Sign in to use this feature.

Years

Between: -

Subjects

remove_circle_outline
remove_circle_outline
remove_circle_outline
remove_circle_outline
remove_circle_outline
remove_circle_outline
remove_circle_outline
remove_circle_outline
remove_circle_outline

Journals

Article Types

Countries / Regions

Search Results (6)

Search Parameters:
Keywords = ginnalin A

Order results
Result details
Results per page
Select all
Export citation of selected articles as:
26 pages, 7838 KB  
Article
Ultrafast ROS Scavenging Activity of Amur Maple Tree Extracts Confers Robust Cardioprotection for Myocardial Ischemia/Reperfusion Injury
by Aoyang Pu, Woo-Sup Sim, Yuen-Kei Liem, Yimin Lai, Bong-Woo Park, Kyoung-Tae Lee, Hun-Jun Park and Kiwon Ban
Antioxidants 2025, 14(6), 671; https://doi.org/10.3390/antiox14060671 - 31 May 2025
Viewed by 887
Abstract
Ginnalin A (GA), a polyphenolic compound derived from amur maple trees, has been identified as a powerful scavenger of reactive oxygen species (ROS). Recognizing the pivotal role of ROS in exacerbating secondary damage during myocardial ischemia-reperfusion injury (MIRI), we fractionated GA-enriched extracts from [...] Read more.
Ginnalin A (GA), a polyphenolic compound derived from amur maple trees, has been identified as a powerful scavenger of reactive oxygen species (ROS). Recognizing the pivotal role of ROS in exacerbating secondary damage during myocardial ischemia-reperfusion injury (MIRI), we fractionated GA-enriched extracts from the leaves of the amur maple tree, Acer tataricum L. subsp. ginnala (Maxim.) Wesm., using common solvents of dichloromethane (DCM) and ethyl acetate (EA). When co-administered for 30 min, the DCM- and EA-fractioned extracts effectively protected cardiomyocytes from H2O2-induced damage. ROS-sensitive probes indicated that treatment with ginnala extracts significantly reduced both intracellular and mitochondrial ROS levels. Instead of enhancing the activity of antioxidative enzymes, the ginnala extracts acted as natural antioxidases, directly scavenging various ROS such as superoxide, H2O2, hydroxyl radical, and Fe2+ within just 20 min. In a MIRI rat model, the in vivo administration of ginnala extracts provided significant cardioprotection by preserving viable myocardia and enhancing cardiac functions. Additionally, treatment with ginnala extracts significantly reduced cardiac fibrosis and denatured collagen. Our study suggests that the ultrafast ROS scavenging capability of ginnala extracts offers substantial heart protection during MIRI. Incorporating ginnala extracts as a pharmacological intervention during reperfusion could effectively mitigate ROS-induced cardiac injury. Full article
(This article belongs to the Special Issue Plant Antioxidants, Inflammation, and Chronic Disease)
Show Figures

Figure 1

17 pages, 1577 KB  
Article
Correlation Analysis Among the Chemical Composition and Cytotoxic and Antioxidative Activities of a Tessaria absinthioides Decoction for Endorsing Its Potential Application in Oncology
by Lourdes Inés Pascual, Lorena Luna, Roxana Elizabeth González, Javier Esteban Ortiz, Luciano Gomez-Gomez, Osvaldo Juan Donadel, María Belén Hapon, Gabriela Egly Feresin and Carlos Gamarra-Luques
Plants 2024, 13(21), 3062; https://doi.org/10.3390/plants13213062 - 31 Oct 2024
Cited by 1 | Viewed by 1502
Abstract
Historically, botanical preparations have been used to improve human health. Their active ingredients are influenced by multiple factors such as intraspecies variations, environmental conditions, collection time and methods, and the part of the plant used. To ensure the efficiency and safety of these [...] Read more.
Historically, botanical preparations have been used to improve human health. Their active ingredients are influenced by multiple factors such as intraspecies variations, environmental conditions, collection time and methods, and the part of the plant used. To ensure the efficiency and safety of these herbal drugs, qualitative and quantitative analyses are required. A Tessaria absinthioides decoction (DETa) was reported as having hypocholesterolemic, anti-inflammatory, cytotoxic, antitumor, and antioxidative properties. This work aimed to analyze DETa by correlating its chemical composition with cytotoxic and antioxidative properties, with the aim of promoting research on it as an anticancer agent. DETa collections (2017, 2018, 2019, and 2022) were analyzed by UHPLC-DAD, UHPLC-DAD-FLD, and UPLC-MS/MS; cytotoxicity was assessed on the MCF-7 breast cancer cell line; antioxidative capacity was evaluated by the DPPH and FRAP methods; and correlation analysis was used to determine biological and chemical markers. The results provide evidence that biological activities were consistent across the collections. Among the quantified compounds, apigenin, naringin, gallocatechin gallate, ginnalin A, myricetin, epicatechin, OH-tyrosol, quercetin, and chlorogenic, tessaric, p-coumaric, vanillic, caffeic, caftaric, ellagic, and rosmarinic acids correlated as bioactive and chemical markers. Moreover, tessaric acid could be established as a species marker. Altogether, these findings add relevant information to DETa properties, encouraging further exploration of its potential application as an anticancer botanical. Full article
Show Figures

