Sign in to use this feature.

Years

Between: -

Subjects

remove_circle_outline
remove_circle_outline
remove_circle_outline
remove_circle_outline
remove_circle_outline
remove_circle_outline
remove_circle_outline
remove_circle_outline
remove_circle_outline

Journals

remove_circle_outline
remove_circle_outline
remove_circle_outline

Article Types

Countries / Regions

remove_circle_outline
remove_circle_outline
remove_circle_outline
remove_circle_outline

Search Results (310)

Search Parameters:
Keywords = double-fixed modeling

Order results
Result details
Results per page
Select all
Export citation of selected articles as:
25 pages, 2013 KB  
Article
Device-Oriented CFD Comparison of Rectangular and Circular Microchannels with Single and Double Asymmetric Stenoses Under Identical Operating Conditions
by Mesude Avcı
Bioengineering 2025, 12(12), 1313; https://doi.org/10.3390/bioengineering12121313 - 30 Nov 2025
Viewed by 199
Abstract
Microchannels can create disturbed flow patterns by altering pressure gradients, shear forces, and flow symmetry, which are essential in the design of microfluidic devices and, hence, blood-contacting devices. The effect of asymmetric stenosis on pressure, wall shear stress, and velocity in rectangular and [...] Read more.
Microchannels can create disturbed flow patterns by altering pressure gradients, shear forces, and flow symmetry, which are essential in the design of microfluidic devices and, hence, blood-contacting devices. The effect of asymmetric stenosis on pressure, wall shear stress, and velocity in rectangular and circular microchannels with same operating conditions was analyzed in this study using three-dimensional (3D) steady laminar computational fluid dynamics (CFD) simulations. Asymmetric flow patterns induced by asymmetric stenosis are of particular importance and remain underexplored, especially in the context of multiple constrictions. This is, to our knowledge, is the first systematic CFD comparison of multiple asymmetric stenoses in circular microchannels directly contrasted with rectangular and single-stenosis cases under identical settings. Several parameters, such as wall shear stress (WSS), pressure, and velocity distributions, were analyzed in various stenotic and non-stenotic geometries. These microchannel models, while not reflecting real blood vessels themselves nor exhibiting wall compliance, pulsatility, or non-Newtonian rheology, replicate important mechanical characteristics of stenosis-mediated flow disturbance. Single and multiple asymmetric stenoses create flow patterns that are similar to those of vascular pathologies. For this reason, these channels should be considered as simplified device-scale models of vascular phenomena as opposed to realistic, in vitro vascular models. The results showed that asymmetric stenosis creates asymmetric velocity peaks and elevated WSS, which are more evident in the case of circular configurations with double asymmetric stenosis. The findings will help design microfluidic devices that mimic unstable flow characteristics that occur in stenotic conditions, and assist in testing clinical devices. In this study, two fabrication-ready microchannel designs under fixed operating conditions (identical inlet velocity and fluid properties) that reflect common microfluidic use were compared. Consequently, all pressure, velocity, and WSS outcomes are interpreted as device-scale responses under fixed velocity, rather than a fundamental isolation of cross-section shape, which would require matched hydraulic diameters or flow rates. This study is explicitly device-oriented, representing a fixed operating point rather than a strict geometric isolation. Accordingly, the results are also expressed with dimensionless loss coefficients (Ktot and Klocal) to enable scale-independent, device-level comparison. Full article
(This article belongs to the Section Biomedical Engineering and Biomaterials)
Show Figures

