Sign in to use this feature.

Years

Between: -

Subjects

remove_circle_outline
remove_circle_outline
remove_circle_outline
remove_circle_outline
remove_circle_outline
remove_circle_outline

Journals

Article Types

Countries / Regions

Search Results (7)

Search Parameters:
Keywords = green normalised difference vegetation index (GNDVI)

Order results
Result details
Results per page
Select all
Export citation of selected articles as:
18 pages, 6334 KB  
Article
Comparing the Utility of Artificial Neural Networks (ANN) and Convolutional Neural Networks (CNN) on Sentinel-2 MSI to Estimate Dry Season Aboveground Grass Biomass
by Mohamed Ismail Vawda, Romano Lottering, Onisimo Mutanga, Kabir Peerbhay and Mbulisi Sibanda
Sustainability 2024, 16(3), 1051; https://doi.org/10.3390/su16031051 - 25 Jan 2024
Cited by 18 | Viewed by 4285
Abstract
Grasslands are biomes of significant fiscal, social and environmental value. Grassland or rangeland management often monitors and manages grassland productivity. Productivity is determined by various biophysical parameters, one such being grass aboveground biomass. Advancements in remote sensing have enabled near-real-time monitoring of grassland [...] Read more.
Grasslands are biomes of significant fiscal, social and environmental value. Grassland or rangeland management often monitors and manages grassland productivity. Productivity is determined by various biophysical parameters, one such being grass aboveground biomass. Advancements in remote sensing have enabled near-real-time monitoring of grassland productivity. Furthermore, the increase in sophisticated machine learning algorithms has provided a powerful tool for remote sensing analytics. This study compared the performance of two neural networks, namely, Artificial Neural Networks (ANN) and Convolutional Neural Networks (CNN), in predicting dry season aboveground biomass using open-access Sentinel-2 MSI data. Sentinel-2 spectral bands and derived vegetation indices were used as input data for the two algorithms. Overall, findings in this study showed that the deep CNN outperformed the ANN in estimating aboveground biomass with an R2 of 0.83, an RMSE of 3.36 g/m2 and an RMSE% of 6.09. In comparison, the ANN produced an R2 of 0.75, an RMSE of 5.78 g/m2 and an RMSE% of 8.90. The sensitivity analysis suggested that the blue band, Green Chlorophyll Index (GCl), and Green Normalised Difference Vegetation Index (GNDVI) were the most significant for model development for both neural networks. This study can be considered a pilot study as it is one of the first to compare different neural network performances using freely available satellite data. This is useful for more rapid biomass estimation, and this study exhibits the great potential of deep learning for remote sensing applications. Full article
Show Figures

Figure 1

16 pages, 4085 KB  
Article
Optimal-Band Analysis for Chlorophyll Quantification in Rice Leaves Using a Custom Hyperspectral Imaging System
by Panuwat Pengphorm, Sukrit Thongrom, Chalongrat Daengngam, Saowapa Duangpan, Tajamul Hussain and Pawita Boonrat
Plants 2024, 13(2), 259; https://doi.org/10.3390/plants13020259 - 16 Jan 2024
Cited by 12 | Viewed by 3331
Abstract
Hyperspectral imaging (HSI) is a promising tool in chlorophyll quantification, providing a non-invasive method to collect important information for effective crop management. HSI contributes to food security solutions by optimising crop yields. In this study, we presented a custom HSI system specifically designed [...] Read more.
Hyperspectral imaging (HSI) is a promising tool in chlorophyll quantification, providing a non-invasive method to collect important information for effective crop management. HSI contributes to food security solutions by optimising crop yields. In this study, we presented a custom HSI system specifically designed to provide a quantitative analysis of leaf chlorophyll content (LCC). To ensure precise estimation, significant wavelengths were identified using optimal-band analysis. Our research was centred on two sets of 120 leaf samples sourced from Thailand’s unique Chaew Khing rice variant. The samples were subjected to (i) an analytical LCC assessment and (ii) HSI imaging for spectral reflectance data capture. A linear regression comparison of these datasets revealed that the green (575 ± 2 nm) and near-infrared (788 ± 2 nm) bands were the most outstanding performers. Notably, the green normalised difference vegetation index (GNDVI) was the most reliable during cross-validation (R2=0.78 and RMSE = 2.4 µg∙cm−2), outperforming other examined vegetable indices (VIs), such as the simple ratio (RED/GREEN) and the chlorophyll index. The potential development of a streamlined sensor dependent only on these two wavelengths is a significant outcome of identifying these two optimal bands. This innovation can be seamlessly integrated into farming landscapes or attached to UAVs, allowing real-time monitoring and rapid, targeted N management interventions. Full article
(This article belongs to the Special Issue Precision Nutrient Management for Climate-Smart Agriculture)
Show Figures

