Sign in to use this feature.

Years

Between: -

Subjects

remove_circle_outline
remove_circle_outline
remove_circle_outline
remove_circle_outline
remove_circle_outline

Journals

Article Types

Countries / Regions

Search Results (25)

Search Parameters:
Keywords = four-switch buck—boost

Order results
Result details
Results per page
Select all
Export citation of selected articles as:
24 pages, 5112 KB  
Article
Power Management for V2G and V2H Operation Modes in Single-Phase PV/BES/EV Hybrid Energy System
by Chayakarn Saeseiw, Kosit Pongpri, Tanakorn Kaewchum, Sakda Somkun and Piyadanai Pachanapan
World Electr. Veh. J. 2025, 16(10), 580; https://doi.org/10.3390/wevj16100580 - 14 Oct 2025
Viewed by 433
Abstract
A multi-port conversion system that connects photovoltaic (PV) arrays, battery energy storage (BES), and an electric vehicle (EV) to a single-phase grid offers a flexible solution for smart homes. By integrating Vehicle-to-Grid (V2G) and Vehicle-to-Home (V2H) technologies, the system supports bidirectional energy flow, [...] Read more.
A multi-port conversion system that connects photovoltaic (PV) arrays, battery energy storage (BES), and an electric vehicle (EV) to a single-phase grid offers a flexible solution for smart homes. By integrating Vehicle-to-Grid (V2G) and Vehicle-to-Home (V2H) technologies, the system supports bidirectional energy flow, optimizing usage, improving grid stability, and supplying backup power. The proposed four-port converter consists of an interleaved bidirectional DC-DC converter for high-voltage BES, a bidirectional buck–boost DC-DC converter for EV charging and discharging, a DC-DC boost converter with MPPT for PV, and a grid-tied inverter. Its non-isolated structure ensures high efficiency, compact design, and fewer switches, making it suitable for residential applications. A state-of-charge (SoC)-based power management strategy coordinates operation among PV, BES, and EV in both on-grid and off-grid modes. It reduces reliance on EV energy when supporting V2G and V2H, while SoC balancing between BES and EV extends lifetime and lowers current stress. A 7.5 kVA system was simulated in MATLAB/Simulink to validate feasibility. Two scenarios were studied: PV, BES, and EV with V2G supporting the grid and PV, BES, and EV with V2H providing backup power in off-grid mode. Tests under PV fluctuations and load variations confirmed the effectiveness of the proposed design. The system exhibited a fast transient response of 0.05 s during grid-support operation and maintained stable voltage and frequency in off-grid mode despite PV and load fluctuations. Its protection scheme disconnected overloads within 0.01 s, while harmonic distortions in both cases remained modest and complied with EN50610 standards. Full article
Show Figures

Graphical abstract

20 pages, 6299 KB  
Article
State-Set-Optimized Finite Control Set Model Predictive Control for Three-Level Non-Inverting Buck–Boost Converters
by Mingxia Xu, Hongqi Ding, Rong Han, Xinyang Wang, Jialiang Tian, Yue Li and Zhenjiang Liu
Energies 2025, 18(17), 4481; https://doi.org/10.3390/en18174481 - 23 Aug 2025
Viewed by 820
Abstract
Three-level non-inverting buck–boost converters are promising for electric vehicle charging stations due to their wide voltage regulation capability and bidirectional power flow. However, the number of three-level operating states is four times that of two-level operating states, and the lack of a unified [...] Read more.
Three-level non-inverting buck–boost converters are promising for electric vehicle charging stations due to their wide voltage regulation capability and bidirectional power flow. However, the number of three-level operating states is four times that of two-level operating states, and the lack of a unified switching state selection mechanism leads to serious challenges in its application. To address these issues, a finite control set model predictive control (FCS-MPC) strategy is proposed, which can determine the optimal set and select the best switching state from the excessive number of states. Not only does the proposed method achieve fast regulation over a wide voltage range, but it also maintains the input- and output-side capacitor voltage balance simultaneously. A further key advantage is that the number of switching actions in adjacent cycles is minimized. Finally, a hardware-in-the-loop experimental platform is built, and the proposed control method can realize smooth transitions between multiple operation modes without the need for detecting modes. In addition, the state polling range and the number of switching actions are superior to conventional predictive control, which provides an effective solution for high-performance multilevel converter control in energy systems. Full article
(This article belongs to the Special Issue Control and Optimization of Power Converters)
Show Figures

