Sign in to use this feature.

Years

Between: -

Subjects

remove_circle_outline
remove_circle_outline
remove_circle_outline
remove_circle_outline
remove_circle_outline

Journals

Article Types

Countries / Regions

Search Results (25)

Search Parameters:
Keywords = enantioselective hydrolysis

Order results
Result details
Results per page
Select all
Export citation of selected articles as:
14 pages, 504 KB  
Article
Biotransformations with Photobiocatalysts for Enantioselective Ester Hydrolysis
by Agnieszka Śliżewska, Paulina Majewska and Ewa Żymańczyk-Duda
Molecules 2025, 30(13), 2767; https://doi.org/10.3390/molecules30132767 - 27 Jun 2025
Viewed by 557
Abstract
This study investigates the efficient and enantioselective hydrolysis of ester bonds through a series of biotransformations employing various photobiocatalysts. A racemic mixture of 1-phenylethyl acetate served as the model substrate. The described research identified three strains exhibiting the highest biocatalytic activity: Nostoc cf-muscorum [...] Read more.
This study investigates the efficient and enantioselective hydrolysis of ester bonds through a series of biotransformations employing various photobiocatalysts. A racemic mixture of 1-phenylethyl acetate served as the model substrate. The described research identified three strains exhibiting the highest biocatalytic activity: Nostoc cf-muscorum (CCALA 129), Leptolyngbya foveolarum (CCALA 76), and Synechococcus bigranulatus (CCALA 187). Their application led to the complete hydrolysis of the starting reagent, yielding both the unreacted ester and its corresponding alcohol in an enantioselective manner. Notably, the selectivity, expressed as S, reached an impressive value of 283 in certain outcomes. The photobiotransformations were conducted under varying conditions, with particular focus on two essential parameters: the duration of the process, crucial for kinetically controlled reactions, and light exposure, critical for light-dependent organisms. The representative results highlight the efficacy of these biocatalysts. For instance, using Leptolyngbya foveolarum (CCALA 76), Nostoc cf-muscorum (CCALA 129), and Synechococcus bigranulatus (CCALA 187) facilitated the production of 1-(R)-phenylethanol with enantiomeric excesses (ee) of 89%, 88%, and 86%, respectively, at a conversion degree of approximately 50%. These processes also yielded an optically enriched mixture of the unreacted substrate, 1-(S)-phenylethyl acetate. Specifically, in the case of Leptolyngbya foveolarum (CCALA 76), the ee of the unreacted ester reached up to 98%. Light exposure emerged as a key factor influencing selectivity factor (S). Adjusting this parameter allowed us to achieve an E value of up to 283 for the formation of 1-(R)-phenylethanol with an ee > 99% when utilizing the Nostoc cf-muscorum (CCALA 129) strain. Furthermore, light intensity proved crucial for scaling up these processes. Significant results were obtained with Synechococcus bigranulatus, particularly at substrate concentrations ranging from 1 to 10 mM under limited exposure. Here, the conversion degree was 55%, the ee of the (R)-alcohol was 86%, and the selectivity factor (S) value was 21. Full article
(This article belongs to the Special Issue Biocatalytic Platforms Towards Synthesis and Degradation Processes)
Show Figures

Figure 1

22 pages, 3391 KB  
Article
Enantioselectivity Enhancement of a Geobacillus thermoleovorans CCR11 Lipase by Rational Design
by Aaron-Salvador Bustos-Baena, Rodolfo Quintana-Castro, María Guadalupe Sánchez-Otero, Graciela Espinosa-Luna, María Remedios Mendoza-López, Carolina Peña-Montes and Rosa María Oliart-Ros
Catalysts 2025, 15(2), 168; https://doi.org/10.3390/catal15020168 - 12 Feb 2025
Cited by 3 | Viewed by 1276
Abstract
Lipases are enzymes that catalyze the hydrolysis of carboxylic esters at a lipid–water interface and are able to catalyze reactions such as alcoholysis, esterification, transesterification, and enantioselective synthesis in organic media. They are important biocatalysts for biotechnological and industrial applications—such as in the [...] Read more.
Lipases are enzymes that catalyze the hydrolysis of carboxylic esters at a lipid–water interface and are able to catalyze reactions such as alcoholysis, esterification, transesterification, and enantioselective synthesis in organic media. They are important biocatalysts for biotechnological and industrial applications—such as in the food and flavor industry—and in the production of biopharmaceuticals, biofuels, biopolymers, and detergents. A desirable property of lipases is stereoselectivity for the production of chemicals with high optical purity. In this work, we report the improvement of the enantioselective capabilities of the Geobacillus thermoleovorans CCR11 lipase. By means of a rational design and bioinformatic approaches, six amino acids of the catalytic cavity of the lipase LipTioCCR11 were substituted resulting in an increase in the optimum temperature of the enzyme and in the resistance to the presence of organic solvents in hydrolytic reactions, and in the promotion of the enantioselective recognition of R isomers of carboxylic acids with importance for the pharmaceutical and food industries. Full article
(This article belongs to the Special Issue New Trends in Industrial Biocatalysis, 2nd Edition)
Show Figures

