Sign in to use this feature.

Years

Between: -

Subjects

remove_circle_outline
remove_circle_outline
remove_circle_outline
remove_circle_outline
remove_circle_outline
remove_circle_outline
remove_circle_outline
remove_circle_outline
remove_circle_outline

Journals

Article Types

Countries / Regions

Search Results (137)

Search Parameters:
Keywords = dynamic safety margin

Order results
Result details
Results per page
Select all
Export citation of selected articles as:
21 pages, 7317 KB  
Article
Parametric Study and Hemocompatibility Assessment of a Centrifugal Blood Pump Based on CFD Simulation and Experimental Validation
by Yiwen Wang, Libo Xin and Qinghong Weng
Appl. Sci. 2025, 15(21), 11710; https://doi.org/10.3390/app152111710 (registering DOI) - 2 Nov 2025
Abstract
The heart is the body’s core pump. Heart failure impairs the heart’s ability to pump blood, leading to circulatory disorders. The artificial heart (blood pump) is an important mechanical circulatory support device that can partially or completely substitute cardiac pumping function, potentially improving [...] Read more.
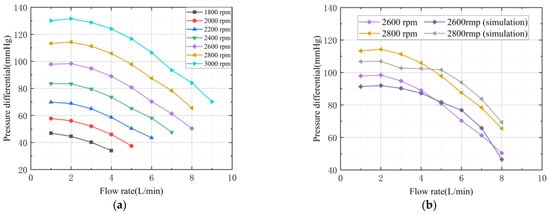
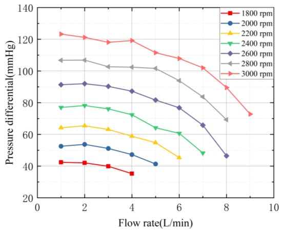
The heart is the body’s core pump. Heart failure impairs the heart’s ability to pump blood, leading to circulatory disorders. The artificial heart (blood pump) is an important mechanical circulatory support device that can partially or completely substitute cardiac pumping function, potentially improving hemodynamic performance and alleviating symptoms of heart failure. A combination of computational fluid dynamics simulation and hydraulic performance testing was used to study key parameters of the impeller, including blade count, blade wrap angle, impeller flow path, and diversion cone height. The goal was to reduce hemolysis risk and enhance pumping efficiency. Increasing the blade count raised the head, with optimal efficiency achieved at seven blades. A larger blade wrap angle decreased the head but improved efficiency. Synchronizing the flow path and diversion cone height at 4.1 mm maximized the head. Under various rotational speeds, the studied hemolysis index remained well below 0.1 g/100 L. Both experimental and simulation data were validated against each other, meeting the required error tolerances. The studied blood pump meets the design specifications. At an operating condition of 5 L/min flow rate and 2800 rpm, the pump achieves the required head and hemolysis criteria with a margin of safety. Full article
(This article belongs to the Section Biomedical Engineering)
Show Figures

Figure 1

23 pages, 1044 KB  
Review
A Global Comparative Analysis of Drought Responses of Pines and Oaks
by Surendra P. Singh, Surabhi Gumber, Ripu Daman Singh, Tong Li and Rajiv Pandey
Forests 2025, 16(11), 1660; https://doi.org/10.3390/f16111660 - 30 Oct 2025
Viewed by 77
Abstract
Pinus (~113 species, generally early-seral) and Quercus (~435 species, generally late-seral), currently co-occur over a wide range of climates and biomes in the Northern Hemisphere. Climate change is expected to threaten the coexistence dynamics of pine and oak species. Here, we analyze the [...] Read more.
Pinus (~113 species, generally early-seral) and Quercus (~435 species, generally late-seral), currently co-occur over a wide range of climates and biomes in the Northern Hemisphere. Climate change is expected to threaten the coexistence dynamics of pine and oak species. Here, we analyze the responses of Pinus and Quercus to water stress, with the objective of determining how they vary globally in their responses to drought at the genus level. The results show that pines tend to tightly close stomata before stress becomes severe and may deplete their stored carbon; on the other hand, oaks begin stomatal control at a lower water potential and hence do not suffer from carbon depletion. Pines exhibit a wider hydraulic safety margin (average: 3.33 MPa) than oaks (average: 1.41 MPa) because of lower Ψ50 (average: −3.62 MPa) and earlier stomatal closure (average: −2.19 MPa). For oaks, stomatal closure and Ψ50 occur at −2.61 MPa and −3.07 MPa, respectively. We discuss and show that these contrasting drought responses are consistent with their seral roles. While the difference in the basic strategies to drought in the two genera is unmistakable, the species studied are still too few to make convincing generalizations. Research is also needed on other components related to drought adaptations. Full article
(This article belongs to the Special Issue Soil and Water Conservation in Forestry)
Show Figures