Figure 1

17 pages, 5616 KB  
Article
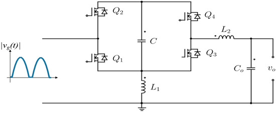
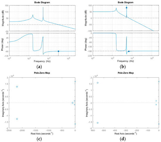
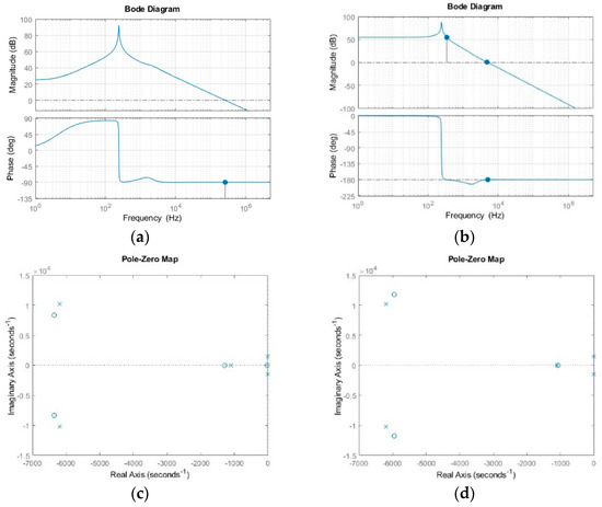
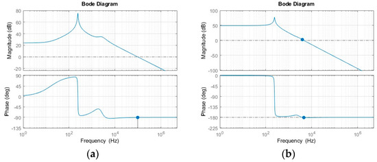
A Reduced-Order Small-Signal Model for Four-Switch Buck–Boost Under Soft-Switching Current Shaping Control Strategy
by Lin Tian, Hui Liu, Yan Zhang and Xinke Wu
Electronics 2025, 14(13), 2564; https://doi.org/10.3390/electronics14132564 - 25 Jun 2025
Viewed by 780
Abstract
The four-switch buck–boost (FSBB) converter, which possesses both step-up and step-down capabilities, is highly suitable for applications where input and output voltages have overlapping ranges. Correspondingly, the current shaping control (CSC) strategy is investigated for the FSBB converter, which shapes a quadrilateral inductor [...] Read more.
The four-switch buck–boost (FSBB) converter, which possesses both step-up and step-down capabilities, is highly suitable for applications where input and output voltages have overlapping ranges. Correspondingly, the current shaping control (CSC) strategy is investigated for the FSBB converter, which shapes a quadrilateral inductor current waveform featuring the minimum RMS value to improve efficiency and power density. However, the small-signal model for the CSC algorithm has not yet been established, and the traditional and common modeling method requires considering multiple duty cycles and phase shifts of the FSBB converter, whose calculation is complex and inconvenient to use. For the special case of the CSC strategy using cycle-by-cycle current detection, an additional constraint of the averaged volt-second on the inductor can be regarded as zero, making the inductor current no longer a variable of the state-space, which eliminates the pole generated by the inductor and reduces the order of the small-signal model. Thus, this paper greatly simplifies the computation and design of the compensator by using the constraint condition mentioned above. This one-pole first-order model is simplified, maintains enough accuracy in the low-frequency domain, and can be corrected using only a simple PI controller. Finally, a prototype of the 300 W FSBB converter under the digital CSC algorithm was built to validate the precision and dynamic performance of the proposed first-order small-signal model. Full article
Show Figures

