Sign in to use this feature.

Years

Between: -

Subjects

remove_circle_outline
remove_circle_outline
remove_circle_outline
remove_circle_outline
remove_circle_outline
remove_circle_outline
remove_circle_outline
remove_circle_outline
remove_circle_outline

Journals

remove_circle_outline
remove_circle_outline
remove_circle_outline
remove_circle_outline
remove_circle_outline
remove_circle_outline
remove_circle_outline
remove_circle_outline
remove_circle_outline
remove_circle_outline
remove_circle_outline
remove_circle_outline
remove_circle_outline
remove_circle_outline

Article Types

Countries / Regions

remove_circle_outline
remove_circle_outline
remove_circle_outline
remove_circle_outline
remove_circle_outline

Search Results (421)

Search Parameters:
Keywords = emotion elicitation

Order results
Result details
Results per page
Select all
Export citation of selected articles as:
16 pages, 2686 KB  
Article
Effects of Forest Trail and Ground Walking on Mental and Physical Health Promotion in Middle-Aged Women Living in Urban Areas
by Eunheui Nam and Seongwoo Jeon
Healthcare 2025, 13(22), 2876; https://doi.org/10.3390/healthcare13222876 - 12 Nov 2025
Abstract
Background/Objectives: Recently, the importance of physical activity for health promotion has increased the demand for physical activities performed in natural environments. However, environmental characteristics that enhance the efficiency of physical activities and contribute to health promotion have not yet been established. This study [...] Read more.
Background/Objectives: Recently, the importance of physical activity for health promotion has increased the demand for physical activities performed in natural environments. However, environmental characteristics that enhance the efficiency of physical activities and contribute to health promotion have not yet been established. This study aimed to verify the mental and physical health of walking in different environments by measuring EEG and HR responses among middle-aged women living in urban areas during forest trail (GU) and school ground (NF) walking. Methods: In total, 30 middle-aged women participated in a 1.5 km walking, with HR measured during normal, NF, and GU walking. EEGs were recorded before and after walking 5 waves (Delta, Theta, Alpha, Beta, and Gamma). All data were collected under standardized conditions and analyzed using paired t-tests. Results: Alpha, beta, and gamma waves increased after GU walking (p < 0.001) but decreased after NF walking, suggesting that walking in natural environments promotes emotional stability, attentional recovery, and cognitive activation. Mean HR during GU was higher than during NF (p < 0.001), and NF walking corresponded to moderate-intensity exercise, whereas GU walking represented vigorous-intensity activity, likely influenced by its 5% slope and multi-sensory natural stimuli such as forest, sounds, and air quality. Conclusions: This study is not a clinical trial but a health experiment of physical activity, highlighting how walking in natural environments can contribute to improved health. The walking environment elicits distinct mental and physical responses, and forest walking has proven to be more effective in improving health. This result highlights the value of nature-based exercise spaces accessible in urban environments and can help with design and health policies. Full article
Show Figures

