Sign in to use this feature.

Years

Between: -

Subjects

remove_circle_outline
remove_circle_outline
remove_circle_outline
remove_circle_outline
remove_circle_outline
remove_circle_outline
remove_circle_outline
remove_circle_outline
remove_circle_outline

Journals

remove_circle_outline
remove_circle_outline
remove_circle_outline
remove_circle_outline
remove_circle_outline
remove_circle_outline
remove_circle_outline
remove_circle_outline
remove_circle_outline
remove_circle_outline
remove_circle_outline
remove_circle_outline
remove_circle_outline
remove_circle_outline
remove_circle_outline
remove_circle_outline
remove_circle_outline
remove_circle_outline
remove_circle_outline
remove_circle_outline
remove_circle_outline
remove_circle_outline
remove_circle_outline
remove_circle_outline
remove_circle_outline
remove_circle_outline
remove_circle_outline
remove_circle_outline
remove_circle_outline

Article Types

Countries / Regions

remove_circle_outline
remove_circle_outline
remove_circle_outline
remove_circle_outline
remove_circle_outline
remove_circle_outline
remove_circle_outline
remove_circle_outline

Search Results (4,719)

Search Parameters:
Keywords = impacting angle

Order results
Result details
Results per page
Select all
Export citation of selected articles as:
15 pages, 3391 KB  
Article
Influence of Timber-to-Concrete Connection Types on the Behaviour of Timber–Concrete Composite Structures
by Dmitrijs Serdjuks, Agris Rogainis, Elza Briuka, Janis Sliseris, Leonids Pakrastins and Vjaceslavs Lapkovskis
J. Compos. Sci. 2025, 9(11), 593; https://doi.org/10.3390/jcs9110593 (registering DOI) - 2 Nov 2025
Abstract
The current study investigates the influence of timber-to-concrete connection types on the behaviour of timber–concrete composite (TCC) structures employing metal web timber joists. Two groups of laboratory specimens were prepared, each comprising four samples with push-joisted beams joined by oriented strand board (OSB) [...] Read more.
The current study investigates the influence of timber-to-concrete connection types on the behaviour of timber–concrete composite (TCC) structures employing metal web timber joists. Two groups of laboratory specimens were prepared, each comprising four samples with push-joisted beams joined by oriented strand board (OSB) and cast with a concrete layer. One group utilised compliant timber-to-concrete connections via perforated steel tape angles, while the other employed rigid connections through epoxy adhesive and granite chips. The specimens, consisting of two 1390 mm long beams of grade PS10 timber, were tested under three-point bending. Experimental results and finite element analyses demonstrated that specimens with compliant connections exhibited 14–16% greater maximum vertical displacements but only a marginal 1.79% reduction in load-carrying capacity compared to those with rigid connections. Findings indicate that connection compliance markedly affects stiffness and deflection but has a minor impact on ultimate strength. These insights can guide optimisation of TCC members with metal web joists, balancing structural performance and design requirements in sustainable timber construction. Full article
(This article belongs to the Special Issue Functional Composites: Fabrication, Properties and Applications)
Show Figures

Figure 1

11 pages, 684 KB  
Article
A Pilot Study on the Effects of a 10-Session Underwater Treadmill Programme on Canine Joint Range of Motion
by Julia Twarowska, Janusz Strychalski and Andrzej Gugołek
Animals 2025, 15(21), 3186; https://doi.org/10.3390/ani15213186 (registering DOI) - 1 Nov 2025
Abstract
Underwater treadmill (UWTM) therapy is increasingly applied in canine rehabilitation, yet evidence on its effects after multiple sessions on joint mobility remains limited. The aim of this pilot study was to evaluate the impact of a 10-session UWTM programme on passive range of [...] Read more.
Underwater treadmill (UWTM) therapy is increasingly applied in canine rehabilitation, yet evidence on its effects after multiple sessions on joint mobility remains limited. The aim of this pilot study was to evaluate the impact of a 10-session UWTM programme on passive range of motion (PROM) in dogs with various disorders. Clinical records from 50 dogs were analysed. Each patient completed two 20 min sessions per week over five consecutive weeks. PROM in the carpal, elbow, shoulder, tarsal, stifle, and hip joints was measured using a goniometer before and after the programme. After ten sessions, a significant improvement was observed in all joints, both in flexion and extension. Flexion angles decreased from 2.89% in the tarsal joint to 12.21% in the carpal joint, while extension angles increased from 0.61% in the elbow to 2.55% in the stifle joint. Consequently, overall PROM improved, with median increases ranging from 1.9% in the tarsus to 5.6% in the hip. These improvements were observed consistently across diagnostic groups. No significant correlations were found between age and the degree of PROM improvement. In summary, the findings indicate that a 10-session UWTM programme is associated with measurable improvements in joint mobility and may be a valuable component of multimodal canine rehabilitation. Full article
Show Figures

