Sign in to use this feature.

Years

Between: -

Subjects

remove_circle_outline
remove_circle_outline
remove_circle_outline
remove_circle_outline
remove_circle_outline
remove_circle_outline
remove_circle_outline
remove_circle_outline
remove_circle_outline

Journals

remove_circle_outline
remove_circle_outline
remove_circle_outline
remove_circle_outline
remove_circle_outline
remove_circle_outline
remove_circle_outline
remove_circle_outline
remove_circle_outline

Article Types

Countries / Regions

remove_circle_outline
remove_circle_outline
remove_circle_outline
remove_circle_outline
remove_circle_outline
remove_circle_outline
remove_circle_outline

Search Results (1,609)

Search Parameters:
Keywords = fermentative microorganisms

Order results
Result details
Results per page
Select all
Export citation of selected articles as:
22 pages, 992 KB  
Review
Bioprotective and Technological Roles of Lactic Acid Bacteria in Reduced-Sodium Fermented Sausages
by Marcello Lima Bertuci, Camila Vespúcio Bis Souza, Carlos Alberto Alves, Svetoslav Dimitrov Todorov, Ana Lúcia Barretto Penna and Andrea Carla da Silva Barretto
Foods 2025, 14(21), 3758; https://doi.org/10.3390/foods14213758 (registering DOI) - 1 Nov 2025
Abstract
Fermented sausages are popular worldwide due to their sensory and nutritional characteristics, as well as their convenience for storage and consumption. The production and consumption of meat products are associated with negative impacts from the risks of high sodium intake, such as cardiovascular [...] Read more.
Fermented sausages are popular worldwide due to their sensory and nutritional characteristics, as well as their convenience for storage and consumption. The production and consumption of meat products are associated with negative impacts from the risks of high sodium intake, such as cardiovascular disease and hypertension. Salt (NaCl) plays an important role in the preservation, water loss during drying, reduction in water activity, and sensory characteristics of meat and other fermented food products. NaCl reduction is considered a challenge because it affects the sensory properties of meat and can compromise the safety and microbiological parameters related to the spoilage of the fermented meat product. The use of microorganisms, such as LAB, has been studied as an innovative way to substitute traditional preservatives. They produce various metabolites, including bioactive and antimicrobial substances that are actively involved in health benefits and guarantee the safety of meat products. These natural substances produced by bacteria extend shelf life by inhibiting spoilage and pathogenic microorganisms. This review discusses the potential application of lactic acid bacteria in the reformulation of fermented sausages, challenges, and beneficial effects on sensorial, safety, and health properties. Full article
Show Figures

Figure 1

24 pages, 6402 KB  
Review
Probiotics, Prebiotics and Synbiotics for Combating Antimicrobial Resistance in the Food Chain
by Slavica Vesković Moračanin, Bojana Danilović, Milan Milijašević, Jelena Babić Milijašević, Zoran Tambur and Milica Moračanin
Processes 2025, 13(11), 3483; https://doi.org/10.3390/pr13113483 - 30 Oct 2025
Viewed by 332
Abstract
The increasing prevalence of antimicrobial resistance (AMR) among foodborne pathogens has emerged as a critical global health concern, undermining the efficacy of conventional antimicrobial agents and threatening the safety and integrity of the food supply chain. In response, probiotics, prebiotics, and their combinations [...] Read more.
The increasing prevalence of antimicrobial resistance (AMR) among foodborne pathogens has emerged as a critical global health concern, undermining the efficacy of conventional antimicrobial agents and threatening the safety and integrity of the food supply chain. In response, probiotics, prebiotics, and their combinations as synbiotics are increasingly recognised as sustainable, health-oriented strategies to mitigate AMR across the food chain. Probiotics—live microorganisms that, when administered in adequate amounts, confer health benefits to the host—contribute to AMR mitigation through multiple mechanisms, including competitive exclusion of resistant pathogens, production of antimicrobial metabolites (e.g., bacteriocins and organic acids), modulation of host immunity, and restoration of gut microbial balance. Prebiotics, defined as non-digestible food ingredients, selectively stimulate the growth and/or metabolic activity of beneficial bacteria such as Lactobacillus and Bifidobacterium spp., thereby reinforcing colonisation resistance. When combined as synbiotics, these agents may exert synergistic effects, enhancing microbial resilience, promoting gut health, and reducing the colonisation and persistence of AMR-related pathogens. The integration of these bio-based approaches into food systems—particularly in the development of fermented and functional foods—supports broader One Health objectives by reducing the need for antibiotics and contributing to global AMR containment efforts. This review summarises current scientific insights, explores practical applications, and outlines future perspectives on the role of probiotics, prebiotics, and synbiotics in combating AMR throughout the food chain. Full article
Show Figures