Figure 1

15 pages, 1867 KB  
Article
Enzymatic Deracemization of Fluorinated Arylcarboxylic Acids: Chiral Enzymatic Analysis and Absolute Stereochemistry Using Chiral HPLC
by Oleg I. Kolodiazhnyi, Anastasiia O. Kolodiazhna, Oleh Faiziiev and Yuliia Gurova
Symmetry 2024, 16(9), 1150; https://doi.org/10.3390/sym16091150 - 4 Sep 2024
Cited by 3 | Viewed by 2352
Abstract
The hydrolase-catalyzed kinetic resolution of fluorinated racemates of 3-arylcarboxylic acids is described. Hydrolysis of ethyl esters of fluorinated acids by esterases and hydrolases in all cases resulted in the formation of hydrolyzed (S)-carboxylic acids and unreacted (R)-esters in high [...] Read more.
The hydrolase-catalyzed kinetic resolution of fluorinated racemates of 3-arylcarboxylic acids is described. Hydrolysis of ethyl esters of fluorinated acids by esterases and hydrolases in all cases resulted in the formation of hydrolyzed (S)-carboxylic acids and unreacted (R)-esters in high yields and high enantiomeric purity. The influence of separation conditions on the efficiency and enantioselectivity of biocatalytic conversion was also studied. The reactions were carried out under normal conditions (stirring with a magnetic stirrer at room temperature) and microwave irradiation in the presence of hydrolases. Amano PS showed excellent selectivity and good yields in the hydrolysis of fluorinated aromatic compounds. The absolute configuration of the resulting compounds was based on biokinetic studies and the use of chiral HPLC. A molecular modeling of the kinetic resolution of carboxylic acid esters was carried out. Full article
(This article belongs to the Collection Feature Papers in Chemistry)
Show Figures

Figure 1

25 pages, 2375 KB  
Article
Easy and Versatile Technique for the Preparation of Stable and Active Lipase-Based CLEA-like Copolymers by Using Two Homofunctional Cross-Linking Agents: Application to the Preparation of Enantiopure Ibuprofen
by Oussama Khiari, Nassima Bouzemi, José María Sánchez-Montero and Andrés R. Alcántara
Int. J. Mol. Sci. 2023, 24(17), 13664; https://doi.org/10.3390/ijms241713664 - 4 Sep 2023
Cited by 3 | Viewed by 3164
Abstract
An easy and versatile method was designed and applied successfully to obtain access to lipase-based cross-linked-enzyme aggregate-like copolymers (CLEA-LCs) using one-pot, consecutive cross-linking steps using two types of homobifunctional cross-linkers (glutaraldehyde and putrescine), mediated with amine activation through pH alteration (pH jump) as [...] Read more.
An easy and versatile method was designed and applied successfully to obtain access to lipase-based cross-linked-enzyme aggregate-like copolymers (CLEA-LCs) using one-pot, consecutive cross-linking steps using two types of homobifunctional cross-linkers (glutaraldehyde and putrescine), mediated with amine activation through pH alteration (pH jump) as a key step in the process. Six lipases were utilised in order to assess the effectiveness of the technique, in terms of immobilization yields, hydrolytic activities, thermal stability and application in kinetic resolution. A good retention of catalytic properties was found for all cases, together with an important thermal and storage stability improvement. Particularly, the CLEA-LCs derived from Candida rugosa lipase showed an outstanding behaviour in terms of thermostability and capability for catalysing the enantioselective hydrolysis of racemic ibuprofen ethyl ester, furnishing the eutomer (S)-ibuprofen with very high conversion and enantioselectivity. Full article
(This article belongs to the Special Issue Current Trends in Chemistry towards Biology)
Show Figures

