diagnosis of PEM fuel cells’ faults using Electrochemical Impedance Spectroscopy (EIS). Accordingly, EIS tests have been first conducted on four identical fresh PEM fuel cells along with an [...] Read more.
The present paper is focused on proposing and implementing a methodology for robust and rapid diagnosis of PEM fuel cells’ faults using Electrochemical Impedance Spectroscopy (EIS). Accordingly, EIS tests have been first conducted on four identical fresh PEM fuel cells along with an aged PEMFC at different current density levels and operating conditions. A label, which represents the presence of a type of fault (flooding or dehydration) or the regular operation, is then assigned to each test based on the expert knowledge employing the cell’s spectrum on the Nyquist plot. Since the time required to generate the spectrum should be minimized and considering the notable difference in the time needed for carrying out EIS tests at different frequency ranges, the frequencies have been categorized into four clusters (based on the corresponding order of magnitude: >1 kHz, >100 Hz, >10 Hz, >1 Hz). Next, for each frequency cluster and each specific current density, while utilizing a classification algorithm, a feature selection procedure is implemented in order to find the combination of EIS frequencies utilizing which results in the highest fault diagnosis accuracy and requires the lowest EIS testing time. For the case of fresh cells, employing the cluster of frequencies with f > 10 Hz, an accuracy of 98.5 % is obtained, whereas once the EIS tests from degraded cells are added to the dataset, the achieved accuracy is reduced to 89.2 % . It is also demonstrated that, while utilizing the selected pipelines, the required time for conducting the EIS test is less than one second, an advantage that facilitates real-time in-operando diagnosis of water management issues. Full article
(This article belongs to the Special Issue Polymer Electrolyte Membrane Fuel Cell Systems)
Show Figures

Figure 1

20 pages, 5064 KB  
Article
In-Operando Impedance Spectroscopy and Ultrasonic Measurements during High-Temperature Abuse Experiments on Lithium-Ion Batteries
by Hendrik Zappen, Georg Fuchs, Alexander Gitis and Dirk Uwe Sauer
Batteries 2020, 6(2), 25; https://doi.org/10.3390/batteries6020025 - 22 Apr 2020
Cited by 46 | Viewed by 9741
Abstract
Lithium-Ion batteries are used in ever more demanding applications regarding operating range and safety requirements. This work presents a series of high-temperature abuse experiments on a nickel-manganese-cobalt oxide (NMC)/graphite lithium-ion battery cell, using advanced in-operando measurement techniques like fast impedance spectroscopy and ultrasonic [...] Read more.
Lithium-Ion batteries are used in ever more demanding applications regarding operating range and safety requirements. This work presents a series of high-temperature abuse experiments on a nickel-manganese-cobalt oxide (NMC)/graphite lithium-ion battery cell, using advanced in-operando measurement techniques like fast impedance spectroscopy and ultrasonic waves, as well as strain-gauges. the presented results show, that by using these methods degradation effects at elevated temperature can be observed in real-time. These methods have the potential to be integrated into a battery management system in the future. Therefore they make it possible to achieve higher battery safety even under the most demanding operating conditions. Full article
(This article belongs to the Special Issue Lithium-Ion Batteries: Latest Advances and Prospects)
Show Figures

Figure 1

16 pages, 2708 KB  
Article
Electrical Properties of Low-Temperature Processed Sn-Doped In2O3 Thin Films: The Role of Microstructure and Oxygen Content and the Potential of Defect Modulation Doping
by Getnet Kacha Deyu, Jonas Hunka, Hervé Roussel, Joachim Brötz, Daniel Bellet and Andreas Klein
Materials 2019, 12(14), 2232; https://doi.org/10.3390/ma12142232 - 11 Jul 2019
Cited by 14 | Viewed by 4706
Abstract
Low-temperature-processed ITO thin films offer the potential of overcoming the doping limit by suppressing the equilibrium of compensating oxygen interstitial defects. To elucidate this potential, electrical properties of Sn-doped In 2 O 3 (ITO) thin films are studied in dependence on film thickness. [...] Read more.
Low-temperature-processed ITO thin films offer the potential of overcoming the doping limit by suppressing the equilibrium of compensating oxygen interstitial defects. To elucidate this potential, electrical properties of Sn-doped In 2 O 3 (ITO) thin films are studied in dependence on film thickness. In-operando conductivity and Hall effect measurements during annealing of room-temperature-deposited films, together with different film thickness in different environments, allow to discriminate between the effects of crystallization, grain growth, donor activation and oxygen diffusion on carrier concentrations and mobilities. At 200 C , a control of carrier concentration by oxygen incorporation or extraction is only dominant for very thin films. The electrical properties of thicker films deposited at room temperature are mostly affected by the grain size. The remaining diffusivity of compensating oxygen defects at 200 C is sufficient to screen the high Fermi level induced by deposition of Al 2 O 3 using atomic layer deposition (ALD), which disables the use of defect modulation doping at this temperature. The results indicate that achieving higher carrier concentrations in ITO thin films requires a control of the oxygen pressure during deposition in combination with seed layers to enhance crystallinity or the use of near room temperature ALD. Full article
(This article belongs to the Special Issue Transparent Conductive Films and Their Applications)
Show Figures