Figure 1

20 pages, 2869 KB  
Article
Research on Path Planning and Control of Intelligent Spray Carts for Greenhouse Sprayers
by Junchong Zhou, Yi Zheng, Xianghua Zheng and Kuan Peng
Vehicles 2025, 7(4), 123; https://doi.org/10.3390/vehicles7040123 - 28 Oct 2025
Viewed by 129
Abstract
To address the challenges of inefficient path planning, discontinuous trajectories, and inadequate safety margins in autonomous spraying vehicles for greenhouse environments, this paper proposes a hierarchical motion control architecture. At the global path planning level, the heuristic function of the A* algorithm was [...] Read more.
To address the challenges of inefficient path planning, discontinuous trajectories, and inadequate safety margins in autonomous spraying vehicles for greenhouse environments, this paper proposes a hierarchical motion control architecture. At the global path planning level, the heuristic function of the A* algorithm was redesigned to integrate channel width constraints, thereby optimizing node expansion efficiency. A continuous reference path is subsequently generated using a third-order Bézier curve. For local path planning, a state-space sampling method was adopted, incorporating a multi-objective cost function that accounts for collision distance, curvature change rate, and path deviation, enabling the real-time computation of optimal obstacle-avoidance trajectories. At the control level, an adaptive look-ahead distance pure pursuit algorithm was designed for trajectory tracking. The proposed framework was validated through a Simulink-ROS co-simulation environment and deployed on a Huawei MDC300F computing platform for real-world vehicle tests under various operating conditions. Experimental results demonstrated that compared with the baseline methods, the proposed approach improved the planning efficiency by 38.7%, reduced node expansion by 16.93%, shortened the average path length by 6.3%, and decreased the path curvature variation by 65.3%. The algorithm effectively supports dynamic obstacle avoidance, multi-vehicle coordination, and following behaviors in diverse scenarios, offering a robust solution for automation in facility agriculture. Full article
(This article belongs to the Special Issue Intelligent Connected Vehicles)
Show Figures

Figure 1

19 pages, 873 KB  
Article
Extended Stability of Ascorbic Acid in Pediatric TPN Admixtures: The Role of Storage Temperature and Emulsion Integrity
by Rafał Chiczewski, Żaneta Sobol, Alicja Pacholska and Dorota Wątróbska-Świetlikowska
Pharmaceutics 2025, 17(11), 1375; https://doi.org/10.3390/pharmaceutics17111375 - 24 Oct 2025
Viewed by 275
Abstract
Background/Objectives: This study assessed the chemical and physical stability of ascorbic acid in pediatric total parenteral nutrition (TPN) admixtures under conditions reflecting both hospital compounding and home administration. Methods: Two storage protocols were examined: (A) refrigerated storage (15 days, 4 ± 2 °C) [...] Read more.
Background/Objectives: This study assessed the chemical and physical stability of ascorbic acid in pediatric total parenteral nutrition (TPN) admixtures under conditions reflecting both hospital compounding and home administration. Methods: Two storage protocols were examined: (A) refrigerated storage (15 days, 4 ± 2 °C) followed by addition of ascorbic acid and a 24-h period of storage at room temperature, and (B) vitamin supplementation within 24 h after composing and storage at 21 ± 2 °C. A validated high-performance liquid chromatography (HPLC) method was used to quantify ascorbic acid degradation. Physical stability was evaluated via optical microscopy, dynamic light scattering (DLS), laser diffraction (LD), zeta potential, and pH measurement. Results: Ascorbic acid content remained above 90% of the declared value in both protocols, although gradual degradation was observed with increasing storage time and temperature. Emulsion droplet sizes remained within pharmacopeial limits (<500 nm), and no coalescence or phase separation was detected. Zeta potential values (−20 to −40 mV) confirmed kinetic stability, while pH ranged from 5.8 to 6.2, remaining within acceptable safety margins. Conclusions: Vitamin C in pediatric TPN admixtures is stable under refrigerated conditions for up to 15 days. However, the additional 24 h at room temperature resulted in measurable loss of ascorbic acid content, suggesting a need for improved guidance in home-based parenteral nutrition, particularly regarding transport and handling. The study underscores the importance of strict cold-chain maintenance and highlights the role of emulsion matrix and packaging in protecting labile vitamins. This research provides practical implications for hospital pharmacists and caregivers, supporting better formulation practices and patient safety in pediatric home TPN programs. Full article
(This article belongs to the Section Clinical Pharmaceutics)
Show Figures