Figure 1

27 pages, 23801 KB  
Review
Epoxide Hydrolases: Multipotential Biocatalysts
by Marek Bučko, Katarína Kaniaková, Helena Hronská, Peter Gemeiner and Michal Rosenberg
Int. J. Mol. Sci. 2023, 24(8), 7334; https://doi.org/10.3390/ijms24087334 - 15 Apr 2023
Cited by 28 | Viewed by 5637
Abstract
Epoxide hydrolases are attractive and industrially important biocatalysts. They can catalyze the enantioselective hydrolysis of epoxides to the corresponding diols as chiral building blocks for bioactive compounds and drugs. In this review article, we discuss the state of the art and development potential [...] Read more.
Epoxide hydrolases are attractive and industrially important biocatalysts. They can catalyze the enantioselective hydrolysis of epoxides to the corresponding diols as chiral building blocks for bioactive compounds and drugs. In this review article, we discuss the state of the art and development potential of epoxide hydrolases as biocatalysts based on the most recent approaches and techniques. The review covers new approaches to discover epoxide hydrolases using genome mining and enzyme metagenomics, as well as improving enzyme activity, enantioselectivity, enantioconvergence, and thermostability by directed evolution and a rational design. Further improvements in operational and storage stabilization, reusability, pH stabilization, and thermal stabilization by immobilization techniques are discussed in this study. New possibilities for expanding the synthetic capabilities of epoxide hydrolases by their involvement in non-natural enzyme cascade reactions are described. Full article
(This article belongs to the Special Issue Biocatalysis and Bioactive Molecules: Future and Development)
Show Figures

Graphical abstract

23 pages, 3532 KB  
Article
Chemoenzymatic Synthesis of Optically Active Alcohols Possessing 1,2,3,4-Tetrahydroquinoline Moiety Employing Lipases or Variants of the Acyltransferase from Mycobacterium smegmatis 
by Beata Zdun, Izabela Kopińska, Maciej Dranka, Tamara Reiter, Wolfgang Kroutil and Paweł Borowiecki
Catalysts 2022, 12(12), 1610; https://doi.org/10.3390/catal12121610 - 8 Dec 2022
Cited by 4 | Viewed by 5046
Abstract
The enzymatic kinetic resolution (EKR) of racemic alcohols or esters is a broadly recognized methodology for the preparation of these compounds in optically active form. Although EKR approaches have been developed for the enantioselective transesterification of a vast number of secondary alcohols or [...] Read more.
The enzymatic kinetic resolution (EKR) of racemic alcohols or esters is a broadly recognized methodology for the preparation of these compounds in optically active form. Although EKR approaches have been developed for the enantioselective transesterification of a vast number of secondary alcohols or hydrolysis of their respective esters, to date, there is no report of bio- or chemo-catalytic asymmetric synthesis of non-racemic alcohols possessing 1,2,3,4-tetrahydroquinoline moiety, which are valuable building blocks for the pharmaceutical industry. In this work, the kinetic resolution of a set of racemic 1,2,3,4-tetrahydroquinoline-propan-2-ols was successfully carried out in neat organic solvents (in the case of CAL-B and BCL) or in water (in the case of MsAcT single variants) using immobilized lipases from Candida antarctica type B (CAL-B) and Burkholderia cepacia (BCL) or engineered acyltransferase variants from Mycobacterium smegmatis (MsAcT) as the biocatalysts and vinyl acetate as irreversible acyl donor, yielding enantiomerically enriched (S)-alcohols and the corresponding (R)-acetates with E-values up to 328 and excellent optical purities (>99% ee). In general, higher ee-values were observed in the reactions catalyzed by lipases; however, the rates of the reactions were significantly better in the case of MsAcT-catalyzed enantioselective transesterifications. Interestingly, we have experimentally proved that enantiomerically enriched 1-(7-nitro-3,4-dihydroquinolin-1(2H)-yl)propan-2-ol undergoes spontaneous amplification of optical purity under achiral chromatographic conditions. Full article
(This article belongs to the Special Issue Applications of Hydrolases in Medicinal Chemistry)
Show Figures