Figure 1

23 pages, 3283 KB  
Article
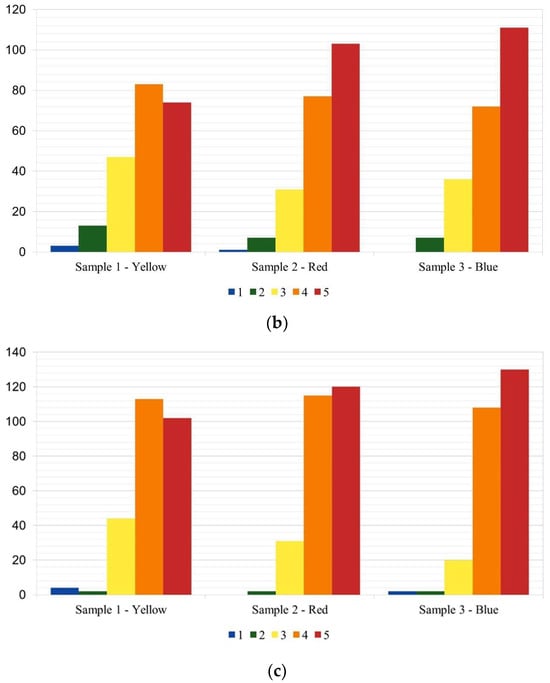
The Influence of Food Colors on Emotional Perception and Consumer Acceptance: A Sensory and Emotional Profiling Approach in Gastronomy
by Jarbas Silva, Francisca Elisângela Lima, Clarisse Souza, Bruno Moreira-Leite and Paulo Sousa
Foods 2025, 14(22), 3818; https://doi.org/10.3390/foods14223818 - 7 Nov 2025
Viewed by 361
Abstract
Food color is a powerful determinant of consumer perception, influencing emotions, taste expectations, and hedonic responses. This study investigated how red, yellow, and blue plating colors affect emotional responses, acceptance, and taste associations. Emotional descriptors were defined through two focus groups (n = [...] Read more.
Food color is a powerful determinant of consumer perception, influencing emotions, taste expectations, and hedonic responses. This study investigated how red, yellow, and blue plating colors affect emotional responses, acceptance, and taste associations. Emotional descriptors were defined through two focus groups (n = 17) and validated in a consumer study with 295 participants (63.4% female, 35.3% male). Three color-dominant samples were evaluated online using the Check-All-That-Apply (CATA), Rate-All-That-Apply (RATA), and a nine-point hedonic scale. The red sample achieved the highest acceptance (7.27), followed by blue (7.03) and yellow (6.82) (p < 0.05). Red was strongly associated with positive RATA terms such as pleasant (3.90), with pleasure (2.95), and satisfied, while blue elicited negative responses, including disgusted (72%) and no appetite (74%). Pearson correlations confirmed pleasant (r = 0.70, p < 0.001) and with pleasure (r = 0.58, p < 0.001) as key acceptance drivers, whereas disgusted (r = −0.29, p < 0.001) acted as a rejection cue. Correspondence analysis explained 68% of the variance, and Partial Least Squares Regression highlighted pleasant (VIP = 1.86) as the strongest predictor of liking. Tableware (≥4.25) and plating arrangement (≥4.31) also significantly shaped emotional perception. These results demonstrate that plating colors critically influence consumer emotions and acceptance, offering practical insights for multisensory gastronomy and food design. Overall, the study shows that plating color can be strategically leveraged in gastronomy and product development to enhance consumer emotions and acceptance, providing valuable guidance for multisensory food design. Although conducted using photographic stimuli and limited to Brazilian consumers, the study provides valuable insights into how plating color influences emotional and hedonic responses. These findings can support both academic research and professional practice, guiding chefs and food designers in developing multisensory gastronomic experiences. Full article
Show Figures

Graphical abstract

21 pages, 1561 KB  
Article
Specific Neural Mechanisms Underlying Humans’ Processing of Information Related to Companion Animals: A Comparison with Domestic Animals and Objects
by Heng Liu, Xinqi Zhou, Jingyuan Lin and Wuji Lin
Animals 2025, 15(21), 3162; https://doi.org/10.3390/ani15213162 - 31 Oct 2025
Viewed by 613
Abstract
Humans show neural specificity in processing animal-related information, especially regarding companion animals. However, the underlying cognitive mechanisms remain poorly understood. This study’s main objective is to investigate human neural specificity in processing companion animal-related information, compared to other animal types and inanimate objects. [...] Read more.
Humans show neural specificity in processing animal-related information, especially regarding companion animals. However, the underlying cognitive mechanisms remain poorly understood. This study’s main objective is to investigate human neural specificity in processing companion animal-related information, compared to other animal types and inanimate objects. Forty participants viewed four image types (companion animals, neutral animals, positive objects, neutral objects) during functional magnetic resonance imaging (fMRI) scans and judged image categories. T-test results showed: 1. Processing companion animal-related information elicited specific brain activation in the right Inferior Parietal Lobe (right IPL), right Middle Occipital Gyrus (right MOG), left Superior Frontal Gyrus (left SFG), and left Precuneus (left PCu) (<0.05). 2. Generalized Psychophysiological Interaction (gPPI) analysis revealed specific functional connectivity changes between relevant brain regions during companion animal info processing (<0.05). 3. Dynamic Causal Modelling (DCM) analysis showed significant intrinsic connectivity differences between pet owners and non-pet owners: specifically, left IPL to left PCu and right ACC to right MOG (posterior probability, Pp > 0.95). The results of this study demonstrate that humans exhibit distinct neural specificity when processing information related to companion animals compared with livestock and inanimate objects. This neural specificity involves brain regions linked to higher-order cognitive functions (e.g., visual processing, emotion, and attachment), all of which are integral components of the human attachment network. These regions are part of the human attachment network, and their functional role likely relates to attachment mechanisms. These findings help clarify companion animals’ impact on human neural activity during human–animal interactions and guide applications like animal-assisted therapy. Full article
(This article belongs to the Special Issue The Complexity of the Human–Companion Animal Bond)
Show Figures

