Sign in to use this feature.

Years

Between: -

Subjects

remove_circle_outline
remove_circle_outline
remove_circle_outline

Journals

Article Types

Countries / Regions

Search Results (14)

Search Parameters:
Keywords = electron deficient alkene

Order results
Result details
Results per page
Select all
Export citation of selected articles as:
13 pages, 2202 KB  
Communication
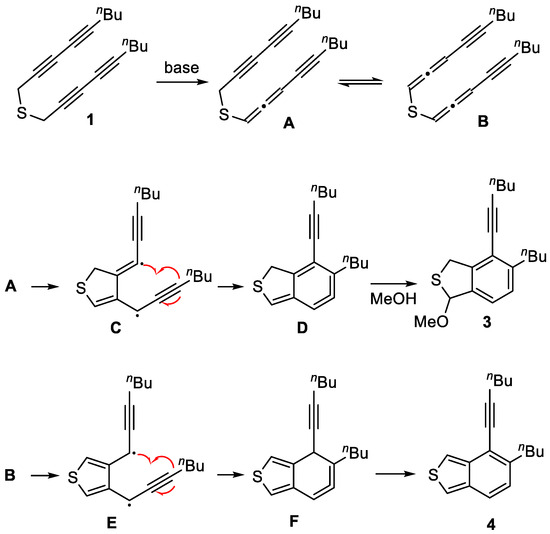
Utilizing the Pentadehydro-Diels–Alder Reaction for Polycyclic Aromatic Compound Synthesis: Diels–Alder-Based Linker Transformation
by Ying Xia, Qiaofeng Liang, Chenlong Zhu and Bingfeng Sun
Molecules 2025, 30(7), 1617; https://doi.org/10.3390/molecules30071617 - 4 Apr 2025
Viewed by 1404
Abstract
This study introduces a traceless linker strategy for pentadehydro-Diels–Alder (PDDA) cyclization, in which the sulfide/sulfone linker is strategically repurposed as a diene surrogate. As excellent electron-donating dienes, these linkers react with electron-deficient alkenes and alkynes, resulting in a series of highly selective cyclization [...] Read more.
This study introduces a traceless linker strategy for pentadehydro-Diels–Alder (PDDA) cyclization, in which the sulfide/sulfone linker is strategically repurposed as a diene surrogate. As excellent electron-donating dienes, these linkers react with electron-deficient alkenes and alkynes, resulting in a series of highly selective cyclization products. This cascade reaction efficiently integrates the PDDA reaction with linker transformation, formally eliminating the need for permanent structural constraints. By exploiting the intrinsic reactivity of the linker, this strategy offers a robust and versatile approach to constructing complex polycyclic aromatic architectures, providing a powerful tool for organic synthesis. Full article
(This article belongs to the Section Organic Chemistry)
Show Figures

Graphical abstract

8 pages, 1840 KB  
Communication
Efficient Solvent-Free Synthesis of Indolizines Using CuBr Catalyst from Pyridine, Acetophenone, and Electron-Deficient Alkenes
by Xueguo Zhang, Jianpeng Zhang, Zhengyi Liu, Wenxuan Bi, Jian Shen and Guang Li
Molecules 2024, 29(9), 2061; https://doi.org/10.3390/molecules29092061 - 29 Apr 2024
Cited by 5 | Viewed by 1740
Abstract
Herein, we have developed a new approach for the synthesis of indolizine via Cu-catalyzed reaction of pyridine, acetophenone, and nitroolefin under mild conditions in high yields. This reaction involved the formation of C–N and C–C bonds and new indolizine compounds with high stereoselectivity [...] Read more.
Herein, we have developed a new approach for the synthesis of indolizine via Cu-catalyzed reaction of pyridine, acetophenone, and nitroolefin under mild conditions in high yields. This reaction involved the formation of C–N and C–C bonds and new indolizine compounds with high stereoselectivity and excellent functional group tolerance. Full article
(This article belongs to the Special Issue Novel Organic Synthetic Route to Heterocyclic Compounds)
Show Figures