Figure 1

25 pages, 10121 KB  
Article
Bidirectional Reflectance Sensitivity to Hemispherical Samplings: Implications for Snow Surface BRDF and Albedo Retrieval
by Jing Guo, Ziti Jiao, Anxin Ding, Zhilong Li, Chenxia Wang, Fangwen Yang, Ge Gao, Zheyou Tan, Sizhe Chen and Xin Dong
Remote Sens. 2025, 17(21), 3614; https://doi.org/10.3390/rs17213614 (registering DOI) - 31 Oct 2025
Abstract
Multi-angular remote sensing plays a critical role in the study domains of ecological monitoring, climate change, and energy balance. The successful retrieval of the surface Bidirectional Reflectance Distribution Function (BRDF) and albedo from multi-angular remote sensing observations for various applications relies on the [...] Read more.
Multi-angular remote sensing plays a critical role in the study domains of ecological monitoring, climate change, and energy balance. The successful retrieval of the surface Bidirectional Reflectance Distribution Function (BRDF) and albedo from multi-angular remote sensing observations for various applications relies on the sensitivity of an appropriate BRDF model to both the number and the sampling distribution of multi-angular observations. In this study, based on selected high-quality multi-angular datasets, we designed three representative angular sampling schemes to systematically analyze different illuminating–viewing configurations of the retrieval results in a kernel-driven BRDF model framework. We first proposed an angular information index (AII) by incorporating a weighting mechanism and information effectiveness to quantify the angular information content for the angular sampling distribution schemes. In accordance with the principle that observations on the principal plane (PP) provide the most representative anisotropic scattering features, the assigned weight gradually decreases from the PP towards the cross-principal plane (CPP). The information effectiveness is determined based on the cosine similarity between the observations, effectively reducing the information redundancy. With such a method, we assess the AII of the different sampling schemes and further analyze the impact of angular distribution on both BRDF inversion and the estimation of snow surface albedo, including White-Sky Albedo (WSA) and Black-Sky Albedo (BSA) based on the RossThick-LiSparseReciprocal-Snow (RTLSRS) BRDF model. The main conclusions are as follows: (1) The AII approach can serve as a robust indicator of the efficiency of different sampling schemes in BRDF retrieval, which indicates that the RTLSRS model can provide a robust inversion when the AII value exceeds a threshold of −2. (2) When the AII value reaches such a reliable level, different sampling schemes can reproduce the BRDF shapes of snow across different bands to somehow varying degrees. Specifically, observations with smaller view zenith angle (VZA) ranges can reconstruct a BRDF shape that amplifies the anisotropic effect of snow; in addition, the forward scattering tends to be more pronounced at larger solar zenith angles (SZAs), while the variations in BRDF shape reconstructed from off-PP observations depend on both wavelength and SZAs. (3) The relative differences in both BSA and WSA grow with increasing wavelength for all these sampling schemes, mostly within 5% for short bands but up to 30% for longer wavelengths. With this novel AII method to quantify the information contribution of multi-angular sampling distributions, this study offers valuable insights into several main multi-angular BRDF sampling strategies in satellite sensor missions, which relate to most of the fields of multi-angular remote sensing applications in engineering. Full article
Show Figures