Graphical abstract

15 pages, 1717 KB  
Article
Study on the Dynamic Responses of a Concrete-Block-Panel-Wrapped Reinforced Soil Retaining Wall: A Model Test
by Jiannan Xu, Xiancai Zhou, Zhiwen Song and He Wang
Buildings 2025, 15(20), 3797; https://doi.org/10.3390/buildings15203797 - 21 Oct 2025
Viewed by 213
Abstract
Reinforced soil retaining walls (RSWs) for railways are key subgrade structures that bear cyclic loads from trains, and their long-term durability directly affects railway operation safety. The mechanical behavior of RSWs under cyclic loading has been extensively investigated in previous studies, primarily focusing [...] Read more.
Reinforced soil retaining walls (RSWs) for railways are key subgrade structures that bear cyclic loads from trains, and their long-term durability directly affects railway operation safety. The mechanical behavior of RSWs under cyclic loading has been extensively investigated in previous studies, primarily focusing on seismic conditions or conventional structural configurations. While these works have established fundamental understanding of load transfer mechanisms and deformation patterns, research on their responses to long-term train-induced vibrations, particularly for concrete-block-panel-wrapped RSWs, an improved structure based on traditional concrete-block-panel RSWs, remains limited. To investigate the dynamic responses of the concrete-block-panel-wrapped RSW, a model test was conducted under cyclic loading conditions where the amplitude was 30 kPa and the frequency was 10 Hz. The model size was 3.0 m in length, 1.0 m in width, and 1.8 m in height, incorporating six layers of geogrid. Each layer of geogrid was 2.0 m in length with a vertical spacing of 0.3 m or 0.15 m. The results indicate that as the number of load cycles increases, deformation, acceleration, static and dynamic stresses, and geogrid strain also increase and gradually stabilize, exhibiting only marginal increments thereafter. The maximum horizontal displacement reaches 0.08% of the wall height (H), with horizontal displacement increasing uniformly along the height of the wall. The vertical acceleration in the non-reinforced soil zone is lower than that in the reinforced soil zone. The horizontal dynamic stress acting on the back of the panel remains minimal and is uniformly distributed along the height of the wall. The maximum geogrid strain was found to be 0.88%, corresponding to a tensile stress amounting to 20.33% of its ultimate tensile strength. The predicted failure surface approximates a bilinear configuration, consisting of one line parallel to the wall face at a distance of 0.3H from the back of the soil bags and another line inclined at an angle equal to the soil’s internal friction angle (φ) relative to the horizontal plane. This study has important reference significance for the application of concrete-block-panel-wrapped RSWs in railways. Full article
(This article belongs to the Section Building Structures)
Show Figures

