Sign in to use this feature.

Years

Between: -

Subjects

remove_circle_outline
remove_circle_outline
remove_circle_outline
remove_circle_outline
remove_circle_outline
remove_circle_outline
remove_circle_outline
remove_circle_outline

Journals

Article Types

Countries / Regions

Search Results (14)

Search Parameters:
Keywords = geosynthetic reinforced soil (GRS)

Order results
Result details
Results per page
Select all
Export citation of selected articles as:
20 pages, 14837 KB  
Review
3D Numerical Modeling of Geosynthetics for Soil Reinforcement: A Bibliometric Analysis and Literature Review
by Lucas Paiva, Margarida Pinho-Lopes, António Miguel Paula and Robertt Valente
Geotechnics 2024, 4(2), 673-692; https://doi.org/10.3390/geotechnics4020036 - 18 Jun 2024
Cited by 6 | Viewed by 3303
Abstract
Soil reinforcement using geosynthetics is an efficient and cost-effective solution for a variety of geotechnical structures. Along with the increasing use of geosynthetics, there is a need to expand and enhance the design methodologies for these elements, which are still frequently based on [...] Read more.
Soil reinforcement using geosynthetics is an efficient and cost-effective solution for a variety of geotechnical structures. Along with the increasing use of geosynthetics, there is a need to expand and enhance the design methodologies for these elements, which are still frequently based on conservative limit equilibrium approaches. In this paper, a bibliometric analysis was conducted on geosynthetic-reinforced soil structures (GRS), identifying the state of the art, research trends, and other indicators. The data were obtained from the Scopus platform and processed by VOSViewer v1.6 software. The initial search comprised 552 papers and the screening process selected 516 relevant papers from 1992 to October 2023. The study analyzed the occurrence of publications by year, keyword trends, authors, citations/co-citations, and bibliographic coupling. Then, a focus was given to 3D modeling research on geosynthetics, highlighting the dominant modeling techniques, material properties, and design challenges in GRS. The bibliometric analysis provided a crucial guideline in the identification of relevant papers and research trends, and a series of conclusions were presented regarding the 3D modeling techniques, choice of material properties, and boundary conditions. Full article
Show Figures

Graphical abstract

24 pages, 4498 KB  
Article
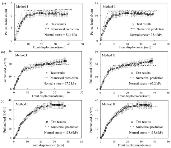
Assessing Numerical Simulation Methods for Reinforcement–Soil/Block Interactions in Geosynthetic-Reinforced Soil Structures
by Chongxi Zhao, Chao Xu, Panpan Shen, Geye Li and Qingming Wang
Buildings 2024, 14(2), 422; https://doi.org/10.3390/buildings14020422 - 3 Feb 2024
Cited by 4 | Viewed by 1961
Abstract
The purpose of this study is to assess effects of two different simulation methods (i.e., interfaces with a single spring-slider system and interfaces with double spring-slider systems) for interactions between reinforcement and the surrounding medium on the performances of geosynthetic-reinforced soil (GRS) structures [...] Read more.
The purpose of this study is to assess effects of two different simulation methods (i.e., interfaces with a single spring-slider system and interfaces with double spring-slider systems) for interactions between reinforcement and the surrounding medium on the performances of geosynthetic-reinforced soil (GRS) structures when conducting numerical analyses. The fundamental difference between these two methods is the number of the spring-slider systems used to connect the nodes of structural elements simulating the geosynthetic reinforcement and the points of solid grids simulating the surrounding medium. Numerical simulation results of pull-out tests show that both methods reasonably predicted the pullout failure mode of the reinforcement embedded in the surrounding medium. However, the method using the interfaces with a single spring-slider system could not correctly predict the interface shear failure mode between the geosynthetics and surrounding medium. Further research shows that these two methods resulted in different predictions of the performance of GRS piers as compared with results of a laboratory load test. Numerical analyses show that a combination of interfaces with double spring-slider systems for reinforcement between facing blocks and interfaces with a single spring-slider system for reinforcement in soil resulted in the best performance prediction of the GRS structures as compared with the test results. This study also proposes and verifies an equivalent method for determining/converting the interface stiffness and strength parameters for these two methods. Full article
(This article belongs to the Section Construction Management, and Computers & Digitization)
Show Figures