Figure 1

17 pages, 972 KB  
Article
Audiovisual Integration Enhances Customer Perception of Artisanal Bread Sounds
by Tianyi Zhang, Maciej Chmara and Charles Spence
Foods 2025, 14(21), 3714; https://doi.org/10.3390/foods14213714 - 30 Oct 2025
Viewed by 295
Abstract
Auditory cues are an important, though often overlooked, component of the multisensory experience of food consumption, directly influencing consumer perception and enjoyment. This study investigates how prior food-related experiences affect the perception and preference for food sounds, with a focus on artisanal bread, [...] Read more.
Auditory cues are an important, though often overlooked, component of the multisensory experience of food consumption, directly influencing consumer perception and enjoyment. This study investigates how prior food-related experiences affect the perception and preference for food sounds, with a focus on artisanal bread, a popular staple food with distinctive auditory characteristics. A group of 113 participants was recruited and assigned to one of the two groups: 53 attended a bread-making workshop to establish enriched audiovisual associations, while 60 watched bread-making videos online, which represented a comparatively limited form of sensory engagement. Participants rated their perceived comfort levels for three distinct bread-related food sounds before and after the intervention. Sound recognition performance was also assessed as well as the appeal of the sounds. The results revealed that those who attended the workshop evaluated the close-up food sounds significantly more positively than those who watched the videos instead. Furthermore, regression analyses revealed that greater visual involvement during the workshop/watching videos was associated with increased comfort and decreased annoyance for the close-up bread sounds. These findings underscore the importance of multisensory integration experiences, particularly audiovisual integration, in shaping consumer responses and preferences for food sounds. To make sure that consumers feel comfortable and even hungry when they listen to food-related audial content, it is beneficial to incorporate familiar food sounds and, where possible, reinforce these with visual or experiential cues. Content that leverages multisensory associations and aligns with listeners’ prior experiences is likely to be more effective in eliciting positive sensory and emotional responses. Full article
(This article belongs to the Section Sensory and Consumer Sciences)
Show Figures

