Sign in to use this feature.

Years

Between: -

Subjects

remove_circle_outline
remove_circle_outline
remove_circle_outline
remove_circle_outline
remove_circle_outline
remove_circle_outline

Journals

Article Types

Countries / Regions

Search Results (15)

Search Parameters:
Keywords = first- and second-order Taylor’s series approximations

Order results
Result details
Results per page
Select all
Export citation of selected articles as:
24 pages, 1716 KB  
Article
Piecewise-Analytical Approximation Methods for Initial-Value Problems of Nonlinear, Ordinary Differential Equations: Part 2
by Juan I. Ramos
Mathematics 2025, 13(21), 3470; https://doi.org/10.3390/math13213470 (registering DOI) - 31 Oct 2025
Viewed by 30
Abstract
A variety of methods that provide approximate piecewise- analytical solutions to initial-value problems governed by scalar, nonlinear, first-order, ordinary differential equations is presented. The methods are based on fixing the independent variable in the right-hand side of these equations and approximating the resulting [...] Read more.
A variety of methods that provide approximate piecewise- analytical solutions to initial-value problems governed by scalar, nonlinear, first-order, ordinary differential equations is presented. The methods are based on fixing the independent variable in the right-hand side of these equations and approximating the resulting term by either its first- or second-order Taylor series expansion. It is shown that the second-order Taylor series approximation results in Riccati equations with constant coefficients, whereas the first-order one results in first-order, linear, ordinary differential equations. Both approximations are shown to result in explicit finite difference equations that are unconditionally linearly stable, and their local truncation errors are determined. It is shown that, for three of the nonlinear, first-order, ordinary differential equations studied in this paper that are characterized by growing or decaying solutions, as well as by solutions that first grow and then decrease, a second-order Taylor series expansion of the right-hand side of the differential equation evaluated at each interval’s midpoint results in the most accurate method; however, the accuracy of this method degrades substantially for problems that exhibit either blowup in finite time or quadratic approximations characterized by a negative radicand. It is also shown that methods based on either first- or second-order Taylor series expansion of the right-hand side of the differential equation evaluated at either the left or the right points of each interval have similar accuracy, except for one of the examples that exhibits blowup in finite time. It is also shown that both the linear and the quadratic approximation methods that use the midpoint for the independent variable in each interval exhibits the same trends as and have errors comparable to the second-order trapezoidal technique. Full article
(This article belongs to the Section C1: Difference and Differential Equations)
Show Figures

Figure 1

20 pages, 1078 KB  
Article
Piecewise Analytical Approximation Methods for Initial-Value Problems of Nonlinear Ordinary Differential Equations
by Juan I. Ramos
Mathematics 2025, 13(3), 333; https://doi.org/10.3390/math13030333 - 21 Jan 2025
Cited by 1 | Viewed by 2109
Abstract
Piecewise analytical solutions to scalar, nonlinear, first-order, ordinary differential equations based on the second-order Taylor series expansion of their right-hand sides that result in Riccati’s equations are presented. Closed-form solutions are obtained if the dependence of the right-hand side on the independent variable [...] Read more.
Piecewise analytical solutions to scalar, nonlinear, first-order, ordinary differential equations based on the second-order Taylor series expansion of their right-hand sides that result in Riccati’s equations are presented. Closed-form solutions are obtained if the dependence of the right-hand side on the independent variable is not considered; otherwise, the solution is given by convergent series. Discrete solutions also based on the second-order Taylor series expansion of the right-hand side and the discretization of the independent variable that result in algebraic quadratic equations are also reported. Both the piecewise analytical and discrete methods are applied to two singularly perturbed initial-value problems and the results are compared with the exact solution and those of linearization procedures, and implicit and explicit Taylor’s methods. It is shown that the accuracy of piecewise analytical techniques depends on the number of terms kept in the series expansion of the solution, whereas that of the discrete methods depends on the location where the coefficients are evaluated. For Riccati equations with constant coefficients, the piecewise analytical method presented here provides the exact solution; it also provides the exact solution for linear, first-order ordinary differential equations with constant coefficients. Full article
Show Figures

