Sign in to use this feature.

Years

Between: -

Subjects

remove_circle_outline
remove_circle_outline
remove_circle_outline
remove_circle_outline
remove_circle_outline
remove_circle_outline
remove_circle_outline
remove_circle_outline
remove_circle_outline

Journals

Article Types

Countries / Regions

Search Results (18)

Search Parameters:
Keywords = eco-friendly retrofitting

Order results
Result details
Results per page
Select all
Export citation of selected articles as:
27 pages, 8810 KB  
Article
Natural Fiber TRM for Integrated Upgrading/Retrofitting
by Arnas Majumder, Monica Valdes, Andrea Frattolillo, Enzo Martinelli and Flavio Stochino
Buildings 2025, 15(16), 2852; https://doi.org/10.3390/buildings15162852 - 12 Aug 2025
Viewed by 832
Abstract
Sustainability in the construction and building sector with the use of greener and more eco-friendly building materials can minimize carbon footprint, which is one of the prime goals of the twenty-first century. The use of natural fibers in ancient and traditional buildings and [...] Read more.
Sustainability in the construction and building sector with the use of greener and more eco-friendly building materials can minimize carbon footprint, which is one of the prime goals of the twenty-first century. The use of natural fibers in ancient and traditional buildings and structures is not new, but in the last fifty years, only man-made fibers have predominantly occupied the market for structural retrofitting or upgrading. This research investigated the potential of utilizing natural fibers, particularly jute fiber products, to enhance masonry’s thermal and structural characteristics. The study meticulously investigated the utilization of materials such as jute net (with a mesh size of 2.5 cm × 1.25 cm), jute fiber diatons, and jute fiber composite mortar (with 1% jute fiber with respect to the dry mortar mass) in the context of masonry upgrading. The research evaluated the structural and thermal performance of these upgraded walls. Notably, the implementation of natural fiber textile-reinforced mortar (NFTRM) resulted in an astounding increase of over 500% in the load-bearing capacity of the walls, while simultaneously enhancing insulation by more than 36%. Furthermore, the study involved a meticulous analysis of crack patterns during in-plane cyclic testing utilizing the advanced Digital Image Correlation (DIC) tool. The upgraded/retrofitted wall exhibited a maximum crack width of approximately 7.84 mm, primarily along the diagonal region. Full article
(This article belongs to the Collection Sustainable and Green Construction Materials)
Show Figures

Figure 1

39 pages, 11665 KB  
Review
Sustainable Masonry Retrofitting and Upgrading Techniques: A Review
by Arnas Majumder, Flavio Stochino, Monica Valdes, Giovanna Concu, Marco Pepe and Enzo Martinelli
Fibers 2025, 13(6), 68; https://doi.org/10.3390/fib13060068 - 23 May 2025
Cited by 1 | Viewed by 3090
Abstract
This study presents a comprehensive review of various advanced methodologies that have been used to enhance the structural and thermal performance of masonry walls through innovative and sustainable retrofitting/upgrading techniques. Focusing on three primary approaches—mechanical/structural retrofitting, thermal retrofitting, and integrated (structural and thermal) [...] Read more.
This study presents a comprehensive review of various advanced methodologies that have been used to enhance the structural and thermal performance of masonry walls through innovative and sustainable retrofitting/upgrading techniques. Focusing on three primary approaches—mechanical/structural retrofitting, thermal retrofitting, and integrated (structural and thermal) retrofitting, this paper critically examines various masonry-strengthening strategies. Retrofitting techniques are categorized by material use and objectives. Fiber-based solutions include insulation materials, fiber composite mortar for strength, FRP for high-strength reinforcement, and TRM for durability. According to the relevant objectives, retrofitting can enhance structural stability (FRP, TRM), improve thermal insulation, or combine both for integrated performance. Particular emphasis is placed on the effectiveness of TRM systems, with a comparative analysis of man-made (glass, steel textile) and natural fiber-based TRM solutions. Regarding integrating natural fibers into TRM systems, this study highlights their potential as eco-friendly alternatives that reduce environmental impact while maintaining or improving structural integrity. Furthermore, it highlights and examines techniques for testing masonry walls. In this context, this review highlights the applicability of natural fiber as a sustainable building material in various retrofitting/upgrading solutions. Full article
Show Figures

