Sign in to use this feature.

Years

Between: -

Subjects

remove_circle_outline
remove_circle_outline
remove_circle_outline
remove_circle_outline
remove_circle_outline
remove_circle_outline
remove_circle_outline
remove_circle_outline
remove_circle_outline

Journals

Article Types

Countries / Regions

remove_circle_outline
remove_circle_outline
remove_circle_outline
remove_circle_outline

Search Results (122)

Search Parameters:
Keywords = daily load curves

Order results
Result details
Results per page
Select all
Export citation of selected articles as:
20 pages, 5139 KB  
Article
Sediment Load Decreases After the Historical 2017 Megafire in Central Chile: The Purapel in Sauzal Experimental Watershed Case Study and Its Implications for Sustainable Watershed Management
by Roberto Pizarro, Ben Ingram, Alfredo Ibáñez, Claudia Sangüesa, Cristóbal Toledo, Juan Pino, Camila Uribe, Edgard Gonzales, Ramón Bustamante-Ortega and Pablo A. Garcia-Chevesich
Sustainability 2025, 17(22), 9930; https://doi.org/10.3390/su17229930 - 7 Nov 2025
Viewed by 240
Abstract
Forests play a critical role in regulating hydrological processes and reducing soil erosion and sediment load. However, climate change has increased the frequency and severity of wildfires, which can significantly impact these ecosystem services. A historical megafire burned in January of 2017 in [...] Read more.
Forests play a critical role in regulating hydrological processes and reducing soil erosion and sediment load. However, climate change has increased the frequency and severity of wildfires, which can significantly impact these ecosystem services. A historical megafire burned in January of 2017 in Central Chile, affecting the Purapel in Sauzal experimental watershed (an area dominated by Pinus radiata plantations), providing a unique opportunity to study post-fire sediment load dynamics. We hypothesized that sediment load would significantly increase following the wildfire, especially in areas with exotic commercial plantations. To test this, we analyzed daily sediment load and streamflow data collected the Purapel River during the 1991–2018 period, as well as other variables. Descriptive statistics and a sediment rating curve model were used to assess temporal variations in sediment load. Contrary to expectations, results showed no significant increase in sediment concentration following the devastating 2017 wildfire event. In fact, the Mann–Kendall test revealed a significant decreasing trend in winter sediment production over the study period. These findings may be explained by a reduction in precipitation during the mega-drought of the 2010s and, importantly, a rapid and dense post-fire pine seedling regeneration. This study highlights the complex interactions between climate, vegetation, and geomorphic processes, as well as the need for further research on post-fire sediment dynamics in Mediterranean plantation forests. Full article
Show Figures

Figure 1

36 pages, 8903 KB  
Article
Sustainable Valorization of Bovine–Guinea Pig Waste: Co-Optimization of pH and EC in Biodigesters
by Daniela Geraldine Camacho Alvarez, Johann Alexis Chávez García, Yoisdel Castillo Alvarez and Reinier Jiménez Borges
Recycling 2025, 10(5), 190; https://doi.org/10.3390/recycling10050190 - 10 Oct 2025
Viewed by 1058
Abstract
The agro-industry is among the largest methane emitters, posing a critical challenge for sustainability. In rural areas, producers lack effective technologies to manage daily organic waste. Anaerobic digestion (AD) offers a circular pathway by converting waste into biogas and biofertilizers; however, its adoption [...] Read more.
The agro-industry is among the largest methane emitters, posing a critical challenge for sustainability. In rural areas, producers lack effective technologies to manage daily organic waste. Anaerobic digestion (AD) offers a circular pathway by converting waste into biogas and biofertilizers; however, its adoption is limited by inappropriate designs and insufficient operational control. Theoretical-applied research addresses these barriers by improving the design and operation of small-scale biodigesters, elevating pH and Electrical Conductivity (EC) from passive indicators to first-order control variables. Based on the design of a compact biodigester previously validated in the Chillón Valley and replicated in Huaycán under a utility model patent process (INDECOPI, Exp. 001087-2025/DIN), a stoichiometric NaHCO3 strategy with joint pH–EC monitoring was formalized, defining operational windows (pH 6.92–6.97; EC 6200–6300 μS/cm and dose–response curves (0.3–0.4 kg/day for 3–4 day) to buffer VFA shocks and preserve methanogenic ionic strength. The system achieved stable productions of 370–462 L/day, surpassing the theoretical potential of 352.88 L/day calculated by Buswell’s equation. A multivariable predictive model (linear, quadratic, interaction terms pH × EC, temperature, and loading rate) was developed and validated with field data: R2 = 0.78; MAPE = 2.7%; MAE = 11.2 L/day; RMSE = 13.8 L/day; r = 0.89; residuals normally distributed (Shapiro–Wilk p = 0.79). The proposed approach enables daily decision-making in low-instrumentation environments and provides a replicable and scalable pathway for the safe valorization of organic waste in rural areas. The design consolidates the shift from reactive to proactive and co-optimized pH–EC control, laying the foundation not only for standardized protocols and training in rural systems but also for improved environmental sustainability. Full article
Show Figures