Figure 1

25 pages, 10302 KB  
Article
A New Constitutive Model Based on Taylor Series and Partial Derivatives for Predicting High-Temperature Flow Behavior of a Nickel-Based Superalloy
by Heping Deng, Xiaolong Wang, Jingyun Yang, Fanjiao Gongye, Shishan Li, Shixin Peng, Jiansheng Zhang, Guiqian Xiao and Jie Zhou
Materials 2024, 17(14), 3424; https://doi.org/10.3390/ma17143424 - 11 Jul 2024
Cited by 3 | Viewed by 1456
Abstract
Ni-based superalloys are widely used in aerospace applications. However, traditional constitutive equations often lack the necessary accuracy to predict their high-temperature behavior. A novel constitutive model, utilizing Taylor series expansions and partial derivatives, is proposed to predict the high-temperature flow behavior of a [...] Read more.
Ni-based superalloys are widely used in aerospace applications. However, traditional constitutive equations often lack the necessary accuracy to predict their high-temperature behavior. A novel constitutive model, utilizing Taylor series expansions and partial derivatives, is proposed to predict the high-temperature flow behavior of a nickel-based superalloy. Hot compression tests were conducted at various strain rates (0.01 s−1, 0.1 s−1, 1 s−1, and 10 s−1) and temperatures (850 °C to 1200 °C) to gather comprehensive experimental data. The performance of the new model was evaluated against classical models, specifically the Arrhenius and Hensel–Spittel (HS) models, using metrics such as the correlation coefficient (R), root mean square error (RMSE), sum of squared errors (SSE), and sum of absolute errors (SAE). The key findings reveal that the new model achieves superior prediction accuracy with an R value of 0.9948 and significantly lower RMSE (22.5), SSE (16,356), and SAE (5561 MPa) compared to the Arrhenius and HS models. Additionally, the stability of the first-order partial derivative of logarithmic stress with respect to temperature (lnσ/T) indicates that the logarithmic stress–temperature relationship can be approximated by a linear function with minimal curvature, which is effectively described by a second-degree polynomial. Furthermore, the relationship between logarithmic stress and logarithmic strain rate (lnσ/lnε˙) is more precisely captured using a third-degree polynomial. The accuracy of the new model provides an analytical basis for finite element simulation software. This helps better control and optimize processes, thus improving manufacturing efficiency and product quality. This study enables the optimization of high-temperature forming processes for current superalloy products, especially in aerospace engineering and materials science. It also provides a reference for future research on constitutive models and high-temperature material behavior in various industrial applications. Full article
Show Figures

Figure 1

20 pages, 3138 KB  
Article
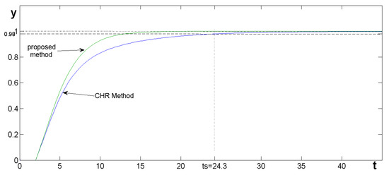
Tuning a PI/PID Controller with Direct Synthesis to Obtain a Non-Oscillatory Response of Time-Delayed Systems
by Krzysztof S. Kula
Appl. Sci. 2024, 14(13), 5468; https://doi.org/10.3390/app14135468 - 24 Jun 2024
Cited by 5 | Viewed by 4328
Abstract
The article presents a method for tuning PI/PID regulators controlling inertial time-delayed plants. The method was formulated on the basis of direct synthesis using the FOPDT (First-Order Plus Dead-Time) and the SOPDT (Second-Order Plus Dead-Time) models to represent the dynamics of the object. [...] Read more.
The article presents a method for tuning PI/PID regulators controlling inertial time-delayed plants. The method was formulated on the basis of direct synthesis using the FOPDT (First-Order Plus Dead-Time) and the SOPDT (Second-Order Plus Dead-Time) models to represent the dynamics of the object. The performance objective is to achieve the non-oscillatory response of the system in the shortest time possible while set-point tracking. By employing a novel approach to the synthesis of the control systems with a time delay based on a root-locus analysis, the method eliminates errors resulting from the omission of high-order terms in the Taylor series expansion or the Padé approximation in simplified mathematical descriptions of the process. Consequently, the proposed method makes it possible to precisely determine controller settings to achieve the set control objective. The method was tested with a computer simulation, and the results obtained were compared with those of other methods designed to ensure specific system responses in the designed control systems. The comparisons confirm the proposed method’s ability to achieve the desired reference response and demonstrate its effectiveness in overcoming the limitation of permissible time delays present in other similar methods. Full article
Show Figures