Figure 1

17 pages, 1519 KB  
Article
PHASE: Progressive Hierarchical Adaptation for Sample-Efficient Rebalancing in Long-Tail Classification
by Jiale Li, Jicong Duan, Changbin Shao and Hualong Yu
Symmetry 2025, 17(12), 2040; https://doi.org/10.3390/sym17122040 - 30 Nov 2025
Viewed by 139
Abstract
When trained on long-tailed distributions, deep neural networks often suffer performance degradation and model bias due to the dominance of head classes. Existing reweighting and sampling strategies have significant limitations, such as reliance on fixed heuristics and inability to adapt to dynamic sample [...] Read more.
When trained on long-tailed distributions, deep neural networks often suffer performance degradation and model bias due to the dominance of head classes. Existing reweighting and sampling strategies have significant limitations, such as reliance on fixed heuristics and inability to adapt to dynamic sample difficulty and class imbalance. Additionally, they fail to integrate sample-level granularity with class-level balance, further inadequately addressing the global imbalance issue. Motivated by these challenges, we introduce the Progressive Hierarchical Adaptation for Sample-Efficient rebalancing (PHASE) training framework, which employs a double-layer tuning paradigm to optimize performance under long-tailed distributions. Specifically, the double-layer tuning paradigm adopted by PHASE runs as follows: (1) an early-stage difficulty-aware mechanism targets those difficult-to-classify samples to guide representation learning; and (2) a later-stage multi-scale reweighting strategy integrates class distribution statistics with sample characteristics. This method ensures fine-grained adaptability and global balance, and thus outperforming those static or localized techniques. Extensive experiments on CIFAR10-LT, CIFAR100-LT, and ImageNet-LT datasets demonstrate that PHASE can significantly improve the accuracy of tail classes without degenerating head class performance, and acquire state-of-the-art classification results. PHASE provides a novel paradigm for long-tailed image recognition. Full article
Show Figures

Figure 1

29 pages, 11221 KB  
Article
Research on the Measurement and Influencing Factors of China’s Overall Export Competitiveness of Tungsten Resources from the Perspective of the Industrial Chain
by Ligang Xu, Ying Zhang, Nongsheng Wang and Yanglei Jia
Sustainability 2025, 17(23), 10684; https://doi.org/10.3390/su172310684 - 28 Nov 2025
Viewed by 186
Abstract
Against the backdrop of great power strategic games, countries around the world have been continuously intensifying their control over the trade of critical metals, including tungsten, in order to seize the commanding heights of scientific, technological, and economic development, which has led to [...] Read more.
Against the backdrop of great power strategic games, countries around the world have been continuously intensifying their control over the trade of critical metals, including tungsten, in order to seize the commanding heights of scientific, technological, and economic development, which has led to increasingly fierce competition in the global tungsten industry chain and supply chain. Although China is endowed with abundant tungsten ore reserves, its tungsten industry chain remains dominated by mid-to-low-end products, with low added value and limited pricing power in the international market. Therefore, it is of great significance to clarify the export competitiveness level of China in each link of the tungsten industry chain and to identify the influencing factors for improving the overall competitiveness of the industrial chain, which will enhance China’s international status and assist in formulating sustainable tungsten resource management strategies. Based on the industrial chain perspective and the trade data of typical products at various stages of the tungsten industry chain from 2008 to 2022, this study first selects the World Market Share Index, Trade Competitive Advantage Index, and Revealed Comparative Advantage Index to quantitatively depict the export competitiveness of the overall, upstream, midstream, and downstream sectors of China’s tungsten industry chain, and a horizontal comparison is conducted with major global tungsten resource trading countries. Secondly, the entropy weight method is adopted to further comprehensively evaluate the competitiveness level of various countries. Finally, the potential influencing factors of the overall export competitiveness of the tungsten industry chain are explored in accordance with Porter’s Diamond Model, and a fixed-effect model is used to perform regression analysis on the panel data. The research findings show that China has strong export competitiveness in the midstream and downstream sectors of the tungsten industry chain, while its export competitiveness in the upstream tungsten ore sector is relatively weak. The level of education, human capital, educational expenditure, gross national product, and trade openness all have a significant positive impact on the export competitiveness of tungsten resources. Greater efforts should be made in China to cultivate high-end talents in the tungsten industry. Moreover, innovation in green technologies and products should be encouraged, and international cooperation should be deepened, to improve the efficiency of the entire industrial chain so that stable and green long-term competitiveness in the tungsten industry can be achieved. Full article
Show Figures