Figure 1

14 pages, 1049 KB  
Article
Comparative Critical Thermal and Salinity Maxima of a Threatened Freshwater Killifish and of the Global Invader Eastern Mosquitofish
by Yiannis Kapakos, Ioannis Leris, Nafsika Karakatsouli, Brian Zimmerman and Eleni Kalogianni
Fishes 2025, 10(10), 526; https://doi.org/10.3390/fishes10100526 - 16 Oct 2025
Viewed by 297
Abstract
Invasive fish species are a major driver of freshwater native fish biodiversity loss and their spread and impacts on the native fish are expected to increase within the current freshwater salinization and global warming crisis. In the current study, the upper thermal and [...] Read more.
Invasive fish species are a major driver of freshwater native fish biodiversity loss and their spread and impacts on the native fish are expected to increase within the current freshwater salinization and global warming crisis. In the current study, the upper thermal and salinity tolerance of the geographically range-restricted, threatened killifish Valencia robertae and its alien competitor, the globally invasive Eastern mosquitofish Gambusia holbrooki are compared in an experimental setting. Fish were exposed, after acclimation, to a continuous, dynamic temperature or salinity increase until predefined sub-lethal end points (loss of equilibrium and/or loss of buoyancy). The critical thermal and salinity maxima (CTMax and CSMax) were then calculated as the arithmetic mean of the combined thermal or salinity points at which the endpoint was attained. Finally, thermal and salinity safety margins for the two species were also calculated using abiotic data. Mosquitofish (females and males pooled) showed an average CΤmax of 35.85 °C and the killifish 36.27 °C (sexes pooled). Mosquitofish (male) showed an average CSmax of 40.25‰ and (male) killifish 42.64‰ (sexes also pooled). Killifish safety margins are much higher than those of the mosquitofish. Future impacts of global warming and salinisation on these species and on their interactions under current climate change scenarios are discussed. Full article
(This article belongs to the Section Biology and Ecology)
Show Figures

Figure 1

17 pages, 4511 KB  
Article
CFD-Driven Design of an Air-Cooling System for Lithium-Ion Battery Packs in a Formula Student Car
by Filipe Vaz, João Vasconcelos Silva, Vítor Monteiro and Francisco P. Brito
Energies 2025, 18(20), 5436; https://doi.org/10.3390/en18205436 - 15 Oct 2025
Viewed by 461
Abstract
In the high-performance environment of Formula Student Car racing, effective battery thermal management is crucial for safety, reliability, and performance. This work presents the design and validation of a lightweight, air-based Battery Cooling System (BCS) developed for a Formula Student vehicle. The system [...] Read more.
In the high-performance environment of Formula Student Car racing, effective battery thermal management is crucial for safety, reliability, and performance. This work presents the design and validation of a lightweight, air-based Battery Cooling System (BCS) developed for a Formula Student vehicle. The system addresses the significant thermal loads generated by 528 Molicel P45B lithium-ion cells, arranged in a constrained U-shaped module layout. Using Computational Fluid Dynamics (CFD), the airflow geometry was optimized to deliver uniform cooling across all modules while minimizing aerodynamic drag. Simulations evaluated the system’s performance under various ambient temperatures (25 °C and 30 °C) and airflow velocities (from 16 m/s to 18 m/s), identifying the impact of duct geometry, internal air guides, and airflow distribution on thermal regulation. Results showed that, at nominal ambient temperature (25 °C), all monitored cells stayed below the 60 °C threshold required by FS regulations. At elevated ambient conditions (30 °C), regions above 60 °C appeared within the pack, revealing non-uniform cooling and reduced safety margin. These findings suggest that, while the system complies with current rules, additional design refinements are needed to enhance robustness under harsher conditions. Additionally, these results are specific to a Formula Student application under competition constraints and are not intended to be generalized to production EVs. Full article
(This article belongs to the Special Issue Advanced Thermal Management in Electric Vehicles)
Show Figures