Figure 1

35 pages, 3181 KB  
Article
An Integrated Goodness-of-Fit and Vine Copula Framework for Windspeed Distribution Selection and Turbine Power-Curve Assessment in New South Wales and Southern East Queensland
by Khaled Haddad
Atmosphere 2025, 16(9), 1068; https://doi.org/10.3390/atmos16091068 - 10 Sep 2025
Viewed by 478
Abstract
Accurate modelling of near surface wind speeds is essential for robust resource assessment, turbine design, and grid integration. This study presents a unified framework comparing four candidate marginal distributions—Weibull, Gamma, Lognormal, and Generalised Extreme Value (GEV)—across 21 years of daily observations from 11 [...] Read more.
Accurate modelling of near surface wind speeds is essential for robust resource assessment, turbine design, and grid integration. This study presents a unified framework comparing four candidate marginal distributions—Weibull, Gamma, Lognormal, and Generalised Extreme Value (GEV)—across 21 years of daily observations from 11 sites in New South Wales and southern Queensland, Australia. Parameters are estimated by maximum likelihood, with L-moments used when numerical fitting fails. Univariate goodness-of-fit is evaluated via information criteria (Akaike Information Criterion, AIC; Bayesian Information Criterion, BIC) and distributional tests (Anderson–Darling, Cramér–von Mises, Kolmogorov–Smirnov). To capture spatial dependence, we fit an 11-dimensional regular vine (“R-vine”) copula to the probability-integral-transformed data, selecting pair-copula families by AIC and estimating parameters by sequential likelihood. A composite score (70% univariate, 30% copula) ranks distributions per location. Results demonstrate that Lognormal best matches central behaviour at most sites, Weibull remains competitive for bulk modelling, Gamma often excels in moderate tails, and GEV best represents extremes. All turbine yield results presented are illustrative, showing how statistical choices impact energy estimates; they should not be interpreted as operational forecasts. In a case study, 5000 joint simulations from the top-two models drive IEC V90 and E82 power curves, revealing up to 10% variability in annual energy yield due solely to marginal choice. This workflow provides a replicable template for comprehensive wind resource and load hazard analysis in complex terrains. Full article
(This article belongs to the Section Meteorology)
Show Figures

Figure 1

23 pages, 4418 KB  
Article
Optimization of Electric Transformer Operation Through Load Estimation Based on the K-Means Algorithm
by Pedro Torres-Bermeo, José Varela-Aldás, Kevin López-Eugenio, Nancy Velasco and Guillermo Palacios-Navarro
Energies 2025, 18(14), 3755; https://doi.org/10.3390/en18143755 - 15 Jul 2025
Viewed by 984
Abstract
This study presents an innovative methodology to optimize the operation of distribution transformers through the estimation of hourly load curves, aimed at minimizing technical losses due to oversizing, particularly in systems lacking advanced metering infrastructure. The proposed approach combines clustering techniques, K-Means with [...] Read more.
This study presents an innovative methodology to optimize the operation of distribution transformers through the estimation of hourly load curves, aimed at minimizing technical losses due to oversizing, particularly in systems lacking advanced metering infrastructure. The proposed approach combines clustering techniques, K-Means with DTW, to identify representative daily consumption patterns and a supervised model based on LightGBM to estimate hourly load curves for unmetered transformers, using customer characteristics as input. These estimated curves are integrated into a process that calculates technical losses, both no-load and load losses, for different transformer sizes, selecting the optimal rating that minimizes losses without compromising demand. Empirical validation showed accuracy levels of 95.6%, 95.29%, and 98.14% at an individual transformer, feeder, and a complete electrical system with 16,864 transformers, respectively. The application of the methodology to a real distribution system revealed a potential annual energy savings of 3004 MWh, equivalent to an estimated economic reduction of 150,238 USD. Full article
Show Figures