Figure 1

29 pages, 6105 KB  
Review
A Review of Control Strategies for Four-Switch Buck–Boost Converters
by Guanzheng Lin, Yan Li and Zhaoyun Zhang
World Electr. Veh. J. 2025, 16(6), 315; https://doi.org/10.3390/wevj16060315 - 5 Jun 2025
Viewed by 4848
Abstract
In order to meet the demand for high-voltage architectures of 400 V and 800 V in electric vehicle systems, high-power DC-DC converters have become a key focus of research. The Four-Switch Buck–Boost converter has gained widespread application due to its wide voltage conversion [...] Read more.
In order to meet the demand for high-voltage architectures of 400 V and 800 V in electric vehicle systems, high-power DC-DC converters have become a key focus of research. The Four-Switch Buck–Boost converter has gained widespread application due to its wide voltage conversion range, consistent input and output polarity, and the capability of bidirectional power transfer. This paper focuses on the energy conversion requirements in high-voltage scenarios for electric vehicles, analyzing the working principle of this converter and typical control strategies. It summarizes the issues encountered under different control strategies and presents improvements. Hard-switching multi-mode control strategies aim to improve control algorithms and logic to mitigate large duty cycle variations and voltage gain discontinuities caused by dead zones. For control strategies based on controlling the inductor current to achieve soft-switching, the discussion mainly focuses on optimizing the implementation of soft-switching, reducing overall system losses, and improving the computation speed. Finally, the paper summarizes FSBB control strategies and outlines future directions, providing theoretical support for high-voltage fast charging and onboard power supplies in electric vehicles. Full article
(This article belongs to the Special Issue Power Electronics for Electric Vehicles)
Show Figures

Figure 1

15 pages, 2450 KB  
Article
Study on High Efficiency Control of Four-Switch Buck-Boost Converter Based on Whale Migration Optimization Algorithm
by Zhencheng Hao, Yu Xu and Jing Bai
Energies 2025, 18(11), 2807; https://doi.org/10.3390/en18112807 - 28 May 2025
Viewed by 658
Abstract
With the growing demand for high-efficiency DC-DC converters with a wide input voltage range for wireless power transmission, four-switch boost converters (FSBBs) are attracting attention due to their low current stress and flexible mode switching characteristics. However, their complex operating modes and nonlinear [...] Read more.
With the growing demand for high-efficiency DC-DC converters with a wide input voltage range for wireless power transmission, four-switch boost converters (FSBBs) are attracting attention due to their low current stress and flexible mode switching characteristics. However, their complex operating modes and nonlinear dynamic characteristics lead to high switching losses and limited efficiency of the system under conventional control. In this paper, an optimization algorithm is combined with the multi-mode control of an FSBB converter for the first time, and a combined optimization and voltage closed-loop control strategy based on the Whale Migration Algorithm (WMA) is proposed. Under the four-mode operation conditions of the FSBB converter, the duty cycle and phase shift parameters of the switching devices are dynamically adjusted by optimizing the values to maximize the efficiency under different operation conditions, with the premise of achieving zero-voltage switching (ZVS) and the optimization objective of minimizing the inductor current as much as possible. Simulation results show that the proposed FSBB switching control strategy combined with the WMA algorithm improves the efficiency significantly over a wide voltage range (120–480 V) and under variable load conditions, and the transfer efficiency is improved by about 1.19% compared with that of the traditional three-mode control, and the maximum transfer efficiency is 99.34%, which verifies the validity and feasibility of the proposed strategy and provides a new approach to the high-efficiency control and application of FSBB converters. Full article
Show Figures

Figure 1

17 pages, 8257 KB  
Article
High-Frequency High-Magnetic Flux Variation Foil Winding AC Inductor Design with the Vertical Penetrating Magnetic Field Elimination
by Jinxu Yang, Lin Tian and Xinke Wu
Electronics 2025, 14(2), 298; https://doi.org/10.3390/electronics14020298 - 13 Jan 2025
Cited by 2 | Viewed by 1307
Abstract
In traditional inductor design with planar windings, the magnetic field distribution may not be well-organized, leading to significant winding loss, particularly at high switching frequencies. This study explores the relationship between current distribution and magnetic field distribution in the winding region. Unlike conventional [...] Read more.
In traditional inductor design with planar windings, the magnetic field distribution may not be well-organized, leading to significant winding loss, particularly at high switching frequencies. This study explores the relationship between current distribution and magnetic field distribution in the winding region. Unlike conventional magnetic flux distribution, which directs a large portion of the magnetic field vertically through the windings in the winding region, this work introduces a structure that maintains most of the magnetic flux parallel to the foil windings through the application of quasi-distributed air gaps. This paper presents a design methodology for a high-frequency foil winding inductor with high flux variation. Building on this concept, a high-power density, low loss inductor with foil windings is designed based on the four-switch buck-boost (FSBB) converter. Experimental results demonstrate that the proposed inductor design significantly reduces winding loss in inductors with planar windings. Full article
Show Figures