Graphical abstract

19 pages, 26194 KB  
Article
Reactivity and Stability of (Hetero)Benzylic Alkenes via the Wittig Olefination Reaction
by Ajmir Khan, Mohammed G. Sarwar and Sher Ali
Molecules 2024, 29(2), 501; https://doi.org/10.3390/molecules29020501 - 19 Jan 2024
Cited by 7 | Viewed by 3019
Abstract
Wittig olefination at hetero-benzylic positions for electron-deficient and electron-rich heterocycles has been studied. The electronic effects of some commonly used protective groups associated with the N-heterocycles were also investigated for alkenes obtained in the context of the widely employed Wittig olefination reaction. [...] Read more.
Wittig olefination at hetero-benzylic positions for electron-deficient and electron-rich heterocycles has been studied. The electronic effects of some commonly used protective groups associated with the N-heterocycles were also investigated for alkenes obtained in the context of the widely employed Wittig olefination reaction. It was observed that hetero-benzylic positions of the pyridine, thiophene and furan derivatives were stable after Wittig olefination. Similarly, electron-withdrawing groups (EWGs) attached to N-heterocycles (indole and pyrrole derivatives) directly enhanced the stability of the benzylic position during and after Wittig olefination, resulting in the formation of stable alkenes. Conversely, electron-donating group (EDG)-associated N-heterocycles boosted the reactivity of benzylic alkene, leading to lower yields or decomposition of the olefination products. Full article
(This article belongs to the Special Issue Advances in Heterocyclic Synthesis)
Show Figures

Graphical abstract

22 pages, 5791 KB  
Article
Synthesis and Characterization of Tetraphenylethene AIEgen-Based Push–Pull Chromophores for Photothermal Applications: Could the Cycloaddition–Retroelectrocyclization Click Reaction Make Any Molecule Photothermally Active?
by Maxime Roger, Yann Bretonnière, Yann Trolez, Antoine Vacher, Imane Arbouch, Jérôme Cornil, Gautier Félix, Julien De Winter, Sébastien Richeter, Sébastien Clément and Philippe Gerbier
Int. J. Mol. Sci. 2023, 24(10), 8715; https://doi.org/10.3390/ijms24108715 - 13 May 2023
Cited by 5 | Viewed by 3376
Abstract
Three new tetraphenylethene (TPE) push–pull chromophores exhibiting strong intramolecular charge transfer (ICT) are described. They were obtained via [2 + 2] cycloaddition–retroelectrocyclization (CA-RE) click reactions on an electron-rich alkyne-tetrafunctionalized TPE (TPE-alkyne) using both 1,1,2,2-tetracyanoethene (TCNE), 7,7,8,8-tetracyanoquinodimethane (TCNQ) and 2,3,5,6-tetrafluoro-7,7,8,8-tetracyanoquinodimethane (F4-TCNQ) as [...] Read more.
Three new tetraphenylethene (TPE) push–pull chromophores exhibiting strong intramolecular charge transfer (ICT) are described. They were obtained via [2 + 2] cycloaddition–retroelectrocyclization (CA-RE) click reactions on an electron-rich alkyne-tetrafunctionalized TPE (TPE-alkyne) using both 1,1,2,2-tetracyanoethene (TCNE), 7,7,8,8-tetracyanoquinodimethane (TCNQ) and 2,3,5,6-tetrafluoro-7,7,8,8-tetracyanoquinodimethane (F4-TCNQ) as electron-deficient alkenes. Only the starting TPE-alkyne displayed significant AIE behavior, whereas for TPE-TCNE, a faint effect was observed, and for TPE-TCNQ and TPE-F4-TCNQ, no fluorescence was observed in any conditions. The main ICT bands that dominate the UV–Visible absorption spectra underwent a pronounced red-shift beyond the near-infrared (NIR) region for TPE-F4-TCNQ. Based on TD-DFT calculations, it was shown that the ICT character shown by the compounds exclusively originated from the clicked moieties independently of the nature of the central molecular platform. Photothermal (PT) studies conducted on both TPE-TCNQ and TPE-F4-TCNQ in the solid state revealed excellent properties, especially for TPE-F4-TCNQ. These results indicated that CA-RE reaction of TCNQ or F4-TCNQ with donor-substituted are promising candidates for PT applications. Full article
(This article belongs to the Special Issue Advances in Luminescent Organic Materials Design and Application)
Show Figures