Figure 1

27 pages, 3581 KB  
Article
Optimization of a Composite Plate Subjected to Low-Velocity Impact
by Jovica Tasić, Žarko Ćojbašić and Dragan Marinković
Appl. Sci. 2025, 15(21), 11659; https://doi.org/10.3390/app152111659 (registering DOI) - 31 Oct 2025
Abstract
The paper proposes an optimization procedure for maximizing the resistance of composite plates exposed to impact loads. For a composite plate with a predefined composite material, number, and thickness of layers, the set objective is to find the optimal solution in terms of [...] Read more.
The paper proposes an optimization procedure for maximizing the resistance of composite plates exposed to impact loads. For a composite plate with a predefined composite material, number, and thickness of layers, the set objective is to find the optimal solution in terms of the layer orientation so as to withstand the impact test. The fiber orientation angle is treated as a continuous design variable within the context of the problem. The commercially available finite element software package Abaqus is used to model a Kevlar 49/Epoxy composite plate and simulate its mechanical behavior when exposed to an impact load. As this deals with a highly dynamic process that involves significant nonlinear effects, an explicit time-integration scheme is selected. Prediction of the plate damage based on its maximum stress failure criteria is used as the objective function for optimization, whereas the penetration analysis is based on the Hashin criteria and implemented in an Abaqus VUMAT subroutine. The obtained results are expected to be of interest to ballistic vest manufacturers to develop passive protection solutions. Full article
(This article belongs to the Special Issue Structural Dynamics and Protective Materials)
16 pages, 7333 KB  
Article
Dynamic Cerebral Perfusion Electrical Impedance Tomography: A Neuroimaging Technique for Bedside Cerebral Perfusion Monitoring During Mannitol Dehydration
by Weice Wang, Lihua Hou, Canhua Xu, Mingxu Zhu, Yitong Guo, Rong Zhao, Weixun Duan, Yu Wang, Zhenxiao Jin and Xuetao Shi
Bioengineering 2025, 12(11), 1187; https://doi.org/10.3390/bioengineering12111187 (registering DOI) - 31 Oct 2025
Abstract
Mannitol dehydration is routinely used to prevent and treat cerebral damage after total aortic arch replacement (TAAR), but existing neuroimaging technologies cannot achieve bedside real-time quantitative assessment of its impact on cerebral perfusion in different patients. This study applied dynamic cerebral perfusion electrical [...] Read more.
Mannitol dehydration is routinely used to prevent and treat cerebral damage after total aortic arch replacement (TAAR), but existing neuroimaging technologies cannot achieve bedside real-time quantitative assessment of its impact on cerebral perfusion in different patients. This study applied dynamic cerebral perfusion electrical impedance tomography (DCP-EIT), a non-invasive neuroimaging technique, for bedside cerebral perfusion monitoring in TAAR patients during dehydration. Seventeen patients with normal neurological function and nineteen with neurological dysfunction (ND) were enrolled. The variation patterns and differences in perfusion impedance, images, and the relative ratios (RY) of mean perfusion velocity (MV), height of systolic wave (Hs), inflow volume velocity (IV), and angle between the ascending branch and baseline (Aab) were analyzed. Results showed DCP-EIT could visualize cerebral perfusion changes, with detected poorly perfused regions showing good consistency with ischemic areas identified by computed tomography (CT). RY of normal patients fluctuated around 0.97–1.04, with no significant difference from baseline. RY of ND patients peaked at 14–20 min after dehydration and remained higher than baseline even at 100 min (p < 0.001). DCP-EIT holds potential to optimize individualized cerebral protection strategies for other cerebral damage scenarios and neurocritical care. Full article
(This article belongs to the Special Issue Neuroimaging Techniques and Applications in Neuroscience)
Show Figures