Figure 1

18 pages, 2475 KB  
Article
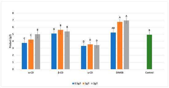
Investigation on Applying Cyclodextrins in a Fermentation Process for Enhanced Biosurfactant Production by Bacillus licheniformis
by Jesse John Sakiyo and Áron Németh
Int. J. Mol. Sci. 2025, 26(21), 10518; https://doi.org/10.3390/ijms262110518 - 29 Oct 2025
Viewed by 109
Abstract
Biosurfactants are environmentally friendly alternatives for chemical surfactants and have a broad spectrum of applications in different industries such as cosmetics, oleochemistry, pharmaceuticals, and detergents. It has been established that Bacillus licheniformis produces several lipopeptide-type biosurfactants, including lichenysin and iturin. However, in order [...] Read more.
Biosurfactants are environmentally friendly alternatives for chemical surfactants and have a broad spectrum of applications in different industries such as cosmetics, oleochemistry, pharmaceuticals, and detergents. It has been established that Bacillus licheniformis produces several lipopeptide-type biosurfactants, including lichenysin and iturin. However, in order to enhance the biosurfactant production by Bacillus licheniformis, it is necessary to either extend the already performed media optimization to circumvent the current limitations or defeat the product inhibition. Cyclic oligosaccharides made of glucose monomers called cyclodextrins (CD) have been shown to improve the biomass synthesis of other microorganisms, which may also increase the output of biosurfactants. The efficient fermentative production of biosurfactants is often limited by the inhibitory/toxic effect of the product on the producer cells itself. Therefore, in this work, we demonstrated that CDs may entrap biosurfactants from the broth, decreasing product inhibition. Thus, we also tested the media supplementation with three different types of cyclodextrins including alpha-, beta-, and gamma-CD and a derivative (dimethyl-beta-cyclodextrin, DIMEB); notably, DIMEB at 2.0 g/L enhanced biosurfactant production by up to 41.43% and specific product formation (g product/g cells) by 79,6% compared to the control, while mitigating the growth inhibition observed at lower concentrations. This study demonstrates, for the first time, the distinct advantage of DIMEB over native CDs in reducing product toxicity and boosting biosurfactant yields, highlighting its potential as a simple additive strategy for improving sustainable bioprocesses. Full article
(This article belongs to the Special Issue Cyclodextrins: Properties and Applications, 3rd Edition)
Show Figures

Figure 1

21 pages, 862 KB  
Article
Polyphasic Characterisation of Microbiota Associated with Sant’Agostino Table Olives Flavoured with Foeniculum vulgare
by Antonio Alfonzo, Raimondo Gaglio, Davide Alongi, Elena Franciosi, Giulio Perricone, Giuliana Garofalo, Rosario Prestianni, Vincenzo Naselli, Antonino Pirrone, Nicola Francesca, Giancarlo Moschetti and Luca Settanni
Foods 2025, 14(21), 3689; https://doi.org/10.3390/foods14213689 - 29 Oct 2025
Viewed by 290
Abstract
Sant’Agostino green table olives, traditionally processed in Apulia and flavoured with Foeniculum vulgare, represent a niche product whose microbial ecology remains largely unexplored. This study aimed to characterise the microbiota of the final product (both brine and fruit) after six months of [...] Read more.
Sant’Agostino green table olives, traditionally processed in Apulia and flavoured with Foeniculum vulgare, represent a niche product whose microbial ecology remains largely unexplored. This study aimed to characterise the microbiota of the final product (both brine and fruit) after six months of storage with wild fennel. Four production batches were analysed using a combined culture-dependent and culture-independent approach. Microbiological counts revealed variable levels of aerobic mesophilic microorganisms, yeasts, lactic acid bacteria (LAB), and staphylococci, with yeasts and LAB being predominant. Ten LAB strains were identified, including Enterococcus faecium, Leuconostoc mesenteroides subsp. jonggajibkimchii, Leuconostoc mesenteroides subsp. cremoris, Leuconostoc pseudomesenteroides, Lactiplantibacillus plantarum, and Lactiplantibacillus pentosus. Yeast isolates belonged to Candida tropicalis, Torulaspora delbrueckii, and Saccharomyces cerevisiae. Amplicon sequencing (MiSeq Illumina) revealed distinct bacterial profiles between fruit and brine samples, with taxa from Actinobacteria, Bacteroidetes, Enterococcus, Lactobacillus, Leuconostoc, Alphaproteobacteria, Enterobacteriaceae, and other Gammaproteobacteria. Enterococcus and Leuconostoc were consistently detected, while Lactobacillus sensu lato appeared only in one fruit and one brine sample. These findings provide new insights into the microbial diversity of Sant’Agostino olives and contribute to the understanding of their fermentation ecology and potential for quality and safety enhancement. Full article
(This article belongs to the Special Issue Changes in Microbial Community Structure of Fermented Food)
Show Figures