Figure 1

17 pages, 2593 KB  
Article
Dental Care and Oral Health Within the Framework of Bulgarian Public Health Financing
by Ralitsa Raycheva, Ivelina Popova-Sotirova and Nina Musurlieva
Healthcare 2025, 13(23), 3055; https://doi.org/10.3390/healthcare13233055 - 25 Nov 2025
Viewed by 217
Abstract
Background/Objectives: Oral health is a critical component of public health, yet disparities in access and financing remain significant. In Bulgaria, dental services are financed through the National Health Insurance Fund and patient co-payments, with coverage differing between children and adults. The aim [...] Read more.
Background/Objectives: Oral health is a critical component of public health, yet disparities in access and financing remain significant. In Bulgaria, dental services are financed through the National Health Insurance Fund and patient co-payments, with coverage differing between children and adults. The aim of this study was to analyze the dynamics of health insurance payments and expenditures for dental care in Bulgaria over the period 2019–2025, with a focus on differences between age groups and the balance between public funding and patient contributions. Methods: A retrospective descriptive–analytical study was conducted using aggregated data from NHIF annual reports, national legislation, and secondary literature. Absolute expenditures (BGN) and relative shares (%) of dental services within total health insurance payments were examined for the period 2019–2025 (actual data). Key dental procedures analyzed included examinations, restorations, extractions, and treatment of pulpitis/periodontitis in children, as well as prosthetic rehabilitation in older adults. Descriptive statistics, trend analysis, and simple linear regression were applied to assess expenditure growth and predictability. Results: Total health insurance payments in Bulgaria nearly doubled between 2019 and 2025, increasing from 4.12 to 8.87 million BGN. Dental expenditures rose from 167,000 to 416,000 BGN, with the share of dental care rising modestly from 4.05% to 4.69%. For children, NHIF covered nearly all costs, with minimal or absent co-payments. Among adults, a co-financing model prevailed, with fixed patient contributions for basic services but full NHIF coverage for prosthetic rehabilitation in edentulous patients aged 65–69 years. Conclusions: Bulgaria’s dental care financing reflects a socially oriented model, with full coverage for children and mixed financing for adults. Strategic policy adjustments are needed to ensure sustainability, equity, and alignment with universal health coverage goals. Full article
(This article belongs to the Section Healthcare Organizations, Systems, and Providers)
Show Figures

Figure 1

35 pages, 1060 KB  
Article
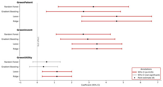
Institutional Investors and Green Innovation Under Double Externalities: A Machine Learning Optimization Perspective
by Siqi Luo and Chengkun Liu
Mathematics 2025, 13(22), 3718; https://doi.org/10.3390/math13223718 - 19 Nov 2025
Viewed by 586
Abstract
This paper investigates how institutional investors address the double externalities of green innovation (knowledge spillovers and environmental benefits) in China’s transition economy. Methodologically, we integrate fixed-effects econometric models with a double machine learning framework, employing random forest, gradient boosting, Lasso, and Ridge to [...] Read more.
This paper investigates how institutional investors address the double externalities of green innovation (knowledge spillovers and environmental benefits) in China’s transition economy. Methodologically, we integrate fixed-effects econometric models with a double machine learning framework, employing random forest, gradient boosting, Lasso, and Ridge to optimize causal inference under high-dimensional controls. The results consistently show that institutional ownership significantly enhances both the scale and quality of green innovation, particularly when formal institutions inadequately internalize externalities. Mechanism analysis further reveals that corporate transparency acts as a compensatory governance tool, strengthening the role of institutional investors in mitigating market failures. We also document heterogeneous effects across informal institutional environments, where weaker Confucian culture and stronger market sentiment amplify investor influence. By combining econometric identification with machine learning optimization, this study advances methodological approaches to sustainable finance and offers policy insights into leveraging institutional investors as catalysts for environmental governance. Full article
Show Figures

Figure 1

26 pages, 3908 KB  
Article
Balancing Resource Potential and Investment Costs in Offshore Wind Projects: Evidence from Northern Colombia
by Adalberto Ospino-Castro, Carlos Robles-Algarín and Jhon William Vásquez Capacho
Energies 2025, 18(22), 6003; https://doi.org/10.3390/en18226003 - 16 Nov 2025
Viewed by 432
Abstract
This study presents a comprehensive techno-economic assessment of offshore wind projects in the Colombian Caribbean, emphasizing the impact of site-specific parameters on development costs and performance. Wind resource conditions were evaluated in four coastal regions (La Guajira, Magdalena, Atlántico, and Bolívar) using hourly [...] Read more.
This study presents a comprehensive techno-economic assessment of offshore wind projects in the Colombian Caribbean, emphasizing the impact of site-specific parameters on development costs and performance. Wind resource conditions were evaluated in four coastal regions (La Guajira, Magdalena, Atlántico, and Bolívar) using hourly meteorological data from 2015 to 2024, adjusted to 100 m above ground level through logarithmic and power law wind profile models. The analysis included wind speed, bathymetry, distance to shore, distance to substation, foundation type, wind power density (WPD), and capacity factor (Cf). Based on these parameters, annual energy generation was estimated, and both capital expenditures (CAPEX) and operational expenditures (OPEX) were calculated, considering the technical and cost differences between fixed and floating foundations. Results show that La Guajira combines excellent wind conditions (WPD of 796 W/m2 and Cf of 61.5%) with favorable construction feasibility (bathymetry of −32 m), resulting in the lowest CAPEX among the studied regions. In contrast, Magdalena and Atlántico, with bathymetries exceeding 200 m, require floating foundations that more than double the investment costs. Bolívar presents an intermediate profile, offering solid wind potential and fixed foundation feasibility at a moderate cost. The findings confirm that offshore wind project viability depends not only on wind resource quality but also on physical site constraints, which directly influence the cost structure and energy yield. This integrated approach supports more accurate project prioritization and contributes to strategic planning for the sustainable deployment of offshore wind energy in Colombia. Full article
(This article belongs to the Special Issue Recent Developments of Wind Energy: 2nd Edition)
Show Figures