Figure 1

19 pages, 286 KB  
Article
‘he’s not just a dog… he’s something bigger… my family.’ A Qualitative Study on Dog Ownership and Emotional Well-Being
by Eirini Stamataki and Panagiota Tragantzopoulou
Healthcare 2025, 13(21), 2666; https://doi.org/10.3390/healthcare13212666 - 22 Oct 2025
Viewed by 394
Abstract
Background/Objectives: Dogs are widely regarded as reliable sources of companionship and emotional support. In many instances, they are not merely considered pets, but valued as integral members of the family who significantly influence their caregivers’ emotional and psychological health. Within this framework, [...] Read more.
Background/Objectives: Dogs are widely regarded as reliable sources of companionship and emotional support. In many instances, they are not merely considered pets, but valued as integral members of the family who significantly influence their caregivers’ emotional and psychological health. Within this framework, this research examines how dog ownership through adoption may serve as both a protective and empowering factor against feelings of loneliness, while also fostering emotional resilience and a renewed sense of purpose in everyday life. Methods: Employing a qualitative research design, this study involved ten Greek participants, five women and five men, aged between 26 and 72, all of whom were the primary caregivers of their dogs. Data were collected through semi-structured interviews aimed at eliciting rich, in-depth personal narratives. Thematic analysis was used to identify recurring emotional patterns and explore the meanings embedded in participants’ accounts. Results: The findings revealed that the human–dog bond functions as a stable emotional anchor, promoting non-judgmental connection and emotional security. Participants reported experiencing greater emotional expression, enhanced social engagement, and improved psychological balance. Conclusions: Overall, the results demonstrate how dog ownership through adoption may act as a protective factor against loneliness while fostering resilience and emotional balance, pointing to the broader mental health benefits of nurturing human–animal bonds. Full article
30 pages, 1297 KB  
Systematic Review
A Systematic Review of Inter-Brain Synchrony and Psychological Conditions: Stress, Anxiety, Depression, Autism and Other Disorders
by Atiqah Azhari, Ashvina Rai and Y. H. Victoria Chua
Brain Sci. 2025, 15(10), 1113; https://doi.org/10.3390/brainsci15101113 - 16 Oct 2025
Viewed by 1476
Abstract
Background: Inter-brain synchrony (IBS)—the temporal alignment of neural activity between individuals during social interactions—has emerged as a key construct in social neuroscience, reflecting shared attention, emotional attunement, and coordinated behavior. Enabled by hyperscanning techniques, IBS has been observed across a range of dyadic [...] Read more.
Background: Inter-brain synchrony (IBS)—the temporal alignment of neural activity between individuals during social interactions—has emerged as a key construct in social neuroscience, reflecting shared attention, emotional attunement, and coordinated behavior. Enabled by hyperscanning techniques, IBS has been observed across a range of dyadic contexts, including cooperation, empathy, and communication. This systematic review synthesizes recent empirical findings on inter-brain synchrony (IBS)—the temporal alignment of neural activity between individuals—across psychological and neurodevelopmental conditions, including stress, anxiety, depression, and autism spectrum disorder (ASD). Methods: Drawing on 30 studies employing hyperscanning methodologies (EEG, fNIRS, fMRI), we examined how IBS patterns vary by clinical condition, dyad type, and brain region. Results: Findings indicate that IBS is generally reduced in anxiety, depression, and ASD, particularly in key social brain regions such as the dorsolateral and medial prefrontal cortices (dlPFC, mPFC, vmPFC), temporoparietal junction (TPJ), and inferior frontal gyrus (IFG), suggesting impaired emotional resonance and social cognition. In contrast, stress elicited both increases and decreases in IBS, modulated by context, emotional proximity, and cooperative strategies. Parent–child, therapist–client, and romantic dyads exhibited distinct synchrony profiles, with gender and relational dynamics further shaping neural coupling. Conclusions: Collectively, the findings support IBS as a potentially dynamic, condition-sensitive, and contextually modulated neurophysiological indicator of interpersonal functioning, with implications for diagnostics, intervention design, and the advancement of social neuroscience in clinical settings. Full article
Show Figures

Figure 1

16 pages, 815 KB  
Article
Predictors of Support-Seeking During Stress Discussions of Older Adult Couples
by Yuxi Xie and Brooke C. Feeney
Behav. Sci. 2025, 15(10), 1393; https://doi.org/10.3390/bs15101393 - 15 Oct 2025
Viewed by 464
Abstract
Despite its central role in fostering effective social support, support-seeking behavior has received limited empirical attention—particularly among older adults, who have heightened needs for support due to age-related cognitive and physical decline. This study identified and examined key predictors of four types of [...] Read more.
Despite its central role in fostering effective social support, support-seeking behavior has received limited empirical attention—particularly among older adults, who have heightened needs for support due to age-related cognitive and physical decline. This study identified and examined key predictors of four types of support-seeking behaviors—direct and indirect instrumental and emotional support-seeking. Long-term married couples, with at least one partner aged 65 or older, participated in a laboratory-based discussion about a personal life stressor, during which support-seeking behaviors were coded. We examined both the support-seeker’s and support-provider’s attachment orientation, as well as the support-seeker’s stress level and relationship quality (e.g., satisfaction, commitment, and trust), as predictors of observed support-seeking behaviors. Results indicated that greater stress and higher relationship quality were associated with more direct instrumental support-seeking, while lower relationship quality and greater attachment insecurity in both partners predicted more indirect instrumental and emotional support-seeking. However, support-seekers also showed more direct emotional support-seeking with avoidantly attached partners, possibly as a compensatory effort to elicit needed support. This study contributes to the limited literature focusing on support-seeking behaviors, particularly in older adulthood, and has implications for interventions aimed at promoting effective communication and support-seeking. Full article
(This article belongs to the Section Social Psychology)
Show Figures