Figure 1

16 pages, 2718 KB  
Article
Standardized Pomegranate (Pomella®) and Red Maple (Maplifa®) Extracts and Their Phenolics Protect Type I Collagen by the Inhibition of Matrix Metalloproteinases, Collagenase, and Collagen Cross-Linking
by Huifang Li, Tithi Roy, Samuel T. Boateng, Hao He, Chang Liu, Weixi Liu, Dongli Li, Panpan Wu, Navindra P. Seeram, Jean Christopher Chamcheu and Hang Ma
Molecules 2022, 27(22), 7919; https://doi.org/10.3390/molecules27227919 - 16 Nov 2022
Cited by 6 | Viewed by 2974
Abstract
Phenolics enriched pomegranate fruit (Pomella®) and red maple leaf (Maplifa®) extracts and their major phenolic constituents have demonstrated beneficial skin effects through the protection of human skin keratinocytes from oxidative-stress-induced damage. However, their mechanisms of protection of cutaneous collagen [...] Read more.
Phenolics enriched pomegranate fruit (Pomella®) and red maple leaf (Maplifa®) extracts and their major phenolic constituents have demonstrated beneficial skin effects through the protection of human skin keratinocytes from oxidative-stress-induced damage. However, their mechanisms of protection of cutaneous collagen are still unclear. Herein, the collagen protective effects of Pomella® and Maplifa®, and their major bioactive phytochemicals, namely, punicalagin (PA) and ginnalin A (GA), respectively, were evaluated using enzymatic assays including collagenase, anti-glycation and cell-based models as well as computational methods. The importance of the modulatory effects was validated at the protein level for type I collagen and matrix metalloproteinases (MMPs) using human-skin-derived keratinocytes. The synergistic collagenase inhibitory effects upon combinations of Pomella® + Maplifa® and PA + GA at a combination ratio of 1:2 and 1:1, respectively, were evaluated using their combination index (CI; a well-established assessment of synergism). Pomella® (50–400 µg/mL), Maplifa® (100–800 µg/mL), PA (50–400 µM), and GA (50–400 µM) dose-dependently inhibited collagenase activity by 26.3–86.3%, 25.7–94.0%, 26.2–94.0%, and 12.0–98.0%, respectively. The CI of the anti-collagenase activity of Pomella® and Maplifa® ranged from 0.53–0.90, while that of PA and GA (12.5/12.5 and 25/25 µM) ranged from 0.66 and 0.69, respectively, suggesting a synergistic inhibitory effect. Interestingly, in the cell-based assays by Western blotting, Pomella® and Maplifa® reduced the protein expression levels of collagen degradation enzymes (MMPs), while simultaneously increasing that of type I collagen in epidermoid carcinoma A431 cells. This is the first report to show that these extracts exert synergistic collagen protective effects. Taken together, these findings provide molecular insights into the usefulness of Pomella® and Maplifa® or their phenolics as bioactive ingredients for skin care products to slow down aging and enhance skin tone. Full article
Show Figures

Graphical abstract

27 pages, 1975 KB  
Article
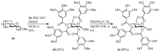
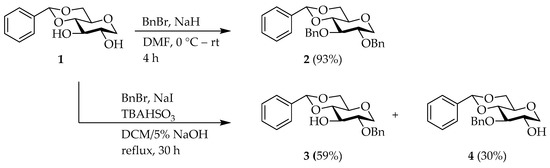
Synthesis and Comparative Structure–Activity Study of Carbohydrate-Based Phenolic Compounds as α-Glucosidase Inhibitors and Antioxidants
by Shota Machida, Saki Mukai, Rina Kono, Megumi Funato, Hiroaki Saito and Taketo Uchiyama
Molecules 2019, 24(23), 4340; https://doi.org/10.3390/molecules24234340 - 27 Nov 2019
Cited by 12 | Viewed by 5288
Abstract
Twenty-one natural and unnatural phenolic compounds containing a carbohydrate moiety were synthesized and their structure–activity relationship (SAR) was evaluated for α-glucosidase inhibition and antioxidative activity. Varying the position of the galloyl unit on the 1,5-anhydro-d-glucitol (1,5-AG) core resulted in changes in [...] Read more.
Twenty-one natural and unnatural phenolic compounds containing a carbohydrate moiety were synthesized and their structure–activity relationship (SAR) was evaluated for α-glucosidase inhibition and antioxidative activity. Varying the position of the galloyl unit on the 1,5-anhydro-d-glucitol (1,5-AG) core resulted in changes in the α-glucosidase inhibitory activity and notably, particularly strong activity was demonstrated when the galloyl unit was present at the C-2 position. Furthermore, increasing the number of the galloyl units significantly affected the α-glucosidase inhibition, and 2,3,4,6-tetra-galloyl-1,5-AG (54) and 2,3,4,6-tetra-galloyl-d-glucopyranose (61) exhibited excellent activities, which were more than 13-fold higher than the α-glucosidase inhibitory activity of acertannin (37). Moreover, a comparative structure-activity study suggested that a hemiacetal hydroxyl functionality in the carbohydrate core and a biaryl bond of the 4,6-O-hexahydroxydiphenoyl (HHDP) group, which are components of ellagitannins including tellimagrandin I, are not necessary for the α-glucosidase inhibitory activity. Lastly, the antioxidant activity increased proportionally with the number of galloyl units. Full article
(This article belongs to the Section Natural Products Chemistry)
Show Figures