Figure 1

15 pages, 3306 KB  
Article
Scaled Model Tests Investigating Deformation Characteristics of Geosynthetic Reinforced Soil (GRS) Abutments under Vertical Loads
by Chao Xu, Qingming Wang, Panpan Shen, Geye Li, Qiushen Wang, Xiao Zhang and Chongxi Zhao
Materials 2023, 16(13), 4601; https://doi.org/10.3390/ma16134601 - 26 Jun 2023
Cited by 3 | Viewed by 1892
Abstract
This study conducted plane-strain scaled model tests to investigate the deformation characteristics of geosynthetic reinforced soil (GRS) abutments subjected to vertical loads. Setback distance, i.e., the distance between the back of the abutment facing and the front of the loading plate, was chosen [...] Read more.
This study conducted plane-strain scaled model tests to investigate the deformation characteristics of geosynthetic reinforced soil (GRS) abutments subjected to vertical loads. Setback distance, i.e., the distance between the back of the abutment facing and the front of the loading plate, was chosen as the investigated influencing factor since it is one of the most frequently used variables by engineers for the design of GRS abutments. This study analyzed the settlements at the top of the abutment, the lateral displacements of the abutment facing, and the volumetric deformations of the abutment under the applied vertical loads. Test results showed that increasing the setback distance could effectively reduce the deformations of the GRS abutment. There existed an optimum setback distance and further increasing the setback distance beyond this optimum value did not have a significant effect on reducing the abutment deformations. The vertical, lateral, and total volumetric deformations of the GRS abutment showed an approximately linear increase with the increase of the applied vertical loads. The lateral volumetric deformations of the GRS abutment were larger than its vertical volumetric deformations and therefore the total volumetric strains of the GRS abutment were not zero based on the test results. However, the theory of zero volume change may still be suitable for the deformation calculation of the GRS abutment since the values of the volumetric strains were minimal. The measured maximum lateral facing displacements were compared with the calculated values using the US Federal Highway Administration (FHWA) method, which assumes zero volume change of the GRS abutment under vertical loads. Comparison results indicated that the FHWA method overestimated the maximum lateral facing displacements of the GRS abutment under vertical loads. An improved method was proposed in this study to calculate the maximum lateral facing displacements under vertical loads based on the theory of zero volume change and a revised distribution of the settlements at the top of the GRS abutment. Results showed that the improved method could better predict the maximum lateral facing displacements as compared to the FHWA method. Full article
Show Figures

Figure 1

24 pages, 4842 KB  
Article
Long-Term Performance Assessment of a Geosynthetic-Reinforced Railway Substructure
by Ahmet F. Esen, Peter K. Woodward, Omar Laghrouche and David P. Connolly
Sustainability 2023, 15(12), 9364; https://doi.org/10.3390/su15129364 - 9 Jun 2023
Cited by 5 | Viewed by 2716
Abstract
Significant savings in carbon emissions, cost, and time could be achieved via the reduction in maintenance frequency, capital costs of track construction, and land used. Geosynthetic-reinforced soils offer such sustainable solutions. The experimental work presented in this paper investigates the long-term performance of [...] Read more.
Significant savings in carbon emissions, cost, and time could be achieved via the reduction in maintenance frequency, capital costs of track construction, and land used. Geosynthetic-reinforced soils offer such sustainable solutions. The experimental work presented in this paper investigates the long-term performance of a Geosynthetic-Reinforced Soil Retaining Wall (GRS-RW) system as an alternative to the conventional railway embankment. Full-scale testing was carried out on three sleeper sections of ballasted and slab tracks by simulating train loads cyclically, phased to 360 km/h. The tracks were supported by either a low-level fully confined conventional embankment or a GRS-RW substructure. The substructures were formed of a 1.2 m deep subgrade and frost protection layer, in accordance with high-speed railway design standards. The overall aim was to assess the performance of the tracks, in terms of transient displacements and total settlements. It was observed that once the GRS-RW system reached its active state, it deformed in a very similar way to a conventional embankment despite the fact that the GRS-RW system is less confined than the conventional embankment. The results indicate that the cumulative settlement of the slab track, which is due to the plastic deformation of the soil, is significantly less than that of the ballasted track, which is primarily caused by the movement of the ballast particles. Full article
(This article belongs to the Special Issue Sustainability and Innovation in Transport Infrastructure Geotechnics)
Show Figures

