Sign in to use this feature.

Years

Between: -

Subjects

remove_circle_outline
remove_circle_outline
remove_circle_outline
remove_circle_outline

Journals

Article Types

Countries / Regions

Search Results (8)

Search Parameters:
Keywords = idiopathic chronic fatigue

Order results
Result details
Results per page
Select all
Export citation of selected articles as:
20 pages, 1226 KB  
Review
Brain Oxygenation During Exercise in Different Types of Chronic Lung Disease: A Narrative Review
by Stella Kritikou, Andreas Zafeiridis, Georgia Pitsiou, Ioannis Gkalgkouranas, Leonidas Kastritseas, Afroditi Boutou and Konstantina Dipla
Sports 2025, 13(1), 9; https://doi.org/10.3390/sports13010009 - 8 Jan 2025
Cited by 1 | Viewed by 3393
Abstract
Chronic lung diseases such as Chronic Obstructive Pulmonary Disease, Interstitial Lung Disease (ILD), and Pulmonary Hypertension (PH) are characterized by progressive symptoms such as dyspnea, fatigue, and muscle weakness, often leading to physical inactivity, and reduced quality of life. Many patients also experience [...] Read more.
Chronic lung diseases such as Chronic Obstructive Pulmonary Disease, Interstitial Lung Disease (ILD), and Pulmonary Hypertension (PH) are characterized by progressive symptoms such as dyspnea, fatigue, and muscle weakness, often leading to physical inactivity, and reduced quality of life. Many patients also experience significantly impaired exercise tolerance. While pulmonary, cardiovascular, respiratory, and peripheral muscle dysfunction contribute to exercise limitations, recent evidence suggests that hypoxia and impairments in cerebral oxygenation may also play a role in exercise intolerance. This narrative review (i) summarizes studies investigating cerebral oxygenation responses during exercise in patients with different types of chronic lung diseases and (ii) discusses possible mechanisms behind the blunted cerebral oxygenation during exercise reported in many of these conditions; however, the extent of cerebral desaturation and the intensity at which it occurs can vary. These differences depend on the specific pathophysiology of the lung disease and the presence of comorbidities. Notably, reduced cerebral oxygenation during exercise in fibrotic-ILD has been linked with the development of dyspnea and early exercise termination. Understanding the effects of chronic lung disease on cerebral oxygenation during exercise may improve our understanding of exercise intolerance mechanisms and help identify therapeutic strategies to enhance brain health and exercise capacity in these patients. Full article
(This article belongs to the Collection Human Physiology in Exercise, Health and Sports Performance)
Show Figures

Figure 1

15 pages, 3316 KB  
Article
Characteristics of Persistent Symptoms Manifested after SARS-CoV-2 Vaccination: An Observational Retrospective Study in a Specialized Clinic for Vaccination-Related Adverse Events
by Kazuki Tokumasu, Manami Fujita-Yamashita, Naruhiko Sunada, Yasue Sakurada, Koichiro Yamamoto, Yasuhiro Nakano, Yui Matsuda, Yuki Otsuka, Toru Hasegawa, Hideharu Hagiya, Hiroyuki Honda and Fumio Otsuka
Vaccines 2023, 11(11), 1661; https://doi.org/10.3390/vaccines11111661 - 30 Oct 2023
Cited by 5 | Viewed by 8799
Abstract
Background: Although many adverse reactions after SARS-CoV-2 vaccination have been reported, there have been few comprehensive studies on persistent symptoms after SARS-CoV-2 vaccination. The aim of this study was to determine the clinical characteristics of patients with various persistent symptoms after SARS-CoV-2 vaccination. [...] Read more.
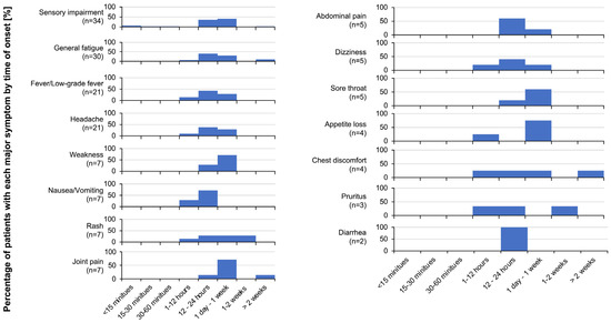
Background: Although many adverse reactions after SARS-CoV-2 vaccination have been reported, there have been few comprehensive studies on persistent symptoms after SARS-CoV-2 vaccination. The aim of this study was to determine the clinical characteristics of patients with various persistent symptoms after SARS-CoV-2 vaccination. Methods: A retrospective descriptive study was performed for patients who visited a specialized clinic established at Okayama University Hospital to evaluate adverse events after SARS-CoV-2 vaccination during the period from April 2021 to March 2023. Results: Descriptive analysis was performed for 121 of 127 patients who visited the clinic during the study period, and separate analysis was performed for the other 6 patients who had serious complications, who required treatment with prednisolone, and who had persistent symptoms. The median [interquartile range] age of the patients was 48 years [31–64 years], and the patients included 44 males (36.4%) and 77 females (63.6%). The most frequent symptoms were sensory impairment (34 patients, 28.1%), general fatigue (30 patients, 24.8%), fever/low-grade fever (21 patients, 17.4%), and headache (21 patients, 17.4%). Serious complications included myalgic encephalomyelitis/chronic fatigue syndrome (ME/CFS), sarcoidosis, aseptic meningitis, neuromyelitis optica spectrum disorders (NMOSDs), tendon adhesions, and idiopathic thrombocytopenia. Conclusions: Although causal relationships were not determined, 15 persistent symptoms after SARS-CoV-2 vaccination were characterized. All of the symptoms had onset from 12 hours to one week after vaccination, with 10 symptoms persisting for 6 months or longer. The most frequent symptom was sensory impairment. Full article
Show Figures