Figure 1

27 pages, 2338 KB  
Review
Strengthening of Masonry and Concrete Members with Textile-Reinforced Alkali-Activated Mortars: A Review on the Mechanical Performance
by Paraskevi D. Askouni, Panagiotis Kapsalis, Catherine G. Papanicolaou and Thanasis C. Triantafillou
Materials 2025, 18(7), 1517; https://doi.org/10.3390/ma18071517 - 28 Mar 2025
Cited by 2 | Viewed by 823
Abstract
Textile-reinforced alkali-activated mortar (TRAAM) is a composite material that is characterized by a strain- or deflection-hardening response under tension or flexure, respectively, as well as by a good bond with concrete and masonry substrates. Owing to comparable or even superior mechanical performance compared [...] Read more.
Textile-reinforced alkali-activated mortar (TRAAM) is a composite material that is characterized by a strain- or deflection-hardening response under tension or flexure, respectively, as well as by a good bond with concrete and masonry substrates. Owing to comparable or even superior mechanical performance compared to “conventional” cement- or lime-based textile-reinforced mortar (TRM) systems and its potentially eco-friendly energy and environmental performance, TRAAM has been incorporated to retrofitting schemes. The current article reviews the studies that investigate TRAAM as a strengthening overlay for masonry and concrete members. This article focuses on the mechanical performance of the strengthened members, which, where possible, is also compared with that of members strengthened with conventional TRM systems. It is concluded that TRAAM can enhance the flexural and shear capacity of masonry and concrete members, while it can also upgrade the compression strength and seismic response of concrete members. In addition, it is concluded that the effectiveness of TRAAM can be comparable with that of “conventional” TRM systems. The combination of TRAAM with thermal insulation boards has also been proposed for structural and energy upgrading of masonry walls. Furthermore, TRAAM can be a promising solution for increasing the fire resistance of strengthened masonry members. However, research on the long-term performance of TRAAM, including durability, creep, and shrinkage, is still limited. Finally, the lack of established standards for TRM retrofitting is more evident for TRAAM applications. Full article
Show Figures

Figure 1

25 pages, 7208 KB  
Article
Sustainable Development of Grade 2 Listed Dwellings: A Wall Replication Method with Slim Wheat Straw Panels for Heritage Retrofitting
by Farres Yasser, Hynda Aoun Klalib, Amira Elnokaly and Anton Ianakiev
Sustainability 2025, 17(6), 2735; https://doi.org/10.3390/su17062735 - 19 Mar 2025
Cited by 1 | Viewed by 855
Abstract
The urgent global mandate to achieve net zero carbon emissions by 2030 has accelerated innovation in sustainable construction materials, particularly natural insulation solutions. This study addresses persistent challenges such as complex production processes, non-compostable components, and limited adherence to industry standards by developing [...] Read more.
The urgent global mandate to achieve net zero carbon emissions by 2030 has accelerated innovation in sustainable construction materials, particularly natural insulation solutions. This study addresses persistent challenges such as complex production processes, non-compostable components, and limited adherence to industry standards by developing and evaluating a novel slim insulation panel made from agricultural waste, specifically wheat straw. Targeted at retrofitting Grade 2 listed dwellings in the UK—where external modifications are restricted—the panels combine simplicity, full compostability, and conformity with regulatory benchmarks. Prototypes were fabricated using wheat straw and two compostable binders, tested for thermal performance, moisture stability, and biodegradability using an innovative Actual Wall Replication Method (AWRM) to mimic real-world conditions. The findings demonstrated superior thermal conductivity and durability, with panels achieving significant energy-saving potential without compromising heritage integrity. The work highlights wheat straw’s viability as an eco-friendly insulation material and accentuates the necessity of realistic testing for accurate performance assessment. This study offers a replicable framework for integrating circular economy principles into heritage retrofitting, bridging the gap between ambitious environmental targets and historic building preservation, thereby contributing to broader sustainable development goals. Full article
(This article belongs to the Section Sustainable Urban and Rural Development)
Show Figures