Figure 1

15 pages, 6038 KB  
Article
Research on the Effect of Particle Size on the Interface Friction between Geogrid Reinforcement and Soil
by Yunfei Zhao, Guangqing Yang, Zhi Wang and Shaopeng Yuan
Sustainability 2022, 14(22), 15443; https://doi.org/10.3390/su142215443 - 21 Nov 2022
Cited by 9 | Viewed by 2461
Abstract
For projects such as roads and railways, different fillers are often selected, and these also relate to the area where the project is located, so the characteristics of the filling soil should be considered in the design. However, the characteristics of the soil [...] Read more.
For projects such as roads and railways, different fillers are often selected, and these also relate to the area where the project is located, so the characteristics of the filling soil should be considered in the design. However, the characteristics of the soil used in geosynthetic-reinforced soil (GRS) structure design are routinely simple soil properties and are not based on testing of soil with reinforcement. In order to study the influence of fillers with different particle sizes on the interface friction characteristics between the geogrid and soil, a self-developed large-scale pull-out testing machine was used. Under the action of a normal static load, pull-out tests were carried out with different fillers, such as sand, silt and gravel. According to the test results, the greater the stress applied in the normal direction, the greater the maximum pull-out force. As for the different fillers, shear stress from material with a larger particle size, such as gravel, was larger than that of sand and silt. Finally, to reveal the pattern of how the soil particles moved during the pull-out test, from a microscopic point of view, and the effect on particle–mesh size ratio, a series of discrete element method (DEM) analyses were conducted by PFC2D. The results indicated that a larger particle is more likely to rotate and move during the test, and this makes the interlocking effect greater between the geogrid and the soil, which leads to a larger pull-out force in the laboratory test. Full article
Show Figures

Figure 1

17 pages, 5965 KB  
Article
A Machine Learning Architecture Replacing Heavy Instrumented Laboratory Tests: In Application to the Pullout Capacity of Geosynthetic Reinforced Soils
by Tabish Ali, Waseem Haider, Nazakat Ali and Muhammad Aslam
Sensors 2022, 22(22), 8699; https://doi.org/10.3390/s22228699 - 10 Nov 2022
Cited by 6 | Viewed by 3476
Abstract
For economical and sustainable benefits, conventional retaining walls are being replaced by geosynthetic reinforced soil (GRS). However, for safety and quality assurance purposes, prior tests of pullout capacities of these materials need to be performed. Conventionally, these tests are conducted in a laboratory [...] Read more.
For economical and sustainable benefits, conventional retaining walls are being replaced by geosynthetic reinforced soil (GRS). However, for safety and quality assurance purposes, prior tests of pullout capacities of these materials need to be performed. Conventionally, these tests are conducted in a laboratory with heavy instruments. These tests are time-consuming, require hard labor, are prone to error, and are expensive as a special pullout machine is required to perform the tests and acquire the data by using a lot of sensors and data loggers. This paper proposes a data-driven machine learning architecture (MLA) to predict the pullout capacity of GRS in a diverse environment. The results from MLA are compared with actual laboratory pullout capacity tests. Various input variables are considered for training and testing the neural network. These input parameters include the soil physical conditions based on water content and external loading applied. The soil used is a locally available weathered granite soil. The input data included normal stress, soil saturation, displacement, and soil unit weight whereas the output data contains information about the pullout strength. The data used was obtained from an actual pullout capacity test performed in the laboratory. The laboratory test is performed according to American Society for Testing and Materials (ASTM) standard D 6706-01 with little modification. This research shows that by using machine learning, the same pullout resistance of a geosynthetic reinforced soil can be achieved as in laboratory testing, thus saving a lot of time, effort, and money. Feedforward backpropagation neural networks with a different number of neurons, algorithms, and hidden layers have been examined. The comparison of the Bayesian regularization learning algorithm with two hidden layers and 12 neurons each showed the minimum mean square error (MSE) of 3.02 × 10−5 for both training and testing. The maximum coefficient of regression (R) for the testing set is 0.999 and the training set is 0.999 for the prediction interval of 99%. Full article
(This article belongs to the Special Issue Sensing Technologies for Fault Diagnostics and Prognosis)
Show Figures