Figure 1

18 pages, 6526 KB  
Article
Application of Multispectral Images from Unmanned Aerial Vehicles to Analyze Operations of a Wastewater Treatment Plant
by Bartosz Szeląg, Szymon Sobura and Renata Stoińska
Energies 2023, 16(6), 2871; https://doi.org/10.3390/en16062871 - 20 Mar 2023
Cited by 3 | Viewed by 2598
Abstract
The main task of a wastewater treatment plant (WWTP) is to reduce pollutants that adversely affect the receiving environment in which the effluent is discharged. The operation of a WWTP is a complex task due to the number of different processes that take [...] Read more.
The main task of a wastewater treatment plant (WWTP) is to reduce pollutants that adversely affect the receiving environment in which the effluent is discharged. The operation of a WWTP is a complex task due to the number of different processes that take place in its process facilities. In order to maintain the high efficiency of a WWTP, it is necessary to control the quality of the effluent at the outlet and monitor the processes taking place there. The main objective of the research presented in this study was to evaluate the possibility of using unmanned aerial vehicle (UAV) technology and multispectral images acquired with a Micasense Red-Edge MX camera to analyse the performance of an activated sludge bioreactor using the example of a municipal WWTP in Poland. Remote sensing analyses were carried out to check the relationships between the calculated spectral indices and the quality parameters in the bioreactor. The spectral indices assessed were the normalised difference vegetation index (NDVI), green normalised difference vegetation index (GNDVI), optimised soil adjusted vegetation index (OSAVI), and their derived indices, after substitution of the red or near-infrared channel with the red edge channel. In this study, the sensitivity of the NDVI and GNDVIRED-EDGE indexes to changes in the nutrient content (NUC) of the bioreactor was observed. The presented research may find application in the design of a new soft sensor for monitoring the operating conditions of wastewater treatment plants. Full article
(This article belongs to the Special Issue Environmental Evaluation and Energy Recovery in Waste Management)
Show Figures

Figure 1

17 pages, 7295 KB  
Article
Headland and Field Edge Performance Assessment Using Yield Maps and Sentinel-2 Images
by Kaihua Liu, Ahmed Kayad, Marco Sozzi, Luigi Sartori and Francesco Marinello
Sustainability 2023, 15(5), 4516; https://doi.org/10.3390/su15054516 - 2 Mar 2023
Cited by 5 | Viewed by 3556
Abstract
Headland and field edges have a higher traffic frequency compared to the field centre, which causes more compaction. Most repeated compaction is located at the field entrance area and headland during machinery turning and material transporting that takes place during the fertilisation, herbicide [...] Read more.
Headland and field edges have a higher traffic frequency compared to the field centre, which causes more compaction. Most repeated compaction is located at the field entrance area and headland during machinery turning and material transporting that takes place during the fertilisation, herbicide laying, and harvesting of fields, which could cause soil structure destruction and yield reduction. In this study, the differences between headland, field edges, and field centre were studied using yield maps and the vegetation indices (VIs) calculated by the Google Earth Engine (GEE). First, thirteen yield maps from 2019 to 2022 were used to measure the yield difference between headland, field edges, and field centre. Then, one hundred and eleven fields from northern Italy were used to compare the vegetation indices (VIs) differences between headland, field edges, and field centre area. Then, field size, sand, and clay content were calculated and estimated from GEE. The yield map showed that headland and field edges were 12.20% and 2.49% lower than the field centre. The results of the comparison of the VIs showed that headlands and field edges had lower values compared to the field centre, with reductions of 4.27% and 2.70% in the normalised difference vegetation index (NDVI), 4.17% and 2.67% in the green normalized difference vegetation index (GNDVI), and 5.87% and 3.59% in the normalised difference red edge (NDRE). Additionally, the results indicated that the yield losses in the headland and field edges increased as the clay content increased and sand content decreased. These findings suggest that soil compaction and structural damage caused by the higher traffic frequency in the headland and field edges negatively affect crop yield. Full article
Show Figures