Figure 1

25 pages, 2714 KB  
Review
The Challenge of Integrating Seismic and Energy Retrofitting of Buildings: An Opportunity for Sustainable Materials?
by Luca Penazzato, Rogiros Illampas and Daniel V. Oliveira
Sustainability 2024, 16(8), 3465; https://doi.org/10.3390/su16083465 - 21 Apr 2024
Cited by 11 | Viewed by 4488
Abstract
Recent earthquakes and escalating energy demands are exposing building stock deficiencies, particularly in terms of seismic resilience and energy efficiency. Many aged constructions do not fulfil current regulations both in terms of seismic and thermal design principles, thus requiring suitable retrofitting solutions. Integrated [...] Read more.
Recent earthquakes and escalating energy demands are exposing building stock deficiencies, particularly in terms of seismic resilience and energy efficiency. Many aged constructions do not fulfil current regulations both in terms of seismic and thermal design principles, thus requiring suitable retrofitting solutions. Integrated approaches for concurrent seismic and energy renovation have emerged as promising strategies in recent years, offering holistic solutions that optimize interventions and maximize benefits. While these combined methods hold significant potential for practical applications, there remain opportunities for further research to enhance their advantages. Furthermore, addressing climate concerns requires concentrated effort within the construction sector, where synergetic refurbishments can serve a dual purpose by reducing emissions and promoting the use of more sustainable materials. This study discusses strategies proposed in the literature for integrated retrofitting, considering their environmental impact, both in terms of energy performance and embodied carbon. The overview shows the innovation potential for the development of materials and systems combining acceptable performance with eco-friendly attributes. Yet, their application in integrated retrofitting systems, either as structural components or insulators, is still limited, underscoring the need for continued investigation and advancement. This paper concludes with recommendations to inspire further research and advancements in this critical field. Full article
Show Figures

Figure 1

24 pages, 785 KB  
Article
Retrofitting Technologies for Eco-Friendly Ship Structures: A Risk Analysis Perspective
by Athanasios Kolios
J. Mar. Sci. Eng. 2024, 12(4), 679; https://doi.org/10.3390/jmse12040679 - 19 Apr 2024
Cited by 11 | Viewed by 6194
Abstract
This paper presents a detailed risk assessment framework tailored for retrofitting ship structures towards eco-friendliness. Addressing a critical gap in current research, it proposes a comprehensive strategy integrating technical, environmental, economic, and regulatory considerations. The framework, grounded in the Failure Mode, Effects, and [...] Read more.
This paper presents a detailed risk assessment framework tailored for retrofitting ship structures towards eco-friendliness. Addressing a critical gap in current research, it proposes a comprehensive strategy integrating technical, environmental, economic, and regulatory considerations. The framework, grounded in the Failure Mode, Effects, and Criticality Analysis (FMECA) approach, adeptly combines quantitative and qualitative methodologies to assess the feasibility and impact of retrofitting technologies. A case study on ferry electrification, highlighting options like fully electric and hybrid propulsion systems, illustrates the application of this framework. Fully Electric Systems pose challenges such as ensuring ample battery capacity and establishing the requisite charging infrastructure, despite offering significant emission reductions. Hybrid systems present a flexible alternative, balancing electric operation with conventional fuel to reduce emissions without compromising range. This study emphasizes a holistic risk mitigation strategy, aligning advanced technological applications with environmental and economic viability within a strict regulatory context. It advocates for specific risk control measures that refine retrofitting practices, guiding the maritime industry towards a more sustainable future within an evolving technological and regulatory landscape. Full article
Show Figures