Figure 1

18 pages, 3783 KB  
Article
Investigation on Aerodynamic Characteristics of Propeller–Wing Combination Configuration Under Heavy Rainfall
by Liangliang Xi, Jiaqi Yan, Yanan Zuo, Meiying Zhao and Heyuan Huang
Aerospace 2025, 12(11), 975; https://doi.org/10.3390/aerospace12110975 - 30 Oct 2025
Viewed by 81
Abstract
This paper, based on the CFD-DPM model coupled with sliding grid technology, constructs a simulation analysis method for the aerodynamic effects of propellers and wings under heavy rainfall. The mechanism of the influence of raindrops on the aerodynamic characteristics of this configuration is [...] Read more.
This paper, based on the CFD-DPM model coupled with sliding grid technology, constructs a simulation analysis method for the aerodynamic effects of propellers and wings under heavy rainfall. The mechanism of the influence of raindrops on the aerodynamic characteristics of this configuration is deeply analyzed, and the influence of the laws of different rainfall parameters is explored. The conclusion indicates that the local attack angle of the propeller decreases due to the influence of the falling speed of raindrops, resulting in a decrease in blade thrust and a maximum loss of 2.35%. The torque increases due to the increase in the rotational drag of the propeller. The maximum torque increment reaches 2.15%. With a decrease in the local angle of the attack and the effects of raindrop impact, film covering, and splashing, the maximum lift loss is 1.84%, and the drag increases by more than 12%. Raindrops will further influence the pitching, rolling, and yawing moment variation effect, combined with the rotation of the propeller. The greater the terminal velocity, diameter, and rainfall are, close to the surface of the propeller–wing combination configuration, the more severe the deterioration of the blade performance, and the stronger the lift reduction, drag increase, and moment variation effects of the wing. Full article
(This article belongs to the Special Issue Advanced Aircraft Structural Design and Applications)
Show Figures

Figure 1

25 pages, 28564 KB  
Article
Optimization of UAV Flight Parameters for Urban Photogrammetric Surveys: Balancing Orthomosaic Visual Quality and Operational Efficiency
by José Lemus-Romani, Eduardo J. Rueda, Marcelo Becerra-Rozas, Carlos Cabrera, Jingwei Liu and Gino Astorga
Drones 2025, 9(11), 753; https://doi.org/10.3390/drones9110753 - 30 Oct 2025
Viewed by 129
Abstract
Unmanned Aerial Vehicles are increasingly used for urban photogrammetry, yet best-practice guidance on flight-planning parameters in dense city blocks remains limited. However, the quality of generated orthomosaics is strongly dependent on the proper configuration of flight parameters, highlighting the need for evidence-based guidance [...] Read more.
Unmanned Aerial Vehicles are increasingly used for urban photogrammetry, yet best-practice guidance on flight-planning parameters in dense city blocks remains limited. However, the quality of generated orthomosaics is strongly dependent on the proper configuration of flight parameters, highlighting the need for evidence-based guidance in consolidated urban environments. This study evaluated the impact of various flight configurations on orthomosaic visual quality and operational efficiency. A total of 96 automated flights were conducted over a 1.5-hectare urban area, systematically varying height, frontal overlap, lateral overlap, camera angle, and flight pattern. Orthomosaic photogrammetric reconstructions were generated and assessed using a multi-criteria scoring system based on the image processing time and the visual clarity of control targets. Results show that a flight height of 60 m, 70% frontal overlap, 80% lateral overlap, nadir 90° camera angle, and a grid flight pattern provide the best balance between image quality and operational efficiency. Lower heights improved visual detail but increased processing time, while excessive overlaps did not necessarily enhance final image quality. Full article
Show Figures

Figure 1

27 pages, 5100 KB  
Article
Electrochemical and Computational Analyses of Thiocolchicoside as a New Corrosion Inhibitor for Biomedical Ti6Al4V Alloy in Saline Solution: DFT, NBO, and MD Approaches
by Inam M. A. Omar, Ibrahim H. Elshamy, Shimaa Abdel Halim and Magdy A. M. Ibrahim
Surfaces 2025, 8(4), 77; https://doi.org/10.3390/surfaces8040077 - 30 Oct 2025
Viewed by 62
Abstract
The Ti6Al4V alloy is considered the most beneficial of the titanium alloys for use in biomedical applications. However, it corrodes when exposed to various biocompatible fluids. This investigation aims to evaluate the corrosion inhibition performance of the Ti6Al4V in a saline solution (SS) [...] Read more.
The Ti6Al4V alloy is considered the most beneficial of the titanium alloys for use in biomedical applications. However, it corrodes when exposed to various biocompatible fluids. This investigation aims to evaluate the corrosion inhibition performance of the Ti6Al4V in a saline solution (SS) using thiocolchicoside (TCC) drug as an environmentally acceptable corrosion inhibitor. The corrosion assessments were conducted using potentiodynamic polarization curves (PPCs), open-circuit potential (OCP), and electrochemical impedance spectroscopy (EIS) methodologies, supplemented by scanning electron microscopy (SEM), energy-dispersive X-ray (EDS) analysis, atomic force microscopy (AFM), and contact angle (CA) measurements. The outcomes indicated that the inhibitory efficacy improved with higher TCC concentrations (achieving 92.40% at 200 mg/L of TCC) and diminished with an increase in solution temperature. TCC’s physical adsorption onto the surface of the Ti6A14V, which adheres to the Langmuir adsorption isotherm, explains its mitigating power. The TCC acts as a mixed-type inhibitor. The adsorption and inhibitory impact of TCC were examined at various temperatures using PPC and EIS. When TCC is present, the corrosion’s apparent activation energy is higher (35.79 kJ mol−1) than when it is absent (14.46 kJ mol−1). In addition, the correlation between the structural properties of thiocolchicoside (TCC) and its corrosion inhibition performance was systematically analyzed. Density Functional Theory (DFT) calculations were utilized to characterize the adsorption mechanism, supported by Natural Bond Orbital (NBO) analysis and Molecular Dynamics (MD) simulations. The combined computational and electrochemical findings confirm that TCC provides effective and enhanced corrosion protection for the Ti6Al4V alloy in a saline environment. These characteristics provide compelling evidence for the suitability of these pharmaceutical compounds as promising corrosion inhibitors. Full article
Show Figures