Figure 1

18 pages, 3235 KB  
Article
A Comparison of Analytical Approaches for the Spectral Discrimination and Characterisation of Mite Infestations on Banana Plants
by Aaron Aeberli, Andrew Robson, Stuart Phinn, David W. Lamb and Kasper Johansen
Remote Sens. 2022, 14(21), 5467; https://doi.org/10.3390/rs14215467 - 30 Oct 2022
Cited by 7 | Viewed by 4133
Abstract
This research investigates the capability of field-based spectroscopy (350–2500 nm) for discriminating banana plants (Cavendish subgroup Williams) infested with spider mites from those unaffected. Spider mites are considered a major threat to agricultural production, as they occur on over 1000 plant species, including [...] Read more.
This research investigates the capability of field-based spectroscopy (350–2500 nm) for discriminating banana plants (Cavendish subgroup Williams) infested with spider mites from those unaffected. Spider mites are considered a major threat to agricultural production, as they occur on over 1000 plant species, including banana plant varieties. Plants were grown under a controlled glasshouse environment to remove any influence other than the imposed treatment (presence or absence of spider mites). The spectroradiometer measurements were undertaken with a leaf clip over three infestation events. From the resultant spectral data, various classification models were evaluated including partial least squares discriminant analysis (PLSDA), K-nearest neighbour, support vector machines and back propagation neural network. Wavelengths found to have a significant response to the presence of spider mites were extracted using competitive adaptive reweighted sampling (CARS), sub-window permutation analysis (SPA) and random frog (RF) and benchmarked using the classification models. CARS and SPA provided high detection success (86% prediction accuracy), with the wavelengths found to be significant corresponding with the red edge and near-infrared portions of the spectrum. As there is limited access to operational commercial hyperspectral imaging and additional complexity, a multispectral camera (Sequoia) was assessed for detecting spider mite impacts on banana plants. Simulated multispectral bands were able to provide a high level of detection accuracy (prediction accuracy of 82%) based on a PLSDA model, with the near-infrared band being most important, followed by the red edge, green and red bands. Multispectral vegetation indices were trialled using a simple threshold-based classification method using the green normalised difference vegetation index (GNDVI), which achieved 82% accuracy. This investigation determined that remote sensing approaches can provide an accurate method of detecting mite infestations, with multispectral sensors having the potential to provide a more commercially accessible means of detecting outbreaks. Full article
Show Figures

Figure 1

19 pages, 2108 KB  
Article
Water Stress Impacts on Grapevines (Vitis vinifera L.) in Hot Environments: Physiological and Spectral Responses
by Alessia Cogato, Shaikh Yassir Yousouf Jewan, Lihua Wu, Francesco Marinello, Franco Meggio, Paolo Sivilotti, Marco Sozzi and Vinay Pagay
Agronomy 2022, 12(8), 1819; https://doi.org/10.3390/agronomy12081819 - 31 Jul 2022
Cited by 19 | Viewed by 4704
Abstract
The projected increase in temperature and water scarcity represents a challenge for winegrowers due to changing climatic conditions. Although heat and drought often occur concurrently in nature, there is still little known about the effects of water stress (WS) on grapevines in hot [...] Read more.
The projected increase in temperature and water scarcity represents a challenge for winegrowers due to changing climatic conditions. Although heat and drought often occur concurrently in nature, there is still little known about the effects of water stress (WS) on grapevines in hot environments. This study aimed to assess whether the grapevine’s physiological and spectral responses to WS in hot environments differ from those expected under lower temperatures. Therefore, we propose an integrated approach to assess the physiological, thermal, and spectral response of two grapevine varieties (Vitis vinifera L.), Grenache and Shiraz, to WS in a hot environment. In a controlled environment room (CER), we imposed high-temperature conditions (TMIN 30 °C–TMAX 40 °C) and compared the performance of well-watered (WW) and WS-ed potted own-rooted Shiraz and Grenache grapevines (SH_WW, SH_WS, GR_WW, and GR_WS, respectively). We monitored the vines’ physiological, spectral, and thermal trends from the stress imposition to the recovery after re-watering. Then, we performed a correlation analysis between the physiological parameters and the spectral and thermal vegetation indices (VIs). Finally, we looked for the best-fitting models to predict the physiological parameters based on the spectral VIs. The results showed that GR_WS was more negatively impacted than SH_WS in terms of net photosynthesis (Pn, GR-WS = 1.14 μmol·CO2 m−2·s−1; SH-WS = 3.64 μmol·CO2 m−2·s−1), leaf transpiration rate (E, GR-WS = 1.02 mmol·H2O m−2·s−1; SH-WS = 1.75 mmol·H2O m−2·s−1), and stomatal conductance (gs, GR-WS = 0.04 mol·H2O m−2·s−1; SH-WS = 0.11 mol·H2O m−2·s−1). The intrinsic water-use efficiency (WUEi = Pn/gs) of GR_WS (26.04 μmol·CO2 mol−1 H2O) was lower than SH_WS (34.23 μmol·CO2 mol−1 H2O) and comparable to that of SH_WW (26.31 μmol·CO2 mol−1 H2O). SH_WS was not unaffected by water stress except for E. After stress, Pn, gs, and E of GR_WS did not recover, as they were significantly lower than the other treatments. The correlation analysis showed that the anthocyanin Gitelson (AntGitelson) and the green normalised difference vegetation index (GNDVI) had significant negative correlations with stem water potential (Ψstem), Pn, gs, and E and positive correlation with WUEi. In contrast, the photochemical reflectance index (PRI), the water index (WI), and the normalised difference infrared index (NDII) showed an opposite trend. Finally, the crop water stress (CWSI) had significant negative correlations with the Ψstem in both varieties. Our findings help unravel the behaviour of vines under WS in hot environments and suggest instrumental approaches to help the winegrowers managing abiotic stress. Full article
Show Figures