Figure 1

28 pages, 11550 KB  
Article
A Holistic Modular Solution for Energy and Seismic Renovation of Buildings Based on 3D-Printed Thermoplastic Materials
by Lucas Lopes, Luca Penazzato, Daniel C. Reis, Manuela Almeida, Daniel V. Oliveira and Paulo B. Lourenço
Sustainability 2024, 16(5), 2166; https://doi.org/10.3390/su16052166 - 5 Mar 2024
Cited by 8 | Viewed by 2937
Abstract
This paper introduces a novel modular retrofitting solution to enhance the energy efficiency and seismic resilience of building façades, particularly within the Portuguese context. In the context of Europe’s “Renovation Wave” strategy, and as a product of the nationally funded ZeroSkin+ project, the [...] Read more.
This paper introduces a novel modular retrofitting solution to enhance the energy efficiency and seismic resilience of building façades, particularly within the Portuguese context. In the context of Europe’s “Renovation Wave” strategy, and as a product of the nationally funded ZeroSkin+ project, the proposed renovation solution addresses the urgent need for sustainable building renovations to help mitigate climate change and meet European climate neutrality goals by 2050. Unlike traditional methods that often rely on non-eco-friendly materials without integrating seismic and thermal performances, the renovation solution leverages fused deposition modelling (FDM) 3D printing technology to introduce a dual-layered panel system. This system features a durable, UV-resistant PET-G thermoplastic outer layer and a cork interior to ensure additional thermal insulation. The integrated renovation solution shows a 42% improvement in seismic reinforcement’s out-of-plane capacity and achieves U-values as low as 0.30 W/m2·K, exceeding Portugal’s thermal efficiency standards (0.35 to 0.50 W/m2·K). The proposed renovation solution also embraces circular economy principles, emphasising waste reduction and recyclability. Full article
Show Figures

Figure 1

14 pages, 12070 KB  
Article
Cement Pastes with Hygroscopic Polymeric Additions for Potential Building Applications
by Rosa Di Maggio, Gianluca Maracchini, Oscar Cotini and Rossano Albatici
Appl. Sci. 2024, 14(2), 853; https://doi.org/10.3390/app14020853 - 19 Jan 2024
Cited by 2 | Viewed by 1402
Abstract
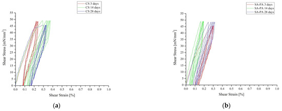
The development of highly predictive analysis for designing cementitious composite with improved thermal and hygroscopic performance for building and construction poses a significant challenge. To investigate new potential applications, cement pastes have been prepared using a cement, sand, and crystallization admixture, with highly [...] Read more.
The development of highly predictive analysis for designing cementitious composite with improved thermal and hygroscopic performance for building and construction poses a significant challenge. To investigate new potential applications, cement pastes have been prepared using a cement, sand, and crystallization admixture, with highly hygroscopic polymer additions (SA-PA) of sodium polyacrylate and/or recycled polyamide fibers. The porosity evolution was investigated at different curing stages and after heat treatment at 200 °C, the temperature at which the paste dehydrates quickly without structural changes. Mercury intrusion porosimetry (MIP), scanning electron microscopy (SEM), cyclic shear tests, thermal conductivity, and diffusivity measurements were carried out on the cement pastes to assess their microstructure. The behavior of the cement pastes varied with polymer additions and thermal treatments; ka−0.5 must be maximized in heat storage applications, where a and k are thermal diffusivity and conductivity, respectively. In contrast, the product a0.5k−1 must be maximized in energy-efficient insulation. Cement pastes with SA-PA exhibited the highest values of both 9.191 102 m−2 K−1 s0.5 W and 1.088 10−3 m2 K s−0.5 W−1, respectively. After the thermal treatment at 200 °C, SA-PA samples maintained the highest heat-storing performance of 6.258 102 m−2 K−1 s0.5 W, while the samples with SA-PA and polyamide fibers performed better in energy-efficient insulation, demonstrating performance of 2.552 10−3 m2 K s−0.5 W−1. These results, discussed in terms of pore size distribution, suggest potential applications in the building field and are valuable for designing plaster and concrete for applications such as thermal and hygroscopic control. Full article
Show Figures