Figure 1

18 pages, 2700 KB  
Article
Optimization of the Performance of Double-Skin Façades Across Six Climates: Effects of Orientation, Blinds, and Overhangs on Energy Efficiency and Carbon Emissions
by Niloufar Ziasistani, Andrés Meana-Fernández and Antonio José Gutiérrez-Trashorras
Thermo 2025, 5(4), 53; https://doi.org/10.3390/thermo5040053 - 13 Nov 2025
Viewed by 431
Abstract
The building sector accounts for nearly 40% of global energy consumption and over one-third of energy-related carbon emissions. Therefore, it is vital to adopt low-carbon design strategies. Double-Skin Façades (DSFs) offer significant potential to improve energy efficiency through the dynamic control of heat [...] Read more.
The building sector accounts for nearly 40% of global energy consumption and over one-third of energy-related carbon emissions. Therefore, it is vital to adopt low-carbon design strategies. Double-Skin Façades (DSFs) offer significant potential to improve energy efficiency through the dynamic control of heat and daylight. This study evaluates the combined effects of building orientation, fixed shading devices, and adjustable blinds on the performance of DSFs across six cities representing diverse climate types: Phoenix, Stockholm, Kuala Lumpur, London, Cape Town, and Tokyo. Using a model developed in DesignBuilder, 852 scenarios were simulated with 5-min time steps over a full year. The results show that optimal orientation depends on the climate and that cooling load may be reduced up to 59%, with CO2 emission savings up to 11.7% compared to a base south-facing configuration. External blinds outperformed internal blinds in reducing the cooling demand, reaching reductions of up to 27.7% in hot climates, though often increasing the heating load in cold climates. Combining overhangs and external blinds provided additional cooling savings in some cases but was generally less effective than external blinds alone. The findings highlight the importance of climate-specific DSF designs, with orientation and external blinds being the most effective strategies for reducing operational energy use and emissions. Full article
Show Figures

Figure 1

27 pages, 5271 KB  
Article
Integrated Trajectory Tracking Strategy for Unmanned Delivery Vehicles in Complex Driving Conditions
by Haoze Chen, Jie He, Zhiming Fang, Pengcheng Qin, Changjian Zhang and Xintong Yan
Appl. Sci. 2025, 15(21), 11753; https://doi.org/10.3390/app152111753 - 4 Nov 2025
Viewed by 337
Abstract
This paper proposes an integrated trajectory tracking strategy for unmanned delivery vehicles operating under complex road geometries and varying adhesion conditions. The method combines adaptive speed regulation informed by road curvature and adhesion with lateral predictive control. A Proportional-Integral-Derivative (PID) controller is utilized [...] Read more.
This paper proposes an integrated trajectory tracking strategy for unmanned delivery vehicles operating under complex road geometries and varying adhesion conditions. The method combines adaptive speed regulation informed by road curvature and adhesion with lateral predictive control. A Proportional-Integral-Derivative (PID) controller is utilized for speed regulation to suppress tire force saturation. while the lateral controller adopts model predictive control (MPC) and generates steering commands by solving a quadratic programming (QP) problem with explicit constraints that cover bounds on input magnitude and input rate. Extensive co-simulations using MATLAB/Simulink and Carsim demonstrate that the proposed method outperforms traditional fixed-speed control strategies in both single- and double-lane change scenarios. It achieves superior tracking accuracy and vehicle stability and effectively suppresses sideslip and instability under low adhesion conditions. The results validate the effectiveness of the control strategy, providing key theoretical and practical insights for the safe and reliable operation of unmanned delivery vehicles in complex urban environments. Full article
Show Figures