Graphical abstract

16 pages, 2198 KB  
Review
In-Situ Measurements in Microscale Gas Flows—Conventional Sensors or Something Else?
by Juergen J. Brandner
Micromachines 2019, 10(5), 292; https://doi.org/10.3390/mi10050292 - 29 Apr 2019
Cited by 3 | Viewed by 4260
Abstract
Within the last few decades miniaturization has a driving force in almost all areas of technology, leading to a tremendous intensification of systems and processes. Information technology provides now data density several orders of magnitude higher than a few years ago, and the [...] Read more.
Within the last few decades miniaturization has a driving force in almost all areas of technology, leading to a tremendous intensification of systems and processes. Information technology provides now data density several orders of magnitude higher than a few years ago, and the smartphone technology includes, as well the simple ability to communicate with others, features like internet, video and music streaming, but also implementation of the global positioning system, environment sensors or measurement systems for individual health. So-called wearables are everywhere, from the physio-parameter sensing wrist smart watch up to the measurement of heart rates by underwear. This trend holds also for gas flow applications, where complex flow arrangements and measurement systems formerly designed for a macro scale have been transferred into miniaturized versions. Thus, those systems took advantage of the increased surface to volume ratio as well as of the improved heat and mass transfer behavior of miniaturized equipment. In accordance, disadvantages like gas flow mal-distribution on parallelized mini- or micro tubes or channels as well as increased pressure losses due to the minimized hydraulic diameters and an increased roughness-to-dimension ratio have to be taken into account. Furthermore, major problems are arising for measurement and control to be implemented for in-situ and/or in-operando measurements. Currently, correlated measurements are widely discussed to obtain a more comprehensive view to a process by using a broad variety of measurement techniques complementing each other. Techniques for correlated measurements may include commonly used techniques like thermocouples or pressure sensors as well as more complex systems like gas chromatography, mass spectrometry, infrared or ultraviolet spectroscopy and many others. Some of these techniques can be miniaturized, some of them cannot yet. Those should, nevertheless, be able to conduct measurements at the same location and the same time, preferably in-situ and in-operando. Therefore, combinations of measurement instruments might be necessary, which will provide complementary techniques for accessing local process information. A recently more intensively discussed additional possibility is the application of nuclear magnetic resonance (NMR) systems, which might be useful in combination with other, more conventional measurement techniques. NMR is currently undergoing a tremendous change from large-scale to benchtop measurement systems, and it will most likely be further miniaturized. NMR allows a multitude of different measurements, which are normally covered by several instruments. Additionally, NMR can be combined very well with other measurement equipment to perform correlative in-situ and in-operando measurements. Such combinations of several instruments would allow us to retrieve an “information cloud” of a process. This paper will present a view of some common measurement techniques and the difficulties of applying them on one hand in a miniaturized scale, and on the other hand in a correlative mode. Basic suggestions to achieve the above-mentioned objective by a combination of different methods including NMR will be given. Full article
(This article belongs to the Special Issue Gas Flows in Microsystems)
Show Figures