Figure 1

25 pages, 2144 KB  
Review
The Green Cooling Factor: Eco-Innovative Heating, Ventilation, and Air Conditioning Solutions in Building Design
by Bashar Mahmood Ali and Mehmet Akkaş
Appl. Sci. 2024, 14(1), 195; https://doi.org/10.3390/app14010195 - 25 Dec 2023
Cited by 21 | Viewed by 15552
Abstract
This research investigates the compatibility of conventional air conditioning with the principles of green building, highlighting the need for systems that enhance indoor comfort while aligning with environmental sustainability. Though proficient in regulating indoor temperatures, conventional cooling systems encounter several issues when incorporated [...] Read more.
This research investigates the compatibility of conventional air conditioning with the principles of green building, highlighting the need for systems that enhance indoor comfort while aligning with environmental sustainability. Though proficient in regulating indoor temperatures, conventional cooling systems encounter several issues when incorporated into green buildings. These include energy waste, high running costs, and misalignment with eco-friendly practices, which may also lead to detrimental environmental effects and potentially reduce occupant comfort, particularly in retrofit situations. Given the emphasis on sustainability and energy conservation in green buildings, there is a pressing demand for heating, ventilation, and air conditioning (HVAC) solutions that support these goals. This study emphasises the critical need to reconsider traditional HVAC strategies in the face of green building advances. It advocates for the adoption of innovative HVAC technologies designed for eco-efficiency and enhanced comfort. These technologies should integrate seamlessly with sustainable construction, use greener refrigerants, and uphold environmental integrity, driving progress towards a sustainable and occupant-friendly built environment. Full article
Show Figures

Figure 1

18 pages, 2703 KB  
Article
Potential Benefits of Thermal Insulation in Public Buildings: Case of a University Building
by Reyhan Kaya and Semih Caglayan
Buildings 2023, 13(10), 2586; https://doi.org/10.3390/buildings13102586 - 13 Oct 2023
Cited by 6 | Viewed by 2928
Abstract
Global energy demand continues to rise due to advances in both developed and developing countries. Energy-efficient technologies and eco-friendly policies have been insufficient to counterbalance the increasing demand and, thus, the national strategies of many countries have been shaped by energy conservation considerations. [...] Read more.
Global energy demand continues to rise due to advances in both developed and developing countries. Energy-efficient technologies and eco-friendly policies have been insufficient to counterbalance the increasing demand and, thus, the national strategies of many countries have been shaped by energy conservation considerations. Buildings are responsible for more than one third of the global final energy consumption and the energy use in buildings is expected to grow more than 40% in the next 20 years. Even though the energy-efficient retrofits and thermal insulation of the building envelope have been widely studied in academia, the case of existing public buildings has been largely neglected. To fill the gap, this study investigates the thermal insulation of existing public buildings and unveils its potential benefits. An administrative building of a public university has been the subject of financial analysis to observe the feasibility of insulation applications and to identify the most feasible insulation application. The results reveal that (i) the most feasible application depends considerably on the financial scenarios and (ii) the feasibility of insulation applications is greatly influenced by the building geometry. This study contributes to the literature by demonstrating the feasibility of energy retrofits in an administrative public building and proposing an alternative way to achieve national energy efficiency objectives. Full article
Show Figures

Figure 1

20 pages, 5650 KB  
Article
Robust MPPT Control of Stand-Alone Photovoltaic Systems via Adaptive Self-Adjusting Fractional Order PID Controller
by Omer Saleem, Shehryaar Ali and Jamshed Iqbal
Energies 2023, 16(13), 5039; https://doi.org/10.3390/en16135039 - 29 Jun 2023
Cited by 42 | Viewed by 2939
Abstract
The Photovoltaic (PV) system is an eco-friendly renewable energy system that is integrated with a DC-DC buck-boost converter to generate electrical energy as per the variations in solar irradiance and outdoor temperature. This article proposes a novel Adaptive Fractional Order PID (A-FOPID) compensator [...] Read more.
The Photovoltaic (PV) system is an eco-friendly renewable energy system that is integrated with a DC-DC buck-boost converter to generate electrical energy as per the variations in solar irradiance and outdoor temperature. This article proposes a novel Adaptive Fractional Order PID (A-FOPID) compensator with self-adjusting fractional orders to extract maximum power from a stand-alone PV system as ambient conditions change. The reference voltage is generated using a feed-forward neural network. The conventional FOPID compensator, which operates on the output voltage error of the interleaved buck-boost converter, is employed as the baseline maximum-power-point-tracking (MPPT) controller. The baseline controller is retrofitted with an online state-error-driven adaptation law that dynamically modifies the fractional orders of the controller’s integral and differential operators. The adaptation law is formulated as a nonlinear hyperbolic scaling function of the system’s state error and error-derivative variables. This augmentation supplements the controller’s adaptability, enabling it to manipulate flexibly the tightness of the applied control effort as the operating conditions change. The efficacy of the proposed control law is analyzed by carrying out customized simulations in the MATLAB Simulink environment. The simulation results show that the proposed MPPT control scheme yields a mean improvement of 25.4% in tracking accuracy and 11.3% in transient response speed under varying environmental conditions. Full article
(This article belongs to the Special Issue Advances in Photovoltaic Solar Energy)
Show Figures

