Sign in to use this feature.

Years

Between: -

Subjects

remove_circle_outline
remove_circle_outline
remove_circle_outline
remove_circle_outline
remove_circle_outline
remove_circle_outline
remove_circle_outline
remove_circle_outline
remove_circle_outline

Journals

remove_circle_outline
remove_circle_outline
remove_circle_outline
remove_circle_outline

Article Types

Countries / Regions

remove_circle_outline
remove_circle_outline
remove_circle_outline

Search Results (392)

Search Parameters:
Keywords = historical block

Order results
Result details
Results per page
Select all
Export citation of selected articles as:
64 pages, 45600 KB  
Article
SegClarity: An Attribution-Based XAI Workflow for Evaluating Historical Document Layout Models
by Iheb Brini, Najoua Rahal, Maroua Mehri, Rolf Ingold and Najoua Essoukri Ben Amara
J. Imaging 2025, 11(12), 424; https://doi.org/10.3390/jimaging11120424 (registering DOI) - 28 Nov 2025
Viewed by 47
Abstract
In recent years, deep learning networks have demonstrated remarkable progress in the semantic segmentation of historical documents. Nonetheless, their limited explainability remains a critical concern, as these models frequently operate as black boxes, thereby constraining confidence in the trustworthiness of their outputs. To [...] Read more.
In recent years, deep learning networks have demonstrated remarkable progress in the semantic segmentation of historical documents. Nonetheless, their limited explainability remains a critical concern, as these models frequently operate as black boxes, thereby constraining confidence in the trustworthiness of their outputs. To enhance transparency and reliability in their deployment, increasing attention has been directed toward explainable artificial intelligence (XAI) techniques. These techniques typically produce fine-grained attribution maps in the form of heatmaps, illustrating feature contributions from different blocks and layers within a deep neural network (DNN). However, such maps often closely resemble the segmentation outputs themselves, and there is currently no consensus regarding appropriate explainability metrics for semantic segmentation. To overcome these challenges, we present SegClarity, a novel workflow designed to integrate explainability into the analysis of historical documents. The workflow combines visual and quantitative evaluations specifically tailored to segmentation-based applications. Furthermore, we introduce the Attribution Concordance Score (ACS), a new explainability metric that provides quantitative insights into the consistency and reliability of attribution maps. To evaluate the effectiveness of our approach, we conducted extensive qualitative and quantitative experiments using two datasets of historical document images, two U-Net model variants, and four attribution-based XAI methods. A qualitative assessment involved four XAI methods across multiple U-Net layers, including comparisons at the input level with state-of-the-art perturbation methods RISE and MiSuRe. Quantitatively, five XAI evaluation metrics were employed to benchmark these approaches comprehensively. Beyond historical document analysis, we further validated the workflow’s generalization by demonstrating its transferability to the Cityscapes dataset, a challenging benchmark for urban scene segmentation. The results demonstrate that the proposed workflow substantially improves the interpretability and reliability of deep learning models applied to the semantic segmentation of historical documents. To enhance reproducibility, we have released SegClarity’s source code along with interactive examples of the proposed workflow. Full article
(This article belongs to the Special Issue Explainable AI in Computer Vision)
26 pages, 4542 KB  
Article
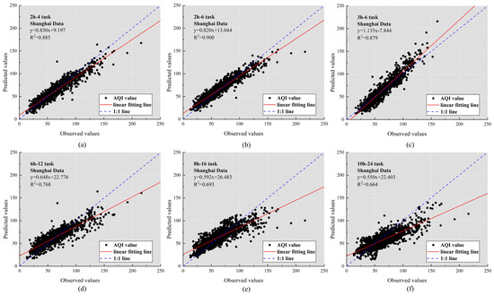
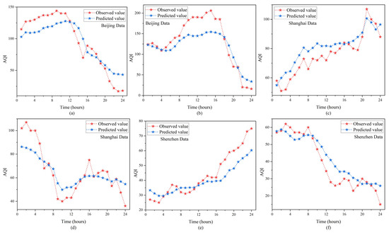
Spatiotemporal Graph Convolutional Attention Network for Air Quality Index Prediction of Beijing, Shanghai and Shenzhen
by Dong Li, Houzeng Han, Hang Yu, Jian Wang, Mengmeng Liu, Guojian Zou and Lei Wang
Atmosphere 2025, 16(12), 1314; https://doi.org/10.3390/atmos16121314 - 21 Nov 2025
Viewed by 252
Abstract
Accurately forecasting air pollutants concentration can reduce health risks and provide an important reference for environmental governance. This study proposes a new deep learning model, GLA-Net, which aims to achieve high-precision prediction of the air quality index (AQI) of monitoring stations. Specifically, GLSTM-Block [...] Read more.
Accurately forecasting air pollutants concentration can reduce health risks and provide an important reference for environmental governance. This study proposes a new deep learning model, GLA-Net, which aims to achieve high-precision prediction of the air quality index (AQI) of monitoring stations. Specifically, GLSTM-Block is designed to use the GAT module to capture dynamic spatial interaction of AQI, generate spatial semantic features, and then use LSTM to capture the temporal correlation characteristics of these spatial characteristics. This paper uses an LSTM network outside of GLSTM-Block to capture the original temporal characteristics of the input data. Then, the temporal characteristics of the LSTM output are added to the dynamic spatiotemporal features of the GLSTM-Block to obtain the final spatiotemporal features as the input of the subsequent temporal attention layer. The temporal attention layer uses a multi-head self-attention mechanism to focus on the impact of the spatiotemporal characteristics of historical air quality data on each prediction time step, and performs AQI prediction through a fully connected layer. Analysis based on measured data from Beijing, Shanghai and Shenzhen shows that the GLA-Net model has significant advantages in predicting single-step and multi-step changes in AQI. The study found that although the model has a large absolute error in predicting concentrations in highly polluted areas, it can better grasp the trend of changes. This feature is particularly evident in Beijing (AQI mean 64.289), with root mean square error (RMSE) of 12.716 and index of agreement (IA) of 0.983. Full article
(This article belongs to the Section Air Quality)
Show Figures