Figure 1

27 pages, 8538 KB  
Article
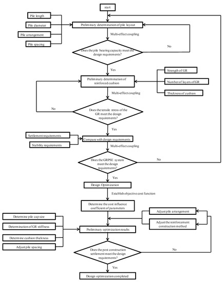
Optimized Design of Piled Embankment Using a Multi-Effect Coupling Model on a Coastal Highway
by Aobo Zhang, Jin Liao, Zhen Liu, Cuiying Zhou and Lihai Zhang
J. Mar. Sci. Eng. 2022, 10(9), 1170; https://doi.org/10.3390/jmse10091170 - 23 Aug 2022
Cited by 2 | Viewed by 2315
Abstract
This study presents a multi-effect coupling model to optimize the design of a geosynthetic-reinforced pile-supported embankment (GRPSE) considering the coupling effects of soil arching, membranes, and pile–soil interaction on a coastal highway. The developed model could optimize the design of the GRPSE to [...] Read more.
This study presents a multi-effect coupling model to optimize the design of a geosynthetic-reinforced pile-supported embankment (GRPSE) considering the coupling effects of soil arching, membranes, and pile–soil interaction on a coastal highway. The developed model could optimize the design of the GRPSE to fulfill the design and construction requirements at a relatively low project cost. This was achieved by adjusting the critical factors that govern the settlement of GRPSEs, such as pile spacing, tensile stiffness of geosynthetic reinforcement (GR), arrangement of piles, pile cap size, and cushion thickness. The model predictions were validated by a series of field tests using a range of geotechnical sensors. The results show that model predictions agreed with experimental measurements reasonably well. In addition, the results indicate that in comparison to a square arrangement of piles, a triangle net arrangement can decrease the differential settlement of pile soil. Furthermore, this study demonstrates that a change in the GR’s tensile stiffness has little impact on the settlement of GRPSEs. This study can help to improve the stability of roadbeds of coastal highways. Full article
(This article belongs to the Section Ocean Engineering)
Show Figures

Figure 1

23 pages, 48354 KB  
Article
Mechanical Responses of Soil-Geosynthetic Composite (SGC) Mass under Failure Load
by Meen-Wah Gui, Truc T. T. Phan and Thang Pham
Sustainability 2022, 14(15), 9629; https://doi.org/10.3390/su14159629 - 5 Aug 2022
Cited by 1 | Viewed by 2260
Abstract
There is an increasing awareness on the major benefits of using soil-geosynthetic composite (SGC) to achieve and maintain the stability of earth-filled embankment. Unlike the mechanically stabilized earth wall, the mechanism of the composite mass is still not fully understood. For examples, current [...] Read more.
There is an increasing awareness on the major benefits of using soil-geosynthetic composite (SGC) to achieve and maintain the stability of earth-filled embankment. Unlike the mechanically stabilized earth wall, the mechanism of the composite mass is still not fully understood. For examples, current analyses have been limited to an SGC mass with a reinforcement spacing Sv of 0.2 m only; the combined effect of reinforcement and backfill properties is rarely studied; the equation for the estimation of the load-carrying capacity of the SGC mass has only been validated for backfill with maximum particle size dmax between 10 mm and 33 mm and an Sv/dmax ratio between 6 and 20. The consequences of backfill compaction on an SGC mass with different reinforcement spacings are yet to be validated and whether the load-carrying capacity equation would still be applicable for materials with properties falling outside the above ranges. Through the simulation and validation of a field scale SGC mass, this study aims to assess the influence of various reinforcement and backfill parameters on the mechanical responses of a large-scale experimental SGC mass under its working load and failure conditions; the results are presented in terms of the wrapped face lateral displacement, reinforcement axial strain, and load-carrying capacity. Full article
Show Figures