Figure 1

28 pages, 1230 KB  
Article
Robust Optimization with Interval Uncertainties Using Hybrid State Transition Algorithm
by Haochuan Zhang, Jie Han, Xiaojun Zhou and Yuxuan Zheng
Electronics 2023, 12(14), 3035; https://doi.org/10.3390/electronics12143035 - 11 Jul 2023
Cited by 3 | Viewed by 2417
Abstract
Robust optimization is concerned with finding an optimal solution that is insensitive to uncertainties and has been widely used in solving real-world optimization problems. However, most robust optimization methods suffer from high computational costs and poor convergence. To alleviate the above problems, an [...] Read more.
Robust optimization is concerned with finding an optimal solution that is insensitive to uncertainties and has been widely used in solving real-world optimization problems. However, most robust optimization methods suffer from high computational costs and poor convergence. To alleviate the above problems, an improved robust optimization algorithm is proposed. First, to reduce the computational cost, the second-order Taylor series surrogate model is used to approximate the robustness indices. Second, to strengthen the convergence, the state transition algorithm is studied to explore the whole search space for candidate solutions, while sequential quadratic programming is adopted to exploit the local area. Third, to balance the robustness and optimality of candidate solutions, a preference-based selection mechanism is investigated which effectively determines the promising solution. The proposed robust optimization method is applied to obtain the optimal solutions of seven examples that are subject to decision variables and parameter uncertainties. Comparative studies with other robust optimization algorithms (robust genetic algorithm, Kriging metamodel-assisted robust optimization method, etc.) show that the proposed method can obtain accurate and robust solutions with less computational cost. Full article
(This article belongs to the Special Issue Advances in Artificial Intelligence Engineering)
Show Figures

Figure 1

22 pages, 10687 KB  
Article
Dynamic Characteristics of a Composite Beam with Viscoelastic Layers under Uncertain-But-Bounded Design Parameters
by Magdalena Łasecka-Plura
Appl. Sci. 2023, 13(11), 6473; https://doi.org/10.3390/app13116473 - 25 May 2023
Cited by 6 | Viewed by 1733
Abstract
In this study, dynamic characteristics of a composite beam with uncertain design parameters are analyzed. Uncertain-but-bounded parameters change only within certain specified limits. This study uses interval analysis to investigate a composite beam with viscoelastic layers whose behavior is described using the fractional [...] Read more.
In this study, dynamic characteristics of a composite beam with uncertain design parameters are analyzed. Uncertain-but-bounded parameters change only within certain specified limits. This study uses interval analysis to investigate a composite beam with viscoelastic layers whose behavior is described using the fractional Zener model. In general, parameters describing both elastic and viscoelastic layers can be uncertain. Several methods have been studied to determine the lower and upper bounds of the dynamic characteristics of a structure. Among them, the vertex method is a comparative method in which the lower and upper bounds of the dynamic characteristics are approximated using the first- and second-order Taylor series expansion. An algorithm to determine the critical combination of uncertain design parameters has also been described. Numerical examples demonstrate the effectiveness of the presented methods and the possibility of applying them to the analysis of systems with numerous uncertain parameters and high uncertainties. Full article
(This article belongs to the Special Issue Composite Structures - Modelling, Testing and Manufacturing)
Show Figures