Figure 1

35 pages, 2131 KB  
Review
Harnessing Bioelectrochemical and Anaerobic Systems for the Degradation of Bioplastics: Application Potential and Future Directions
by Shuyao Wang, Abid Hussain, Xunchang Fei, Kaushik Venkiteshwaran and Vijaya Raghavan
Fermentation 2025, 11(11), 610; https://doi.org/10.3390/fermentation11110610 - 27 Oct 2025
Viewed by 624
Abstract
As the environmental burden of traditional plastics continues to grow, bioplastics (BPs) have emerged as a promising alternative due to their renewable origins and potential for biodegradability. However, the most popular anaerobic systems (ASs)—anaerobic digestion (AD), acidogenic fermentation (AF), and enzyme hydrolysis (EH)—for [...] Read more.
As the environmental burden of traditional plastics continues to grow, bioplastics (BPs) have emerged as a promising alternative due to their renewable origins and potential for biodegradability. However, the most popular anaerobic systems (ASs)—anaerobic digestion (AD), acidogenic fermentation (AF), and enzyme hydrolysis (EH)—for BPs degradation still face many challenges, e.g., low degradation efficiency, process instability, etc. As a sustainable clean energy technology, bioelectrochemical systems (BESs) have demonstrated strong potential in the treatment of complex organic waste when integrated with ASs. Nevertheless, research on the synergistic degradation of BPs using BES-ASs remains relatively limited. This review systematically summarizes commonly used anaerobic degradation methods for BPs, along with their advantages and limitations, and highlights the BES-AS as an innovative strategy to enhance BPs degradation efficiency. BESs can accelerate the decomposition of complex polymer structures through the activity of electroactive microorganisms, while also offering benefits such as energy recovery and real-time process monitoring. When coupled with anaerobic digestion, the BES-AS demonstrates significant synergistic effects, improving degradation efficiency and promoting the production of high-value-added products such as volatile fatty acids (VFAs) and biogas, thereby showing great application potential. This review outlines current research progress, identifies key knowledge gaps in mechanism elucidation, system design, source recovery, etc., and proposes future research directions. These include system optimization, microbial community engineering, development of advanced electrode materials, and omics-based mechanistic studies. Advancing multidisciplinary integration is expected to accelerate the practical application of BES-ASs in BP waste management and contribute to achieving the goals of sustainability, efficiency, and circular utilization. Full article
Show Figures