Figure 1

20 pages, 2832 KB  
Article
Short-Term Optimal Scheduling of Pumped-Storage Units via DDPG with AOS-LSTM Flow-Curve Fitting
by Xiaoyao Ma, Hong Pan, Yuan Zheng, Chenyang Hang, Xin Wu and Liting Li
Water 2025, 17(13), 1842; https://doi.org/10.3390/w17131842 - 20 Jun 2025
Cited by 1 | Viewed by 705
Abstract
The short-term scheduling of pumped-storage hydropower plants is characterised by high dimensionality and nonlinearity and is subject to multiple operational constraints. This study proposes an intelligent scheduling framework that integrates an Atomic Orbital Search (AOS)-optimised Long Short-Term Memory (LSTM) network with the Deep [...] Read more.
The short-term scheduling of pumped-storage hydropower plants is characterised by high dimensionality and nonlinearity and is subject to multiple operational constraints. This study proposes an intelligent scheduling framework that integrates an Atomic Orbital Search (AOS)-optimised Long Short-Term Memory (LSTM) network with the Deep Deterministic Policy Gradient (DDPG) algorithm to minimise water consumption during the generation period while satisfying constraints such as system load and safety states. Firstly, the AOS-LSTM model simultaneously optimises the number of hidden neurons, batch size, and training epochs to achieve high-precision fitting of unit flow–efficiency characteristic curves, reducing the fitting error by more than 65.35% compared with traditional methods. Subsequently, the high-precision fitted curves are embedded into a Markov decision process to guide DDPG in performing constraint-aware load scheduling. Under a typical daily load scenario, the proposed scheduling framework achieves fast inference decisions within 1 s, reducing water consumption by 0.85%, 1.78%, and 2.36% compared to standard DDPG, Particle Swarm Optimisation, and Dynamic Programming methods, respectively. In addition, only two vibration-zone operations and two vibration-zone crossings are recorded, representing a reduction of more than 90% compared with the above two traditional optimisation methods, significantly improving scheduling safety and operational stability. The results validate the proposed method’s economic efficiency and reliability in high-dimensional, multi-constraint pumped-storage scheduling problems and provide strong technical support for intelligent scheduling systems. Full article
Show Figures

Figure 1

24 pages, 4961 KB  
Article
A Small-Sample Scenario Optimization Scheduling Method Based on Multidimensional Data Expansion
by Yaoxian Liu, Kaixin Zhang, Yue Sun, Jingwen Chen and Junshuo Chen
Algorithms 2025, 18(6), 373; https://doi.org/10.3390/a18060373 - 19 Jun 2025
Viewed by 556
Abstract
Currently, deep reinforcement learning has been widely applied to energy system optimization and scheduling, and the DRL method relies more heavily on historical data. The lack of historical operation data in new integrated energy systems leads to insufficient DRL training samples, which easily [...] Read more.
Currently, deep reinforcement learning has been widely applied to energy system optimization and scheduling, and the DRL method relies more heavily on historical data. The lack of historical operation data in new integrated energy systems leads to insufficient DRL training samples, which easily triggers the problems of underfitting and insufficient exploration of the decision space and thus reduces the accuracy of the scheduling plan. In addition, conventional data-driven methods are also difficult to accurately predict renewable energy output due to insufficient training data, which further affects the scheduling effect. Therefore, this paper proposes a small-sample scenario optimization scheduling method based on multidimensional data expansion. Firstly, based on spatial correlation, the daily power curves of PV power plants with measured power are screened, and the meteorological similarity is calculated using multicore maximum mean difference (MK-MMD) to generate new energy output historical data of the target distributed PV system through the capacity conversion method; secondly, based on the existing daily load data of different types, the load historical data are generated using the stochastic and simultaneous sampling methods to construct the full historical dataset; subsequently, for the sample imbalance problem in the small-sample scenario, an oversampling method is used to enhance the data for the scarce samples, and the XGBoost PV output prediction model is established; finally, the optimal scheduling model is transformed into a Markovian decision-making process, which is solved by using the Deep Deterministic Policy Gradient (DDPG) algorithm. The effectiveness of the proposed method is verified by arithmetic examples. Full article
(This article belongs to the Section Algorithms for Multidisciplinary Applications)
Show Figures