Figure 1

10 pages, 1273 KB  
Article
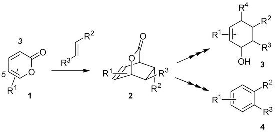
tert-Butyl(2-oxo-2H-pyran-5-yl)carbamate as the First Chameleon Diene Bearing an Electron-Donating Substituent
by Yasser M. Omar, Giulia Santucci and Kamyar Afarinkia
Molecules 2022, 27(17), 5666; https://doi.org/10.3390/molecules27175666 - 2 Sep 2022
Cited by 2 | Viewed by 3722
Abstract
The 2(H)-pyran-2-one bearing electron-donating tert-butylcarbamate (BocNH-) group at the 5- position is a “chameleon” diene and undergoes efficient Diels–Alder cycloadditions with alkene dienophiles with both electron-rich and electron-deficient substituents. Cycloadditions afford the 5-substituted bicyclic lactone cycloadducts regardless of the electronic [...] Read more.
The 2(H)-pyran-2-one bearing electron-donating tert-butylcarbamate (BocNH-) group at the 5- position is a “chameleon” diene and undergoes efficient Diels–Alder cycloadditions with alkene dienophiles with both electron-rich and electron-deficient substituents. Cycloadditions afford the 5-substituted bicyclic lactone cycloadducts regardless of the electronic nature of the dienophile. However, cycloadditions with electronically matched electron-deficient dienophiles proceed faster than those with electronically mismatched electron-rich dienophiles. Full article
(This article belongs to the Section Organic Chemistry)
Show Figures

Figure 1

30 pages, 13506 KB  
Review
Electron-Deficient Acetylenes as Three-Modal Adjuvants in SNH Reaction of Pyridinoids with Phosphorus Nucleophiles
by Boris A. Trofimov, Pavel A. Volkov and Anton A. Telezhkin
Molecules 2021, 26(22), 6824; https://doi.org/10.3390/molecules26226824 - 11 Nov 2021
Cited by 14 | Viewed by 2587
Abstract
Publications covering a new easy metal-free functionalization of pyridinoids (pyridines, quinolines, isoquinolines, acridine) under the action of the system of electron-deficient acetylenes (acetylenecarboxylic acid esters, acylacetylenes)/P-nucleophiles (phosphine chalcogenides, H-phosphonates) are reviewed. Special attention is focused on a SNH [...] Read more.
Publications covering a new easy metal-free functionalization of pyridinoids (pyridines, quinolines, isoquinolines, acridine) under the action of the system of electron-deficient acetylenes (acetylenecarboxylic acid esters, acylacetylenes)/P-nucleophiles (phosphine chalcogenides, H-phosphonates) are reviewed. Special attention is focused on a SNH reaction of the regioselective cross-coupling of pyridines with secondary phosphine chalcogenides triggered by acylacetylenes to give 4-chalcogenophosphorylpyridines. In these processes, acetylenes act as three-modal adjuvants (i) activating the pyridine ring towards P-nucleophiles, (ii) deprotonating the P-H bond and (iii) facilitating the nucleophilic addition of the P-centered anion to a heterocyclic moiety followed by the release of the selectively reduced acetylenes (E-alkenes). Full article
Show Figures