Figure 1

21 pages, 3318 KB  
Article
Multi-Metaomics Unveils the Development Process of Microbial Communities During the Fermentation of Baobaoqu
by Qingchun Luo, Xi Li, Jianghua Li, Yanping Lu, Jian Chen, Jian Su, Dong Zhao, Jiao Hu, Xia Zhang, Pengju Zhao, Zhu Zhang, Qingmei Zhang, Xuejun Lei, Jinhe Bai, Jia Zheng and Xinrui Zhao
Foods 2025, 14(21), 3657; https://doi.org/10.3390/foods14213657 - 27 Oct 2025
Viewed by 282
Abstract
In order to understand the dynamic interaction process among species, enzymes, and metabolites during the fermentation process of Baobaoqu, which is a representative Daqu starter for Chinese baijiu, the intimate connection between the progression of microbial communities and the diversities and activities of [...] Read more.
In order to understand the dynamic interaction process among species, enzymes, and metabolites during the fermentation process of Baobaoqu, which is a representative Daqu starter for Chinese baijiu, the intimate connection between the progression of microbial communities and the diversities and activities of enzymes was examined by metagenomics, metatranscriptomics and metaproteomics. It was found that while 5211 species of microorganisms were detected by metagenomics, only 1774 active species were detected by metatranscriptomics, which indicated that only a small proportion (34.04%) were active. The metabolic routes associated with the breakdown of substrates and synthesis of metabolites were redesigned, and the special functional microorganisms for lactate, pyrazines and phenylethyl alcohol production were isolated. It was found that the progression of the microbial community was highly coupled with the components of enzymes and flavor substrates, precisely corresponding to the three stages of the Baobaoqu fermentation process, and were regulated by multiple physical factors. During the Baobaoqu-making process of the fermentation, microorganisms with different functions work together to complete metabolism in different stages. These findings will aid us in gaining a deeper and clearer understanding of the “species–enzyme–metabolite” system within the Daqu starter culture, thus offering valuable perspectives for developing artificial synthetic communities and the production of high-quality Baobaoqu. Full article
(This article belongs to the Section Foodomics)
Show Figures

Figure 1

13 pages, 1437 KB  
Article
Retention of Original Flavor Characteristics in Defluorinated Instant Qingzhuan Brick Tea Prepared Using Membrane Separation Technology
by Run Huang, Ying-Ying Xie, Xin-Yu Liu, Huai-Hui Yi, Hao-Jie Xu, Liang Zhang, Hui-Mei Cai, Zheng-Quan Liu, Da-Xiang Li, Yun-Qiu Yang, Xiao-Chun Wan and Chuan-Yi Peng
Fermentation 2025, 11(11), 609; https://doi.org/10.3390/fermentation11110609 - 26 Oct 2025
Viewed by 548
Abstract
Brick tea is a type of post-fermented food that involves microorganisms. Long-term consumption of brick tea exposes consumers to high fluoride levels, which can adversely affect their health. This study explored the feasibility of selective defluorination of Qingzhuan brick tea through membrane separation [...] Read more.
Brick tea is a type of post-fermented food that involves microorganisms. Long-term consumption of brick tea exposes consumers to high fluoride levels, which can adversely affect their health. This study explored the feasibility of selective defluorination of Qingzhuan brick tea through membrane separation technology, and pilot production was conducted to produce defluorinated instant brick tea. The concentration of tea polyphenols increased by more than 10 times after nanofiltration, demonstrating the high selectivity of nanofiltration membranes toward fluoride. Defluorination trends were studied at different initial material concentrations (0.5–4%) and operating pressures (0.1–0.5 MPa) under cyclic defluorination. Defluorinated instant brick tea products were also industrially prepared using 300- (DF-300) and 1000-Da (DF-1000) membranes, followed by vacuum freeze-drying. The DF-1000 and DF-300 products exhibited a defluorination rate of 51.46% and 67.96%, respectively. The products have excellent characteristics in terms of color, aroma, and flavor quality, as well as solubility. Gas chromatography–mass spectrometry indicated that the volatile components in the defluorinated instant brick tea were slightly different from those in the original tea, but the key aroma and flavor characteristics of the defluorinated brick tea remained unchanged. Membrane separation provides technical support for the large-scale production of low-fluoride post-fermented tea. Full article
(This article belongs to the Special Issue Nutrition and Health of Fermented Foods—4th Edition)
Show Figures