Graphical abstract

15 pages, 5635 KB  
Article
Integrating Landsat-8 and Sentinel-2 Time Series Data for Yield Prediction of Sugarcane Crops at the Block Level
by Muhammad Moshiur Rahman and Andrew Robson
Remote Sens. 2020, 12(8), 1313; https://doi.org/10.3390/rs12081313 - 21 Apr 2020
Cited by 56 | Viewed by 9065
Abstract
Early prediction of sugarcane crop yield at the commercial block level (unit area of a single crop of the same variety, ratoon or planting date) offers significant benefit to growers, consultants, millers, policy makers, crop insurance companies and researchers. This current study explored [...] Read more.
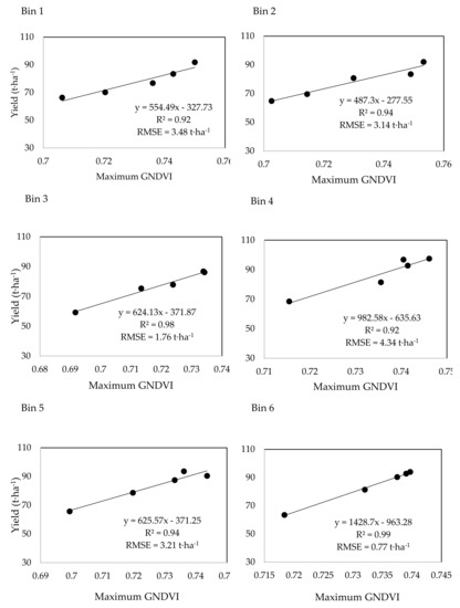
Early prediction of sugarcane crop yield at the commercial block level (unit area of a single crop of the same variety, ratoon or planting date) offers significant benefit to growers, consultants, millers, policy makers, crop insurance companies and researchers. This current study explored a remote sensing based approach for predicting sugarcane yield at the block level by further developing a regionally specific Landsat time series model and including individual crop sowing (or previous seasons’ harvest) date. For the Bundaberg growing region of Australia this extends over a five months period, from July to November. For this analysis, the sugarcane blocks were clustered into 10 groups based on their specific planting or ratoon commencement date within the specified five months period. These clustered or groups of blocks were named ‘bins’. Cloud free (<20%) satellite data from the polar-orbiting Landsat-8 (launched 2013), Sentinel-2A (launched 2015) and Sentinel-2B (launched 2017) sensors were acquired over the cane growing region in Bundaberg (area of 32,983 ha), from the growing season starting in July 2014, with the average green normalised difference vegetation index (GNDVI) derived for each block. The number of images acquired for each season was defined by the number of cloud free acquisitions. Using the Simple Linear Machine Learning (ML) algorithm, the extracted Landsat derived GNDVI values for each of the blocks were converted to Sentinel GNDVI. The average GNDVI of each ‘bin’ was plotted and a quadratic model was fitted through the time series to identify the peak growth stage defined as the maximum GNDVI value. The model derived maximum GNDVI values for each of the bins were then regressed against the average actual yield (t·ha-1) achieved for the respective bin over the five growing years, producing strong correlations (R2 = 0.92 to 0.99). The quadratic curves developed for the different bins were shifted according to the specific planting or ratoon date of an individual block allowing for the peak GNDVI value of the block to be calculated, regressed against the actual block yield (t·ha-1) and the prediction of yield to be made. To validate the accuracies of the 10 time series algorithms representing each of the 10 bins, 592 individual blocks were selected from the Bundaberg region during the 2019 harvest season. The crops were clustered into the appropriate bins with the respective algorithm applied. From a Sentinel image acquired on the 5 May 2019, the prediction accuracies were encouraging (R2 = 0.87 and RMSE = 11.33 (t·ha-1)) when compared to actual harvested yield, as reported by the mill. The results presented in this paper demonstrate significant progress in the accurate prediction of sugarcane yield at the individual sugarcane block level using a remote sensing, time-series based approach. Full article
(This article belongs to the Section Remote Sensing in Agriculture and Vegetation)
Show Figures

Graphical abstract

Back to TopTop