Sign in to use this feature.

Years

Between: -

Subjects

remove_circle_outline
remove_circle_outline

Journals

Article Types

Countries / Regions

Search Results (6)

Search Parameters:
Keywords = embedded elliptical crack

Order results
Result details
Results per page
Select all
Export citation of selected articles as:
14 pages, 7536 KB  
Article
The Effect of Rare Earth Cerium on Microstructure and Properties of Low Alloy Wear-Resistant Steel
by Cheng Su, Guanghong Feng, Jianguo Zhi, Bo Zhao and Wei Wu
Metals 2022, 12(8), 1358; https://doi.org/10.3390/met12081358 - 16 Aug 2022
Cited by 25 | Viewed by 3404
Abstract
With the continuous expansion of the application field of low alloy wear-resistant steel, higher processing plasticity and toughness are prioritized on the basis of ensuring strength and hardness. In this article, a low alloy wear-resistant steel Hardox400 was studied: by adding a mass [...] Read more.
With the continuous expansion of the application field of low alloy wear-resistant steel, higher processing plasticity and toughness are prioritized on the basis of ensuring strength and hardness. In this article, a low alloy wear-resistant steel Hardox400 was studied: by adding a mass fraction of 0.0030% of rare earth cerium as microalloying treatment, the pilot scale simulation of the rare earth wear-resistant steel was carried out using vacuum induction furnace and a four-high reversible laboratory mill. The effects of the rare earth on the occurrence state of the inclusions, microstructure, mechanical properties and wear resistance of the steel were studied by means of optical microscope (OM), scanning electron microscope (SEM) and wet sand/rubber wheel wear tester. The results show that the fine spherical CeAlO3, CeAlO3-MnS and elliptical Ce2S2O-CaO are formed by adding 0.0030% Ce, which enhances the binding force between the inclusions and matrix. The addition of rare earth Ce helps to refine the as-cast structure, prevent the transformation of proeutectoid ferrite of overcooled austenite and promotes the formation of bainite ferrite, whilst simultaneously increasing the yield strength, yield ratio and surface hardness, especially the low-temperature impact toughness approximately between −40 °C~−20 °C of the tested steel. Simultaneously, the ability to resist abrasive embedment and crack propagation is enhanced, and the wear resistance is obviously improved. The research results will provide a reference for the development of high-quality rare earth wear-resistant steel utilizing national featured resources. Full article
Show Figures

Figure 1

17 pages, 24143 KB  
Article
An Investigation into the Densification-Affected Deformation and Fracture in Fused Silica under Contact Sliding
by Changsheng Li, Yushan Ma, Lin Sun, Liangchi Zhang, Chuhan Wu, Jianjun Ding, Duanzhi Duan, Xuepeng Wang and Zhandong Chang
Micromachines 2022, 13(7), 1106; https://doi.org/10.3390/mi13071106 - 14 Jul 2022
Cited by 4 | Viewed by 2771
Abstract
Subsurface damage of fused silica optics is one of the major factors restricting the performance of optical systems. The densification-affected deformation and fracture in fused silica under a sliding contact are investigated in this study, via three-dimensional finite element analysis (FEA). The finite [...] Read more.
Subsurface damage of fused silica optics is one of the major factors restricting the performance of optical systems. The densification-affected deformation and fracture in fused silica under a sliding contact are investigated in this study, via three-dimensional finite element analysis (FEA). The finite element models of scratching with 70.3° conical and Berkovich indenters are established. A refined elliptical constitutive model is used to consider the influence of densification. The finite element models are experimentally verified by elastic recovery, and theoretically verified by hardness ratio. Results of densification and plastic deformation distributions indicate that the accuracy of existent sliding stress field models may be improved if the spherical/cylindrical yield region is replaced by an ellipsoid/cylindroid, and the embedding of the yield region is considered. The initiation sequence, and the locations and stages of radial, median, and lateral cracks are discussed by analyzing the predicted sliding stress fields. Median and radial cracks along the sliding direction tend to be the first cracks that emerge in the sliding and unloading stages, respectively. They coalesce to form a big median–radial crack that penetrates through the entire yield region. The fracture behavior of fused silica revealed in this study is essential in the low-damage machining of fused silica optics. Full article
(This article belongs to the Special Issue Frontiers in Ultra-Precision Machining, Volume II)
Show Figures