Figure 1

21 pages, 7393 KB  
Article
An Isolated Bidirectional Soft-Switching DC-DC Converter for Wide Input/Output Voltage Range
by Giorgio Spiazzi, Leopoldo Rossetto, Paolo Mattavelli, Ezio Gallo and Filip Cvejic
Energies 2024, 17(23), 6121; https://doi.org/10.3390/en17236121 - 5 Dec 2024
Viewed by 1475
Abstract
This paper presents the analysis and design of an isolated bidirectional DC-DC converter for applications where both input and output voltages may vary in a wide range. The proposed topology is derived from the integration of an isolated Current-Fed Dual-Active-Bridge (CF-DAB) stage with [...] Read more.
This paper presents the analysis and design of an isolated bidirectional DC-DC converter for applications where both input and output voltages may vary in a wide range. The proposed topology is derived from the integration of an isolated Current-Fed Dual-Active-Bridge (CF-DAB) stage with a Four-Switch Buck-Boost cell (4SBB), sharing one switching leg. Detailed design procedures are outlined for both CF-DAB and 4SBB stages, allowing to achieve Zero-Voltage turn-on of all devices while minimizing the inductor current RMS values. An optimized design of the CF-DAB coupled inductors allowed to achieve the desired leakage inductance value without the need for an additional magnetic component. Experimental results taken on a 5 kW prototype interfacing two voltage ports with VL ∈ [42 V, 72 V], VH ∈ [225 V, 435 V] validate the proposed design procedure. Full article
Show Figures

Figure 1

22 pages, 9463 KB  
Article
A Novel Chaotic Particle Swarm Optimized Backpropagation Neural Network PID Controller for Four-Switch Buck–Boost Converters
by Luoyao Ren, Dazhi Wang, Xin Yan, Yupeng Zhang and Jiaxing Wang
Actuators 2024, 13(11), 464; https://doi.org/10.3390/act13110464 - 19 Nov 2024
Cited by 3 | Viewed by 1289
Abstract
The emergence of intelligent control strategies has made optimization techniques essential for the precise control of DC converters. This study aims to enhance the performance of the Four-Switch Buck–Boost (FSBB) converter through control system optimization. Backpropagation neural networks (BPNNs) have been widely used [...] Read more.
The emergence of intelligent control strategies has made optimization techniques essential for the precise control of DC converters. This study aims to enhance the performance of the Four-Switch Buck–Boost (FSBB) converter through control system optimization. Backpropagation neural networks (BPNNs) have been widely used for optimizing proportional–integral–derivative (PID) controllers. To further improve the FSBB control system, particle swarm optimization (PSO) is employed to optimize the BPNN, reducing dynamic response time and enhancing robustness. Despite these advantages, the PSO method still suffers from limitations, such as slow convergence and poor stability. To address these challenges, chaotic optimization algorithms are integrated with BPNN. The chaotic particle swarm optimization (CPSO) algorithm enhances the global search capability, enabling a faster system response and minimizing overvoltage. This hybrid CPSO-BPNN approach refines the optimization process, leading to more precise control of the FSBB converter. The simulation results show that the CPSO-BPNN-PID controller reaches a steady state more quickly and exhibits superior performance compared to traditional PID controllers. Full article
(This article belongs to the Section Control Systems)
Show Figures