Figure 1

13 pages, 2062 KB  
Article
A Study of the Effects of Geosynthetic Reinforced Soil and Reinforcement Length on GRS Bridge Abutment
by Myoung-Soo Won and Christine Patinga Langcuyan
Appl. Sci. 2021, 11(23), 11226; https://doi.org/10.3390/app112311226 - 26 Nov 2021
Cited by 3 | Viewed by 3390
Abstract
The geosynthetic reinforced soil (GRS) bridge abutment with a staged-construction full height rigid (FHR) facing and an integral bridge (IB) system was developed in Japan in the 2000s. This technology offers several advantages, especially concerning the deformation behavior of the GRS-IB abutment. In [...] Read more.
The geosynthetic reinforced soil (GRS) bridge abutment with a staged-construction full height rigid (FHR) facing and an integral bridge (IB) system was developed in Japan in the 2000s. This technology offers several advantages, especially concerning the deformation behavior of the GRS-IB abutment. In this study, the effects of GRS in the bridge abutment with FHR facing and the effects of geosynthetics reinforcement length on the deformation behavior of the GRS–IB are presented. The numerical models are analyzed using the finite element method (FEM) in Plaxis 2D program. The results showed that the GRS–IB model exhibited the least lateral displacements at the wall facing compared to those of the IB model without geosynthetics reinforcement. The geosynthetics reinforcement in the bridge abutment with FHR facing has reduced the vertical displacement increments by 4.7 times and 1.3 times (maximum) after the applied general traffic loads and railway loads, respectively. In addition, the numerical results showed that the increase in the length-to-height (L/H) ratio of reinforcement from 0.3H to 1.1H decreases the maximum lateral displacements by 29% and the maximum vertical displacements by 3% at the wall facing by the end of construction. The effect of the reinforcement length on the wall vertical displacements is minimal compared to the effect on the wall lateral displacements. Full article
(This article belongs to the Special Issue Advances in Geosynthetics)
Show Figures

Figure 1

23 pages, 5227 KB  
Article
Numerical Analyses on the Behavior of Geosynthetic-Reinforced Soil: Integral Bridge and Integrated Bridge System
by Myoung-Soo Won and Christine Patinga Langcuyan
Appl. Sci. 2021, 11(17), 8144; https://doi.org/10.3390/app11178144 - 2 Sep 2021
Cited by 6 | Viewed by 4534
Abstract
Geosynthetic-reinforced soil (GRS) technology has been used worldwide since the 1970s. An extension to its development is the application as a bridge abutment, which was initially developed by the Federal Highway Administration (FHWA) in the United States, called the GRS—integrated bridge system (GRS-IBS). [...] Read more.
Geosynthetic-reinforced soil (GRS) technology has been used worldwide since the 1970s. An extension to its development is the application as a bridge abutment, which was initially developed by the Federal Highway Administration (FHWA) in the United States, called the GRS—integrated bridge system (GRS-IBS). Now, there are several variations of this technology, which includes the GRS Integral Bridge (GRS-IB) developed in Japan in the 2000s. In this study, the GRS-IB and GRS-IBS are examined. The former uses a GRS bridge abutment with a staged-construction full height rigid (FHR) facing integrated to a continuous girder on top of the FHR facings. The latter uses a block-faced GRS bridge abutment that supports the girders without bearings. In addition, a conventional integral bridge (IB) is considered for comparison. The numerical analyses of the three bridges using Plaxis 2D under static and dynamic loadings are presented. The results showed that the GRS-IB exhibited the least lateral displacement (almost zero) at wall facing and vertical displacements increments at the top of the abutment compared to those of the GRS-IBS and IB. The presence of the reinforcements (GRS-IB) reduced the vertical displacement increments by 4.7 and 1.3 times (max) compared to IB after the applied general traffic and railway loads, respectively. In addition, the numerical results revealed that the GRS-IB showed the least displacement curves in response to the dynamic load. Generally, the results revealed that the GRS-IB performed ahead of both the GRS-IBS and IB considering the internal and external behavior under static and dynamic loading. Full article
Show Figures