Figure 1

11 pages, 2183 KB  
Article
Cough Characteristics and Their Association Patterns According to Cough Etiology: A Network Analysis
by Jieun Kang, Ji-Yong Moon, Deog Kyeom Kim, Jin Woo Kim, Seung Hun Jang and Hyeon-Kyoung Koo
J. Clin. Med. 2023, 12(16), 5383; https://doi.org/10.3390/jcm12165383 - 18 Aug 2023
Cited by 5 | Viewed by 2505
Abstract
Although cough is a common respiratory symptom, determining its cause is challenging. We aimed to explore how cough severity and characteristics vary with different etiologies, while investigating their interrelations with demographic features. Adult patients (n = 220) with chronic cough and completed [...] Read more.
Although cough is a common respiratory symptom, determining its cause is challenging. We aimed to explore how cough severity and characteristics vary with different etiologies, while investigating their interrelations with demographic features. Adult patients (n = 220) with chronic cough and completed diagnostic work-up and the COugh Assessment Test were enrolled. A correlation network analysis was used to examine the associations between the demographic features and cough severity/characteristics across various etiologies such as upper airway cough syndrome, asthma, eosinophilic bronchitis, gastroesophageal reflux disease (GERD), and idiopathic cough. Demographic features like age and sex showed complex associations with cough characteristics and severity. Cough severity decreased with age, especially in cases of eosinophilic bronchitis and GERD. Women with eosinophilic bronchitis reported more severe cough, while men with idiopathic cough reported more severe cough. Asthma was significantly linked to more sleep disturbance and fatigue, independent of age and sex, whereas GERD showed less sleep disturbance and fatigue. Network analysis revealed overall close associations between cough characteristics, though hypersensitivity in asthma and sleep disturbance in GERD were not linked with other cough traits. In conclusion, the demographic features and cough characteristics were interrelated, exhibiting distinct patterns based on the etiology. Full article
(This article belongs to the Section Respiratory Medicine)
Show Figures