Scheme 1

13 pages, 5504 KB  
Article
Rh Particles Supported on Sulfated g-C3N4: A Highly Efficient and Recyclable Heterogeneous Catalyst for Alkene Hydroformylation
by Yukun Shi, Yang Lu, Tongxin Ren, Jie Li, Qiqige Hu, Xiaojing Hu, Baolin Zhu and Weiping Huang
Catalysts 2020, 10(11), 1359; https://doi.org/10.3390/catal10111359 - 23 Nov 2020
Cited by 18 | Viewed by 3777
Abstract
The hydroformylation of alkenes with CO and H2 to manufacture aldehydes is one of the most large-scale chemical reactions. However, an efficient and recyclable heterogeneous catalyst for alkene hydroformylation is extremely in demand in academia and industry. In this study, a sulfated [...] Read more.
The hydroformylation of alkenes with CO and H2 to manufacture aldehydes is one of the most large-scale chemical reactions. However, an efficient and recyclable heterogeneous catalyst for alkene hydroformylation is extremely in demand in academia and industry. In this study, a sulfated carbon nitride supported rhodium particle catalyst (Rh/S-g-C3N4) was successfully synthesized via an impregnation-borohydride reduction method and applied in the hydroformylation of alkenes. The catalysts were characterized by XRD, FTIR, SEM, TEM, XPS, and nitrogen adsorption. The influence of the sulfate content, pressure of syngas, temperature, and reaction time, as well as the stability of Rh/S-g-C3N4, on the hydroformylation was examined in detail. The delocalized conjugated structure in g-C3N4 can lead to the formation of electron-deficient aromatic intermediates with alkenes. The sulphate g-C3N4 has a defected surface owing to the formation of oxygen vacancies, which increased the adsorption and dispersion of RhNPs on the surface of g-C3N4. Therefore, Rh/S-g-C3N4 exhibited an outstanding catalytic performance for styrene hydroformylation (TOF = 9000 h−1), the conversion of styrene could reach 99.9%, and the regioselectivity for the branched aldehyde was 52% under the optimized reaction conditions. The catalytic properties of Rh/S-g-C3N4 were also studied in the hydroformylation of various alkenes and displayed an excellent catalytic performance. Furthermore, the reuse of Rh/S-g-C3N4 was tested for five recycling processes, without an obvious decrease in the activity and selectivity under the optimum reaction conditions. These findings demonstrated that Rh/S-g-C3N4 is a potential catalyst for heterogeneous hydroformylation. Full article
(This article belongs to the Special Issue The Design and Development of Precious Metal Catalysts)
Show Figures

Graphical abstract

11 pages, 3591 KB  
Article
Enantioselective Protonation of Radical Anion Intermediates in Photoallylation and Photoreduction Reactions of 3,3-Diaryl-1,1-dicyano-2-methylprop-1-ene with Allyltrimethylsilane
by Hajime Maeda, Masayuki Iida, Daisuke Ogawa and Kazuhiko Mizuno
Molecules 2019, 24(14), 2677; https://doi.org/10.3390/molecules24142677 - 23 Jul 2019
Cited by 1 | Viewed by 4499
Abstract
Photoreactions of acetonitrile solutions of 3,3-diaryl-1,1-dicyano-2-methylprop-1-enes (1ac) with allyltrimethylsilane (2) in the presence of phenanthrene as a photoredox catalyst and acetic acid as a proton source formed photoallylation (3) and photoreduction (4) products [...] Read more.
Photoreactions of acetonitrile solutions of 3,3-diaryl-1,1-dicyano-2-methylprop-1-enes (1ac) with allyltrimethylsilane (2) in the presence of phenanthrene as a photoredox catalyst and acetic acid as a proton source formed photoallylation (3) and photoreduction (4) products via photoinduced electron transfer pathways. When (S)-mandelic acid was used as the proton source, the reactions proceeded with 3.4 and 4.8 %ee for formation of 3 and 4, respectively. The results of studies of the effect of aryl ring substituents and several chiral carboxylic acids suggested that the enantioselectivities of the reactions are governed by steric controlled proton transfer in intermediate complexes formed by π-π and OH-π interactions of anion radicals derived from 1ac and chiral carboxylic acids. Full article
(This article belongs to the Special Issue New Insights in Photoredox Catalysis)
Show Figures

Graphical abstract

11 pages, 14348 KB  
Article
A Reusable Palladium/Cationic 2,2′-Bipyridyl System-Catalyzed Double Mizoroki-Heck Reaction in Water
by Yu-Chi Chen, Chien-Chi Wu, Wei-Ting Liao, Ling-Jun Liu and Fu-Yu Tsai
Catalysts 2017, 7(6), 177; https://doi.org/10.3390/catal7060177 - 2 Jun 2017
Cited by 6 | Viewed by 4353
Abstract
A reusable PdCl2(NH3)2/cationic 2,2′-bipyridyl system was used to catalyze the double Mizoroki-Heck reaction of aryl iodides with electron-deficient alkenes in water in the absence of inert gas, giving β,β-diarylated carbonyl derivatives in good to excellent yields. The [...] Read more.
A reusable PdCl2(NH3)2/cationic 2,2′-bipyridyl system was used to catalyze the double Mizoroki-Heck reaction of aryl iodides with electron-deficient alkenes in water in the absence of inert gas, giving β,β-diarylated carbonyl derivatives in good to excellent yields. The formation of unsymmetrical β,β-diarylated alkenes were also studied by coupling aryl iodides with the corresponding aryl-substituted α,β-unsaturated carbonyl compounds. This water-soluble catalyst can be swiftly separated from the organic layer using simple extraction for the further reuse, and, thus, makes it an operationally-simple and environmentally-benign procedure. Full article
(This article belongs to the Special Issue Catalysis in Innovative Solvents)
Show Figures