Figure 1

26 pages, 87339 KB  
Article
The Quadratic Constitutive Model Based on Partial Derivative and Taylor Series of Ti6242s Alloy and Predictability Analysis
by Jiansheng Zhang, Guiqian Xiao, Guoyong Deng, Yancheng Zhang and Jie Zhou
Materials 2023, 16(7), 2928; https://doi.org/10.3390/ma16072928 - 6 Apr 2023
Cited by 4 | Viewed by 1758
Abstract
To solve the problem of insufficient predictability in the classical models for the Ti6242s alloy, a new constitutive model was proposed, based on the partial derivatives from experimental data and the Taylor series. Firstly, hot compression experiments on the Ti6242s alloy at different [...] Read more.
To solve the problem of insufficient predictability in the classical models for the Ti6242s alloy, a new constitutive model was proposed, based on the partial derivatives from experimental data and the Taylor series. Firstly, hot compression experiments on the Ti6242s alloy at different temperatures and different strain rates were carried out, and the Arrhenius model and Hensel–Spittel model were constructed. Secondly, the partial derivatives of logarithmic stress with respect to temperature and logarithmic strain rate at low, medium and high strain levels were analyzed. Thirdly, two new constitutive models with first- and second-order approximation were proposed to meet the requirements of high precision. In this new model, by analyzing the high-order differential data of experimental data and combining the Taylor series theory, the minimum number of terms that can accurately approximate the experimental rheological data was found, thereby achieving an accurate prediction of flow stress with minimal material parameters. In the new model, by analyzing the high-order differential of the experimental data and combining the theory of the Taylor series, the minimum number of terms that can accurately approximate the experimental rheological data was found, thereby achieving an accurate prediction of flow stress with minimal material parameters. Finally, the prediction accuracies for the classical model and the new model were compared, and the predictabilities for the classical models and the new model were proved by mathematical means. The results show that the prediction accuracies of the Arrhenius model and the Hensel–Spittel model are low in the single-phase region and high in the two-phase region. In addition, second-order approximation is required between the logarithmic stress and logarithmic strain rate, and first-order approximation is required between logarithmic stress and temperature to establish a high-precision model. The order of prediction accuracy of the four models from high to low is the quadratic model, Arrhenius model, linear model and HS model. The prediction accuracy of the quadratic model in all temperatures and strain rates had no significant difference, and was higher than the other models. The quadratic model can greatly improve prediction accuracy without significantly increasing the material parameters. Full article
(This article belongs to the Special Issue Research on Forming and Serving Performance of Advanced Alloys)
Show Figures

Figure 1

52 pages, 5140 KB  
Article
Radial Based Approximations for Arcsine, Arccosine, Arctangent and Applications
by Roy M. Howard
AppliedMath 2023, 3(2), 343-394; https://doi.org/10.3390/appliedmath3020019 - 4 Apr 2023
Cited by 2 | Viewed by 3350
Abstract
Based on the geometry of a radial function, a sequence of approximations for arcsine, arccosine and arctangent are detailed. The approximations for arcsine and arccosine are sharp at the points zero and one. Convergence of the approximations is proved and the convergence is [...] Read more.
Based on the geometry of a radial function, a sequence of approximations for arcsine, arccosine and arctangent are detailed. The approximations for arcsine and arccosine are sharp at the points zero and one. Convergence of the approximations is proved and the convergence is significantly better than Taylor series approximations for arguments approaching one. The established approximations can be utilized as the basis for Newton-Raphson iteration and analytical approximations, of modest complexity, and with relative error bounds of the order of 1016, and lower, can be defined. Applications of the approximations include: first, upper and lower bounded functions, of arbitrary accuracy, for arcsine, arccosine and arctangent. Second, approximations with significantly higher accuracy based on the upper or lower bounded approximations. Third, approximations for the square of arcsine with better convergence than well established series for this function. Fourth, approximations to arccosine and arcsine, to even order powers, with relative errors that are significantly lower than published approximations. Fifth, approximations for the inverse tangent integral function and several unknown integrals. Full article
Show Figures

Figure 1

12 pages, 2287 KB  
Article
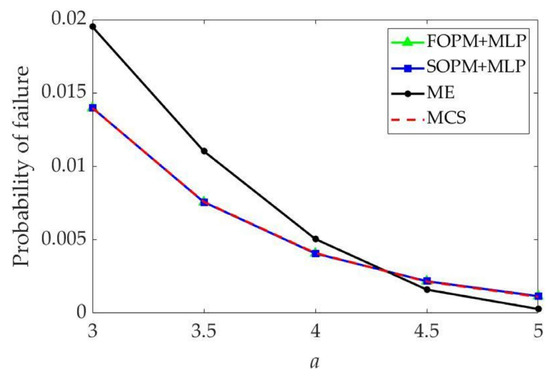
An Efficient High-Order-Moment-Based Reliability Method Combining the Maximum Likelihood Point and Cubic Normal Transformation
by Shuang Cao and Hao Lu
Machines 2022, 10(12), 1140; https://doi.org/10.3390/machines10121140 - 1 Dec 2022
Cited by 1 | Viewed by 2023
Abstract
Moment-based methods can measure the safety degrees of mechanical systems affected by unavoidable uncertainties, utilizing only the statistical moments of random variables for reliability analysis. For the conventional derivation of the first four statistical moments based on the second-order Taylor expansion series evaluated [...] Read more.
Moment-based methods can measure the safety degrees of mechanical systems affected by unavoidable uncertainties, utilizing only the statistical moments of random variables for reliability analysis. For the conventional derivation of the first four statistical moments based on the second-order Taylor expansion series evaluated at the most likelihood point (MLP), skewness and kurtosis involve the higher fourth raw moments of random variables and thus are unfavorable for engineering applications. This paper develops new computing formulae for the first four statistical moments which require only the first four central moments of random variables, and the probability distribution of the performance function is approximated using cubic normal transformation. Several numerical examples are given to demonstrate the accuracy of the proposed methods. Comparisons of the two proposed approaches and the maximum entropy method (ME) are also made regarding reliability assessment. Full article
(This article belongs to the Section Machine Design and Theory)
Show Figures