Graphical abstract

15 pages, 2943 KB  
Article
Enantioselective 1,3-Dipolar Cycloaddition Using (Z)-α-Amidonitroalkenes as a Key Step to the Access to Chiral cis-3,4-Diaminopyrrolidines
by Eduardo García-Mingüens, Marcos Ferrándiz-Saperas, M. de Gracia Retamosa, Carmen Nájera, Miguel Yus and José M. Sansano
Molecules 2022, 27(14), 4579; https://doi.org/10.3390/molecules27144579 - 18 Jul 2022
Cited by 10 | Viewed by 2335
Abstract
The enantioselective 1,3-dipolar cycloaddition between imino esters and (Z)-nitroalkenes bearing a masked amino group in the β-position was studied using several chiral ligands and silver salts. The optimized reaction conditions were directly applied to the study of the scope of the [...] Read more.
The enantioselective 1,3-dipolar cycloaddition between imino esters and (Z)-nitroalkenes bearing a masked amino group in the β-position was studied using several chiral ligands and silver salts. The optimized reaction conditions were directly applied to the study of the scope of the reaction. The determination of the absolute configuration was evaluated using NMR experiments and electronic circular dichroism (ECD). The reduction and hydrolysis of both groups was performed to generate in an excellent enantiomeric ratio the corresponding cis-2,3-diaminoprolinate. Full article
Show Figures

Figure 1

11 pages, 1111 KB  
Article
Green Strategies for the Preparation of Enantiomeric 5–8-Membered Carbocyclic β-Amino Acid Derivatives through CALB-Catalyzed Hydrolysis
by Sayeh Shahmohammadi, Tünde Faragó, Márta Palkó and Enikő Forró
Molecules 2022, 27(8), 2600; https://doi.org/10.3390/molecules27082600 - 18 Apr 2022
Cited by 3 | Viewed by 2963
Abstract
Candida antarctica lipase B-catalyzed hydrolysis of carbocyclic 5–8-membered cis β-amino esters was carried out in green organic media, under solvent-free and ball-milling conditions. In accordance with the high enantioselectivity factor (E > 200) observed in organic media, the preparative-scale resolutions of β-amino [...] Read more.
Candida antarctica lipase B-catalyzed hydrolysis of carbocyclic 5–8-membered cis β-amino esters was carried out in green organic media, under solvent-free and ball-milling conditions. In accordance with the high enantioselectivity factor (E > 200) observed in organic media, the preparative-scale resolutions of β-amino esters were performed in tBuOMe at 65 °C. The unreacted β-amino ester enantiomers (1R,2S) and product β-amino acid enantiomers (1S,2R) were obtained with modest to excellent enantiomeric excess (ee) values (ees > 62% and eep > 96%) and in good chemical yields (>25%) in one or two steps. The enantiomers were easily separated by organic solvent/H2O extraction. Full article
Show Figures

Graphical abstract

10 pages, 1474 KB  
Article
Lipase-Catalyzed Kinetic Resolution of Dimethyl and Dibutyl 1-Butyryloxy-1-carboxymethylphosphonates
by Paulina Majewska
Catalysts 2021, 11(8), 956; https://doi.org/10.3390/catal11080956 - 10 Aug 2021
Cited by 1 | Viewed by 2661
Abstract
The main objective of this study is the enantioselective synthesis of carboxyhydroxyphosphonates by lipase-catalyzed reactions. For this purpose, racemic dimethyl and dibutyl 1-butyryloxy-1-carboxymethylphosphonates were synthesized and hydrolyzed, using a wide spectrum of commercially available lipases from different sources (e.g., fungi and bacteria). The [...] Read more.
The main objective of this study is the enantioselective synthesis of carboxyhydroxyphosphonates by lipase-catalyzed reactions. For this purpose, racemic dimethyl and dibutyl 1-butyryloxy-1-carboxymethylphosphonates were synthesized and hydrolyzed, using a wide spectrum of commercially available lipases from different sources (e.g., fungi and bacteria). The best hydrolysis results of dimethyl 1-butyryloxy-1-carboxymethylphosphonate were obtained with the use of lipases from Candida rugosa, Candida antarctica, and Aspergillus niger, leading to optically active dimethyl 1-carboxy-1-hydroxymethylphosphonate (58%–98% enantiomeric excess) with high enantiomeric ratio (reaching up to 126). However, in the case of hydrolysis of dibutyl 1-butyryloxy-1-carboxymethylphosphonate, the best results were obtained by lipases from Burkholderia cepacia and Termomyces lanuginosus, leading to optically active dibutyl 1-carboxy-1-hydroxymethylphosphonate (66%–68% enantiomeric excess) with moderate enantiomeric ratio (reaching up to 8.6). The absolute configuration of the products after biotransformation was also determined. In most cases, lipases hydrolyzed (R) enantiomers of both compounds. Full article
(This article belongs to the Special Issue Biosynthesis and Biocatalysis)
Show Figures