Figure 1

17 pages, 7484 KB  
Article
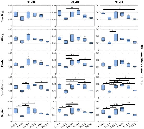
Distinguishing Fowler’s and Semi-Fowler’s Patient Postures Within Continuous-Wave Functional Near-Infrared Spectroscopy During Auditory Stimulus and Resting State
by Seth Bolton Crawford, Daniel X. Liu, Caroline Joyce Caveness, Rachel Eimen and Audrey K. Bowden
Brain Sci. 2025, 15(11), 1172; https://doi.org/10.3390/brainsci15111172 - 30 Oct 2025
Viewed by 161
Abstract
Background/Objectives: Lightweight and portable functional near-infrared spectroscopy (fNIRS) systems enable neuromonitoring in clinical environments such as operating rooms. Patient posture is known to influence physiology, behavior, and brain activity, and may affect fNIRS measurements. However, the effects of some postures commonly used [...] Read more.
Background/Objectives: Lightweight and portable functional near-infrared spectroscopy (fNIRS) systems enable neuromonitoring in clinical environments such as operating rooms. Patient posture is known to influence physiology, behavior, and brain activity, and may affect fNIRS measurements. However, the effects of some postures commonly used in clinical care—such as Fowler’s and semi-Fowler’s—remain largely unexamined in fNIRS research. Methods: We conducted a singular study in a mock operating room exploring the effects of five postures—standing, upright sitting, Fowler’s, semi-Fowler’s, and supine—on fNIRS data during resting-state conditions and under various auditory stimuli. We collected hemodynamic data and extracted the characteristic hemodynamic response function (HRF) at each posture in response to the presented auditory stimulus and the amplitude of the resting-state signal. Results: For the auditory task condition, we found that posture had no statistically significant impact on the amplitude of the global HRF for Fowler’s and semi-Fowler’s postures. We also found no significant relationships across different postures when analyzing the amplitude of the global resting-state signal; however, binning of frequency-dependent postural effects revealed statistically significant differences between Fowler’s and semi-Fowler’s postures at low frequencies (f < 0.09 Hz). Conclusions: Our results suggest posture effects need not require complex data processing pipelines or data segmentation efforts on an auditory task-induced condition or on the general analysis of the global resting signal; however, not all reclined postures are equivalent, and we recommend that researchers report the angle of reclination measurements for seated data collection sessions for improved reliability and data context. Full article
(This article belongs to the Section Neurotechnology and Neuroimaging)
Show Figures