Figure 1

24 pages, 6387 KB  
Article
Seismic Responses of GRS Walls with Secondary Reinforcements Subjected to Earthquake Loading
by Chih-Hsuan Liu and Ching Hung
Appl. Sci. 2020, 10(20), 7084; https://doi.org/10.3390/app10207084 - 12 Oct 2020
Cited by 3 | Viewed by 2669
Abstract
Secondary reinforcement has been proven to be effective in increasing the performance of geosynthetic-reinforced soil (GRS) walls under working stress conditions, enabling an eco-friendlier environment. However, the seismic responses of GRS walls with secondary reinforcements are still unclear. In this study, in-depth finite [...] Read more.
Secondary reinforcement has been proven to be effective in increasing the performance of geosynthetic-reinforced soil (GRS) walls under working stress conditions, enabling an eco-friendlier environment. However, the seismic responses of GRS walls with secondary reinforcements are still unclear. In this study, in-depth finite element analyses were used to investigate the seismic responses of GRS walls with secondary reinforcement subjected to earthquake motions. The numerical procedure was first validated using measurements obtained from both a field GRS wall with secondary reinforcement and benchmark large-scale shaking table tests. Then, the validated GRS walls procedure was utilized to explore the effects of secondary reinforcement length and stiffness, the vertical spacing of the primary reinforcement, and wall height on the seismic responses. Based on the study, the following findings can be drawn: (i) the secondary reinforcement length and stiffness under various wall heights and peak ground accelerations (PGAs) have a limited influence on the relative lateral facing displacement and acceleration amplification, however, they can significantly decrease the connection load and the maximum reinforcement load; (ii) increasing the length of the secondary reinforcement is more effective for reducing the connection load and the maximum reinforcement load than increasing the stiffness of the secondary reinforcement; (iii) the effect of secondary reinforcement is more evident for greater wall height, the larger vertical spacing of primary reinforcement, and smaller PGA; and (iv) GRS walls with secondary reinforcement could ease the acceleration amplification. The study has highlighted the salient effect of secondary reinforcement on GRS wall performance under seismic conditions. Full article
(This article belongs to the Section Civil Engineering)
Show Figures

Figure 1

20 pages, 25911 KB  
Article
Impacts of Compaction Load and Procedure on Stress-Deformation Behaviors of a Soil Geosynthetic Composite (SGC) Mass—A Case Study
by Meenwah Gui, Truc Phan and Thang Pham
Appl. Sci. 2020, 10(18), 6339; https://doi.org/10.3390/app10186339 - 11 Sep 2020
Cited by 4 | Viewed by 4610
Abstract
Fill compaction in the construction of Geosynthetic Reinforced Soil (GRS) mass is typically performed by operating a vibratory or roller compactor, which in turns imposed a compaction load in direction perpendicular to the wall face. The compaction process resulted in the development of [...] Read more.
Fill compaction in the construction of Geosynthetic Reinforced Soil (GRS) mass is typically performed by operating a vibratory or roller compactor, which in turns imposed a compaction load in direction perpendicular to the wall face. The compaction process resulted in the development of the so-called compaction-induced stress (CIS), which may subsequently increase the stiffness and strength of the fill material. Compaction process is normally simulated using one of the following compaction procedures—(i) a uniformly distributed load acting on the top surface of each soil lift, (ii) a uniformly distributed load acting on the top and bottom surface of each soil lift, and (iii) a moving strip load with different width. Uncertainties such as compaction procedures, compaction and surcharge loads led to the disparity in studying the mechanism of GRS mass. This paper aimed to study the impact of compaction load, compaction procedure, surcharge load and CIS on the stress-deformation behavior of GRS mass via the simulation of a 2 m high Soil Geosynthetic Composite (SGC) mass and a 6 m high GRS mass. The results were examined in terms of reinforcement strains, wall lateral displacements, and net CIS. Results from the analysis show the important impacts of compaction conditions on the stress-deformation behavior of SGC mass and the CIS. Full article
(This article belongs to the Special Issue Homogenization Methods in Materials and Structures)
Show Figures