Figure 1

58 pages, 744 KB  
Article
Review and Comparative Analysis of Databases for Speech Emotion Recognition
by Salvatore Serrano, Omar Serghini, Giulia Esposito, Silvia Carbone, Carmela Mento, Alessandro Floris, Simone Porcu and Luigi Atzori
Data 2025, 10(10), 164; https://doi.org/10.3390/data10100164 - 14 Oct 2025
Viewed by 1659
Abstract
Speech emotion recognition (SER) has become increasingly important in areas such as healthcare, customer service, robotics, and human–computer interaction. The progress of this field depends not only on advances in algorithms but also on the databases that provide the training material for SER [...] Read more.
Speech emotion recognition (SER) has become increasingly important in areas such as healthcare, customer service, robotics, and human–computer interaction. The progress of this field depends not only on advances in algorithms but also on the databases that provide the training material for SER systems. These resources set the boundaries for how well models can generalize across speakers, contexts, and cultures. In this paper, we present a narrative review and comparative analysis of emotional speech corpora released up to mid-2025, bringing together both psychological and technical perspectives. Rather than following a systematic review protocol, our approach focuses on providing a critical synthesis of more than fifty corpora covering acted, elicited, and natural speech. We examine how these databases were collected, how emotions were annotated, their demographic diversity, and their ecological validity, while also acknowledging the limits of available documentation. Beyond description, we identify recurring strengths and weaknesses, highlight emerging gaps, and discuss recent usage patterns to offer researchers both a practical guide for dataset selection and a critical perspective on how corpus design continues to shape the development of robust and generalizable SER systems. Full article
Show Figures

Figure 1

26 pages, 947 KB  
Article
Colour Perception in Immersive Virtual Reality: Emotional and Physiological Responses to Fifteen Munsell Hues
by Francesco Febbraio, Simona Collina, Christina Lepida and Panagiotis Kourtesis
Virtual Worlds 2025, 4(4), 45; https://doi.org/10.3390/virtualworlds4040045 - 14 Oct 2025
Viewed by 620
Abstract
Colour is a fundamental determinant of affective experience in immersive virtual reality (VR), yet the emotional and physiological impact of individual hues remains poorly characterised. This study investigated how fifteen calibrated Munsell hues influence subjective and autonomic responses when presented in immersive VR. [...] Read more.
Colour is a fundamental determinant of affective experience in immersive virtual reality (VR), yet the emotional and physiological impact of individual hues remains poorly characterised. This study investigated how fifteen calibrated Munsell hues influence subjective and autonomic responses when presented in immersive VR. Thirty-six adults (18–45 years) viewed each hue in a within-subject design while pupil diameter and skin conductance were recorded continuously, and self-reported emotions were assessed using the Self-Assessment Manikin across pleasure, arousal, and dominance. Repeated-measures ANOVAs revealed robust hue effects on all three self-report dimensions and on pupil dilation, with medium-to-large effect sizes. Reds and red–purple hues elicited the highest arousal and dominance, whereas blue–green hues were rated most pleasurable. Pupil dilation closely tracked arousal ratings, while skin conductance showed no reliable hue differentiation, likely due to the brief exposure times (30 s). Individual differences in cognitive style and personality modulated overall reactivity but did not alter the relative ranking of hues. Taken together, these findings provide the first systematic hue-by-hue mapping of affective and physiological responses in immersive VR. They demonstrate that calibrated colour shapes both experience and ocular physiology, while also offering practical guidance for educational, clinical, and interface design in virtual environments. Full article
Show Figures