Figure 1

19 pages, 13706 KB  
Article
Influence of Draft Angle Design on Surface Texture–Dimensional Accuracy Coupling in Injection-Molded Commodity and Engineering Polymers with Semi-Crystalline and Amorphous Characteristics
by Hui-Li Chen, Po-Wei Huang and Yu-Shan Huang
Polymers 2025, 17(21), 2892; https://doi.org/10.3390/polym17212892 - 29 Oct 2025
Viewed by 241
Abstract
In injection molding, draft angle design plays a critical role in ensuring smooth de-molding and maintaining surface quality. With the growing emphasis on aesthetics and the increasing demand for the appearance of plastic products, the need for textured plastic components has continuously risen. [...] Read more.
In injection molding, draft angle design plays a critical role in ensuring smooth de-molding and maintaining surface quality. With the growing emphasis on aesthetics and the increasing demand for the appearance of plastic products, the need for textured plastic components has continuously risen. The coupling between surface texture replication and dimensional accuracy has become an important indicator of product performance. However, systematic studies on the interaction between different polymer materials and draft angle design remain limited. This study aims to investigate the influence of draft angle variation on the surface texture quality and dimensional stability of injection-molded parts by comparing the differences between crystalline and amorphous thermoplastic materials, as well as between commodity and engineering plastics. Four representative polymers, namely polypropylene (PP), polyoxymethylene (POM), acrylonitrile-butadiene-styrene (ABS), and polycarbonate (PC), were selected to examine the impact of material characteristics on surface texture replication after molding. In addition, product geometries incorporating eight draft angles (0° to 3.5°) were designed. Surface texture replication was analyzed using scanning electron microscopy (SEM) and surface profilometry, while dimensional deformation was measured with a high-precision optical measuring instrument. The results show that draft angle variation has a limited influence on the overall trend of dimensional deformation, but it has a significant effect on the clarity of surface replication. Crystalline polymers exhibited generally higher surface roughness than amorphous polymers, and the distinction between commodity and engineering plastics, particularly those requiring higher processing temperatures, also led to higher roughness (PP > POM; ABS > PC). Dimensional deformation was more pronounced in crystalline polymers (POM > PP > ABS > PC). SEM observations further confirmed that higher roughness corresponded to clearer and more distinguishable texture patterns, whereas lower roughness resulted in blurred or indistinct textures. Full article
(This article belongs to the Special Issue Advances in Polymer Processing Technologies: Injection Molding)
Show Figures

Graphical abstract

37 pages, 4242 KB  
Review
Advancements and Challenges in Coatings for Wind Turbine Blade Raindrop Erosion: A Comprehensive Review of Mechanisms, Materials and Testing
by Nur Ain Wahidah A. Yusof, Talal F. Algaddaime and Margaret M. Stack
Sustainability 2025, 17(21), 9611; https://doi.org/10.3390/su17219611 - 29 Oct 2025
Viewed by 166
Abstract
Raindrop erosion of wind turbine blades’ leading edge is a critical degradation mechanism limiting wind turbine blade lifetime and aerodynamic efficiency. Protective coatings have been extensively studied to mitigate this damage. This review critically synthesises current knowledge on coating-based protection strategies against erosion, [...] Read more.
Raindrop erosion of wind turbine blades’ leading edge is a critical degradation mechanism limiting wind turbine blade lifetime and aerodynamic efficiency. Protective coatings have been extensively studied to mitigate this damage. This review critically synthesises current knowledge on coating-based protection strategies against erosion, with emphasis on (i) the underlying mechanisms of erosion, (ii) advances in conventional and emerging coating technologies, and (iii) experimental approaches for testing and lifetime prediction. Across reported studies, nanofiller reinforcement (e.g., CNTs, graphene, CeO2, Al2O3) enhances erosion resistance by 60–99%, primarily through improved toughness and stress-wave dissipation. Hybrid and multifunctional systems further combine mechanical durability with self-healing or anti-icing capabilities. Experimental results confirm that erosion rate follows a power-law dependence on impact velocity, with maximum damage occurring between 45° and 60° impact angles. Softer elastomeric coatings demonstrate longer incubation periods and superior viscoelastic recovery compared with rigid sol–gel systems. Persistent gaps include the lack of standardised testing, poor field–lab correlation, and limited long-term durability data. Future work should focus on coordinating multi-stressor testing with variable-frequency rain setups to replicate real field conditions and enable reliable lifetime prediction of next-generation erosion-resistant coatings. Full article
Show Figures