Figure 1

20 pages, 2645 KB  
Article
Life-Cycle Assessment of Contemporary and Classical Seismic Retrofitting Approaches Applied to a Reinforced Concrete Building in Israel
by Svetlana Pushkar, Ido Halperin and Yuri Ribakov
Buildings 2022, 12(11), 1854; https://doi.org/10.3390/buildings12111854 - 2 Nov 2022
Cited by 5 | Viewed by 3142
Abstract
This study aims to select an eco-friendly earthquake-resistant design using life-cycle assessments (LCAs). The study compares LCAs of three retrofitting cases: concrete shear-wall strengthening (Case 1); reinforced concrete column jacketing with shear-wall strengthening (Case 2); and high-damping rubber bearing base isolation with viscous [...] Read more.
This study aims to select an eco-friendly earthquake-resistant design using life-cycle assessments (LCAs). The study compares LCAs of three retrofitting cases: concrete shear-wall strengthening (Case 1); reinforced concrete column jacketing with shear-wall strengthening (Case 2); and high-damping rubber bearing base isolation with viscous fluid damping devices (Case 3). These cases were applied to a five-story reinforced concrete building built according to the design principles widely used in Israel in the 1970s. The seismic-bearing capacity of the retrofitted building was improved in all three cases, where Case 3 was observed as being the most effective retrofitting measure. The environmental performance of the retrofitting measures was assessed using the ReCiPe 2016 midpoint, which indicated that Case 3 was the best with the least environmental impact, Case 1 was intermediate with moderate environmental impact, and Case 2 was the worst with the most environmental impact. However, the ReCiPe 2016 endpoint single-score results showed that Case 3 caused significantly less damage than Cases 1 and 2, which caused similar significant environmental damage. These results indicate that LCA should be used to select an eco-friendly earthquake-resistant design. Full article
(This article belongs to the Collection Sustainable Buildings in the Built Environment)
Show Figures

Figure 1

16 pages, 3711 KB  
Article
Ecohydrology of Green Stormwater Infrastructure in Shrinking Cities: A Two-Year Case Study of a Retrofitted Bioswale in Detroit, MI
by Shirley Anne Papuga, Emily Seifert, Steven Kopeck and Kyotaek Hwang
Water 2022, 14(19), 3064; https://doi.org/10.3390/w14193064 - 29 Sep 2022
Cited by 6 | Viewed by 3547
Abstract
Stormwater management is of great importance in large shrinking cities with aging and outdated infrastructure. Maintenance of vegetated areas, particularly referred to as green infrastructure, is often aimed at mitigating flooding and the urban heat island effect by stormwater storage and evaporative cooling, [...] Read more.
Stormwater management is of great importance in large shrinking cities with aging and outdated infrastructure. Maintenance of vegetated areas, particularly referred to as green infrastructure, is often aimed at mitigating flooding and the urban heat island effect by stormwater storage and evaporative cooling, respectively. This approach has been applied in large cities as a cost-effective and eco-friendly solution. However, the ecohydrological processes and how the ecohydrology influences the function of green infrastructure and its potential to provide those ecosystem services are not well understood. In this study, continuous field measurements including air temperature, stomatal conductance, and phenocam images were taken in a 308 m2 bioswale retrofitted into a 4063 m2 parking lot on the Wayne State University campus in Detroit, Michigan over a two-year period. Our results suggest that plant characteristics such as water use efficiency impact the ecohydrological processes within bioswales and that retrofitted bioswales will need to be adapted over time to meet environmental demands to allow for full and sustained success. Therefore, projected shifts in precipitation regime change are expected to affect the performance of green infrastructure, and each bioswale needs to be developed and engineered to be able to adapt to changing rainfall patterns. Full article
(This article belongs to the Section Urban Water Management)
Show Figures