Figure 1

30 pages, 5641 KB  
Article
Phase-Field Model for the Simulation of Brittle-Anisotropic and Ductile Crack Propagation in Composite Materials
by Christoph Herrmann, Daniel Schneider, Ephraim Schoof, Felix Schwab and Britta Nestler
Materials 2021, 14(17), 4956; https://doi.org/10.3390/ma14174956 - 30 Aug 2021
Cited by 6 | Viewed by 3099
Abstract
In this work, a small-strain phase-field model is presented, which is able to predict crack propagation in systems with anisotropic brittle and ductile constituents. To model the anisotropic brittle crack propagation, an anisotropic critical energy release rate is used. The brittle constituents behave [...] Read more.
In this work, a small-strain phase-field model is presented, which is able to predict crack propagation in systems with anisotropic brittle and ductile constituents. To model the anisotropic brittle crack propagation, an anisotropic critical energy release rate is used. The brittle constituents behave linear-elastically in a transversely isotropic manner. Ductile crack growth is realised by a special crack degradation function, depending on the accumulated plastic strain, which is calculated by following the J2-plasticity theory. The mechanical jump conditions are applied in solid-solid phase transition regions. The influence of the relevant model parameters on a crack propagating through a planar brittle-ductile interface, and furthermore a crack developing in a domain with a single anisotropic brittle ellipsoid, embedded in a ductile matrix, is investigated. We demonstrate that important properties concerning the mechanical behaviour of grey cast iron, such as the favoured growth of cracks along the graphite lamellae and the tension–compression load asymmetry of the stress–strain response, are covered by the model. The behaviour is analysed on the basis of a simulation domain consisting of three differently oriented elliptical inclusions, embedded in a ductile matrix, which is subjected to tensile and compressive load. The material parameters used correspond to graphite lamellae and pearlite. Full article
(This article belongs to the Special Issue Phase Field Modeling for Multiphase Problems)
Show Figures

Figure 1

15 pages, 7529 KB  
Article
Stress Intensity Factors for Embedded, Surface, and Corner Cracks in Finite-Thickness Plates Subjected to Tensile Loading
by Jesús Toribio, Beatriz González, Juan-Carlos Matos and Óscar Mulas
Materials 2021, 14(11), 2807; https://doi.org/10.3390/ma14112807 - 25 May 2021
Cited by 5 | Viewed by 3130
Abstract
The aim of this study is to obtain the stress intensity factor (SIF) along the crack front of elliptical cracks located in finite-thickness plates subjected to imposed displacement or applied tensile load, for different crack geometries (relative depths and aspect ratios) and crack [...] Read more.
The aim of this study is to obtain the stress intensity factor (SIF) along the crack front of elliptical cracks located in finite-thickness plates subjected to imposed displacement or applied tensile load, for different crack geometries (relative depths and aspect ratios) and crack configurations (embedded, surface, and corner). The SIF was calculated from the J-integral, obtained by the finite element method. The results show how the SIF grows with the increase in the relative crack depth and with the decrease in the aspect ratio, with the corner crack being the most dangerous configuration and the embedded crack the most favorable configuration. By increasing the plate length, the SIF rises when the plate is under imposed displacement and decreases when the plate is subjected to applied tensile load, both cases tending towards the same SIF curve. Full article
(This article belongs to the Special Issue Research and Modeling of Materials Fatigue and Fracture)
Show Figures