Figure 1

16 pages, 6173 KB  
Article
Optimal Control of FSBB Converter with Aquila Optimizer-Based PID Controller
by Luoyao Ren, Dazhi Wang and Yupeng Zhang
Micromachines 2024, 15(10), 1277; https://doi.org/10.3390/mi15101277 - 21 Oct 2024
Cited by 2 | Viewed by 1513
Abstract
This paper presents a new methodology for determining the optimal coefficients of a PID controller for a four-switch buck–boost (FSBB) converter. The main objective of this research is to improve the performance of FSBB converters by fine-tuning the parameters of the PID controller [...] Read more.
This paper presents a new methodology for determining the optimal coefficients of a PID controller for a four-switch buck–boost (FSBB) converter. The main objective of this research is to improve the performance of FSBB converters by fine-tuning the parameters of the PID controller using the newly developed Aquila Optimizer (AO). PID controllers are widely recognized for their simple yet effective control in FSBB converters. However, to further improve the efficiency and reliability of the control system, the PID control parameters must be optimized. In this context, the application of the AO algorithm proves to be a significant advance. By optimizing the PID coefficients, the dynamic responsiveness of the system can be improved, thus reducing the response time. In addition, the robustness of the control system is enhanced, which is essential to ensure stable and reliable operation under varying conditions. The use of AOs plays a key role in maintaining system stability and ensuring the proper operation of the control system even under challenging conditions. In order to demonstrate the effectiveness and potential of the proposed method, the performance of the AO-optimized PID controller was compared with that of PID controllers tuned by other optimization algorithms in the same test environment. The results show that the AO outperforms the other optimization algorithms in terms of dynamic response and robustness, thus validating the efficiency and correctness of the proposed method. This work highlights the advantages of using the Aquila Optimizer in the PID tuning of FSBB converters, providing a promising solution for improving system performance. Full article
Show Figures

Figure 1

12 pages, 30418 KB  
Article
Optimization Control Strategy for Light Load Efficiency of Four-Switch Buck-Boost Converter
by Siyuan Gao, Fanghua Zhang and Hongxin Mei
World Electr. Veh. J. 2024, 15(10), 469; https://doi.org/10.3390/wevj15100469 - 14 Oct 2024
Cited by 2 | Viewed by 1908
Abstract
The four-switch buck-boost (FSBB) converter usually adopts a pseudo-continuous conduction mode (PCCM) soft switching (ZVS) control strategy, but there is a problem with the low efficiency of FSBB converters under light loads. Firstly, the constraints that the control variables of the FSBB converter [...] Read more.
The four-switch buck-boost (FSBB) converter usually adopts a pseudo-continuous conduction mode (PCCM) soft switching (ZVS) control strategy, but there is a problem with the low efficiency of FSBB converters under light loads. Firstly, the constraints that the control variables of the FSBB converter need to satisfy are analyzed, and it is pointed out that the fixed frequency constraint is not necessary. Then, the switching frequency is used to control the degree of freedom, and the quantitative relationship between the FSBB converter loss and the switching frequency is obtained. Finally, for different input voltages and loads, the switching frequency corresponding to the minimum power loss is calculated offline. By optimizing the switching frequency, the light-load efficiency of the FSBB converter is improved. A prototype with an input voltage range of 210 V–330 V, an output voltage of 270 V, and an output power of 3 kW was developed. The loss was reduced by 15% at 20% load, and the peak efficiency of the converter reached 99.23%. The experimental results verified the effectiveness of the proposed control strategy. Full article
Show Figures

Figure 1

19 pages, 7572 KB  
Article
Adaptive Neural Network Control of Four-Switch Buck–Boost Converters
by Luoyao Ren, Dazhi Wang and Yupeng Zhang
Actuators 2024, 13(9), 375; https://doi.org/10.3390/act13090375 - 23 Sep 2024
Cited by 1 | Viewed by 2024
Abstract
Based on the adaptive control structure of neural networks, this paper proposes a novel output voltage control strategy for DC converters. The strategy regulates the inductor current to maintain a constant voltage by adjusting the duty cycle of four-switch buck—boost (FSBB) converters. A [...] Read more.
Based on the adaptive control structure of neural networks, this paper proposes a novel output voltage control strategy for DC converters. The strategy regulates the inductor current to maintain a constant voltage by adjusting the duty cycle of four-switch buck—boost (FSBB) converters. A nonlinear average model for the FSBB converter, derived from its energy consumption, is introduced, and its effectiveness is demonstrated through simulations. The simulations confirm that the FSBB converter enables zero-voltage switching (ZVS) of the four switches across the entire operating voltage range. The comparative simulation results show that the proposed control strategy achieves faster voltage regulation while ensuring ZVS, leading to improved converter performance across the full power range. Full article
(This article belongs to the Section Control Systems)
Show Figures