Figure 1

20 pages, 9478 KB  
Article
Rational Engineering of Patchoulene Synthase from Pogostemon cablin for Enhanced Patchoulene Production
by Wei Ma, Xiukun Wan, Ge Yao, Fuli Wang and Hui Jiang
Int. J. Mol. Sci. 2025, 26(20), 10187; https://doi.org/10.3390/ijms262010187 - 20 Oct 2025
Viewed by 350
Abstract
Patchoulene, the characteristic sesquiterpene of patchouli essential oil, is highly valued in the perfume industry for its distinctive woody note and fixative properties. Beyond its olfactory applications, patchoulene has demonstrated promising biological activities, including anti-inflammatory, antimicrobial, and neuroprotective effects. Current production relies mainly [...] Read more.
Patchoulene, the characteristic sesquiterpene of patchouli essential oil, is highly valued in the perfume industry for its distinctive woody note and fixative properties. Beyond its olfactory applications, patchoulene has demonstrated promising biological activities, including anti-inflammatory, antimicrobial, and neuroprotective effects. Current production relies mainly on extraction from Pogostemon cablin plants, which requires long growth cycles (≥8 months), exhibits low yields, and imposes significant environmental constraints. To overcome these limitations, this study aimed to enhance the Whole-cell yield of patchoulene synthase (PcPTS) through structure-informed protein engineering. A semi-rational design approach was employed, combining homology modeling, molecular docking, evolutionary analysis, and molecular dynamics simulations to identify functional residues within the enzyme active site. Ala-scanning mutagenesis highlighted Thr532 as essential for catalytic activity, and coevolutionary analysis indicated synergistic effects between Phe456 and Thr532. Site-directed mutagenesis was conducted to generate single (F456M, T532Y) and double (F456M/T532Y, designated M2) mutants. The double mutant M2 showed a 3.62-fold increase in patchoulene production compared to the wild-type enzyme. In silico analyses suggested that the enhanced performance of M2 originates from improved substrate positioning, reduced structural flexibility, and strengthened molecular interactions, collectively contributing to a lower energy barrier for catalysis. This study provides an effective strategy for the rapid optimization of terpenoid synthases and facilitates the development of microbial cell factories for sustainable and high-yield production of plant-derived terpenoids. Full article
(This article belongs to the Section Molecular Biology)
Show Figures

Figure 1

19 pages, 4558 KB  
Article
Study on the Effect of Seatback Recline Angle and Connection Stiffness on Occupant Injury in High-Speed Train Collisions
by Fei Yu, Xu Sang, Honglei Tian, Longxi Liu and Wenbin Wang
Appl. Sci. 2025, 15(19), 10852; https://doi.org/10.3390/app151910852 - 9 Oct 2025
Viewed by 545
Abstract
This study investigates occupant–seat interaction dynamics in high-speed train frontal collisions. A finite element model of a second-class double seat was developed and simulated using LS-DYNA R12.1 software with a Hybrid III dummy, applying trapezoidal and triangular acceleration pulses per European and American [...] Read more.
This study investigates occupant–seat interaction dynamics in high-speed train frontal collisions. A finite element model of a second-class double seat was developed and simulated using LS-DYNA R12.1 software with a Hybrid III dummy, applying trapezoidal and triangular acceleration pulses per European and American standards. The research analyzes the impact of front-row seatback recline angles (0°, 10°, 20°) and seatback-to-base connection stiffness (1000 N/mm to 0 N/mm) on head, neck, chest, and leg injury severity. Results show that a 10° recline provides optimal protection under fixed stiffness. When optimizing both parameters, a 0° recline with approximately 300 N/mm stiffness minimizes composite injury metrics (HIC15, Nij, CTI). However, reducing stiffness at non-zero recline angles increases neck injury risk due to tray table displacement toward the cervical region. These findings emphasize the critical importance of integrated seat design optimization for rail passenger passive safety and highlight the need to mitigate tray table hazards. Full article
Show Figures