Graphical abstract

7 pages, 1680 KB  
Article
Synthesis of Alkyl Aryl Sulfones via Reaction of N-Arylsulfonyl Hydroxyamines with Electron-Deficient Alkenes
by Yunhui Bin and Ruimao Hua
Molecules 2017, 22(1), 39; https://doi.org/10.3390/molecules22010039 - 28 Dec 2016
Cited by 4 | Viewed by 6108
Abstract
Alkyl aryl sulfones were prepared in high yields via the reaction of N-arylsulfonyl hydroxylamines with electron-deficient alkenes. These reactions have the advantages of simplicity, easily available starting materials and mild reaction conditions. Full article
(This article belongs to the Section Organic Chemistry)
Show Figures

Graphical abstract

15 pages, 825 KB  
Article
Hydrogenations without Hydrogen: Titania Photocatalyzed Reductions of Maleimides and Aldehydes
by David W. Manley, Luca Buzzetti, Andrew MacKessack-Leitch and John C. Walton
Molecules 2014, 19(9), 15324-15338; https://doi.org/10.3390/molecules190915324 - 24 Sep 2014
Cited by 16 | Viewed by 9393
Abstract
A mild procedure for the reduction of electron-deficient alkenes and carbonyl compounds is described. UVA irradiations of substituted maleimides with dispersions of titania (Aeroxide P25) in methanol/acetonitrile (1:9) solvent under dry anoxic conditions led to hydrogenation and production of the corresponding succinimides. Aromatic [...] Read more.
A mild procedure for the reduction of electron-deficient alkenes and carbonyl compounds is described. UVA irradiations of substituted maleimides with dispersions of titania (Aeroxide P25) in methanol/acetonitrile (1:9) solvent under dry anoxic conditions led to hydrogenation and production of the corresponding succinimides. Aromatic and heteroaromatic aldehydes were reduced to primary alcohols in similar titania photocatalyzed reactions. A mechanism is proposed which involves two proton-coupled electron transfers to the substrates at the titania surface. Full article
(This article belongs to the Special Issue Free Radicals and Radical Ions)
Show Figures

Graphical abstract

9 pages, 227 KB  
Review
The Hydroarylation Reaction—Scope and Limitations
by Jan C. Namyslo, Jörg Storsberg, Jens Klinge, Christian Gärtner, Min-Liang Yao, Nuket Ocal and Dieter Eckhard Kaufmann
Molecules 2010, 15(5), 3402-3410; https://doi.org/10.3390/molecules15053402 - 10 May 2010
Cited by 40 | Viewed by 15479
Abstract
The synthetic potential of stereoselective, palladium-catalyzed hydro(het)arylation reactions of bi-, tri- and tetracyclic (hetero)alkenes in the presence of phospines and arsines as highly efficient ligands was studied. The mechanism of this reductive Heck reaction becomes more complex in the case of benzonorbornenes. Hydroarylation [...] Read more.
The synthetic potential of stereoselective, palladium-catalyzed hydro(het)arylation reactions of bi-, tri- and tetracyclic (hetero)alkenes in the presence of phospines and arsines as highly efficient ligands was studied. The mechanism of this reductive Heck reaction becomes more complex in the case of benzonorbornenes. Hydroarylation of diazabicyclo-[2.2.1]heptenes provides a stereoselective access to aryldiaminocyclopentanes. Electron-deficient arylpalladium complexes shift the reaction towards the product of a formal 1,2-hydrazidoarylation reaction of 1,3-cyclopentadiene by a stereoselective C-N cleavage. Due to steric reasons, rigid bicyclo[2.2.2]octenes react slower in hydroarylation reactions than the corresponding bicyclo[2.2.1]heptenes. The more flexible bicyclo[4.2.2]decene system already tends to undergo domino-Heck reactions, even under reductive conditions. When a tetracyclic cis-allylcyclopropane is carbopalladated in the presence of formates, the neighboring cyclopropane ring is attacked in the first reported example of a π,σ domino-Heck reaction. Full article
(This article belongs to the Special Issue Heck Coupling)
Show Figures