Figure 1

24 pages, 6915 KB  
Article
A Framework for Sustainable Power Demand Response: Optimization Scheduling with Dynamic Carbon Emission Factors and Dual DPMM-LSTM
by Qian Zhang, Xunting Wang, Jinjin Ding, Haiwei Wang, Fulin Zhao, Xingxing Ju and Meijie Zhang
Sustainability 2025, 17(20), 9123; https://doi.org/10.3390/su17209123 - 15 Oct 2025
Viewed by 265
Abstract
In the context of achieving sustainable development goals and promoting a sustainable, low-carbon global energy transition, accurately quantifying and proactively managing the carbon intensity of power systems is a core challenge in monitoring the sustainability of the power sector. However, existing demand response [...] Read more.
In the context of achieving sustainable development goals and promoting a sustainable, low-carbon global energy transition, accurately quantifying and proactively managing the carbon intensity of power systems is a core challenge in monitoring the sustainability of the power sector. However, existing demand response methods often overlook the dynamic characteristics of power system carbon emissions and fail to accurately characterize the complex relationship between power consumption and carbon emissions, which results in suboptimal emission reduction results. To address this challenge, this paper proposes and validates an innovative low-carbon demand response optimization scheduling method as a sustainable tool. The core of this method is the development of a dynamic carbon emission factor (DCEF) assessment model. By innovatively integrating marginal and average carbon emission factors, it becomes a dynamic sustainability indicator that can measure the environmental performance of the power grid in real time. To characterize the relationship between power consumption behavior and carbon emissions, we employ an adaptive Dirichlet process mixture model (DPMM). This model does not require a preset number of clusters and can automatically discover patterns in the data, such as grouping holidays and working days with similar power consumption characteristics. Based on the clustering results and historical data, a dual long short-term memory (LSTM) deep learning network architecture is designed to achieve a coordinated prediction of power consumption and DCEFs for the next 24 h. On this basis, a method is established with the goal of maximizing carbon emission reduction while considering constraints such as fixed daily power consumption, user comfort, and equipment safety. Simulation results demonstrate that this approach can effectively reduce regional carbon emissions through accurate prediction and optimized scheduling. This provides not only a quantifiable technical path for improving the environmental sustainability of the power system but also decision-making support for the formulation of energy policies and incentive mechanisms that align with sustainable development goals. Full article
(This article belongs to the Special Issue Smart Electricity Grid and Sustainable Power Systems)
Show Figures

Figure 1

23 pages, 6199 KB  
Article
Climbing Tests and Dynamic Simulation of a Cable-Climbing Mechanism for Stay Cable De-Icing Robot
by Yaoyao Pei, Yayu Li, Zhi Chen, Henglin Xiao, Silu Huang and Changjie Li
Appl. Sci. 2025, 15(19), 10822; https://doi.org/10.3390/app151910822 - 9 Oct 2025
Viewed by 240
Abstract
In winter, stay cable sheaths are prone to icing, which increases cable loads and poses a falling-ice hazard upon thawing. While manual and chemical de-icing are common methods, their safety and cost drawbacks make robotic de-icing a promising alternative. Robotic de-icing offers a [...] Read more.
In winter, stay cable sheaths are prone to icing, which increases cable loads and poses a falling-ice hazard upon thawing. While manual and chemical de-icing are common methods, their safety and cost drawbacks make robotic de-icing a promising alternative. Robotic de-icing offers a promising alternative. However, to protect the sheath from damage, the de-icing blade is designed to minimize contact with its surface. Consequently, a thin layer of residual ice is often left behind, which reduces the surface friction coefficient and complicates the climbing process. This study evaluates the climbing performance of a self-manufactured cable-climbing mechanism through laboratory tests and dynamic simulations (ADAMS). A physical prototype was built, and dynamic simulations of the cable-climbing mechanism were conducted using Automated Dynamic Analysis of Mechanical Systems (ADAMS) software. The preliminary validation results demonstrate that the mechanism is capable of maintaining stable climbing under extreme conditions, including a friction coefficient of 0.12 to reflect thin-ice variability and indicated stable climbing even at μ = 0.12), a vertical inclination of 90°, and a load of 12 kg, confirming the design’s validity. Furthermore, we analyzed key parameters. A lower friction coefficient requires a higher clamping force and adversely affects the climbing speed due to increased slip. Similarly, an increased payload elevates the mechanism’s deflection angle, spring force, and wheel torque, which in turn reduces the climbing speed. Cable inclination has a complex effect: deflection decreases with slope, yet clamping force peaks near 70°, showing a bell-shaped trend. This peak requirement dictated the damping spring selection, which was given a safety margin. This ensures safe operation and acceleration at all other angles. Limitations: The present results constitute a feasibility validation under controlled laboratory conditions and rigid-support simulations. The long-term effects of residual ice and field performance remain to be confirmed in planned field trials. Full article
Show Figures