Figure 1

10 pages, 1705 KB  
Article
Polysaccharides Release in a Laboratory-Scale Batch Hydrothermal Pretreatment of Wheat Straw under Rigorous Isothermal Operation
by Felicia Rodríguez, Efrén Aguilar-Garnica, Adrián Santiago-Toribio and Arturo Sánchez
Molecules 2022, 27(1), 26; https://doi.org/10.3390/molecules27010026 - 22 Dec 2021
Cited by 13 | Viewed by 3013
Abstract
Hydrothermal pretreatment (HP) is an eco-friendly process for deconstructing lignocellulosic biomass (LCB) that plays a key role in ensuring the profitability of producing biofuels or bioproducts in a biorefinery. At the laboratory scale, HP is usually carried out under non-isothermal regimes with poor [...] Read more.
Hydrothermal pretreatment (HP) is an eco-friendly process for deconstructing lignocellulosic biomass (LCB) that plays a key role in ensuring the profitability of producing biofuels or bioproducts in a biorefinery. At the laboratory scale, HP is usually carried out under non-isothermal regimes with poor temperature control. In contrast, HP is usually carried out under isothermal conditions at the commercial scale. Consequently, significant discrepancies in the values of polysaccharide releases are found in the literature. Therefore, laboratory-scale HP data are not trustworthy if scale-up or retrofitting of HP at larger scales is required. This contribution presents the results of laboratory-scale batch HP for wheat straw in terms of xylan and glucan release that were obtained with rigorous temperature control under isothermal conditions during the reaction stage. The heating and cooling stages were carried out with fast rates (43 and −40 °C/min, respectively), minimizing non-isothermal reaction periods. Therefore, the polysaccharide release results can be associated exclusively with the isothermic reaction stage and can be considered as a reliable source of information for HP at commercial scales. The highest amount of xylan release was 4.8 g/L or 43% obtained at 180 °C and 20 min, while the glucan release exhibited a maximum of 1.2 g/L or 5.5%. at 160 °C/180 °C and 30 min. Full article
(This article belongs to the Special Issue Biorefineries)
Show Figures

Graphical abstract

15 pages, 3338 KB  
Article
Structural Retrofitting of Corroded Reinforced Concrete Beams Using Bamboo Fiber Laminate
by Paul Oluwaseun Awoyera, Tobechukwu Austin Nworgu, Balaji Shanmugam, Krishna Prakash Arunachalam, Iman Mansouri, Lenin Miguel Bendezu Romero and Jong-Wan Hu
Materials 2021, 14(21), 6711; https://doi.org/10.3390/ma14216711 - 8 Nov 2021
Cited by 16 | Viewed by 4364
Abstract
Corrosion creates a significant degradation mechanism in reinforced concrete (RC) structures, which would require a high cost of maintenance and repair in affected buildings. However, as the cost of repairing corrosion-damaged structures is high, it is therefore pertinent to develop alternative eco-friendly and [...] Read more.
Corrosion creates a significant degradation mechanism in reinforced concrete (RC) structures, which would require a high cost of maintenance and repair in affected buildings. However, as the cost of repairing corrosion-damaged structures is high, it is therefore pertinent to develop alternative eco-friendly and sustainable methods. In this study, structural retrofitting of corroded reinforced concrete beams was performed using bamboo fiber laminate. Three reinforced normal weight concrete beams were produced, two of which were exposed to laboratory simulated corrosion medium, and the remaining one sample served as control. Upon completion of the corrosion cycle, one of the two corroded beams was retrofitted externally with a prefabricated bamboo fiber laminate by bonding the laminate to the beam surface with the aid of an epoxy resin. The three beams were subjected to loading on a four-point ultimate testing machine, and the loads with corresponding deflections were recorded through the entire load cycle of the beams. Finally, the mass loss of embedded steel reinforcements was determined to measure the effect of corrosion on the beams and the steel. The result showed that corroded beams strengthened with bamboo laminates increase the bearing capacity. Using a single bamboo laminate in the tensile region of the corroded beam increased the ultimate load capacity of the beam up to 21.1% than the corroded beam without retrofit. It was demonstrated in this study that the use of bamboo fiber polymer for strengthening destressed RC beams is a more sustainable approach than the conventional synthetic fibers. Full article
Show Figures

Figure 1

Back to TopTop