Figure 1

15 pages, 5527 KB  
Article
Production of Enantiopure Chiral Epoxides with E. coli Expressing Styrene Monooxygenase
by Dominika Gyuranová, Radka Štadániová, Zuzana Hegyi, Róbert Fischer and Martin Rebroš
Molecules 2021, 26(6), 1514; https://doi.org/10.3390/molecules26061514 - 10 Mar 2021
Cited by 4 | Viewed by 3352
Abstract
Styrene monooxygenases are a group of highly selective enzymes able to catalyse the epoxidation of alkenes to corresponding chiral epoxides in excellent enantiopurity. Chiral compounds containing oxirane ring or products of their hydrolysis represent key building blocks and precursors in organic synthesis in [...] Read more.
Styrene monooxygenases are a group of highly selective enzymes able to catalyse the epoxidation of alkenes to corresponding chiral epoxides in excellent enantiopurity. Chiral compounds containing oxirane ring or products of their hydrolysis represent key building blocks and precursors in organic synthesis in the pharmaceutical industry, and many of them are produced on an industrial scale. Two-component recombinant styrene monooxygenase (SMO) from Marinobacterium litorale was expressed as a fused protein (StyAL2StyB) in Escherichia coli BL21(DE3). By high cell density fermentation, 35 gDCW/L of biomass with overexpressed SMO was produced. SMO exhibited excellent stability, broad substrate specificity, and enantioselectivity, as it remained active for months and converted a group of alkenes to corresponding chiral epoxides in high enantiomeric excess (˃95–99% ee). Optically pure (S)-4-chlorostyrene oxide, (S)-allylbenzene oxide, (2R,5R)-1,2:5,6-diepoxyhexane, 2-(3-bromopropyl)oxirane, and (S)-4-(oxiran-2-yl)butan-1-ol were prepared by whole-cell SMO. Full article
(This article belongs to the Special Issue Applications of Microbial Enzymes in Organic Synthesis)
Show Figures

Figure 1

13 pages, 2590 KB  
Article
Comparison between Lipase Performance Distributed at the O/W Interface by Membrane Emulsification and by Mechanical Stirring
by Emma Piacentini, Rosalinda Mazzei and Lidietta Giorno
Membranes 2021, 11(2), 137; https://doi.org/10.3390/membranes11020137 - 16 Feb 2021
Cited by 16 | Viewed by 3242
Abstract
Multiphase bioreactors using interfacial biocatalysts are unique tools in life sciences such as pharmaceutical and biotechnology. In such systems, the formation of microdroplets promotes the mass transfer of reagents between two different phases, and the reaction occurs at the liquid–liquid interface. Membrane emulsification [...] Read more.
Multiphase bioreactors using interfacial biocatalysts are unique tools in life sciences such as pharmaceutical and biotechnology. In such systems, the formation of microdroplets promotes the mass transfer of reagents between two different phases, and the reaction occurs at the liquid–liquid interface. Membrane emulsification is a technique with unique properties in terms of precise manufacturing of emulsion droplets in mild operative conditions suitable to preserve the stability of bioactive labile components. In the present work, membrane emulsification technology was used for the production of a microstructured emulsion bioreactor using lipase as a catalyst and as a surfactant at the same time. An emulsion bioreaction system was also prepared by the stirring method. The kinetic resolution of (S,R)-naproxen methyl ester catalyzed by the lipase from Candida rugosa to obtain (S)-naproxen acid was used as a model reaction. The catalytic performance of the enzyme in the emulsion systems formulated with the two methods was evaluated in a stirred tank reactor and compared. Lipase showed maximum enantioselectivity (100%) and conversion in the hydrolysis of (S)-naproxen methyl ester when the membrane emulsification technique was used for biocatalytic microdroplets production. Moreover, the controlled formulation of uniform and stable droplets permitted the evaluation of lipase amount distributed at the interface and therefore the evaluation of enzyme specific activity as well as the estimation of the hydrodynamic radius of the enzyme at the oil/water (o/w) interface in its maximum enantioselectivity. Full article
(This article belongs to the Special Issue Membrane and Membrane Bioreactors Applied to Health and Life Sciences)
Show Figures