Figure 1

17 pages, 347 KB  
Article
An Optimal Iterative Technique for Multiple Root Finder of Nonlinear Problems
by Ramandeep Behl, Sonia Bhalla, Fouad Mallawi and Majed Aali Alsulami
Math. Comput. Appl. 2022, 27(5), 74; https://doi.org/10.3390/mca27050074 - 29 Aug 2022
Cited by 1 | Viewed by 1897
Abstract
In this paper, an optimal higher-order iterative technique to approximate the multiple roots of a nonlinear equation has been presented. The proposed technique has special properties: a two-point method that does not involve any derivatives, has an optimal convergence of fourth-order, is cost-effective, [...] Read more.
In this paper, an optimal higher-order iterative technique to approximate the multiple roots of a nonlinear equation has been presented. The proposed technique has special properties: a two-point method that does not involve any derivatives, has an optimal convergence of fourth-order, is cost-effective, is more stable, and has better numerical results. In addition to this, we adopt the weight function approach at both substeps (which provide us with a more general form of two-point methods). Firstly, the convergence order is studied for multiplicity m=2,3 by Taylor’s series expansion and then general convergence for m4 is proved. We have demonstrated the applicability of our methods to six numerical problems. Out of them: the first one is the well-known Van der Waals ideal gas problem, the second one is used to study the blood rheology model, the third one is chosen from the linear algebra (namely, eigenvalue), and the remaining three are academic problems. We concluded on the basis of obtained CPU timing, computational order of convergence, and absolute errors between two consecutive iterations for which our methods illustrate better results as compared to earlier studies. Full article
18 pages, 2808 KB  
Article
Linear Pseudospectral Method with Chebyshev Collocation for Optimal Control Problems with Unspecified Terminal Time
by Yang Li, Wanchun Chen and Liang Yang
Aerospace 2022, 9(8), 458; https://doi.org/10.3390/aerospace9080458 - 20 Aug 2022
Cited by 5 | Viewed by 2671
Abstract
In this paper, a linear Chebyshev pseudospectral method (LCPM) is proposed to solve the nonlinear optimal control problems (OCPs) with hard terminal constraints and unspecified final time, which uses Chebyshev collocation scheme and quasi-linearization. First, Taylor expansion around the nonlinear differential equations of [...] Read more.
In this paper, a linear Chebyshev pseudospectral method (LCPM) is proposed to solve the nonlinear optimal control problems (OCPs) with hard terminal constraints and unspecified final time, which uses Chebyshev collocation scheme and quasi-linearization. First, Taylor expansion around the nonlinear differential equations of the system is used to obtain a set of linear perturbation equations. Second, the first-order necessary conditions for OCPs with these linear equations and unspecified terminal time are derived, which provide the successive correction formulas of control and terminal time. Traditionally, these formulas are linear time varying and cannot be solved in an analytical manner. Third, Lagrange interpolation, whose supporting points are orthogonal Chebyshev–Gauss–Lobatto (CGL), is employed to discretize the resulting problem. Therefore, a series of analytical correction formulas are successfully derived in approximating polynomial space. It should be noted that Chebyshev approximation is close to the best polynomial approximation, and CGL points can be solved in closed form. Finally, LCPM is applied to the air-to-ground missile guidance problem. The simulation results show that it has high computational efficiency and convergence rate. A comparison with the other typical OCP solvers is provided to verify the optimality of the proposed algorithm. In addition, the results of Monte Carlo simulations are presented, which show that the proposed algorithm has strong robustness and stability. Therefore, the proposed method has potential to be onboard application. Full article
(This article belongs to the Special Issue Recent Advances in Spacecraft Dynamics and Control)
Show Figures