Figure 1

21 pages, 3744 KB  
Article
FPI-Based Adaptive Control with Simultaneous Noise Filtering and Low Frequency Delay
by Bence Varga, Richárd Horváth and József Kázmér Tar
Actuators 2025, 14(10), 490; https://doi.org/10.3390/act14100490 - 9 Oct 2025
Viewed by 325
Abstract
In the field of life sciences, delay effects are often modeled with two compartments that do not model any particular organ. In this paper the use of this double counterpart model is investigated in Fixed-Point Iteration-based (FPI) Control, which was introduced in 2009 [...] Read more.
In the field of life sciences, delay effects are often modeled with two compartments that do not model any particular organ. In this paper the use of this double counterpart model is investigated in Fixed-Point Iteration-based (FPI) Control, which was introduced in 2009 as an adaptive extension to the Computed Torque Control method. This controller is particularly sensitive to delays and measurement noise due to its iterative nature. It was recognized that, besides modeling the delay effect, this signal tackling also provided the controller with some noise filtering ability; the formerly accumulated effects of noise filtering and formally delayed sampling were avoided. This smeared delay has a noticeable effect even slightly later in time, making the adaptive method based on it more robust. This assumption was investigated both on a simulation and experimental basis. Full article
(This article belongs to the Section Control Systems)
Show Figures

Figure 1

20 pages, 513 KB  
Article
Nonlinear Impact of Digital Service Innovation on Value Creation in Manufacturing Firms: Based on TOE Framework
by Yongtao Peng and Zheng Li
J. Theor. Appl. Electron. Commer. Res. 2025, 20(4), 263; https://doi.org/10.3390/jtaer20040263 - 2 Oct 2025
Viewed by 731
Abstract
This study employs data from Chinese A-share manufacturing firms listed between 2018 and 2024 to examine the nonlinear effects of digital service innovation on corporate value creation and its threshold mechanisms, using a two-way fixed-effects model and a panel threshold model. The results [...] Read more.
This study employs data from Chinese A-share manufacturing firms listed between 2018 and 2024 to examine the nonlinear effects of digital service innovation on corporate value creation and its threshold mechanisms, using a two-way fixed-effects model and a panel threshold model. The results indicate that (1) digital service innovation exhibits a nonlinear relationship with value creation—its impact is initially suppressed at low innovation levels but rises markedly once a certain inflection point is exceeded; (2) ecosystem embedding presents a double-threshold effect: when embedding is high, it substantially strengthens the efficacy of digital service innovation; (3) organizational dynamic capability shows a single-threshold effect: moderate dynamic capability enhances value creation, whereas overly strong capability may inhibit innovation benefits; and (4) digital technology adoption does not display significant threshold characteristics. This research enriches the theory of digital service innovation and offers empirical evidence and practical insights for manufacturing firms in crafting differentiated innovation strategies. Full article
Show Figures

Figure 1

24 pages, 1886 KB  
Article
The Mechanism of Promoting Ecological Resilience Through Digital Inclusive Finance: Empirical Test Based on China’s Provincial Panel Data
by Haowen Jin and Xingcheng Lu
Sustainability 2025, 17(19), 8776; https://doi.org/10.3390/su17198776 - 30 Sep 2025
Viewed by 681
Abstract
In recent years, China’s economic and social development has faced challenges such as urban-rural imbalance and ecological pressure. Digital inclusive finance and ecological resilience have become key concerns in academia and policymaking. This study empirically examines whether digital inclusive finance can enhance ecological [...] Read more.
In recent years, China’s economic and social development has faced challenges such as urban-rural imbalance and ecological pressure. Digital inclusive finance and ecological resilience have become key concerns in academia and policymaking. This study empirically examines whether digital inclusive finance can enhance ecological resilience and its underlying mechanisms, drawing on quantitative evidence from provincial panel data covering 2011–2020. By providing robust empirical results, it contributes to understanding the role of digital finance in supporting high-quality growth and ecological civilization. While the findings align with national strategies such as the “dual carbon” goal and rural revitalization, the study’s primary contribution lies in advancing interdisciplinary exploration through rigorous evidence rather than solely at the policy level. By constructing a double fixed effects model and panel data from 30 Chinese provinces (2011–2020), the study finds that digital inclusive finance significantly enhances ecological resilience, both directly and indirectly through channels such as environmental regulation, artificial intelligence development, and green credit. Moreover, its ecological impact is moderated by regional economic levels and digital infrastructure, with stronger effects observed in eastern and digitally advanced regions. In summary, this study reveals the mechanisms through which digital inclusive finance promotes ecological resilience, offering a theoretical foundation and practical guidance for policy formulation. Its key contribution lies in systematically analyzing the link between digital inclusive finance and ecological resilience, enriching the theoretical framework and providing data support for policy optimization and financial institutions’ strategic adjustments. Future efforts should focus on strengthening policy coordination to enhance the ecological role of digital finance, promoting financial innovation to support resilience, and advancing regional coordination to narrow the digital divide and achieve shared ecological protection. Full article
Show Figures