Figure 1

32 pages, 14182 KB  
Article
Effects of Soybean Meal Replacement on Growth Performance, Rumen Fermentation, Rumen Microorganisms, and Metabolites in Dumont Lambs
by Henan Lu, Hairong Wang, Boyang Li, Zenghao Lv, Shufang Li, Yuhao Xia and Lina Wang
Animals 2025, 15(21), 3096; https://doi.org/10.3390/ani15213096 - 24 Oct 2025
Viewed by 183
Abstract
This study investigated the effects of replacing part of the soybean meal in the diet of Dumont lambs with urea, rapeseed meal, and cottonseed meal on their growth performance and rumen fermentation and combined rumen microbial metagenomics and metabolomics to explain the reasons [...] Read more.
This study investigated the effects of replacing part of the soybean meal in the diet of Dumont lambs with urea, rapeseed meal, and cottonseed meal on their growth performance and rumen fermentation and combined rumen microbial metagenomics and metabolomics to explain the reasons for the changes in phenotypic data. Twenty-four healthy male Dumont lambs were divided into four groups: soybean meal group (T1, control group), group with 1.5% urea replacing 6.4% soybean meal (T2), group with 1% urea replacing 4.3% soybean meal (T3), and group with 1% urea + 6.6% cottonseed meal +5% rapeseed meal replacing all soybean meal (19%) (T4), following the principle of equal energy and nitrogen. Urea, rapeseed meal, and cottonseed meal have different degradation rates in the rumen, primarily stimulating arginine biosynthesis, sulphur metabolism, and carbon fixation in photosynthetic organisms through Prevotella genus mediation, thereby influencing the accumulation of metabolites such as 9,10-DiHOME, DG (PGJ2/a-15:0/0:0), isonicotinate and taxifolin, affecting rumen fermentation. Compared with the T1 group, the T2 group showed significantly increased ammonia nitrogen (NH3-N) and microbial protein (MCP) content (p < 0.01) and improved fructose and mannose metabolic capacity (p < 0.05). The T3 group showed a significant increase in total volatile fatty acids (TVFA) and MCP content (p < 0.01), which facilitated the absorption of subsequent nutrients. In the T4 group, different degradation rates of nitrogen resources and rapeseed meal + cottonseed meal contained abundant and complementary amino acids, which improved rumen fermentation, enhanced rumen microbial and metabolite diversity, and optimized the synergistic metabolic efficiency of carbon, nitrogen and sulphur. However, the specific mechanisms of post-rumen metabolism and absorption require further investigation. Full article
(This article belongs to the Section Small Ruminants)
Show Figures

Figure 1

15 pages, 716 KB  
Article
The Effect of Enzymatic Disintegration Using Cellulase and Lysozyme on the Efficiency of Methane Fermentation of Sewage Sludge
by Bartłomiej Macherzyński, Małgorzata Wszelaka-Rylik, Anna Marszałek and Elżbieta Popowska-Nowak
Energies 2025, 18(21), 5597; https://doi.org/10.3390/en18215597 - 24 Oct 2025
Viewed by 174
Abstract
This study presents a novel approach to intensifying the anaerobic digestion of sewage sludge through enzymatic pretreatment using hydrolytic enzymes—cellulase and lysozyme. It aims to determine how enzymatic activation affects the efficiency of methane fermentation, defined as the degree of organic matter decomposition [...] Read more.
This study presents a novel approach to intensifying the anaerobic digestion of sewage sludge through enzymatic pretreatment using hydrolytic enzymes—cellulase and lysozyme. It aims to determine how enzymatic activation affects the efficiency of methane fermentation, defined as the degree of organic matter decomposition and yield and composition of biogas. An experiment was carried out under mesophilic conditions over 20 days, analyzing the physicochemical properties of sludge, biogas production, methane content, and sanitary parameters. The addition of cellulase and lysozyme significantly enhanced process efficiency, increasing both the rate of organic matter degradation and biogas yield. The highest biogas production values (0.73 L·g−1 d.m. for cellulase and 0.72 L·g−1 d.m. for lysozyme) were obtained at a 4% (w/w) enzyme concentration, with a corresponding increase in the degree of organic matter decomposition to 78.7% and 80.0%, respectively. The produced biogas contained 58–61% methane, exceeding the values observed in the control sample, which indicates a positive effect of enzymatic activation on methane selectivity. Enhanced biogas production was attributed to improved hydrolysis of complex organic compounds, resulting in greater substrate bioavailability for methanogenic microorganisms. Moreover, methane fermentation led to the complete elimination of E. coli from all supernatants, confirming the hygienization potential of the process. The results of this study indicate that enzymatic pretreatment may serve as a viable strategy to improve both the energy efficiency and hygienic safety of anaerobic digestion processes, with relevance for future optimization and full-scale wastewater treatment applications. Full article
(This article belongs to the Special Issue Nutrient and Energy Recovery from Municipal and Industrial Wastewater)
Show Figures