Figure 1

1 pages, 148 KB  
Abstract
Survey of the Apoptotic Effect of Ginnalin A on Hep3b Human Hepatocellular Carcinoma Cell Line
by Pınar Özden, Ebru Avcı and Hasibe Vural
Proceedings 2017, 1(10), 1064; https://doi.org/10.3390/proceedings1101064 - 15 Nov 2017
Cited by 3 | Viewed by 2855
Abstract
Hepatocellular carcinoma is the third most common cause of cancer-related deaths worldwide. Ginnalin A (GA) is one of the most important phenolic compounds of maple syrup and its anticancer effect has been shown that in several cancer cell lines. In [...] Read more.
Hepatocellular carcinoma is the third most common cause of cancer-related deaths worldwide. Ginnalin A (GA) is one of the most important phenolic compounds of maple syrup and its anticancer effect has been shown that in several cancer cell lines. In this study, objective was to investigate the apoptotic effect of GA in Hep3B human hepatocellular carcinoma cell line. Cell viability was determined by using XTT method after the treatment with GA. Total RNA was isolated with TRIzol Reagent in control and dose group. Expressions of important genes in apoptosis including CASP3, CASP8, CASP9, CYCS, FAS and P53 were evaluated by qPCR. IC50 dose of GA was found as 155 μM for 72h in Hep3B cells. According to the qPCR results, a significant increase in the expression of CASP3, CASP8, CASP9, CYCS and P53 genes was observed as 12.09, 10.14, 3.37, 16.15 and 4.15 folds, respectively. In conclusion, it is thought that GA demonstrates the apoptotic effect on Hep3B human hepatocellular carcinoma cell line. GA can be evaluated as an effective anticancer agent in hepatocellular carcinoma after further molecular and functional analysis. Full article
1 pages, 151 KB  
Abstract
Apoptotic Effect of Ginnalin A on MDA-MB-231 and MCF7 Human Breast Cancer Cell Lines
by Ebru Avcı, Canan Eroğlu, Pınar Özden, Hasibe Vural and Ercan Kurar
Proceedings 2017, 1(10), 1002; https://doi.org/10.3390/proceedings1101002 - 13 Nov 2017
Cited by 3 | Viewed by 2655
Abstract
Breast cancer is the most common type of cancer in women. The aim of this study was to investigate the effects of Ginnalin A (GA), an important phenolic compounds of maple syrup, on apoptosis in MDA-MB-231 and MCF-7 human breast cancer cells. The [...] Read more.
Breast cancer is the most common type of cancer in women. The aim of this study was to investigate the effects of Ginnalin A (GA), an important phenolic compounds of maple syrup, on apoptosis in MDA-MB-231 and MCF-7 human breast cancer cells. The effect of GA on cell viability was determined by using XTT method. Expressions of genes are important in apoptosis including CASP3, CASP7, CASP8, CASP9, BCL2, BAX, CYCS, FAS and P53 were evaluated by qPCR. IC50 dose of GA was found as 160 μM in MDA-MB-231 and 300 μM in MCF7 cells, for 72 h. According to the qPCR results, a significant increase in the expression of CASP3, CASP8, CASP9, CYCS, FAS and P53 genes was observed as 3.88, 12.11, 4.76, 8.17, 4.27 and 3.31 folds, respectively in MDA-MB-231. In MCF-7 cells, the expression of CASP9 and P53 genes significantly increased to 8.24 and 3.39 folds, respectively, while the expression of BCL2 gene significantly decreased to 1.85 fold, compared with the control group. In conclusion, it is thought that GA demonstrates apoptotic effect by regulating expression of important genes in apoptosis on breast cancer cells. However, further functional analyses are required to clarify its effect on breast cancer. Full article
Back to TopTop