Figure 1

30 pages, 9930 KB  
Review
A Comprehensive Review of Improved A* Path Planning Algorithms and Their Hybrid Integrations
by Doan Thanh Xuan, Nguyen Thanh Hung and Vu Toan Thang
Automation 2025, 6(4), 52; https://doi.org/10.3390/automation6040052 - 7 Oct 2025
Viewed by 679
Abstract
The A* algorithm is a cornerstone in mobile robot navigation. However, the traditional A* suffers from key limitations such as poor path smoothness, lack of adaptability to dynamic environments, and high computational costs in large-scale maps. This review presents a comprehensive analysis of [...] Read more.
The A* algorithm is a cornerstone in mobile robot navigation. However, the traditional A* suffers from key limitations such as poor path smoothness, lack of adaptability to dynamic environments, and high computational costs in large-scale maps. This review presents a comprehensive analysis of 20 recent studies (2020–2025) on improved A* variants and their hybrid integrations with complementary algorithms. The improvements are categorized into two core strategies: (i) geometric and structural optimization, heuristic weighting and adaptive search schemes in A* algorithm, and (ii) hybrid models combining A* with local planners such as Dynamic Window Approach (DWA), Artificial Potential Field (APF), and Particle Swarm Optimization (PSO). For each group, the mathematical formulations of evaluation functions, smoothing techniques, and constraint handling mechanisms are detailed. Notably, hybrid frameworks demonstrate improved robustness in dynamic or partially known environments by leveraging A* for global optimality and local planners for real-time adaptability. Case studies with simulated grid maps and benchmark scenarios show that even marginal improvements in path length can coincide with substantial gains in safety and directional stability. This review not only synthesizes the state of the art in A*-based planning but also outlines design principles for building intelligent, adaptive, and computationally efficient navigation systems. Full article
(This article belongs to the Section Robotics and Autonomous Systems)
Show Figures

Figure 1

24 pages, 4719 KB  
Article
Seismic Collapse of Frictionally Isolated Timber Buildings in Subduction Zones: An Assessment Considering Slider Impact
by Diego Quizanga, José Luis Almazán and Pablo Torres-Rodas
Buildings 2025, 15(19), 3593; https://doi.org/10.3390/buildings15193593 - 7 Oct 2025
Viewed by 448
Abstract
Due to their potential to reduce greenhouse gas emissions, light-frame timber buildings (LFTBs) are widely used in seismically active regions. However, their construction in these areas remains limited, primarily due to the high costs associated with continuous anchor tie systems (ATSs), which are [...] Read more.
Due to their potential to reduce greenhouse gas emissions, light-frame timber buildings (LFTBs) are widely used in seismically active regions. However, their construction in these areas remains limited, primarily due to the high costs associated with continuous anchor tie systems (ATSs), which are required to withstand significant seismic forces. To address this challenge, frictional seismic isolation offers an alternative by enhancing seismic protection. Although frictional base isolation is an effective mitigation strategy, its performance can be compromised by extreme ground motions that induce large lateral displacements, resulting in impacts between the sliders and the perimeter protection ring. The effects of these internal lateral impacts on base-isolated LFTBs remain largely unexplored. To fill this knowledge gap, this study evaluates the collapse capacity of a set of base-isolated LFTBs representative of Chilean real estate developments. Nonlinear numerical models were developed in the OpenSeesPy platform to capture the nonlinear behavior of the superstructure, including the impact effects within the frictional isolation system. Incremental dynamic analyses following the FEMA P695 methodology were performed using subduction ground motions. Collapse margin ratios (CMRs) and fragility curves were derived to quantify seismic performance. Results indicate that frictional base-isolated LFTBs can achieve acceptable collapse safety without ATS, even with compact-size bearings. Code-conforming archetypes achieved CMRs ranging from 1.24 to 1.55, indicating sufficient safety margins. These findings support the cost-effective implementation of frictional base isolation in mid-rise timber construction for high-seismic regions. Full article
(This article belongs to the Special Issue Research on Timber and Timber–Concrete Buildings)
Show Figures