Figure 1

22 pages, 642 KB  
Systematic Review
The Impact of Novel Therapies on Quality-of-Life in Triple-Negative Breast Cancer: A Systematic Review of Clinical Trials
by Banice Kamau, Maxim Shulimovich and Sinha Samridhi
Cancers 2025, 17(20), 3307; https://doi.org/10.3390/cancers17203307 - 13 Oct 2025
Viewed by 945
Abstract
Background: Triple-negative breast cancer (TNBC) is an aggressive breast cancer subtype characterized by poor prognosis and limited therapeutic options. Chemotherapy regimens are associated with significant adverse effects negatively impacting patients’ quality of life (QoL). This systematic review aims to evaluate and compare QoL [...] Read more.
Background: Triple-negative breast cancer (TNBC) is an aggressive breast cancer subtype characterized by poor prognosis and limited therapeutic options. Chemotherapy regimens are associated with significant adverse effects negatively impacting patients’ quality of life (QoL). This systematic review aims to evaluate and compare QoL outcomes of patients with TNBC receiving novel therapies—including immunotherapy, antibody–drug conjugates, and targeted therapies—versus standard chemotherapy. Methods: We systematically reviewed randomized controlled trials (RCTs) published within the past 15 years, identified through comprehensive searches in PubMed, Google Scholar, Research4Life, and Elicit. Included studies involved FDA-approved novel therapies (pembrolizumab, atezolizumab, sacituzumab-govitecan, olaparib, and talazoparib) administered to TNBC patients, and assessed QoL using validated tools such as EORTC QLQ-C30. Observational studies, case reports, and non-standardized assessments were excluded. Results: Eight RCTs comprising 3929 patients met the inclusion criteria. Sacituzumab govitecan and PARP inhibitors (olaparib and talazoparib) significantly improved QoL, notably delaying deterioration across physical, emotional, and functional domains compared to standard chemotherapy. Conversely, immunotherapies (pembrolizumab, atezolizumab) showed non-significant trends toward QoL improvement, with effects varying by patient subgroup and disease stage. Interpretation was limited by study design differences, inconsistent compliance, and incomplete data reporting. Conclusions: Immunotherapy showed a neutral effect on quality of life, providing neither significant improvement nor additional decline. Olaparib was associated with a delayed deterioration in quality of life, showing a more favorable tolerability profile compared to chemotherapy. Talazoparib leads to clinically meaningful enhancements in quality of life, while sacituzumab govitecan effectively improves patient-reported outcomes relative to standard chemotherapy. Full article
(This article belongs to the Section Systematic Review or Meta-Analysis in Cancer Research)
Show Figures

Figure 1

20 pages, 431 KB  
Article
Re-Viewing the Same Artwork with Emotional Reappraisal: An Undergraduate Classroom Study in Time-Based Media Art Education
by Haocheng Feng, Tzu-Yang Wang, Takaya Yuizono and Shan Huang
Educ. Sci. 2025, 15(10), 1354; https://doi.org/10.3390/educsci15101354 - 12 Oct 2025
Viewed by 555
Abstract
Learning and understanding of art are increasingly understood as dynamic processes in which emotion and cognition unfold over time. However, classroom-based evidence on how structured temporal intervals and guided prompts reshape students’ emotional experience remains limited. This study addresses these gaps by quantitatively [...] Read more.
Learning and understanding of art are increasingly understood as dynamic processes in which emotion and cognition unfold over time. However, classroom-based evidence on how structured temporal intervals and guided prompts reshape students’ emotional experience remains limited. This study addresses these gaps by quantitatively examining changes in emotion over time in a higher education institution. Employing a comparative experimental design, third-year undergraduate art students participated in two structured courses, where emotional responses were captured using an emotion recognition approach (facial expression and self-reported text) during two sessions: initial impression and delayed impression (three days later). The findings reveal a high consistency in dominant facial expressions and substantial agreement in self-reported emotions across both settings. However, the delayed impression elicited greater emotional diversity and intensity, reflecting deeper cognitive engagement and emotional processing over time. These results reveal a longitudinal trajectory of emotion influenced by guided reflective re-view over time. Emotional dynamics extend medium theory by embedding temporal and affective dimensions into TBMA course settings. This study proposes an ethically grounded and technically feasible framework for emotion recognition that supports reflective learning rather than mere measurement. Together, these contributions redefine TBMA education as a temporal and emotional ecosystem and provide an empirical foundation for future research on how emotion fosters understanding, interest, and appreciation in higher media art education. Full article
(This article belongs to the Section Education and Psychology)
Show Figures