Figure 1

21 pages, 10718 KB  
Article
Adaptive Fast Integral Terminal Sliding Mode Control Strategy Based on Four-Switch Buck–Boost Converters
by Borui Ma, Jiye Jiao and Zilong Ye
Energies 2024, 17(15), 3645; https://doi.org/10.3390/en17153645 - 24 Jul 2024
Cited by 1 | Viewed by 2019
Abstract
With the rapid development of electronic power systems, DC-DC converters are widely used, including the Four-Switch Buck–Boost (FSBB) converter, which has a unique advantage in scenarios with a wide range of voltage inputs. To improve the response speed and anti-interference capability of the [...] Read more.
With the rapid development of electronic power systems, DC-DC converters are widely used, including the Four-Switch Buck–Boost (FSBB) converter, which has a unique advantage in scenarios with a wide range of voltage inputs. To improve the response speed and anti-interference capability of the FSBB converter, this paper proposes an adaptive global fast integral terminal sliding mode control method. Through an in-depth analysis of the fundamental characteristics of the FSBB converter, this study employed a global fast integral terminal sliding mode controller combined with an adaptive algorithm to significantly improve the dynamic performance and robustness of the FSBB converter. The simulation and experimental results show that the proposed method could track the reference voltage quickly and accurately in different modes, exhibiting excellent system robustness compared to conventional sliding mode control, terminal sliding mode control, and PID control methods. Full article
Show Figures

Figure 1

22 pages, 8026 KB  
Article
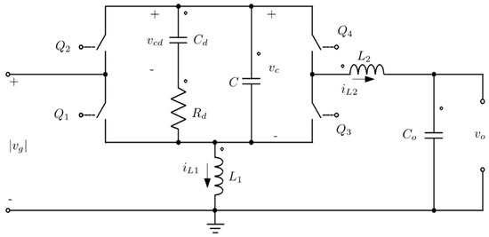
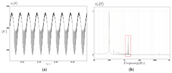
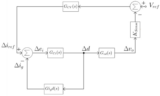
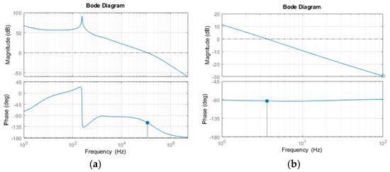
Analysis of AC DC Four-Switch Boost-Buck Battery Charger Converter for EV Applications
by Mahmoud Nassary, Enric Vidal-Idiarte and Javier Calvente
Appl. Sci. 2024, 14(14), 6262; https://doi.org/10.3390/app14146262 - 18 Jul 2024
Cited by 3 | Viewed by 1951
Abstract
This paper focuses on the analysis and control strategy of a four-switch boost-buck AC/DC converter utilized in power factor correction applications with a wide output voltage range. Given the increasing importance of electric vehicles and the need for high reliability, this study addresses [...] Read more.
This paper focuses on the analysis and control strategy of a four-switch boost-buck AC/DC converter utilized in power factor correction applications with a wide output voltage range. Given the increasing importance of electric vehicles and the need for high reliability, this study addresses the internal dynamic stability problem that can arise in the converter system. The analysis begins with a thorough examination of the system’s min-phase characteristic. Despite this, internal dynamic stability issues persist, requiring a solution to ensure a higher power factor and reliability. To address this challenge, this paper proposes the utilization of a damping RC circuit instead of reducing the loop gain bandwidth. To demonstrate the internal dynamic behavior of the converter, small-signal modeling is employed. This modeling highlights the importance of mitigating internal dynamic instability to achieve the desired power factor and reliability. This study emphasizes the significance of proper analysis and control strategies for boost-buck AC/DC converters in power factor correction applications. By addressing internal dynamic stability using a damping RC circuit, the converter can achieve a higher power factor and enhanced reliability, ultimately contributing to the development of more efficient and dependable EV systems. Finally, the feasibility of the proposed analysis and control strategy is confirmed through comprehensive simulations. The simulation results validate the effectiveness of using a damping RC circuit to address the internal dynamic stability problem, leading to an improved power factor and enhanced reliability. Full article
Show Figures