Figure 1

13 pages, 2034 KB  
Article
Chronic Fatigue Exhibits Heterogeneous Autoimmunity Characteristics Which Reflect Etiology
by Olga V. Danilenko, Natalia Y. Gavrilova and Leonid P. Churilov
Pathophysiology 2022, 29(2), 187-199; https://doi.org/10.3390/pathophysiology29020016 - 25 May 2022
Cited by 14 | Viewed by 6091
Abstract
Chronic fatigue syndrome/myalgic encephalomyelitis (CFS/ME) is considered to be associated with post-viral complications and mental stress, but the role of autoimmunity also remains promising. A comparison of autoimmune profiles in chronic fatigue of different origin may bring insights on the pathogenesis of this [...] Read more.
Chronic fatigue syndrome/myalgic encephalomyelitis (CFS/ME) is considered to be associated with post-viral complications and mental stress, but the role of autoimmunity also remains promising. A comparison of autoimmune profiles in chronic fatigue of different origin may bring insights on the pathogenesis of this disease. Thirty-three patients with CFS/ME were divided into three subgroups. The first group included Herpesviridae carriers (group V), the second group included stress-related causes of chronic fatigue (distress, group D), and the third group included idiopathic CFS/ME (group I). Were evaluated thirty-six neural and visceral autoantigens with the ELISA ELI-test (Biomarker, Russia) and compared to 20 healthy donors, either without any fatigue (group H), or “healthy but tired” (group HTd) with episodes of fatigue related to job burnout not fitting the CFS/ME criteria. β2-glycoprotein-I autoantibodies were increased in CFS/ME patients, but not in healthy participants, that alludes the link between CFS/ME and antiphospholipid syndrome (APS) earlier suspected by Berg et al. (1999). In CFS/ME patients, an increase in levels of autoantibodies towards the non-specific components of tissue debris (double-stranded DNA, collagen) was shown. Both CFS and HTd subgroups had elevated level of autoantibodies against serotonin receptors, glial fibrillary acidic protein and protein S100. Only group V showed an elevation in the autoantibodies towards voltage-gated calcium channels, and only group D had elevated levels of dopamine-, glutamate- and GABA-receptor autoantibodies, as well as NF200-protein autoantibodies. Therefore, increased autoimmune reactions to the multiple neural antigens and to adrenal medullar antigen, but not to other tissue-specific somatic ones were revealed. An increase in autoantibody levels towards some neural and non-tissue-specific antigens strongly correlated with a CFS/ME diagnosis. Autoimmune reactions were described in all subtypes of the clinically significant chronic fatigue. Visceral complaints in CFS/ME patients may be secondary to the neuroendocrine involvement and autoimmune dysautonomia. CFS may be closely interrelated with antiphospholipid syndrome, that requires further study. Full article
Show Figures

Figure 1

5 pages, 35505 KB  
Case Report
IgG4-Related Chronic Sinonasal Pseudotumor with Refractory Nasal Bleeding: A Case Report
by Hsu-Lin Lee, Meng-Ko Tsai and Deng-Ho Yang
Medicina 2022, 58(2), 236; https://doi.org/10.3390/medicina58020236 - 4 Feb 2022
Cited by 4 | Viewed by 2927
Abstract
Immunoglobulin G4-related disease (IgG4-RD) is a systemic fibro-inflammatory and idiopathic autoimmune disorder. IgG4-RD can be characterized by the presence of pseudotumors. Inflammatory pseudotumors may involve any part of a human organ. There are few reports of sinus lesions in IgG4-RD. An 82-year-old man [...] Read more.
Immunoglobulin G4-related disease (IgG4-RD) is a systemic fibro-inflammatory and idiopathic autoimmune disorder. IgG4-RD can be characterized by the presence of pseudotumors. Inflammatory pseudotumors may involve any part of a human organ. There are few reports of sinus lesions in IgG4-RD. An 82-year-old man has a history of chronic sinusitis for the last several years and no remarkable family history. Two years before disease presentation, the patient experienced intermittent nasal bleeding, stuffy nose, dizziness, and fatigue. Blood test revealed positive (160X) antinuclear antibody with a mixed speckled and nucleolar pattern, IgG level of 1370 mg/dL, and IgG4 level of 99.7 mg/dL. Computed tomography (CT) of the sinus revealed several calcifications in the sphenoid sinus. Surgical findings revealed tumor-like materials. Pathological examination of the soft tissues revealed acute and chronic granulomatous inflammation. Immunohistochemical analysis demonstrated high levels of positive-affinity markers of IgG, IgG4, and CD138 and a IgG4/IgG ratio > 40%. IgG4-RD with pseudotumor was diagnosed. The initial treatment was intravenous methylprednisolone 120 mg daily for three days and oral prednisolone 10 mg twice a day and azathioprine 50 mg daily. The efficacy of the treatment was insufficient, and nasal bleeding did not decrease. Subsequently administered intravenous rituximab 1000 mg monthly for 2 months. Following this treatment, nasal bleeding stopped. CT revealed reduction in nasal mucosal swelling compared with that in a previous scan. This report highlights that in cases with an inflammatory mass mimicking malignancy, IgG4RD should always be considered, and rituximab treatment is recommended upon failure of steroid and azathioprine therapy. Full article
(This article belongs to the Section Hematology and Immunology)
Show Figures