Figure 1

19 pages, 725 KB  
Article
Resilience Behind Barriers: Life, Labour, and Lockdown in Singapore’s Dormitories
by Ganapathy Narayanan and Vineeta Sinha
Urban Sci. 2025, 9(10), 419; https://doi.org/10.3390/urbansci9100419 - 11 Oct 2025
Viewed by 954
Abstract
During the COVID-19 pandemic, migrant workers in Singapore endured one of the longest and most stringent periods of confinement globally. Segregationist policies were intensified as the state imposed strict disciplinary regimes over workers’ mobility and everyday lives, framed as public health interventions but [...] Read more.
During the COVID-19 pandemic, migrant workers in Singapore endured one of the longest and most stringent periods of confinement globally. Segregationist policies were intensified as the state imposed strict disciplinary regimes over workers’ mobility and everyday lives, framed as public health interventions but functioning also as labor discipline and social control. This study asks: how did migrant workers experience, narrate, and endure life under such conditions of confinement? Drawing on sixteen in-depth interviews with South Asian male construction workers, conducted in dormitories and makeshift worksites, we adopt a grounded theory approach to elicit contextually grounded accounts of life under lockdown. The analysis highlights three interrelated themes: emotional regulation, migrant masculinity and the gendered politics of endurance, and digital connectivity as an affective infrastructure. These practices enabled workers to carve out agentic spaces within structures designed to render them passive. Our findings reveal that even amid fear, surveillance, overcrowding, and economic precarity, workers combined stoicism, transnational kinship ties, religious routines, and solidarity to sustain resilience. While initially guided by Foucauldian notions of surveillance and biopower, the study advances a counter-Foucauldian insight: that institutional control is never total, and migrant narratives of resilience offer nuanced understandings of agency under constrain. Full article
Show Figures

Figure 1

26 pages, 7555 KB  
Article
EEG Spectral Analysis in Chronic Pain During Rest and Cognitive Reasoning
by Diana Chertic, Victor Dăbală, Livia Livinț-Popa, Maria Balea, Nicu Cătălin Drăghici, Ștefan Strilciuc, Răzvan Cherecheș, Vitalie Văcăraș and Dafin F. Mureșanu
Sensors 2025, 25(19), 6230; https://doi.org/10.3390/s25196230 - 8 Oct 2025
Viewed by 866
Abstract
Chronic pain (CP) represents a multidimensional condition in which cognitive and emotional factors shape the individual experience from perception to action. The purpose of this study was to characterize the functional significance of alterations in neural oscillatory dynamics underlying the transition from resting-state [...] Read more.
Chronic pain (CP) represents a multidimensional condition in which cognitive and emotional factors shape the individual experience from perception to action. The purpose of this study was to characterize the functional significance of alterations in neural oscillatory dynamics underlying the transition from resting-state to cognitive load across distinct CP phenotypes. Continuous electroencephalographic data were acquired from patients with headache, migraine, and spine-related pain, as well as healthy controls, during rest and three visual–cognitive–motor (VCM) tasks: reaction time, working memory, and associative learning. First, within CP subgroups, we examined cognitive-load-related changes in oscillatory activity. In migraine patients, alpha/beta power attenuation induced during cognitive processing correlated with higher reported pain intensity. Relative to the spine-related pain group, migraine patients exhibited increased occipital alpha and gamma band activity during working memory and associative learning conditions, as a possible neurophysiological signature of cortical hyperexcitability. By comparing a subset of headache patients to healthy controls, we found elevated resting-state delta and gamma activity in the patient group. Under cognitive load conditions, headache patients showed higher power across delta, theta, beta, and gamma frequency bands. Delta and theta activity elicited during the working memory task correlated negatively with pain intensity. Our results demonstrate that the experience of chronic pain is accompanied by frequency-specific alterations in both resting and cognitive-associated oscillatory dynamics, reflecting impaired visual working-memory processing and top–down modulation of behaviorally relevant stimuli. Full article
Show Figures