Figure 1

14 pages, 4476 KB  
Article
Design of an In-Operando Cell for X-Ray and Neutron Imaging of Oxygen-Depolarized Cathodes in Chlor-Alkali Electrolysis
by Marcus Gebhard, Melanie Paulisch, André Hilger, David Franzen, Barbara Ellendorff, Thomas Turek, Ingo Manke and Christina Roth
Materials 2019, 12(8), 1275; https://doi.org/10.3390/ma12081275 - 18 Apr 2019
Cited by 19 | Viewed by 5538
Abstract
Oxygen-depolarized cathodes are a novel concept to be used in chlor-alkali electrolysis in order to generate significant energy savings. In these porous gas diffusion electrodes, hydrophilic and catalytically active microsized silver grains and a hydrophobic polytetrafluoroethylene cobweb structure are combined to obtain the [...] Read more.
Oxygen-depolarized cathodes are a novel concept to be used in chlor-alkali electrolysis in order to generate significant energy savings. In these porous gas diffusion electrodes, hydrophilic and catalytically active microsized silver grains and a hydrophobic polytetrafluoroethylene cobweb structure are combined to obtain the optimum amount of three-phase boundaries between the highly alkaline electrolyte and the oxygen gas phase to achieve high current densities. However, the direct correlation between specific electrode structure and electrochemical performance is difficult. In this work, we report on the successful design and adaptation of an in-operando cell for X-ray (micro-computed tomography, synchrotron) and neutron imaging of an operating oxygen-depolarized cathode under realistic operation conditions, enabling the investigation of the electrolyte invasion into, and distribution inside, the porous electrode for the first time. Full article
Show Figures

Figure 1

11 pages, 2153 KB  
Article
In-Situ Temperature Measurement on CMOS Integrated Micro-Hotplates for Gas Sensing Devices
by Marco Deluca, Robert Wimmer-Teubenbacher, Lisa Mitterhuber, Johanna Mader, Karl Rohracher, Marco Holzer and Anton Köck
Sensors 2019, 19(3), 672; https://doi.org/10.3390/s19030672 - 7 Feb 2019
Cited by 7 | Viewed by 4595
Abstract
Metal oxide gas sensors generally need to be operated at elevated temperatures, up to and above 400 °C. Following the need for miniaturization of gas sensors and implementation into smart devices such as smartphones or wireless sensor nodes, recently complementary metal-oxide-semiconductor (CMOS) process-based [...] Read more.
Metal oxide gas sensors generally need to be operated at elevated temperatures, up to and above 400 °C. Following the need for miniaturization of gas sensors and implementation into smart devices such as smartphones or wireless sensor nodes, recently complementary metal-oxide-semiconductor (CMOS) process-based micro electromechanical system (MEMS) platforms (micro-hotplates, µhps) have been developed to provide Joule heating of metal oxide sensing structures on the microscale. Heating precision and possible spatial temperature distributions over the µhp are key issues potentially affecting the performance of the overall gas sensor device. In this work, we use Raman spectroscopy to directly (in-situ and in-operando) measure the temperature of CMOS-based µhps during the application of electric current for Joule heating. By monitoring the position of the Raman mode of silicon and applying the theoretical framework of anharmonic phonon softening, we demonstrate that state-of-the-art µhps are able to reach the set temperature with an error below 10%, albeit with significant spatial temperature variations on the hotplate. This work demonstrates the potential of Raman spectroscopy for in-situ and in-operando temperature measurements on Si-based devices, an aspect of high relevance for micro- and nano-electronic device producers, opening new possibilities in process and device control. Full article
(This article belongs to the Special Issue Eurosensors 2018 Selected Papers)
Show Figures

Figure 1

10 pages, 1822 KB  
Article
Phase Evolution and Textural Changes during the Direct Conversion and Storage of CO2 to Produce Calcium Carbonate from Calcium Hydroxide
by Meishen Liu and Greeshma Gadikota
Geosciences 2018, 8(12), 445; https://doi.org/10.3390/geosciences8120445 - 30 Nov 2018
Cited by 11 | Viewed by 6844
Abstract
The increasing use of energy resources recovered from subsurface environments and the resulting carbon imbalance in the environment has motivated the need to develop thermodynamically downhill pathways to convert and store CO2 as water-insoluble calcium or magnesium carbonates. While previous studies extensively [...] Read more.
The increasing use of energy resources recovered from subsurface environments and the resulting carbon imbalance in the environment has motivated the need to develop thermodynamically downhill pathways to convert and store CO2 as water-insoluble calcium or magnesium carbonates. While previous studies extensively explored aqueous routes to produce calcium and magnesium carbonates from CO2, there is limited scientific understanding of the phase evolution and textural changes during the direct gas–solid conversion routes to produce calcium carbonate from calcium hydroxide, which is one of the abundant constituents of alkaline industrial residues. With increasing interest in developing integrated pathways for capturing, converting, and storing CO2 from dilute flue gases, understanding the composition of product phases as they evolve is essential for evaluating the efficacy of a given processing route. Therefore, in this study, we investigate the phase evolution and the corresponding textural changes as calcium hydroxide is converted to calcium carbonate under the continuous flow of CO2 at an ambient pressure of 1 atm with continuous heating from 30 °C to 500 °C using in-operando wide angle X-ray scattering (WAXS), small angle X-ray scattering (SAXS), and ultrasmall angle X-ray scattering (USAXS) measurements. Full article
(This article belongs to the Special Issue Carbon Sequestration)
Show Figures