Figure 1

15 pages, 1323 KB  
Article
A Hybrid Ant Colony Optimization and Dynamic Window Method for Real-Time Navigation of USVs
by Yuquan Xue, Liming Wang, Bi He, Shuo Yang, Yonghui Zhao, Xing Xu, Jiaxin Hou and Longmei Li
Sensors 2025, 25(19), 6181; https://doi.org/10.3390/s25196181 - 6 Oct 2025
Viewed by 505
Abstract
Unmanned surface vehicles (USVs) rely on multi-sensor perception, such as radar, LiDAR, GPS, and vision, to ensure safe and efficient navigation in complex maritime environments. Traditional ant colony optimization (ACO) for path planning, however, suffers from premature convergence, slow adaptation, and poor smoothness [...] Read more.
Unmanned surface vehicles (USVs) rely on multi-sensor perception, such as radar, LiDAR, GPS, and vision, to ensure safe and efficient navigation in complex maritime environments. Traditional ant colony optimization (ACO) for path planning, however, suffers from premature convergence, slow adaptation, and poor smoothness in cluttered waters, while the dynamic window approach (DWA) without global guidance can become trapped in local obstacle configurations. This paper presents a sensor-oriented hybrid method that couples an improved ACO for global route planning with an enhanced DWA for local, real-time obstacle avoidance. In the global stage, the ACO state–transition rule integrates path length, obstacle clearance, and trajectory smoothness heuristics, while a cosine-annealed schedule adaptively balances exploration and exploitation. Pheromone updating combines local and global mechanisms under bounded limits, with a stagnation detector to restore diversity. In the local stage, the DWA cost function is redesigned under USV kinematics to integrate velocity adaptability, trajectory smoothness, and goal-deviation, using obstacle data that would typically originate from onboard sensors. Simulation studies, where obstacle maps emulate sensor-detected environments, show that the proposed method achieves shorter paths, faster convergence, smoother trajectories, larger safety margins, and higher success rates against dynamic obstacles compared with standalone ACO or DWA. These results demonstrate the method’s potential for sensor-based, real-time USV navigation and collision avoidance in complex maritime scenarios. Full article
(This article belongs to the Section Sensors and Robotics)
Show Figures

Figure 1

26 pages, 6168 KB  
Article
Integrated Analysis of Mapping, Path Planning, and Advanced Motion Control for Autonomous Robotic Navigation
by Kishore Bingi, Abhaya Pal Singh, Rosdiazli Ibrahim, Anugula Rajamallaiah and Nagoor Basha Shaik
Fractal Fract. 2025, 9(10), 640; https://doi.org/10.3390/fractalfract9100640 - 30 Sep 2025
Viewed by 509
Abstract
Autonomous robotic navigation is essential in modern systems for revolutionising various industries that operate in both static and dynamic environments. To achieve this autonomous navigation, various conventional techniques that handle environment mapping, path planning, and motion control as individual modules often face challenges [...] Read more.
Autonomous robotic navigation is essential in modern systems for revolutionising various industries that operate in both static and dynamic environments. To achieve this autonomous navigation, various conventional techniques that handle environment mapping, path planning, and motion control as individual modules often face challenges in addressing the complexities of autonomous navigation. Therefore, this paper presents an integrated technique that combines three essential components, such as environment mapping, path planning, and motion control, to enhance autonomous navigation performance. The first component, i.e., the mapping, utilises both binary and probabilistic occupancy maps to represent the environment. The second component is path planning, which incorporates various graph- and sampling-based algorithms such as PRM, A*, Hybrid A*, RRT, RRT*, and BiRRT, which are evaluated in terms of path length, computational time, and safety margin on various maps. The final component, i.e., motion control, utilises both conventional and advanced controller strategies such as PID, FOPID, SFC, and MPC, for better sinusoidal trajectory tracking. The four case studies for path planning and one case study on trajectory tracking on various occupancy maps demonstrated that the A* algorithm and MPC outperformed all the compared techniques in terms of optimal path length, computational time, safety margin, and trajectory tracking error. Thus, the proposed integrated approach reveals that the interplay between mapping fidelity, planning efficiency, and control robustness is vital for reliable autonomous navigation. Full article
(This article belongs to the Special Issue Applications of Fractional-Order Calculus in Robotics, 2nd Edition)
Show Figures