Graphical abstract

27 pages, 14142 KB  
Article
Multi-Indicator Drought Variability in Europe (1766–2018)
by Monica Ionita, Patrick Scholz and Viorica Nagavciuc
Forests 2025, 16(11), 1739; https://doi.org/10.3390/f16111739 - 18 Nov 2025
Viewed by 276
Abstract
Accurately characterizing historical drought events is critical for understanding their spatial and temporal variability and for improving future drought projections. This study investigates extreme drought years across Europe using three complementary drought indicators: the Palmer drought severity index (PDSI, based on tree-ring width), [...] Read more.
Accurately characterizing historical drought events is critical for understanding their spatial and temporal variability and for improving future drought projections. This study investigates extreme drought years across Europe using three complementary drought indicators: the Palmer drought severity index (PDSI, based on tree-ring width), the standardized precipitation evapotranspiration index (SPEI, based on stable oxygen isotopes in tree rings), and the soil moisture index (SMI, based on high-resolution climate modeling). We analyze the common period 1766–2018 simultaneously across all three reconstructions to enable direct cross-indicator comparisons, a scope not typical of prior single-indicator studies. When analyzing year-to-year variability, the driest European years differ by indicator (PDSI—1874, SPEI—2003, and SMI—1868). Quantitatively, the values exhibited are as follows: PDSI 1874 (M = −1.97; A = 64.4%), SPEI 2003 (M = −1.16; A = 90.1%), and SMI 1868 (M = 0.21; A = 83.4%). Multi-year extremes also diverge: while PDSI identifies 1941–1950 as the driest years (M = −0.82; A = 42.1%), SPEI highlights 2011–2018 (M = −0.36; A = 46.6%), and SMI points to 1781–1790 as the driest years, followed by 2011–2018. Trends in drought-covered areas show a significant European-scale increase for SMI (+0.52%/decade, p < 0.05) and regional increases for MED in SMI (~+1.1%/decade, p < 0.001) and for CEU in SPEI (+0.42%/decade, p < 0.05) and SMI (+0.6%/decade, p < 0.001). At the regional scale (Mediterranean—MED, central Europe—CEU, and northern Europe—NEU), the driest years/decades and spatial footprints vary by indicator, yet all the indicators consistently identify drought hotspots such as the MED. We also found that drought is significantly influenced by large-scale atmospheric drivers. A canonical correlation analysis (CCA) between summer geopotential height at 500 mb (Z500) and drought reconstructions indicates that drought-affected regions are, in general, associated with atmospheric blocking. The canonical series are significantly correlated at r = 0.82 (p < 0.001), with explained variances of 12.78% (PDSI), 8.41% (SPEI), and 14.58% (SMI). Overall, our study underscores the value of multi-indicator approaches: individual indicators provide distinct but complementary perspectives on European drought dynamics, improving the historical context for assessing future risk. Full article
(This article belongs to the Section Forest Meteorology and Climate Change)
Show Figures