Figure 1

24 pages, 232 KB  
Review
Reactivity and Synthetic Applications of 4,5-Dicyanopyridazine: An Overview
by Renzo Alfini, Marco Cecchi and Donatella Giomi
Molecules 2010, 15(3), 1722-1745; https://doi.org/10.3390/molecules15031722 - 12 Mar 2010
Cited by 13 | Viewed by 12204
Abstract
Despite the poor reputation of electron-deficient pyridazines in intermolecular Hetero Diels-Alder (HDA) reactions, 4,5-dicyanopyridazine (DCP) showed a surprising reactivity as a heterocyclic azadiene in inverse electron-demand HDA processes with different dienophiles. The use of alkenes, alkynes and enamines as 2p electron counterparts afforded [...] Read more.
Despite the poor reputation of electron-deficient pyridazines in intermolecular Hetero Diels-Alder (HDA) reactions, 4,5-dicyanopyridazine (DCP) showed a surprising reactivity as a heterocyclic azadiene in inverse electron-demand HDA processes with different dienophiles. The use of alkenes, alkynes and enamines as 2p electron counterparts afforded dicyanocyclohexa-1,3-dienes and substituted phthalonitriles, respectively, while the use of suitable bis-dienophiles provides a general strategy for the one-pot synthesis of polycyclic carbo- and hetero-cage systemsthrough pericyclic three-step homodomino processes. HDA reactions with heterocyclic dienophiles allowed direct benzoannelation: in particular, pyrrole and indole derivatives were converted to dicyano-indoles and -carbazoles. In addition an unprecedented reactivity of DCP as a very reactive heterocyclic electrophile at the C-4 carbon was also evidenced: by changing the experimental conditions, cyanopyrrolyl- and cyanoindolyl-pyridazines were obtained through reactions of pyrrole and indole systems as carbon nucleophiles in formal SNAr2 processes where a CN group of DCP acts as leaving group. Thus, careful control of the reaction conditions allows exploitation of both pathways for the synthesis of different classes of heterocyclic derivatives. Full article
(This article belongs to the Special Issue Advances in Heterocyclic Chemistry)
Show Figures

Figure 1

13 pages, 131 KB  
Article
Facile Synthesis of Heterocycles via 2-Picolinium Bromide and Antimicrobial Activities of the Products
by Elham S. Darwish
Molecules 2008, 13(5), 1066-1078; https://doi.org/10.3390/molecules13051066 - 1 May 2008
Cited by 61 | Viewed by 10131
Abstract
The 2-picolinium N-ylide 4, generated in situ from the N-acylmethyl-2-picolinium bromide 3, underwent cycloaddition to N-phenylmaleimide or carbon disulfideto give the corresponding cycloadducts 6 and 8, respectively similar reactions ofcompound 3 with some electron-deficient alkenes in the presence of MnO2 yielded theproducts [...] Read more.
The 2-picolinium N-ylide 4, generated in situ from the N-acylmethyl-2-picolinium bromide 3, underwent cycloaddition to N-phenylmaleimide or carbon disulfideto give the corresponding cycloadducts 6 and 8, respectively similar reactions ofcompound 3 with some electron-deficient alkenes in the presence of MnO2 yielded theproducts 11 and 12. In addition, reaction of 4 with arylidene cyanothioacetamide andmalononitrile derivatives afforded the thiophene and aniline derivatives 15 and 17,respectively. Heating of picolinium bromide 3 with triethylamine in benzene furnished 2-(2-thienyl)indolizine (18). The structures of the isolated products were confirmed byelemental analysis as well as by 1H- and 13C-NMR, IR, and MS data. Both thestereochemistry and the regioselectivity of the studied reactions are discussed. Thebiological activity of the newly synthesized compounds was examined and showedpromising results. Full article
Show Figures

Figure 1

Back to TopTop