Figure 1

15 pages, 3988 KB  
Article
A Novel Dynamic Edge-Adjusted Graph Attention Network for Fire Alarm Data Mining and Prediction
by Yongkun Ding, Zhenping Xie and Senlin Jiang
Mathematics 2025, 13(19), 3111; https://doi.org/10.3390/math13193111 - 29 Sep 2025
Viewed by 523
Abstract
Modern fire alarm systems are essential for public safety, yet they often fail to exploit the wealth of historical alarm data and the complex spatiotemporal dependencies inherent in urban environments. Graph Neural Networks (GNNs) are currently among the most popular methods for handling [...] Read more.
Modern fire alarm systems are essential for public safety, yet they often fail to exploit the wealth of historical alarm data and the complex spatiotemporal dependencies inherent in urban environments. Graph Neural Networks (GNNs) are currently among the most popular methods for handling complex spatiotemporal dependencies. While a range of dynamic GNN approaches have been proposed, many existing GNN-based predictors still rely on a static topology, which limits their ability to fully capture the evolving nature of risk propagation. Furthermore, even among dynamic graph methods, most focus on temporal link prediction or social interaction modeling, with limited exploration in safety-critical applications such as fire alarm prediction. DeaGAT dynamically updates inter-building edge weights through an attention mechanism, enabling the graph structure to evolve in response to shifting risk patterns. A margin-based contrastive learning objective further enhances the quality of node embeddings by distinguishing subtle differences in risk states. In addition, DeaGAT jointly models static building attributes and dynamic alarm sequences, effectively integrating long-term semantic context with short-term temporal dynamics. Extensive experiments on real-world datasets, including comparisons with state-of-the-art baselines and comprehensive ablation studies, demonstrate that DeaGAT achieves superior accuracy and F1-score, validating the effectiveness of dynamic graph updating and contrastive learning in enhancing proactive fire early-warning capabilities. Full article
Show Figures

Figure 1

29 pages, 1150 KB  
Article
Game-Aware MPC-DDP for Mixed Traffic: Safe, Efficient, and Comfortable Interactive Driving
by Zhenhua Wang, Zheng Wu, Shiguang Hu, Fujiang Yuan and Junye Yang
World Electr. Veh. J. 2025, 16(9), 544; https://doi.org/10.3390/wevj16090544 - 22 Sep 2025
Viewed by 494
Abstract
In recent years, achieving safety, efficiency, and comfort among interactive automated driving has been a formidable challenge. Model-based approaches, such as game-theoretic and robust control methods, often result in overly cautious decisions or suboptimal solutions. In contrast, learning-based techniques typically demand high computational [...] Read more.
In recent years, achieving safety, efficiency, and comfort among interactive automated driving has been a formidable challenge. Model-based approaches, such as game-theoretic and robust control methods, often result in overly cautious decisions or suboptimal solutions. In contrast, learning-based techniques typically demand high computational resources and lack interpretability. At the same time, simpler strategies that rely on static assumptions tend to underperform in rapidly evolving traffic environments. To address these limitations, we propose a novel game-based MPC-DDP framework that integrates game-theoretic predictions of human-driven vehicle (HDV) with a Dynamic Differential Programming (DDP) solver under a receding-horizon setting. Our method dynamically adjusts the autonomous vehicle’s (AV) control inputs in response to real-time human-driven vehicle (HDV) behavior. This enables an effective balance between safety and efficiency. Experimental evaluations on lane-change and intersection scenarios demonstrate that the proposed approach achieves smoother trajectories, higher average speeds when needed, and larger safety margins in high-risk conditions. Comparisons against state-of-the-art baselines confirm its suitability for complex, interactive driving environments. Full article
(This article belongs to the Special Issue Recent Advances in Autonomous Vehicles)
Show Figures

Figure 1

Back to TopTop