Figure 1

19 pages, 3710 KB  
Article
Stability of Extended Earth Berm for High Landfill
by Haoran Jiang, Xiaowen Zhou and Ziwei Xiao
Appl. Sci. 2020, 10(18), 6281; https://doi.org/10.3390/app10186281 - 10 Sep 2020
Cited by 7 | Viewed by 7823
Abstract
This study presents a stability analysis of an extended berm reinforced by geotextiles, with a steep slope of 1V:1.1H (vertical: horizontal). Finite element (FE) analyses were carried out to explore the failure mechanism and factor of safety (FOS) of the berm, on which [...] Read more.
This study presents a stability analysis of an extended berm reinforced by geotextiles, with a steep slope of 1V:1.1H (vertical: horizontal). Finite element (FE) analyses were carried out to explore the failure mechanism and factor of safety (FOS) of the berm, on which the effect of the strength of geotextiles, leachate level, and anti-slide pile arrangement located at the toe of the berm were considered. It was found that: (1) failure surfaces developed along the interface between the new and the existing berms; (2) the FOS decreased as the leachate increased, and an FOS value of 1.42 could be obtained if the leachate level was controlled at a height of 20 m; (3) the tensile force of geotextiles was far lower than the available strength, which suggested that the geotextile had enough of a safety reserve; and (4) one row of longer piles at the toe of the berm performed better than two rows of shorter piles if the total length of piles was the same. The design and analysis of this project can be used as a reference for landfill expansion. Especially for a site condition with limited space, a geosynthetic-reinforced soil (GRS) berm is a safe, reliable and promising alternative. Full article
(This article belongs to the Special Issue Advances in Geotechnical Engineering)
Show Figures

Figure 1

15 pages, 1877 KB  
Article
Resistance of Laminar Drain Reinforcement Levee against Overflow Erosion
by Yuki Kurakami and Yasuo Nihei
Water 2019, 11(9), 1768; https://doi.org/10.3390/w11091768 - 25 Aug 2019
Cited by 4 | Viewed by 5088
Abstract
As a method for reinforcing against overflow erosion and infiltration, this study investigated a laminar drain reinforcement (LDR) levee, in which the drain layers are set on the back slope and connected to concrete panels using geogrid layers. We examined the resistance against [...] Read more.
As a method for reinforcing against overflow erosion and infiltration, this study investigated a laminar drain reinforcement (LDR) levee, in which the drain layers are set on the back slope and connected to concrete panels using geogrid layers. We examined the resistance against overflow erosion of the LDR levee by large-scale model tests with a 1 m high model levee. We also compared the resistance of an armored levee, which is covered with concrete panels, and a GRS (geosynthetic-reinforced soil) levee, in which the geogrid layers are laid in the levee body with connecting concrete panels. The results of the model tests reveal that: (1) the LDR levee can maintain the initial height and shape for more than 150 min; by comparison, the times to levee failure were 87 and 102 min for the armored and GRS levees, respectively; (2) the LDR levee was shown to have a highly tenacious structure offering resistance to overflow erosion. In particular, panels easily flowed out with a slight gap (less than 1 cm) for the armored levee, while the LDR levee was able to prevent flowing out of panels and the erosion of the levee body, thanks to the laminar drain at the back slope, even when the gaps between the surface panels exceeded 5 cm. Full article
(This article belongs to the Section Hydraulics and Hydrodynamics)
Show Figures

Figure 1

Back to TopTop