Figure 1

13 pages, 8068 KB  
Article
Uncertainty Modeling of Fatigue Crack Growth and Probabilistic Life Prediction for Welded Joints of Nuclear Stainless Steel
by Haijun Chang, Mengling Shen, Xiaohua Yang and Junxia Hou
Materials 2020, 13(14), 3192; https://doi.org/10.3390/ma13143192 - 17 Jul 2020
Cited by 11 | Viewed by 3296
Abstract
Welded joints are widely used in the pipeline connection of nuclear power plants. Defects in these joints are an important factor leading to the failure of welded joints. It is critical to study the fatigue crack growth and life prediction methods for the [...] Read more.
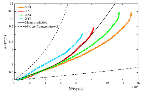
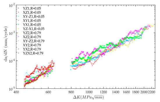
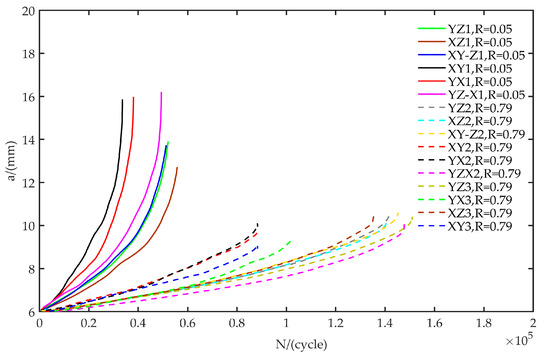
Welded joints are widely used in the pipeline connection of nuclear power plants. Defects in these joints are an important factor leading to the failure of welded joints. It is critical to study the fatigue crack growth and life prediction methods for the welded joints with defects, to reduce their likelihood. In this paper, we present our study of the uncertainty of fatigue crack propagation and probabilistic life prediction for welded joints of nuclear stainless steel. The standard compact tension (CT) specimens were fabricated according to the American Society for Testing and Materials (ASTM) standard. Fatigue crack propagation tests with different stress ratios were performed on CT specimens, using the Mei Te Si (MTS) fatigue test system. A fatigue crack propagation rate model considering the uncertainty of material parameters, and based on the Paris formula and crack propagation experimental data, was established. A probabilistic life prediction method based on Monte Carlo simulation was developed. The fatigue crack propagation prediction result of a CT specimen was compared with the actual tested result, to verify the effectiveness of the proposed method. Finally, the method was applied to an embedded elliptical crack in welded joints of nuclear stainless steel, to predict the fatigue crack growth life and evaluate the reliability. Full article
(This article belongs to the Section Advanced Materials Characterization)
Show Figures

Figure 1

10 pages, 637 KB  
Article
A Model for Determining Strength for Embedded Elliptical Crack in Ultra-high-temperature Ceramics
by Ruzhuan Wang and Weiguo Li
Materials 2015, 8(8), 5018-5027; https://doi.org/10.3390/ma8085018 - 5 Aug 2015
Viewed by 5410
Abstract
A fracture strength model applied at room temperature for embedded elliptical crack in brittle solid was obtained. With further research on the effects of various physical mechanisms on material strength, a thermo-damage strength model for ultra-high-temperature ceramics was applied to each temperature phase. [...] Read more.
A fracture strength model applied at room temperature for embedded elliptical crack in brittle solid was obtained. With further research on the effects of various physical mechanisms on material strength, a thermo-damage strength model for ultra-high-temperature ceramics was applied to each temperature phase. Fracture strength of TiC and the changing trends with elliptical crack shape variations under different temperatures were studied. The study showed that under low temperature, the strength is sensitive to the crack shape variation; as the temperature increases, the sensitivities become smaller. The size of ellipse’s minor axes has great effect on the material strength when the ratio of ellipse’s minor and major axes is lower than 0.5, even under relatively high temperatures. The effect of the minor axes of added particle on material properties thus should be considered under this condition. As the crack area is set, the fracture strength decreases firstly and then increases with the increase of ratio of ellipse’s minor and major axes, and the turning point is 0.5. It suggests that for the added particles the ratio of ellipse’s minor and major axes should not be 0.5. All conclusions significantly coincided with the results obtained by using the finite element software ABAQUS. Full article
(This article belongs to the Special Issue Failure Analysis in Materials)
Show Figures

Figure 1

Back to TopTop