Figure 1

26 pages, 6622 KB  
Article
Radiometric Cross-Calibration and Performance Analysis of HJ-2A/2B 16m-MSI Using Landsat-8/9 OLI with Spectral-Angle Difference Correction
by Jian Zeng, Hang Zhao, Yongfang Su, Qiongqiong Lan, Qijin Han, Xuewen Zhang, Xinmeng Wang, Zhaopeng Xu, Zhiheng Hu, Xiaozheng Du and Bopeng Yang
Remote Sens. 2025, 17(21), 3569; https://doi.org/10.3390/rs17213569 - 28 Oct 2025
Viewed by 212
Abstract
The Huanjing-2A/2B (HJ-2A/2B) satellites are China’s next-generation environmental monitoring satellites, equipped with four visible light wide-swath charge-coupled device (CCD) sensors. These sensors enable the acquisition of 16-m multispectral imagery (16m-MSI) with a swath width of 800 km through field-of-view stitching. However, traditional vicarious [...] Read more.
The Huanjing-2A/2B (HJ-2A/2B) satellites are China’s next-generation environmental monitoring satellites, equipped with four visible light wide-swath charge-coupled device (CCD) sensors. These sensors enable the acquisition of 16-m multispectral imagery (16m-MSI) with a swath width of 800 km through field-of-view stitching. However, traditional vicarious calibration techniques are limited by their calibration frequency, making them insufficient for continuous monitoring requirements. To address this challenge, the present study proposes a spectral-angle difference correction-based cross-calibration approach, using the Landsat 8/9 Operational Land Imager (OLI) as the reference sensor to calibrate the HJ-2A/2B CCD sensors. This method improves both radiometric accuracy and temporal frequency. The study utilizes cloud-free image pairs of HJ-2A/2B CCD and Landsat 8/9 OLI, acquired simultaneously at the Dunhuang and Golmud calibration sites between 2021 and 2024, in combination with atmospheric parameters from the European Centre for Medium-Range Weather Forecasts (ECMWF) Reanalysis v5 (ERA5) dataset and historical ground-measured spectral reflectance data for cross-calibration. The methodology includes spatial matching and resampling of the image pairs, along with the identification of radiometrically stable homogeneous regions. To account for sensor viewing geometry differences, an observation-angle linear correction model is introduced. Spectral band adjustment factors (SBAFs) are also applied to correct for discrepancies in spectral response functions (SRFs) across sensors. Experimental results demonstrate that the cross-calibration coefficients differ by less than 10% compared to vicarious calibration results from the China Centre for Resources Satellite Data and Application (CRESDA). Additionally, using Sentinel-2 MSI as the reference sensor, the cross-calibration coefficients were independently validated through cross-validation. The results indicate that the radiometrically corrected HJ-2A/2B 16m-MSI CCD data, based on these coefficients, exhibit improved radiometric consistency with Sentinel-2 MSI observations. Further analysis shows that the cross-calibration method significantly enhances radiometric consistency across the HJ-2A/2B 16m-MSI CCD sensors, with radiometric response differences between CCD1 and CCD4 maintained below 3%. Error analysis quantifies the impact of atmospheric parameters and surface reflectance on calibration accuracy, with total uncertainty calculated. The proposed spectral-angle correction-based cross-calibration method not only improves calibration accuracy but also offers reliable technical support for long-term radiometric performance monitoring of the HJ-2A/2B 16m-MSI CCD sensors. Full article
(This article belongs to the Special Issue Remote Sensing Satellites Calibration and Validation: 2nd Edition)
Show Figures

Graphical abstract

17 pages, 2610 KB  
Article
An Artificial Intelligence for the Analysis of a DC Magnetron Sputtering System Combined with a Particle-in-Cell Simulation
by Yeun Jung Kim and Hae June Lee
Coatings 2025, 15(11), 1248; https://doi.org/10.3390/coatings15111248 - 27 Oct 2025
Viewed by 193
Abstract
A numerical method to estimate the plasma characteristics with the variation in control parameters is suggested with an artificial intelligence model using limited finite datasets. A transformer-based regression method was applied to estimate the spatial profiles of plasma characteristics in a DC magnetron [...] Read more.
A numerical method to estimate the plasma characteristics with the variation in control parameters is suggested with an artificial intelligence model using limited finite datasets. A transformer-based regression method was applied to estimate the spatial profiles of plasma characteristics in a DC magnetron sputtering system from limited data obtained by a two-dimensional particle-in-cell simulation under varying pressure. Based on the obtained simulation data, an artificial intelligence method successfully predicts the energy and angular distribution of ions incident on the target. This approach enables the quantitative estimation of the impact of various system parameter changes on plasma characteristics using only a limited number of simulation results. It is beneficial for practical applications, such as process optimization, because the ion energy and angle distributions can be estimated very fast without simulating all the cases. Full article
(This article belongs to the Section Surface Characterization, Deposition and Modification)
Show Figures