Figure 1

14 pages, 983 KB  
Article
Gait Variability and Spatiotemporal Parameters During Emotion-Induced Walking: Assessment with Inertial Measurement Units
by Marvin Alvarez, Angeloh Stout, Luke Fisanick, Chuan-Fa Tang, David George Wilson, Leslie Gray, Breanne Logan and Gu Eon Kang
Sensors 2025, 25(19), 6222; https://doi.org/10.3390/s25196222 - 8 Oct 2025
Viewed by 616
Abstract
Emotion alters the way humans walk, yet most prior studies have relied on laboratory-based 3D motion capture systems. While accurate, these approaches limit translation to real-world settings and have largely focused on spatiotemporal parameters and joint motions. This study evaluated the feasibility of [...] Read more.
Emotion alters the way humans walk, yet most prior studies have relied on laboratory-based 3D motion capture systems. While accurate, these approaches limit translation to real-world settings and have largely focused on spatiotemporal parameters and joint motions. This study evaluated the feasibility of using inertial measurement units (IMUs) to detect emotion-related changes in gait variability as well as spatiotemporal gait parameters. Fourteen healthy young adults completed overground gait trials while wearing two ankle-mounted IMUs. Five target emotions, anger, sadness, neutral emotion, joy, and fear, were elicited using an autobiographical memory paradigm. The IMUs measured stride length, stride time, stride velocity, cadence, and gait variability. The results showed that stride length, stride time, stride velocity, and cadence significantly differed across emotions. Anger and joy were associated with longer strides and faster velocities, while sadness produced slower walking with longer stride times and reduced cadence. Interestingly, gait variability did not differ significantly across emotional states. These findings demonstrate that IMUs can capture emotion specific gait changes previously documented with motion capture, supporting their feasibility for use in natural and clinical contexts. This work advances understanding of how emotions shape gait and highlights the potential of wearable technology for unobtrusive emotion and mobility research. Full article
(This article belongs to the Special Issue Applications of Body Worn Sensors and Wearables)
Show Figures

Figure 1

18 pages, 716 KB  
Article
Metacognitive Modulation of Cognitive-Emotional Dynamics Under Social-Evaluative Stress: An Integrated Behavioural–EEG Study
by Katia Rovelli, Angelica Daffinà and Michela Balconi
Appl. Sci. 2025, 15(19), 10678; https://doi.org/10.3390/app151910678 - 2 Oct 2025
Viewed by 543
Abstract
Background/Objectives: Decision-making under socially evaluative stress engages a dynamic interplay between cognitive control, emotional appraisal, and motivational systems. Contemporary models of multi-level co-regulation posit that these systems operate in reciprocal modulation, redistributing processing resources to prioritise either rapid socio-emotional alignment or deliberate evaluation [...] Read more.
Background/Objectives: Decision-making under socially evaluative stress engages a dynamic interplay between cognitive control, emotional appraisal, and motivational systems. Contemporary models of multi-level co-regulation posit that these systems operate in reciprocal modulation, redistributing processing resources to prioritise either rapid socio-emotional alignment or deliberate evaluation depending on situational demands. Methods: Adopting a neurofunctional approach, a novel dual-task protocol combining the MetaCognition–Stress Convergence Paradigm (MSCP) and the Social Stress Test Neuro-Evaluation (SST-NeuroEval), a simulated social–evaluative speech task calibrated across progressive emotional intensities, was implemented. Twenty professionals from an HR consultancy firm participated in the study, with concurrent recording of frontal-temporoparietal electroencephalography (EEG) and bespoke psychometric indices: the MetaStress-Insight Index and the TimeSense Scale. Results: Findings revealed that decision contexts with higher socio-emotional salience elicited faster, emotionally guided choices (mean RT difference emotional vs. cognitive: −220 ms, p = 0.026), accompanied by oscillatory signatures (frontal delta: F(1,19) = 13.30, p = 0.002; gamma: F(3,57) = 14.93, p ≤ 0.001) consistent with intensified socio-emotional integration and contextual reconstruction. Under evaluative stress, oscillatory activity shifted across phases, reflecting the transition from anticipatory regulation to reactive engagement, in line with models of phase-dependent stress adaptation. Across paradigms, convergences emerged between decision orientation, subjective stress, and oscillatory patterns, supporting the view that cognitive–emotional regulation operates as a coordinated, multi-level system. Conclusions: These results underscore the importance of integrating behavioural, experiential, and neural indices to characterise how individuals adaptively regulate decision-making under socially evaluative stress and highlight the potential of dual-paradigm designs for advancing theory and application in cognitive–affective neuroscience. Full article
(This article belongs to the Special Issue Brain Functional Connectivity: Prediction, Dynamics, and Modeling)
Show Figures

Figure 1

Back to TopTop