Figure 1

17 pages, 25094 KB  
Article
High-Resolution GPR Surveys to Investigate the Internal Structure of Pillars Inside the Cathedral of San Giorgio in Ragusa Ibla (Sicily, Italy)
by Gabriele Morreale, Sabrina Grassi, Carlos José Araque-Pérez, Teresa Teixidó and Sebastiano Imposa
Remote Sens. 2025, 17(22), 3710; https://doi.org/10.3390/rs17223710 - 14 Nov 2025
Viewed by 406
Abstract
The Cathedral of San Giorgio, a chief example of Baroque architecture in Sicily (Italy), has been the focus of extensive geophysical investigations aimed at structural and subsoil characterization to support heritage conservation efforts. This study is among the few to apply a high-resolution [...] Read more.
The Cathedral of San Giorgio, a chief example of Baroque architecture in Sicily (Italy), has been the focus of extensive geophysical investigations aimed at structural and subsoil characterization to support heritage conservation efforts. This study is among the few to apply a high-resolution Ground Penetrating Radar (GPR) survey to the pillars of a Baroque Church, revealing internal structural details not documented in any available historical sources. Using a 2 GHz antenna, parallel radar profiles, spaced 0.05 m apart in both directions, were collected to reconstruct a detailed 3D model of the internal structure. Depth-slice and 3D-view analyses revealed multiple reflector sets corresponding to the different masonry blocks forming the pillars. Distinct internal layers were identified at depths of 0.22–0.30 m and 0.40–0.55 m, indicating blocks approximately 0.20–0.30 m in height and the possible presence of vertical connectors. These results complement previous studies that defined the dynamic parameters of the structure and a 3D velocity model of the subsoil, which suggested anomalies linked to remnants of the ancient Byzantine church of San Nicola. Overall, the findings provide valuable insights into the construction techniques and current condition of the pillars, contributing essential data for the planning of conservation and restoration strategies. Full article
Show Figures

Graphical abstract

27 pages, 13622 KB  
Article
Deep Learning Improves Planting Year Estimation of Macadamia Orchards in Australia
by Andrew Clark, James Brinkhoff, Andrew Robson and Craig Shephard
Agriculture 2025, 15(22), 2346; https://doi.org/10.3390/agriculture15222346 - 11 Nov 2025
Viewed by 403
Abstract
Deep learning reduced macadamia planting year error at a national scale, achieving a pixel-level Mean Absolute Error (MAE) of 1.2 years and outperforming a vegetation index threshold baseline (MAE 1.6 years) and tree-based models—Random Forest (RF; MAE 3.02 years) and Gradient Boosted Trees [...] Read more.
Deep learning reduced macadamia planting year error at a national scale, achieving a pixel-level Mean Absolute Error (MAE) of 1.2 years and outperforming a vegetation index threshold baseline (MAE 1.6 years) and tree-based models—Random Forest (RF; MAE 3.02 years) and Gradient Boosted Trees (GBT; MAE 2.9 years). Using Digital Earth Australia Landsat annual geomedians (1988–2023) and block-level, industry-supplied planting year data, models were trained and evaluated at the pixel level under a strict Leave-One-Region-Out cross-validation (LOROCV) protocol; a secondary block-level random split (80/10/10) is reported only to illustrate the more optimistic setting, where shared regional conditions yield lower errors (0.6–0.7 years). Predictions reconstruct planting year retrospectively from the full historical record rather than providing real-time forecasts. The final model was then applied to all Australian Tree Crop Map (ATCM) macadamia orchard polygons to produce wall-to-wall planting year estimates. The approach enables fine-grained mapping of planting patterns to support yield forecasting, resource allocation, and industry planning. Results indicate that sequence-based deep models capture informative temporal dynamics beyond thresholding and conventional machine learning baselines, while remaining constrained by regional and temporal data sparsity. The framework is scalable and transferable, offering a pathway to planting year mapping for other perennial crops and to more resilient, data-driven agricultural decision-making. Full article
(This article belongs to the Special Issue Remote Sensing in Crop Protection)
Show Figures