Graphical abstract

24 pages, 7058 KB  
Article
Dynamical Analysis of a Caputo Fractional-Order Modified Brusselator Model: Stability, Chaos, and 0-1 Test
by Messaoud Berkal and Mohammed Bakheet Almatrafi
Axioms 2025, 14(9), 677; https://doi.org/10.3390/axioms14090677 - 2 Sep 2025
Viewed by 736
Abstract
Differential equations have demonstrated significant practical effectiveness across diverse fields, including physics, chemistry, biological engineering, computer science, electrical power systems, and security cryptography. This study investigates the dynamics of a Caputo fractional discrete-time modified Brusselator model. Conditions for the existence and local stability [...] Read more.
Differential equations have demonstrated significant practical effectiveness across diverse fields, including physics, chemistry, biological engineering, computer science, electrical power systems, and security cryptography. This study investigates the dynamics of a Caputo fractional discrete-time modified Brusselator model. Conditions for the existence and local stability of the fixed point FP are established. Using bifurcation theory, the occurrence of both period-doubling and Neimark–-Sacker bifurcations is analyzed, revealing that these bifurcations occur at specific values of the bifurcation parameter. Maximum Lyapunov characteristic exponents are computed to assess system sensitivity. Two-dimensional diagrams are presented to illustrate phase portraits, local stability regions, closed invariant curves, bifurcation types, and Lyapunov exponents, while the 0-1 test confirms the presence of chaos in the model. Finally, MATLAB simulations validate the theoretical results. Full article
Show Figures

Figure 1

24 pages, 6077 KB  
Article
Trajectory Tracking Control of Intelligent Vehicles with Adaptive Model Predictive Control and Reinforcement Learning Under Variable Curvature Roads
by Yuying Fang, Pengwei Wang, Song Gao, Binbin Sun, Qing Zhang and Yuhua Zhang
Technologies 2025, 13(9), 394; https://doi.org/10.3390/technologies13090394 - 1 Sep 2025
Viewed by 986
Abstract
To improve the tracking accuracy and the adaptability of intelligent vehicles in various road conditions, an adaptive model predictive controller combining reinforcement learning is proposed in this paper. Firstly, to solve the problem of control accuracy decline caused by a fixed prediction time [...] Read more.
To improve the tracking accuracy and the adaptability of intelligent vehicles in various road conditions, an adaptive model predictive controller combining reinforcement learning is proposed in this paper. Firstly, to solve the problem of control accuracy decline caused by a fixed prediction time domain, a low-computational-cost adaptive prediction horizon strategy based on a two-dimensional Gaussian function is designed to realize the real-time adjustment of prediction time domain change with vehicle speed and road curvature. Secondly, to address the problem of tracking stability reduction under complex road conditions, the Deep Q-Network (DQN) algorithm is used to adjust the weight matrix of the Model Predictive Control (MPC) algorithm; then, the convergence speed and control effectiveness of the tracking controller are improved. Finally, hardware-in-the-loop tests and real vehicle tests are conducted. The results show that the proposed adaptive predictive horizon controller (DQN-AP-MPC) solves the problem of poor control performance caused by fixed predictive time domain and fixed weight matrix values, significantly improving the tracking accuracy of intelligent vehicles under different road conditions. Especially under variable curvature and high-speed conditions, the proposed controller reduces the maximum lateral error by 76.81% compared to the unimproved MPC controller, and reduces the average absolute error by 64.44%. The proposed controller has a faster convergence speed and better trajectory tracking performance when tested on variable curvature road conditions and double lane roads. Full article
(This article belongs to the Section Manufacturing Technology)
Show Figures

Figure 1

Back to TopTop