Figure 1

31 pages, 7235 KB  
Review
From Pathogens to Partners: The Beginnings of Gut Microbiota Research
by Anna Kostka
Appl. Sci. 2025, 15(21), 11376; https://doi.org/10.3390/app152111376 - 23 Oct 2025
Viewed by 382
Abstract
The investigation of the human intestinal microbiota has rapidly become one of the most dynamic and interdisciplinary fields in modern biomedical science, and for good reasons. Since the 1990s, when the microbiota was first described as the “neglected organ”, research has expanded exponentially, [...] Read more.
The investigation of the human intestinal microbiota has rapidly become one of the most dynamic and interdisciplinary fields in modern biomedical science, and for good reasons. Since the 1990s, when the microbiota was first described as the “neglected organ”, research has expanded exponentially, uncovering its fundamental roles in maintaining immune homeostasis, regulating host metabolism, which gave rise to the term “second liver”, and influencing neural activity through the dense network of enteric neurons, which justifies its characterization as the “second brain”. Furthermore, the remarkable genetic richness of the microbiota, comprising a gene pool vastly exceeding that of the human genome, has earned it the title of the “second genome”. Tracing the origins of this scientific field reveals that the concept of the gut as a complex microbial ecosystem emerged gradually, shaped by pivotal developments in microbiology and medicine throughout the 19th and early 20th centuries. The rise of the germ theory, the advancement of microscopy, and the discovery of key microbial phenomena, including fermentation, decomposition, bacteriophages, probiotics, and antibiotics, collectively transformed our understanding of microorganisms from pathogens to essential symbionts. This review aims to provide a historical perspective on how these landmark discoveries laid the conceptual and methodological foundations for contemporary microbiota research. By highlighting the scientific milestones that shifted perceptions of microbes from “bad germs” to “good germs”, it seeks to offer readers, whether from biomedical, ecological, or philosophical backgrounds, an integrative view of how this paradigm evolved and why it remains central to current human health discussions. Full article
Show Figures

Figure 1

24 pages, 2610 KB  
Article
The Effect of Pretreatment of Tetraselmis subcrodiformis (Wille) Butcher and Limnospira platensis (Gomont) Ciferri et Tiboni Biomass with Solidified Carbon Dioxide on the Efficiency of Anaerobic Digestion
by Marcin Dębowski, Izabela Świca, Marcin Zieliński and Joanna Kazimierowicz
Appl. Sci. 2025, 15(21), 11373; https://doi.org/10.3390/app152111373 - 23 Oct 2025
Viewed by 240
Abstract
The aim of this study was to determine the effects of low-temperature pretreatment of microalgae (Tetraselmis subcordiformis (Wille) Butcher) and cyanobacteria (Limnospira platensis (Gomont) Ciferri et Tiboni) using solidified carbon dioxide (SCO2) on the progression of methane fermentation. The [...] Read more.
The aim of this study was to determine the effects of low-temperature pretreatment of microalgae (Tetraselmis subcordiformis (Wille) Butcher) and cyanobacteria (Limnospira platensis (Gomont) Ciferri et Tiboni) using solidified carbon dioxide (SCO2) on the progression of methane fermentation. The experiment was carried out under batch conditions with six process variants that differed in the volumetric ratio of SCO2 to the biomass tested. Changes in organic matter solubility, anaerobic digestion kinetics and overall CH4 production performance were analysed. The results showed that pretreatment effectively increased the solubility of organic compounds, especially in the case of L. platensis biomass, where the highest increases in soluble sTOC (up to 21.6%) and sCOD (up to 14.3%) were observed. CH4 yield in the most efficient variant (SCO2:biomass = 1:2.5) increased to 354 ± 16 mL CH4/gVS for T. subcordiformis and 403 ± 18 mL CH4/gVS for L. platensis, respectively. Despite the apparently less favourable physicochemical parameters of the biomass for anaerobic digestion, L. platensis showed a higher susceptibility to digestion and better kinetic indicators for methane fermentation. The results indicate that the efficiency of anaerobic biodegradation of biomass depends not only on the chemical composition but also on the cellular structure and physicochemical interactions during pretreatment. The use of SCO2 as a disintegrant could be an effective, energy-saving method to increase the fermentation efficiency of photosynthetic microorganisms in biowaste management. Full article
Show Figures