Figure 1

25 pages, 8887 KB  
Article
Effects of the Fluctuating Wind Loads on Flow Field Distribution and Structural Response of the Dish Solar Concentrator System Under Multiple Operating Conditions
by Jianing He, Hongyan Zuo, Guohai Jia, Yuhao Su and Jiaqiang E
Processes 2025, 13(11), 3444; https://doi.org/10.3390/pr13113444 - 27 Oct 2025
Viewed by 236
Abstract
With the rapid development of solar thermal power generation technology, the structural stability of the dish solar concentrator system under complex wind environments has become a critical limiting factor for its large-scale application. This study investigates the flow field distribution and structural response [...] Read more.
With the rapid development of solar thermal power generation technology, the structural stability of the dish solar concentrator system under complex wind environments has become a critical limiting factor for its large-scale application. This study investigates the flow field distribution and structural response under fluctuating wind loads using computational fluid dynamics (CFD). A three-dimensional model was developed and simulated in ANSYS Fluent under varying wind angles and speed cycles. The results indicate that changes in the concentrator’s orientation significantly influence the airflow field, with the most adverse effects observed at low elevation angles (0°) and an azimuth angle of 60°. Short-period wind loads (T = 25 s) exacerbate transient impact effects of lift forces and overturning moments, markedly increasing structural fatigue risks. Long-period winds (T = 50 s) amplify cumulative drag forces and tilting moments (e.g., peak drag of −73.9 kN at β = 0°). Key parameters for wind-resistant design are identified, including critical angles and period-dependent load characteristics. Full article
Show Figures

Figure 1

19 pages, 845 KB  
Systematic Review
Luminescent and Optical Thin Film Coatings in Ophthalmic Lenses: Advances, Clinical Applications, and Future Directions
by Ana Paula Oliveira and Clara Martinez-Perez
Coatings 2025, 15(11), 1246; https://doi.org/10.3390/coatings15111246 - 27 Oct 2025
Viewed by 280
Abstract
Ophthalmic lens coatings are increasingly designed to combine optical, mechanical, and biological functions. This systematic review, registered in PROSPERO and conducted according to PRISMA 2020 guidelines, synthesized 54 experimental, preclinical, and clinical studies on coatings for spectacle lenses, contact lenses, and intraocular lenses. [...] Read more.
Ophthalmic lens coatings are increasingly designed to combine optical, mechanical, and biological functions. This systematic review, registered in PROSPERO and conducted according to PRISMA 2020 guidelines, synthesized 54 experimental, preclinical, and clinical studies on coatings for spectacle lenses, contact lenses, and intraocular lenses. Spectacle lens studies consistently showed that anti-reflective and blue-light filtering coatings reduce glare perception, improve contrast sensitivity, and provide UV protection, while laboratory tests demonstrated significant reductions in impact resistance, with fracture energy of CR-39 lenses decreasing by up to 63% when coated. Contact lens research revealed that plasma and polymeric coatings reduce water contact angles from >100° to <20°, enhancing wettability, while antimicrobial strategies such as melamine binding or nanoparticle-based films achieved >80% reductions in bacterial adhesion. Drug-eluting approaches sustained antibiotic or antioxidant release for periods ranging from 24 h to 6 days, with improved ocular bioavailability compared with drops. Intraocular lens studies demonstrated that heparin surface modifications reduced postoperative flare and anterior chamber cells, and phosphorylcholine or alkylphosphocholine coatings suppressed lens epithelial cell proliferation. Drug-loaded coatings with methotrexate, gefitinib, or amikacin significantly inhibited posterior capsule opacification and infection in ex vivo and animal models. Collectively, coatings improve visual comfort, photoprotection, wettability, and biocompatibility, but clinical translation requires solutions to mechanical trade-offs, long-term stability, and regulatory challenges. Full article
(This article belongs to the Special Issue Developments in Optical Coatings and Thin Films)
Show Figures

Figure 1

Back to TopTop