Figure 1

11 pages, 7848 KB  
Article
A 3-to-5 V Input, 80 Peak-to-Peak Voltage (Vpp) Output, 2.75% Total Harmonic Distortion Plus Noise (THD+N), 2.9 μF Load Piezoelectric Actuator Driver with Four-Switch Buck–Boost
by Rui Ye, Junbiao Chen, Shuxiang Dong and Bing Li
Actuators 2023, 12(9), 345; https://doi.org/10.3390/act12090345 - 28 Aug 2023
Viewed by 2398
Abstract
As human–computer interaction has become increasingly popular, haptic technology has become a research topic of great interest, since vibration perception, as a type of haptic feedback, can enhance user experience during an interaction. However, the high power consumption of existing drivers makes them [...] Read more.
As human–computer interaction has become increasingly popular, haptic technology has become a research topic of great interest, since vibration perception, as a type of haptic feedback, can enhance user experience during an interaction. However, the high power consumption of existing drivers makes them unsuitable for use in portable devices. In this paper, a bidirectional four-switch buck–boost converter (FSBBC) and Proportional–Integral (PI)–Proportional (P) feedback control are proposed to implement a driver in a high-capacitance piezoelectric actuator which is capable of recovering the energy stored in the high-capacitance load and increasing efficiency. The FSBBC offers an extended input voltage range, rendering significant technological advantages in diverse applications such as automobiles, laptops, and smartphones. By implementing specific control strategies, the FSBBC not only outperforms conventional buck–boost converters in boosting performance, but also ensures that the output and input voltages retain the same polarity. This effectively addresses the polarity inversion challenge inherent to traditional buck–boost circuits. Within the FSBBC, the significant reduction in voltage stress endured by the MOSFET effectively minimizes system costs and size and enhances reliability. The proposed system was simulated in Simulink, which was combined with testing on a field-programmable gate array (FPGA). The driver is capable of driving capacitors of up to 2.9 μF, with 80 Vpp output and 2.75% total harmonic distortion (THD) observed in the test. Full article
(This article belongs to the Special Issue Piezoelectric Ultrasonic Actuators and Motors)
Show Figures

Figure 1

16 pages, 5145 KB  
Article
Optimized Control of a Hybrid Water Pumping System Integrated with Solar Photovoltaic and Battery Storage: Towards Sustainable and Green Water-Power Supply
by Hale Bakır, Adel Merabet and Mohammadali Kiehbadroudinezhad
Energies 2023, 16(13), 5209; https://doi.org/10.3390/en16135209 - 6 Jul 2023
Cited by 12 | Viewed by 3982
Abstract
This article presents the modeling and optimization control of a hybrid water pumping system utilizing a brushless DC motor. The system incorporates battery storage and a solar photovoltaic array to achieve efficient water pumping. The solar array serves as the primary power source, [...] Read more.
This article presents the modeling and optimization control of a hybrid water pumping system utilizing a brushless DC motor. The system incorporates battery storage and a solar photovoltaic array to achieve efficient water pumping. The solar array serves as the primary power source, supplying energy to the water pump for full-volume water surrender. During unfavorable weather conditions or when the photovoltaic array is unable to meet the power demands of the water pump, the battery discharges only at night or during inadequate solar conditions. Additionally, the photovoltaic array can charge the battery on its own when water distribution is not necessary, negating the need for external power sources. A bi-directional charge control mechanism is employed to facilitate automatic switching between the operating modes of the battery, utilizing a buck-boost DC–DC converter. The study incorporates a control system with loops for battery control and DC voltage control within the bidirectional converter. The water cycle algorithm adjusts four control parameters by minimizing an objective function based on tracking errors. The water cycle optimization is compared to other methods based on overshoot and settling time values to evaluate its performance, showcasing its effectiveness in analyzing the results. Full article
(This article belongs to the Special Issue Advances in Solar Cells and Photocatalysis II)
Show Figures

Figure 1

Back to TopTop