Figure 1

14 pages, 1690 KB  
Article
Energy Efficiency Study Applied to Residual Heat Systems in the Ecuadorian Oil Industry Located in the Amazon Region
by Andrés Campana-Díaz, Marcelo Moya, Ricardo Villalva and Javier Martinez-Gómez
Energies 2025, 18(22), 5925; https://doi.org/10.3390/en18225925 - 11 Nov 2025
Viewed by 300
Abstract
The oil sector in Ecuador represents one of the largest national energy consumers, with significant contributions to greenhouse gas and thermal emissions due to reliance on diesel-based thermoelectric generation. This study assesses the feasibility of implementing waste heat recovery processes in upstream petroleum [...] Read more.
The oil sector in Ecuador represents one of the largest national energy consumers, with significant contributions to greenhouse gas and thermal emissions due to reliance on diesel-based thermoelectric generation. This study assesses the feasibility of implementing waste heat recovery processes in upstream petroleum operations, aiming to improve energy efficiency and reduce the sector’s carbon footprint. Historical production and energy consumption data (2015–2020) from the main oil blocks (43-ITT, 57-Shushufindi, 57-Libertador, 58-Cuyabeno, 60-Sacha, and 61-Auca) were analyzed, alongside experimental parameters from thermoelectric equipment. Key energy indicators, including recoverable heat potential, energy intensity, and CO2 emissions, were quantified to identify inefficiencies and opportunities for recovery. Results show that blocks with the highest crude production also exhibit the largest energy demand, with flue gas temperatures averaging 400 °C and an estimated recovery potential of up to 1.9 MWe through Rankine Cycle systems. Pre-feasibility analysis indicates a cost–benefit ratio of 1.03 under current conditions, which could reach 1.29 with higher load factors, while avoided emissions surpass 7000 tCO2 annually. The findings highlight a strong correlation between energy intensity and CO2 emissions, emphasizing the environmental relevance of recovery projects. Adoption of heat recovery technologies, coupled with regulatory incentives such as carbon pricing, offers a viable pathway to enhance energy efficiency, reduce operational costs, and strengthen sustainability in the Ecuadorian oil industry. Full article
(This article belongs to the Special Issue Energy, Engineering and Materials 2024)
Show Figures

Figure 1

15 pages, 1998 KB  
Article
A Hybrid GRU-MHSAM-ResNet Model for Short-Term Power Load Forecasting
by Xin Yang, Fan Zhou, Ran Xu, Yiwen Jiang and Hejun Yang
Processes 2025, 13(11), 3646; https://doi.org/10.3390/pr13113646 - 11 Nov 2025
Viewed by 512
Abstract
Reliable load forecasting is crucial for ensuring optimal dispatch, grid security, and cost efficiency. To address limitations in prediction accuracy and generalization, this paper proposes a hybrid model, GRU-MHSAM-ResNet, which integrates a gated recurrent unit (GRU), multi-head self-attention (MHSAM), and a residual network [...] Read more.
Reliable load forecasting is crucial for ensuring optimal dispatch, grid security, and cost efficiency. To address limitations in prediction accuracy and generalization, this paper proposes a hybrid model, GRU-MHSAM-ResNet, which integrates a gated recurrent unit (GRU), multi-head self-attention (MHSAM), and a residual network (ResNet)block. Firstly, GRU is employed as a deep temporal encoder to extract features from historical load data, offering a simpler structure than long short-term memory (LSTM). Then, the MHSAM is used to generate adaptive representations by weighting input features, thereby strengthening the key features. Finally, the features are processed by fully connected layers, while a ResNet block is added to mitigate gradient vanishing and explosion, thus improving prediction accuracy. The experimental results on actual load datasets from systems in China, Australia, and Malaysia demonstrate that the proposed GRU-MHSAM-ResNet model exhibits superior predictive accuracy to compared models, including the CBR model and the LSTM-ResNet model. On the three datasets, the proposed model achieved a mean absolute percentage error (MAPE) of 1.65% (China), 5.52% (Australia), and 1.57% (Malaysia), representing a significant improvement over the other models. Furthermore, in five repeated experiments on the Malaysian dataset, it exhibited lower error fluctuation and greater result stability compared to the benchmark LSTM-ResNet model. Therefore, the proposed model provides a new forecasting method for power system dispatch, exhibiting high accuracy and generalization ability. Full article
Show Figures