Figure 1

11 pages, 1035 KB  
Article
Comparing Idiopathic Chronic Fatigue and Myalgic Encephalomyelitis/Chronic Fatigue Syndrome (ME/CFS) in Males: Response to Two-Day Cardiopulmonary Exercise Testing Protocol
by C. (Linda) M. C. van Campen and Frans C. Visser
Healthcare 2021, 9(6), 683; https://doi.org/10.3390/healthcare9060683 - 5 Jun 2021
Cited by 10 | Viewed by 10855
Abstract
(1) Introduction: Multiple studies have shown that peak oxygen consumption is reduced in the majority of myalgic encephalomyelitis/chronic fatigue syndrome (ME/CFS )patients, using the gold standard for measuring exercise intolerance: cardiopulmonary exercise testing (CPET). A 2-day CPET protocol has shown different results on [...] Read more.
(1) Introduction: Multiple studies have shown that peak oxygen consumption is reduced in the majority of myalgic encephalomyelitis/chronic fatigue syndrome (ME/CFS )patients, using the gold standard for measuring exercise intolerance: cardiopulmonary exercise testing (CPET). A 2-day CPET protocol has shown different results on day 2 in ME/CFS patients compared to sedentary controls. No comparison is known between ME/CFS and idiopathic chronic fatigue (ICF) for 2-day CPET protocols. We compared ME/CFS patients with patients with chronic fatigue who did not fulfill the ME/CFS criteria in a male population and hypothesized a different pattern of response would be present during the 2nd day CPET. (2) Methods: We compared 25 male patients with ICF who had completed a 2-day CPET protocol to an age-/gender-matched group of 26 male ME/CFS patients. Measures of oxygen consumption (VO2), heart rate (HR), systolic and diastolic blood pressure, workload (Work), and respiratory exchange ratio (RER) were collected at maximal (peak) and ventilatory threshold (VT) intensities. (3) Results: Baseline characteristics for both groups were similar for age, body mass index (BMI), body surface area, (BSA), and disease duration. A significant difference was present in the number of patients with fibromyalgia (seven ME/CFS patients vs. zero ICF patients). Heart rate at rest and the RER did not differ significantly between CPET 1 and CPET 2. All other CPET parameters at the ventilatory threshold and maximum exercise differed significantly (p-value between 0.002 and <0.0001). ME/CFS patients showed a deterioration of performance on CPET2 as reflected by VO2 and workload at peak exercise and ventilatory threshold, whereas ICF patients showed improved performance on CPET2 with no significant change in peak workload. (4) Conclusion: This study confirms that male ME/CFS patients have a reduction in exercise capacity in response to a second-day CPET. These results are similar to published results in male ME/CFS populations. Patients diagnosed with ICF show a different response on day 2, more similar to sedentary and healthy controls. Full article
(This article belongs to the Collection Sport and Exercise Medicine)
Show Figures

Figure 1

11 pages, 1607 KB  
Article
Female Patients with Myalgic Encephalomyelitis/Chronic Fatigue Syndrome or Idiopathic Chronic Fatigue: Comparison of Responses to a Two-Day Cardiopulmonary Exercise Testing Protocol
by C. (Linda) M. C. van Campen and Frans C. Visser
Healthcare 2021, 9(6), 682; https://doi.org/10.3390/healthcare9060682 - 5 Jun 2021
Cited by 6 | Viewed by 7291
Abstract
Introduction: Multiple studies have shown that peak oxygen consumption is reduced in the majority of ME/CFS patients, using the golden standard for measuring exercise intolerance: cardiopulmonary exercise testing (CPET). A 2-day CPET protocol has shown different results on day 2 in ME/CFS patients [...] Read more.
Introduction: Multiple studies have shown that peak oxygen consumption is reduced in the majority of ME/CFS patients, using the golden standard for measuring exercise intolerance: cardiopulmonary exercise testing (CPET). A 2-day CPET protocol has shown different results on day 2 in ME/CFS patients compared to sedentary controls. No comparison is known between ME/CFS and idiopathic chronic fatigue (ICF) for 2-day CPET protocols. We compared ME/CFS patients with patients with chronic fatigue who did not fulfil the ME/CFS criteria in a male population and hypothesized a different pattern of response would be present during the 2nd day CPET. Methods: Fifty-one female patients with ICF completed a 2-day CPET protocol and were compared to an age/sex-matched group of 50 female ME/CFS patients. Measures of oxygen consumption (VO2), heart rate (HR), systolic and diastolic blood pressure, workload (Work), and respiratory exchange ratio (RER) were collected at maximal (peak) and ventilatory threshold (VT) intensities. Results: Baseline characteristics for both groups were similar for age, BMI, BSA, and disease duration. A significance difference was present in the number of patients with fibromyalgia (seven ME/CFS patients vs zero ICF patients). Heart rate at rest and the RER did not differ significantly between CPET 1 and CPET 2. All other CPET parameters at the ventilatory threshold and maximum exercise differed significantly (p-value between 0.002 and <0.0001). ME/CFS patients showed a deterioration of performance on CPET2 as reflected by VO2 and workload at peak exercise and ventilatory threshold, whereas ICF patients showed improved performance on CPET2 with no significant change in peak workload. Conclusion: This study confirms that female ME/CFS patients have a reduction in exercise capacity in response to a second day CPET. These results are similar to published results in female ME/CFS populations. Patients diagnosed with ICF show a different response on day 2, more similar to sedentary and healthy controls. Full article
(This article belongs to the Collection Sport and Exercise Medicine)
Show Figures