Figure 1

11 pages, 639 KB  
Article
Efficient Synthesis of New Fluorinated β-Amino Acid Enantiomers through Lipase-Catalyzed Hydrolysis
by Sayeh Shahmohammadi, Ferenc Fülöp and Enikő Forró
Molecules 2020, 25(24), 5990; https://doi.org/10.3390/molecules25245990 - 17 Dec 2020
Cited by 5 | Viewed by 4118
Abstract
An efficient and novel enzymatic method has been developed for the synthesis of β-fluorophenyl-substituted β-amino acid enantiomers through lipase PSIM (Burkholderia cepasia) catalyzed hydrolysis of racemic β-amino carboxylic ester hydrochloride salts 3ae in iPr2O at 45 [...] Read more.
An efficient and novel enzymatic method has been developed for the synthesis of β-fluorophenyl-substituted β-amino acid enantiomers through lipase PSIM (Burkholderia cepasia) catalyzed hydrolysis of racemic β-amino carboxylic ester hydrochloride salts 3ae in iPr2O at 45 °C in the presence of Et3N and H2O. Adequate analytical methods were developed for the enantio-separation of racemic β-amino carboxylic ester hydrochlorides 3ae and β-amino acids 2ae. Preparative-scale resolutions furnished unreacted amino esters (R)-4ae and product amino acids (S)-5ae with excellent ee values (≥99%) and good chemical yields (>48%). Full article
Show Figures

Graphical abstract

50 pages, 2428 KB  
Review
Rhizopus oryzae Lipase, a Promising Industrial Enzyme: Biochemical Characteristics, Production and Biocatalytic Applications
by Josu López-Fernández, M. Dolors Benaiges and Francisco Valero
Catalysts 2020, 10(11), 1277; https://doi.org/10.3390/catal10111277 - 3 Nov 2020
Cited by 66 | Viewed by 13293
Abstract
Lipases are biocatalysts with a significant potential to enable a shift from current pollutant manufacturing processes to environmentally sustainable approaches. The main reason of this prospect is their catalytic versatility as they carry out several industrially relevant reactions as hydrolysis of fats in [...] Read more.
Lipases are biocatalysts with a significant potential to enable a shift from current pollutant manufacturing processes to environmentally sustainable approaches. The main reason of this prospect is their catalytic versatility as they carry out several industrially relevant reactions as hydrolysis of fats in water/lipid interface and synthesis reactions in solvent-free or non-aqueous media such as transesterification, interesterification and esterification. Because of the outstanding traits of Rhizopus oryzae lipase (ROL), 1,3-specificity, high enantioselectivity and stability in organic media, its application in energy, food and pharmaceutical industrial sector has been widely studied. Significant advances have been made in the biochemical characterisation of ROL particularly in how its activity and stability are affected by the presence of its prosequence. In addition, native and heterologous production of ROL, the latter in cell factories like Escherichia coli, Saccharomyces cerevisiae and Komagataella phaffii (Pichia pastoris), have been thoroughly described. Therefore, in this review, we summarise the current knowledge about R. oryzae lipase (i) biochemical characteristics, (ii) production strategies and (iii) potential industrial applications. Full article
(This article belongs to the Section Biocatalysis)
Show Figures