Figure 1

26 pages, 7986 KB  
Article
Volatility Spillovers and Market Decoupling: Evidence from BRICS and China’s Green Sector
by Darko B. Vuković, Dmitrii Leonidovich Fefelov, Michael Frömmel and Elena Moiseevna Rogova
Risks 2025, 13(11), 222; https://doi.org/10.3390/risks13110222 - 6 Nov 2025
Viewed by 797
Abstract
The global economic importance of green tech is rising. Yet the role of the green financial sector in the propagation of volatility is still unclear. Although the existing literature often characterizes green assets as stable, the new risks, particularly US–China trade tensions that [...] Read more.
The global economic importance of green tech is rising. Yet the role of the green financial sector in the propagation of volatility is still unclear. Although the existing literature often characterizes green assets as stable, the new risks, particularly US–China trade tensions that target the green sector directly, may uncover potential vulnerabilities. As China’s green sector has attained global leadership, its interconnections with other major economies require a closer examination, especially within the BRICS block. Applying the Bayesian VAR with Minnesota Ridge prior and a TVP-VAR model-based connectedness approach on a dataset of 1880 observations spanning from 2016 to 2025, we identified that volatility in China’s green sector peaked during the COVID-19 pandemic and resurged in early 2025 amid trade tensions. Uniquely, this study also finds that, despite the intensification of political and economic relations between BRICS members, the interconnectedness of their financial markets has been weakening, suggesting their long-term decoupling and regionalization. From 2016 to 2024, green indices remained historically peripheral, with limited, stable ties to the Nasdaq and SSE. In 2025, short shock-driven transmitter episodes have emerged and indicate an incipient integration rather than a permanent regime change. Full article
Show Figures

Figure 1

21 pages, 4774 KB  
Article
Dynamic Performance and Seismic Response Analysis of Ming Dynasty Masonry Pagodas in the Jiangnan Region: A Case Study of the Great Wenfeng Pagoda
by Minhui Chen, Zhanjing Wu and Jinshuang Dong
Buildings 2025, 15(21), 3994; https://doi.org/10.3390/buildings15213994 - 5 Nov 2025
Viewed by 271
Abstract
To investigate the dynamic performance and seismic response of Ming dynasty masonry pagodas in the Jiangnan region of China, the Great Wenfeng Pagoda in Taizhou, Zhejiang Province, was selected as the study object. Based on on-site inspection and maintenance records, the in situ [...] Read more.
To investigate the dynamic performance and seismic response of Ming dynasty masonry pagodas in the Jiangnan region of China, the Great Wenfeng Pagoda in Taizhou, Zhejiang Province, was selected as the study object. Based on on-site inspection and maintenance records, the in situ compressive strength of masonry at each level was measured using a rebound hammer, considering that the pagoda was immovable and no destructive testing was permitted. A numerical model of the pagoda was established using the finite element software ABAQUS 2016 with a hierarchical modeling approach. The seismic response of the pagoda was computed by applying the El Centro wave, Taft wave, and artificial Ludian wave, and the seismic damage mechanism, the distribution of principal tensile stress, and seismic weak zones were analyzed. The results showed that the horizontal acceleration increased progressively along the height of the pagoda. Under minor earthquakes, the pagoda remained largely elastic, whereas under moderate and strong earthquakes, the acceleration at the top and bottom and the story drifts increased markedly, with the effects being most pronounced under the Taft wave. The damage was primarily concentrated in the first and second stories at the lower part of the pagoda and around the doorway. Tensile stress analysis indicated that the masonry blocks in the first and second stories were at risk of tensile failure under strong seismic action, whereas the lower-level stone blocks in the first story remained relatively safe due to their higher material strength. This study not only reveals the seismic weak points of Ming dynasty masonry pagodas in the Jiangnan region but also provides a scientific basis for seismic performance assessment, retrofitting design, and sustainable preservation of traditional historic buildings. Full article
(This article belongs to the Section Architectural Design, Urban Science, and Real Estate)
Show Figures