Figure 1

25 pages, 1654 KB  
Review
Symbiotic Culture of Bacteria and Yeast (SCOBY) in the Food Sector as a Source of Polysaccharides and Other Applications in the Food Sector
by Rosa Maria Santiago-Santiago, Mariela R. Michel, Raúl Rodríguez-Herrera, Pedro Aguilar-Zárate, Juan Alberto Ascacio-Valdés and Adriana C. Flores-Gallegos
Polysaccharides 2025, 6(4), 97; https://doi.org/10.3390/polysaccharides6040097 - 21 Oct 2025
Viewed by 468
Abstract
The SCOBY (Symbiotic Culture of Bacteria and Yeast) is a microbial consortium composed of a diverse range of bacteria and yeasts that coexist symbiotically. The most commonly identified microorganisms include Gluconobacter, Acetobacte, Saccharomyces and Zygosaccharomyces. Its primary objective is to utilize [...] Read more.
The SCOBY (Symbiotic Culture of Bacteria and Yeast) is a microbial consortium composed of a diverse range of bacteria and yeasts that coexist symbiotically. The most commonly identified microorganisms include Gluconobacter, Acetobacte, Saccharomyces and Zygosaccharomyces. Its primary objective is to utilize sucrose as a substrate. SCOBY requires specific conditions for its multiplication, such as temperature, pH, and a suitable carbon source. Through its microbial dynamics and proper management, this consortium develops functional properties that are beneficial to health. This microbial consortium has been the subject of numerous studies due to the wide range of benefits it can offer through fermentation-derived products. Among the most frequently mentioned are organic acids, phenolic compounds, and a high concentration of probiotics. Originally, the SCOBY was used as a started culture in the production of the beverage “Kombucha”. However, due to the growing public interest, its use has diversified into fruit-based, dairy-based, and cereal-based beverages. Furthermore, its application has expanded to unconventional substrates. Its potential uses in other fields, such as medicine, as well as its antimicrobial activity, should also be noted. Full article
Show Figures

Graphical abstract

29 pages, 2851 KB  
Review
Fermented Beverages from Amazonian Fruits: Nutritional Characteristics and Bioactive Compounds
by Bárbara N. Batista, Ana Cristina Correia, António M. Jordão and Patrícia M. Albuquerque
Beverages 2025, 11(5), 152; https://doi.org/10.3390/beverages11050152 - 21 Oct 2025
Viewed by 516
Abstract
Fermented beverages are drinks that undergo a fermentation process involving yeasts, bacteria, or other microbial groups, leading to the conversion of natural sugars into alcohol, acids, and gases. Beer, wine, kombucha, kefir, and cider are examples of fermented beverages produced and consumed worldwide, [...] Read more.
Fermented beverages are drinks that undergo a fermentation process involving yeasts, bacteria, or other microbial groups, leading to the conversion of natural sugars into alcohol, acids, and gases. Beer, wine, kombucha, kefir, and cider are examples of fermented beverages produced and consumed worldwide, representing a rapidly growing market. However, demands for these products have expanded beyond aspects such as size, shape, and storage conditions. There is an increasing demand for eco-sustainable, fresh products tailored to individuals with dietary restrictions and/or enriched with nutrients and health-promoting compounds. In this context, the market has witnessed a surge in alternative fermented beverages made from nutrient-rich or exotic-flavored raw materials, highlighting their versatility. A noteworthy example is the application of Amazonian fruits, which, despite being primarily consumed fresh by local populations, have been extensively characterized in scientific studies for their abundance of molecules with beneficial effects and their use in products like juices, ice creams, and fermented beverages. Thus, this review aims to explore the nutritional composition and microbiological aspects of different fermented beverages produced from several Amazonian fruits. Full article
(This article belongs to the Special Issue Bioactive Compounds in Fermented Beverages)
Show Figures