Figure 1

17 pages, 2109 KB  
Article
Juvenile Arthritis Patients Suffering from Chronic Inflammation Have Increased Activity of Both IDO and GTP-CH1 Pathways But Decreased BH4 Efficacy: Implications for Well-Being, Including Fatigue, Cognitive Impairment, Anxiety, and Depression
by Gerdien A. H. Korte-Bouws, Eline Albers, Marije Voskamp, Hendrikus Hendriksen, Lidewij R. De Leeuw, Onur Güntürkün, Sytze De Roock, Sebastiaan J. Vastert and S. Mechiel Korte
Pharmaceuticals 2019, 12(1), 9; https://doi.org/10.3390/ph12010009 - 8 Jan 2019
Cited by 28 | Viewed by 7137
Abstract
Juvenile idiopathic arthritis (JIA) represents joint inflammation with an unknown cause that starts before the age of 16, resulting in stiff and painful joints. In addition, JIA patients often report symptoms of sickness behavior. Recent animal studies suggest that proinflammatory cytokines produce sickness [...] Read more.
Juvenile idiopathic arthritis (JIA) represents joint inflammation with an unknown cause that starts before the age of 16, resulting in stiff and painful joints. In addition, JIA patients often report symptoms of sickness behavior. Recent animal studies suggest that proinflammatory cytokines produce sickness behavior by increasing the activity of indoleamine-2,3-dioxygenase (IDO) and guanosinetriphosphate–cyclohydrolase-1 (GTP–CH1). Here, it is hypothesized that inflammation in JIA patients enhances the enzymatic activity of IDO and GTP-CH1 and decreases the co-factor tetrahydrobiopterin (BH4). These compounds play a crucial role in the synthesis and metabolism of neurotransmitters. The aim of our study was to reveal whether inflammation affects both the GTP-CH1 and IDO pathway in JIA patients. Serum samples were collected from twenty-four JIA patients. In these samples, the concentrations of tryptophan (TRP), kynurenine (KYN), tyrosine (TYR), neopterin, and phenylalanine (PHE) were measured. An HPLC method with electrochemical detection was developed to quantify tryptophan, kynurenine, and tyrosine. Neopterin and phenylalanine were quantified by ELISA. The KYN/TRP ratio was measured as an index of IDO activity, while the PHE/TYR ratio was measured as an index of BH4 activity. Neopterin concentrations were used as an indirect measure of GTP-CH1 activity. JIA patients with high disease activity showed higher levels of both neopterin and kynurenine, and a higher ratio of both KYN/TRP and PHE/TYR and lower tryptophan levels than clinically inactive patients. Altogether, these data support our hypothesis that inflammation increases the enzymatic activity of both IDO and GTP-CH1 but decreases the efficacy of the co-factor BH4. In the future, animal studies are needed to investigate whether inflammation-induced changes in these enzymatic pathways and co-factor BH4 lower the levels of the brain neurotransmitters glutamate, noradrenaline, dopamine, serotonin, and melatonin, and consequently, whether they may affect fatigue, cognition, anxiety, and depression. Understanding of these complex neuroimmune interactions provides new possibilities for Pharma-Food interventions to improve the quality of life of patients suffering from chronic inflammation. Full article
Show Figures

Figure 1

Back to TopTop