Figure 1

34 pages, 2309 KB  
Article
Value Identification of Celebrities’ Former Residences: An Exploration Using Cultural Triad Theory and the Contingent Valuation Method
by Hao Feng, Xiaobin Li, Jizhou Chen, Binghan Xu, Xin Zhou and Rong Zhu
Buildings 2025, 15(21), 3940; https://doi.org/10.3390/buildings15213940 - 1 Nov 2025
Viewed by 451
Abstract
With the deepening of cultural heritage conservation concepts, the preservation and revitalization of former residences of historical figures face challenges such as one-dimensional value recognition and imbalanced resource allocation. It is therefore necessary to construct a systematic value evaluation framework grounded in public [...] Read more.
With the deepening of cultural heritage conservation concepts, the preservation and revitalization of former residences of historical figures face challenges such as one-dimensional value recognition and imbalanced resource allocation. It is therefore necessary to construct a systematic value evaluation framework grounded in public participation, so as to scientifically identify multidimensional values, accurately guide conservation priorities and revitalization pathways, and promote the continuation of heritage values and functional transformation in contemporary contexts. This study focuses on 20 former residences of historical figures located in the Dongguan Historical and Cultural Block of Yangzhou. Using the Contingent Valuation Method (CVM), the non-use value of these residences was quantified, revealing an average willingness to pay (WTP) of 60.07 CNY per person per year, with an annual total value of approximately 177 million CNY. These findings underscore their significance in social memory and cultural transmission. Furthermore, by integrating “Cultural Triad Theory” with UNESCO’s six categories of heritage values, a “3 × 6” value identification framework was constructed. The results indicate that value weights are distributed as follows: cultural value (41.86%), architectural value (33.22%), and institutional value (24.92%). Building on this, different regression models were developed to analyze the determinants of whether the public is willing to pay and the specific amount they are willing to contribute. Based on the results, revitalization pathways are proposed that emphasize cultural leadership, architectural support, and institutional safeguards. This research not only provides empirical evidence for the conservation and funding allocation of former residences of historical figures in Yangzhou’s Dongguan Historical and Cultural Block but also offers a replicable methodology and empirical support for similar practices in other regions. Full article
(This article belongs to the Section Architectural Design, Urban Science, and Real Estate)
Show Figures

Figure 1

20 pages, 8803 KB  
Article
The Adaptive Block: Passive Cooling Adaptation Strategies for Urban Resilience
by Lama Natour, Attila Talamon and Rita Pongrácz
Urban Sci. 2025, 9(11), 455; https://doi.org/10.3390/urbansci9110455 - 1 Nov 2025
Viewed by 382
Abstract
Rising urban temperatures driven by the Urban Heat Island (UHI) effect highlight the need for architectural strategies that enhance thermal comfort while promoting environmental sustainability. In Budapest’s District 7, characterized by diverse multi-family historical buildings, existing studies predominantly address energy consumption for heating, [...] Read more.
Rising urban temperatures driven by the Urban Heat Island (UHI) effect highlight the need for architectural strategies that enhance thermal comfort while promoting environmental sustainability. In Budapest’s District 7, characterized by diverse multi-family historical buildings, existing studies predominantly address energy consumption for heating, leaving a gap in passive cooling research. The categorization of typologies derived from the Tabula database, the ZBR strategy, and architectural surveys of the old Jewish quarter is based on heating potential. While historic courtyards offer natural shading and ventilation possibilities, passive cooling strategies remain fragmented. To address this, the paper introduces the “Adaptive Block,” a mid-rise, modular typology integrating courtyard ventilation, dynamic shading, high-albedo surfaces, and low-conductivity insulation. Climate Consultant software is used to analyze passive cooling strategies based on climate data from a local meteorological station, the Budapest Meteorological Center station (WMO ID: 12840), which is an official national station. This serves as a preliminary step to guide future energy simulations by narrowing down the most effective design interventions. The Climate Consultant tool was applied not as a final performance simulation but as a Passive Strategy Pre-Assessment. This pre-assessment bridges regional climate data with building-scale adaptation by identifying which passive cooling options are climatically justified before typology-specific constraints are introduced. By combining the most promising adaptive features from existing typologies, the Adaptive Block presents a scalable framework that supports urban climate resilience while respecting architectural heritage. The findings contribute to adaptive urban design and invite further exploration of its applicability in other existing urban contexts. Full article
Show Figures