Figure 1

8 pages, 2112 KB  
Article
Dependency of the Charge–Discharge Rate on Lithium Reaction Distributions for a Commercial Lithium Coin Cell Visualized by Compton Scattering Imaging
by Kosuke Suzuki, Ryo Kanai, Naruki Tsuji, Hisao Yamashige, Yuki Orikasa, Yoshiharu Uchimoto, Yoshiharu Sakurai and Hiroshi Sakurai
Condens. Matter 2018, 3(3), 27; https://doi.org/10.3390/condmat3030027 - 19 Sep 2018
Cited by 17 | Viewed by 4115
Abstract
In this study, lithium reaction distributions, dependent on the charge–discharge rate, were non-destructively visualized for a commercial lithium-ion battery, using the Compton scattering imaging technique. By comparing lithium reaction distributions obtained at two different charge–discharge speeds, residual lithium ions were detected at the [...] Read more.
In this study, lithium reaction distributions, dependent on the charge–discharge rate, were non-destructively visualized for a commercial lithium-ion battery, using the Compton scattering imaging technique. By comparing lithium reaction distributions obtained at two different charge–discharge speeds, residual lithium ions were detected at the center of the negative electrode in a fully discharged state, at a relatively high-speed discharge rate. Moreover, we confirmed that inhomogeneous reactions were facilitated at a relatively high-speed charge–discharge rate, in both the negative and positive electrodes. A feature of our technique is that it can be applied to commercially used lithium-ion batteries, because it uses high-energy X-rays with high penetration power. Our technique thus opens a novel analyzing pathway for developing advanced batteries. Full article
Show Figures

Figure 1

9 pages, 2519 KB  
Article
Internal and External Temperature Monitoring of a Li-Ion Battery with Fiber Bragg Grating Sensors
by Susana Novais, Micael Nascimento, Lorenzo Grande, Maria Fátima Domingues, Paulo Antunes, Nélia Alberto, Cátia Leitão, Ricardo Oliveira, Stephan Koch, Guk Tae Kim, Stefano Passerini and João Pinto
Sensors 2016, 16(9), 1394; https://doi.org/10.3390/s16091394 - 30 Aug 2016
Cited by 171 | Viewed by 14591
Abstract
The integration of fiber Bragg grating (FBG) sensors in lithium-ion cells for in-situ and in-operando temperature monitoring is presented herein. The measuring of internal and external temperature variations was performed through four FBG sensors during galvanostatic cycling at C-rates ranging from 1C to [...] Read more.
The integration of fiber Bragg grating (FBG) sensors in lithium-ion cells for in-situ and in-operando temperature monitoring is presented herein. The measuring of internal and external temperature variations was performed through four FBG sensors during galvanostatic cycling at C-rates ranging from 1C to 8C. The FBG sensors were placed both outside and inside the cell, located in the center of the electrochemically active area and at the tab-electrode connection. The internal sensors recorded temperature variations of 4.0 ± 0.1 °C at 5C and 4.7 ± 0.1 °C at 8C at the center of the active area, and 3.9 ± 0.1 °C at 5C and 4.0 ± 0.1 °C at 8C at the tab-electrode connection, respectively. This study is intended to contribute to detection of a temperature gradient in real time inside a cell, which can determine possible damage in the battery performance when it operates under normal and abnormal operating conditions, as well as to demonstrate the technical feasibility of the integration of in-operando microsensors inside Li-ion cells. Full article
(This article belongs to the Section Physical Sensors)
Show Figures

Figure 1

Back to TopTop