Figure 1

17 pages, 590 KB  
Review
Recent Advances in Biosurfactant Production in Solid-State Fermentation
by Ma. Guadalupe Bustos-Vázquez, Luis V. Rodríguez-Durán, María Alejandra Pichardo-Sánchez, Nubia R. Rodríguez-Durán, Nadia A. Rodríguez-Durán, Daniel Trujillo-Ramírez and Rodolfo Torres-de los Santos
Fermentation 2025, 11(10), 592; https://doi.org/10.3390/fermentation11100592 - 16 Oct 2025
Viewed by 881
Abstract
Biosurfactants are amphiphilic molecules synthesized by some microorganisms. Biosurfactants have a wide range of applications in fields such as the bioremediation, petroleum, and pharmaceutical industries. Currently, biosurfactant production is carried out mainly by submerged fermentation (SmF). Biosurfactant production by SmF requires the use [...] Read more.
Biosurfactants are amphiphilic molecules synthesized by some microorganisms. Biosurfactants have a wide range of applications in fields such as the bioremediation, petroleum, and pharmaceutical industries. Currently, biosurfactant production is carried out mainly by submerged fermentation (SmF). Biosurfactant production by SmF requires the use of antifoams, which hinder biosurfactant recovery and have a high energy requirement. Biosurfactant production by solid-state fermentation (SSF) has been little explored, but it has some advantages over SmF: it allows the utilization of cheap agro-industrial by-products that function as a support-substrate, does not present foam formation, and allows for improved oxygen and mass exchange. Several research groups have explored different strategies to improve the yields in biosurfactant production by SSF and have demonstrated that it is a viable technology for obtaining these products. Some of the parameters studied are temperature, moisture, substrates, supports, aeration, and, in some cases, agitation. These studies have shown advantages of SSF over SmF for biosurfactant production, such as higher product-substrate yields and higher product concentrations. However, further study of the causes of these results is necessary to implement SSF technology for commercial biosurfactant production. Full article
(This article belongs to the Special Issue Application and Research of Solid State Fermentation, 2nd Edition)
Show Figures

Figure 1

23 pages, 972 KB  
Review
Research on Development and Challenges of Forest Food Resources from an Industrial Perspective—Alternative Protein Food Industry as an Example
by Yaohao Guo, Cancan Peng, Junjie Deng, Xiya Hong, Bo Zhou and Jiali Ren
Foods 2025, 14(20), 3503; https://doi.org/10.3390/foods14203503 - 14 Oct 2025
Viewed by 595
Abstract
The forest food industry, as a typical low-carbon green ecological industry, holds strategic significance in addressing global food security challenges. This review takes forest protein resources as an example to analyze the current development status, opportunities, and challenges from a global industrial perspective. [...] Read more.
The forest food industry, as a typical low-carbon green ecological industry, holds strategic significance in addressing global food security challenges. This review takes forest protein resources as an example to analyze the current development status, opportunities, and challenges from a global industrial perspective. Research indicates that forests, as a vital food treasure for humanity, can provide diverse protein sources such as insects, plants, microorganisms, and bio-manufactured proteins. Currently, numerous technological innovations and market practices have emerged in fields such as insect protein (e.g., there are over 3000 edible insect species globally, with a market size of approximately USD 3.2 billion in 2023, projected to reach USD 7.6 billion by 2028), plant-based alternative protein (e.g., plant-based chicken nuggets by Impossible Foods in the United States), microbial fermentation protein (e.g., the production capacity of Solar Foods’ production base in Finland is 160 tons per year), and cell-cultured meat (e.g., cell-cultured chicken is sold in Singapore), demonstrating significant potential in alleviating food supply pressures and reducing environmental burdens. However, industrial development still faces practical challenges including insufficient resource exploration, incomplete nutritional and safety evaluation systems, low consumer acceptance, high costs of core technologies (e.g., the first cell-cultured meat burger in 2013 cost over 1 million USD/lb, and current costs need to be reduced to 17–65 USD/kg to achieve market competitiveness), and imperfect regulatory mechanisms (e.g., varying national standards lead to high compliance costs for enterprises). In the future, it is necessary to achieve efficient development and sustainable utilization of forest protein resources by strengthening resource exploration, clarifying the basis of nutrients, promoting multi-technology integration and innovation, and establishing a sound market access system, thereby providing solutions for global food security and high-quality development of the food industry. Full article
(This article belongs to the Section Plant Foods)
Show Figures

Figure 1

Back to TopTop