Figure 1

36 pages, 11240 KB  
Article
Public Perception of Urban Recreational Spaces Based on Large Vision–Language Models: A Case Study of Beijing’s Third Ring Area
by Yan Wang, Xin Hou, Xuan Wang and Wei Fan
Land 2025, 14(11), 2155; https://doi.org/10.3390/land14112155 - 29 Oct 2025
Viewed by 760
Abstract
Urban recreational spaces (URSs) are pivotal for enhancing resident well-being, making the accurate assessment of public perceptions crucial for quality optimization. Compared to traditional surveys, social media data provide a scalable means for multi-dimensional perception assessment. However, existing studies predominantly rely on single-modal [...] Read more.
Urban recreational spaces (URSs) are pivotal for enhancing resident well-being, making the accurate assessment of public perceptions crucial for quality optimization. Compared to traditional surveys, social media data provide a scalable means for multi-dimensional perception assessment. However, existing studies predominantly rely on single-modal data, which limits the comprehensive capturing of complex perceptions and lacks interpretability. To address these gaps, this study employs cutting-edge large vision–language models (LVLMs) and develops an interpretable model, Qwen2.5-VL-7B-SFT, through supervised fine-tuning on a manually annotated dataset. The model integrates visual-linguistic features to assess four perceptual dimensions of URSs: esthetics, attractiveness, cultural significance, and restorativeness. Crucially, we generate textual evidence for our judgments by identifying the key spatial elements and emotional characteristics associated with specific perceptions. By integrating multi-source built environment data with Optuna-optimized machine learning and SHAP analysis, we further decipher the nonlinear relationships between built environment variables and perceptual outcomes. The results are as follows: (1) Interpretable LVLMs are highly effective for urban spatial perception research. (2) URSs within Beijing’s Third Ring Road fall into four typologies, historical heritage, commercial entertainment, ecological-natural, and cultural spaces, with significant correlations observed between physical elements and emotional responses. (3) Historical heritage accessibility and POI density are identified as key predictors of public perception. Positive perception significantly improves when a block’s POI functional density exceeds 4000 units/km2 or when its 500 m radius encompasses more than four historical heritage sites. Our methodology enables precise quantification of multidimensional URS perceptions, links built environment elements to perceptual mechanisms, and provides actionable insights for urban planning. Full article
Show Figures

Figure 1

17 pages, 16728 KB  
Article
Semantic and Sketch-Guided Diffusion Model for Fine-Grained Restoration of Damaged Ancient Paintings
by Li Zhao, Yingzhi Chen, Guangqi Du and Xiaojun Wu
Electronics 2025, 14(21), 4187; https://doi.org/10.3390/electronics14214187 - 27 Oct 2025
Viewed by 667
Abstract
Ancient paintings, as invaluable cultural heritage, often suffer from damages like creases, mold, and missing regions. Current restoration methods, while effective for natural images, struggle with the fine-grained control required for ancient paintings’ artistic styles and brushstroke patterns. We propose the Semantic and [...] Read more.
Ancient paintings, as invaluable cultural heritage, often suffer from damages like creases, mold, and missing regions. Current restoration methods, while effective for natural images, struggle with the fine-grained control required for ancient paintings’ artistic styles and brushstroke patterns. We propose the Semantic and Sketch-Guided Restoration (SSGR) framework, which uses pixel-level semantic maps to restore missing and mold-affected areas and depth-aware sketch maps to ensure texture continuity in creased regions. The sketch maps are automatically extracted using advanced methods that preserve original brushstroke styles while conveying geometry and semantics. SSGR employs a semantic segmentation network to categorize painting regions and depth-sensitive sketch extraction to guide a diffusion model. To enhance style controllability, we cluster diverse attributes of landscape paintings and incorporate a Semantic-Sketch-Attribute-Normalization (SSAN) block that explores consistent patterns across styles through spatial semantic and attribute-adaptive normalization modules. Evaluated on the CLP-2K dataset, SSGR achieves an mIoU of 53.30%, SSIM of 0.42, and PSNR of 13.11, outperforming state-of-the-art methods. This approach not only preserves historical aesthetics but also advances digital heritage preservation with a tailored, controllable technique for ancient paintings. Full article
Show Figures