Figure 1

23 pages, 613 KB  
Article
Two New Models for Dynamic Linear Elastic Beams and Simplifications for Double Symmetric Cross-Sections
by Erick Pruchnicki
Symmetry 2022, 14(6), 1093; https://doi.org/10.3390/sym14061093 - 26 May 2022
Cited by 2 | Viewed by 2074
Abstract
We present two new models for dynamic beams deduced from three dimensional theory of linear elasticity. The first model is deduced from virtual work considered for small beam sections. For the second model, we suppose a Taylor-Young expansion of the displacement field up [...] Read more.
We present two new models for dynamic beams deduced from three dimensional theory of linear elasticity. The first model is deduced from virtual work considered for small beam sections. For the second model, we suppose a Taylor-Young expansion of the displacement field up to the fourth order in transverse dimensions of the beam. We consider the Fourier series expansion for considering Neumann lateral boundary conditions together with dynamical equations, we obtain a system of fifteen vector equations with the fifteen coefficients vector unknown of the displacement field. For beams with two fold symmetric cross sections commonly used (for example circular, square, rectangular, elliptical…), a unique decomposition of any three-dimensional loads is proposed and the symmetries of these loads is introduced. For these two theories, we show that the initial problem decouples into four subproblems. For an orthotropic material, these four subproblems are completely independent. For a monoclinic material, two subproblems are coupled and independent of the two other coupled subproblems. For the first model, we also give the detailed expression of these four subproblems when we consider the approximation of the displacement field used in the second model. Full article
(This article belongs to the Special Issue Symmetry in Modeling and Analysis of Dynamic Systems II)
Show Figures

Figure 1

44 pages, 8758 KB  
Article
Arbitrarily Accurate Analytical Approximations for the Error Function
by Roy M. Howard
Math. Comput. Appl. 2022, 27(1), 14; https://doi.org/10.3390/mca27010014 - 9 Feb 2022
Cited by 10 | Viewed by 5920
Abstract
A spline-based integral approximation is utilized to define a sequence of approximations to the error function that converge at a significantly faster manner than the default Taylor series. The real case is considered and the approximations can be improved by utilizing the approximation [...] Read more.
A spline-based integral approximation is utilized to define a sequence of approximations to the error function that converge at a significantly faster manner than the default Taylor series. The real case is considered and the approximations can be improved by utilizing the approximation erf(x)1 for |x|>xo and with xo optimally chosen. Two generalizations are possible; the first is based on demarcating the integration interval into m equally spaced subintervals. The second, is based on utilizing a larger fixed subinterval, with a known integral, and a smaller subinterval whose integral is to be approximated. Both generalizations lead to significantly improved accuracy. Furthermore, the initial approximations, and those arising from the first generalization, can be utilized as inputs to a custom dynamic system to establish approximations with better convergence properties. Indicative results include those of a fourth-order approximation, based on four subintervals, which leads to a relative error bound of 1.43 × 10−7 over the interval [0, ]. The corresponding sixteenth-order approximation achieves a relative error bound of 2.01 × 10−19. Various approximations that achieve the set relative error bounds of 10−4, 10−6, 10−10, and 10−16, over [0, ], are specified. Applications include, first, the definition of functions that are upper and lower bounds, of arbitrary accuracy, for the error function. Second, new series for the error function. Third, new sequences of approximations for exp(x2) that have significantly higher convergence properties than a Taylor series approximation. Fourth, the definition of a complementary demarcation function eC(x) that satisfies the constraint eC2(x)+erf2(x)=1. Fifth, arbitrarily accurate approximations for the power and harmonic distortion for a sinusoidal signal subject to an error function nonlinearity. Sixth, approximate expressions for the linear filtering of a step signal that is modeled by the error function. Full article
(This article belongs to the Collection Feature Papers in Mathematical and Computational Applications)
Show Figures