Figure 1

18 pages, 7728 KB  
Article
Free and Immobilized Lecitase™ Ultra as the Biocatalyst in the Kinetic Resolution of (E)-4-Arylbut-3-en-2-yl Esters
by Aleksandra Leśniarek, Anna Chojnacka, Radosław Drozd, Magdalena Szymańska and Witold Gładkowski
Molecules 2020, 25(5), 1067; https://doi.org/10.3390/molecules25051067 - 27 Feb 2020
Cited by 6 | Viewed by 3232
Abstract
The influence of buffer type, co-solvent type, and acyl chain length was investigated for the enantioselective hydrolysis of racemic 4-arylbut-3-en-2-yl esters using Lecitase™ Ultra (LU). Immobilized preparations of the Lecitase™ Ultra enzyme had significantly higher activity and enantioselectivity than the free enzyme, particularly [...] Read more.
The influence of buffer type, co-solvent type, and acyl chain length was investigated for the enantioselective hydrolysis of racemic 4-arylbut-3-en-2-yl esters using Lecitase™ Ultra (LU). Immobilized preparations of the Lecitase™ Ultra enzyme had significantly higher activity and enantioselectivity than the free enzyme, particularly for 4-phenylbut-3-en-2-yl butyrate as the substrate. Moreover, the kinetic resolution with the immobilized enzyme was achieved in a much shorter time (24–48 h). Lecitase™ Ultra, immobilized on cyanogen bromide-activated agarose, was particularly effective, producing, after 24 h of reaction time in phosphate buffer (pH 7.2) with acetone as co-solvent, both (R)-alcohols and unreacted (S)-esters with good to excellent enantiomeric excesses (ee 90–99%). These conditions and enzyme were also suitable for the kinetic separation of racemic (E)-4-phenylbut-3-en-2-yl butyrate analogs containing methyl substituents on the benzene ring (4b,4c), but they did not show any enantioselectivity toward (E)-4-(4’-methoxyphenyl)but-3-en-2-yl butyrate (4d). Full article
(This article belongs to the Special Issue Enzyme-Catalyzed Reactions II)
Show Figures

Graphical abstract

12 pages, 2544 KB  
Article
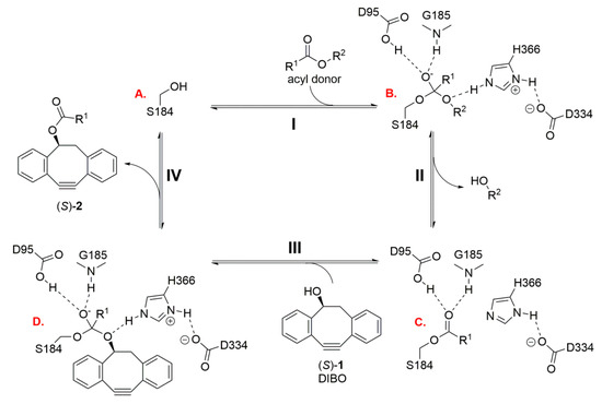
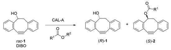
Candida antarctica Lipase A-Based Enantiorecognition of a Highly Strained 4-Dibenzocyclooctynol (DIBO) Used for PET Imaging
by Saija Sirén, Käthe M. Dahlström, Rakesh Puttreddy, Kari Rissanen, Tiina A. Salminen, Mika Scheinin, Xiang-Guo Li and Arto Liljeblad
Molecules 2020, 25(4), 879; https://doi.org/10.3390/molecules25040879 - 17 Feb 2020
Cited by 4 | Viewed by 4400
Abstract
The enantiomers of aromatic 4-dibenzocyclooctynol (DIBO), used for radiolabeling and subsequent conjugation of biomolecules to form radioligands for positron emission tomography (PET), were separated by kinetic resolution using lipase A from Candida antarctica (CAL-A). In optimized conditions, (R)-DIBO [(R)- [...] Read more.
The enantiomers of aromatic 4-dibenzocyclooctynol (DIBO), used for radiolabeling and subsequent conjugation of biomolecules to form radioligands for positron emission tomography (PET), were separated by kinetic resolution using lipase A from Candida antarctica (CAL-A). In optimized conditions, (R)-DIBO [(R)-1, ee 95%] and its acetylated (S)-ester [(S)-2, ee 96%] were isolated. In silico docking results explained the ability of CAL-A to differentiate the enantiomers of DIBO and to accommodate various acyl donors. Anhydrous MgCl2 was used for binding water from the reaction medium and, thus, for obtaining higher conversion by preventing hydrolysis of the product (S)-2 into the starting material. Since the presence of hydrated MgCl2·6H2O also allowed high conversion or effect on enantioselectivity, Mg2+ ion was suspected to interact with the enzyme. Binding site predictions indicated at least two sites of interest; one in the lid domain at the bottom of the acyl binding pocket and another at the interface of the hydrolase and flap domains, just above the active site. Full article
(This article belongs to the Section Organic Chemistry)
Show Figures

Graphical abstract

Back to TopTop