Figure 1

19 pages, 446 KB  
Article
Tracing the Incorporation of the Bimo shi Mulian jing into the Chinese Tripitaka and the Attribution of Its Translators: A Study Based on Buddhist Catalogs
by Wen Zhang
Religions 2025, 16(11), 1340; https://doi.org/10.3390/rel16111340 - 24 Oct 2025
Viewed by 395
Abstract
The reliable corpus of Buddhist sutras translated by Zhi Qian 支謙 serves as an important reference benchmark for determining the authenticity of Buddhist sutras from the Three Kingdoms 三國 period to the pre-Jin period (220–265 CE). The Bimo shi Mulian jing 弊魔試目連經 ( [...] Read more.
The reliable corpus of Buddhist sutras translated by Zhi Qian 支謙 serves as an important reference benchmark for determining the authenticity of Buddhist sutras from the Three Kingdoms 三國 period to the pre-Jin period (220–265 CE). The Bimo shi Mulian jing 弊魔試目連經 (The Sūtra of Māra Testing Maudgalyāyana) is currently included in the Taishō Tripiṭaka as an individual sutra. Since the start of block-printing of Buddhist canons, this sutra has been attributed to Zhi Qian of the Wu 吳 State in the Three Kingdoms period and included in the ruzangmu 入藏目 (“list [of texts] admitted to the canon”) of various editions of the Tripitaka. However, historical investigation reveals significant complexity and controversy surrounding its title, attributed translator, and its entries in different ancient catalogs. A systematic examination of historical Buddhist catalogs (jinglu 經錄) demonstrates that, during the times of Dao’an 道安 and Sengyou 僧祐, the sutra was given different names and recorded as a scripture with an unknown translator. During the time of Fajing 法經 in the Sui 隋 Dynasty, the sutra first appeared in the annotations of the sutra catalog under the name Bimo shi Mulian jing, and the translator was not recorded. By the time of Fei Zhangfang 費長房 in the Sui Dynasty, the sutra was first attributed to Zhi Qian, yet it was not included in the ruzangmu 入藏目. Finally, Zhisheng 智昇 in the Tang 唐 Dynasty integrated a great deal of information and attributed the sutra to Zhi Qian under the name Bimo shi Mulian jing and included it in the ruzangmu of Hinayana sutras 小乘入藏目 (List of Hinayana Sutras Admitted to the Canon). Zhisheng’s record has been followed to the present day. Furthermore, critical analysis of Fei Zhangfang’s methodology in attributing this sutra to Zhi Qian, when combined with linguistic evidence, confirms that this sutra was neither translated by Zhi Qian of the Three Kingdoms period nor produced earlier than the Western Jin 西晉 Dynasty (265-316 CE). This study’s analysis of both the canonical inclusion process and the attributed translator of the Bimo shi Mulian jing demonstrates how Buddhist catalogs—exemplified by Fei Zhangfang’s Lidai sanbao ji 曆代三寶紀 (Records of the Three Treasures Throughout the Successive Dynasties)—systematically constructed false translator attributions, while simultaneously underscoring the imperative to re-evaluate so-called “authoritative records” within the Chinese Buddhist canon through integrated multidisciplinary methodologies combining Buddhist catalog criticism with linguistic analysis. Full article
(This article belongs to the Special Issue Monastic Lives and Buddhist Textual Traditions in China and Beyond)
22 pages, 5276 KB  
Article
An Approach to Identifying Factors Affecting Residential Energy Consumption at the Urban Block Scale: A Case Study of Gaziantep
by Mert Sercan Sagdicoglu, M. Serhat Yenice and F. Demet Aykal
Energies 2025, 18(20), 5541; https://doi.org/10.3390/en18205541 - 21 Oct 2025
Viewed by 481
Abstract
Previous studies on building energy performance have focused on single buildings or theoretical scenarios, remaining largely at the building scale and emphasizing envelope parameters. This study addresses this gap by systematically examining morphological parameters at the urban block scale through a five-step framework [...] Read more.
Previous studies on building energy performance have focused on single buildings or theoretical scenarios, remaining largely at the building scale and emphasizing envelope parameters. This study addresses this gap by systematically examining morphological parameters at the urban block scale through a five-step framework derived from the historical zoning evolution of Gaziantep (Turkiye), a city in a hot–dry climate. Four representative neighborhoods, reflecting different planning periods, were modeled in DesignBuilder v6.1 under a standardized envelope defined by national regulations. The analysis considered building orientation (15° vs. 45°), number of storeys (5–15), inter-building distance, and number of apartments per floor. Simulation results indicate that cooling energy demand is significantly higher than heating, with potential savings of up to 22% in total energy consumption depending on urban fabric parameters. The Alleben neighborhood, characterized by the oldest planned fabric, consumed 30% less cooling energy compared to the other regions. Orientation alone increased cooling demand by up to 12%. At the same time, compact urban forms reduced loads through mutual shading, while higher apartments per floor increased energy use due to the larger façade area and internal gains. By linking historical zoning evolution with block-scale simulations, this study provides a transferable framework that highlights the decisive role of planning parameters and offers practical guidance for climate-sensitive urban development. Full article
(This article belongs to the Section G: Energy and Buildings)
Show Figures

Figure 1

Back to TopTop