Figure 1

21 pages, 975 KB  
Article
AN-Aided Secure Beamforming in Power-Splitting-Enabled SWIPT MIMO Heterogeneous Wireless Sensor Networks
by Weili Ge, Zhengyu Zhu, Wanming Hao, Yi Wang, Zhongyong Wang, Qiong Wu and Zheng Chu
Electronics 2019, 8(4), 459; https://doi.org/10.3390/electronics8040459 - 25 Apr 2019
Cited by 4 | Viewed by 3648
Abstract
In this paper, we investigate the physical layer security in a two-tier heterogeneous wireless sensor network (HWSN) depending on simultaneous wireless information and power transfer (SWIPT) approach for multiuser multiple-input multiple-output wiretap channels with artificial noise (AN) transmission, where a more general system [...] Read more.
In this paper, we investigate the physical layer security in a two-tier heterogeneous wireless sensor network (HWSN) depending on simultaneous wireless information and power transfer (SWIPT) approach for multiuser multiple-input multiple-output wiretap channels with artificial noise (AN) transmission, where a more general system framework of HWSN only includes a macrocell and a femtocell. For the sake of implementing security enhancement and green communications, the joint optimization problem of the secure beamforming vector at the macrocell and femtocell, the AN vector, and the power splitting ratio is modeled to maximize the minimal secrecy capacity of the wiretapped macrocell sensor nodes (M-SNs) while considering the fairness among multiple M-SNs. To reduce the performance loss of the rank relaxation from the SDR technique while solving the non-convex max–min program, we apply successive convex approximation (SCA) technique, first-order Taylor series expansion and sequential parametric convex approximation (SPCA) approach to transform the max–min program to a second order cone programming (SOCP) problem to iterate to a near-optimal solution. In addition, we propose a novel SCA-SPCA-based iterative algorithm while its convergence property is proved. The simulation shows that our SCA-SPCA-based method outperforms the conventional methods. Full article
Show Figures

Figure 1

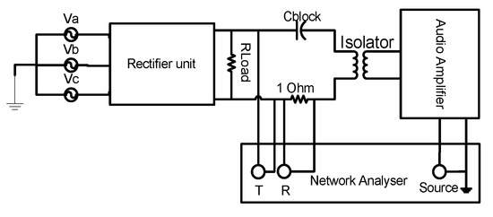
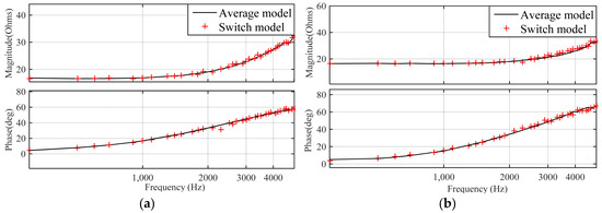
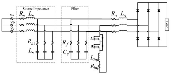
19 pages, 6333 KB  
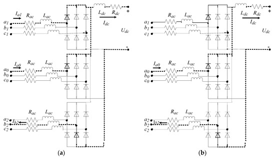
Article
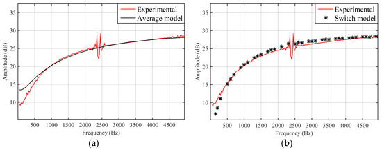
AC and DC Impedance Extraction for 3-Phase and 9-Phase Diode Rectifiers Utilizing Improved Average Mathematical Models
by Shahbaz Khan, Xiaobin Zhang, Bakht Muhammad Khan, Husan Ali, Haider Zaman and Muhammad Saad
Energies 2018, 11(3), 550; https://doi.org/10.3390/en11030550 - 5 Mar 2018
Cited by 6 | Viewed by 4309
Abstract
Switching models possess discontinuous and nonlinear behavior, rendering difficulties in simulations in terms of time consumption and computational complexity, leading to mathematical instability and an increase in its vulnerability to errors. This issue can be countered by averaging detailed models over the entire [...] Read more.
Switching models possess discontinuous and nonlinear behavior, rendering difficulties in simulations in terms of time consumption and computational complexity, leading to mathematical instability and an increase in its vulnerability to errors. This issue can be countered by averaging detailed models over the entire switching period. An attempt is made for deriving improved dynamic average models of three phase (six-pulse) and nine phase (18-pulse) diode rectifiers by approximating load current through first order Taylor series. Small signal AC/DC impedances transfer functions of the average models are obtained using a small signal current injection technique in Simulink, while transfer functions are obtained through identification of the frequency response into the second order system. For the switch models in Simulink and the experimental setup, a small signal line to line shunt current injection technique is used and the obtained frequency response is then identified into second order systems. Sufficient matching among these results proves the validity of the modelling procedure. Exact impedances of the integral parts, in interconnected AC/DC/AC systems, are required for determining the stability through input-output impedances. Full article
Show Figures

Figure 1

Back to TopTop