Figure 1

15 pages, 1917 KB  
Article
Research on Electric Vehicle Charging Load Forecasting Method Based on Improved LSTM Neural Network
by Chengmin Wang, Yangzi Wang and Fulong Song
World Electr. Veh. J. 2025, 16(5), 265; https://doi.org/10.3390/wevj16050265 - 13 May 2025
Cited by 3 | Viewed by 1958
Abstract
Targeting the problem whereby electric vehicle charging loads have large temporal randomness, which affects the accuracy of load prediction, an electric vehicle charging load prediction method based on an improved long short-term memory (LSTM) neural network is investigated. The similarity of EV charging [...] Read more.
Targeting the problem whereby electric vehicle charging loads have large temporal randomness, which affects the accuracy of load prediction, an electric vehicle charging load prediction method based on an improved long short-term memory (LSTM) neural network is investigated. The similarity of EV charging load curves is calculated and the data related to EV charging loads are clustered according to the similarity using a spectral clustering algorithm. The principal component analysis method is used to extract the principal components from the clustering results of EV load data. The LSTM neural network takes the main components of EV charging load as inputs, updates the state of the storage unit through the activation function, introduces an attention mechanism to improve the structure of the network, and outputs the prediction results of the EV charging load through the operation of the input gate, forgetting gate, and output gate. The experimental results show that this method can accurately predict the hourly and daily charging loads of electric vehicles and provide support for their orderly charging of electric vehicles. Full article
Show Figures

Figure 1

35 pages, 411 KB  
Article
Model Predictive Control of Electric Water Heaters in Individual Dwellings Equipped with Grid-Connected Photovoltaic Systems
by Oumaima Laguili, Julien Eynard, Marion Podesta and Stéphane Grieu
Solar 2025, 5(2), 15; https://doi.org/10.3390/solar5020015 - 25 Apr 2025
Viewed by 873
Abstract
The residential sector is energy-consuming and one of the biggest contributors to climate change. In France, the adoption of photovoltaics (PV) in that sector is accelerating, which contributes to both increasing energy efficiency and reducing greenhouse gas (GHG) emissions, even though the technology [...] Read more.
The residential sector is energy-consuming and one of the biggest contributors to climate change. In France, the adoption of photovoltaics (PV) in that sector is accelerating, which contributes to both increasing energy efficiency and reducing greenhouse gas (GHG) emissions, even though the technology faces several issues. One issue that slows down the adoption of the technology is the “duck curve” effect, which is defined as the daily variation of net load derived from a mismatch between power consumption and PV power generation periods. As a possible solution for addressing this issue, electric water heaters (EWHs) can be used in residential building as a means of storing the PV power generation surplus in the form of heat in a context where users’ comfort—the availability of domestic hot water (DHW)—has to be guaranteed. Thus, the present work deals with developing model-based predictive control (MPC) strategies—nonlinear/linear MPC (MPC/LMPC) strategies are proposed—to the management of EWHs in individual dwellings equipped with grid-connected PV systems. The aim behind developing such strategies is to improve both the PV power generation self-consumption rate and the economic gain, in comparison with rule-based (RB) control strategies. Inasmuch as DHW and power demand profiles are needed, data were collected from a panel of users, allowing the development of profiles based on a quantile regression (QR) approach. The simulation results (over 6 days) highlight that the MPC/LMPC strategies outperform the RB strategies, while guaranteeing users’ comfort (i.e., the availability of DHW). The MPC/LMPC strategies allow for a significant increase in both the economic gain (up to 2.70 EUR) and the PV power generation self-consumption rate (up to 14.30%ps), which in turn allows the CO2 emissions to be reduced (up to 3.92 kg CO2.eq). In addition, these results clearly demonstrate the benefits of using EWHs to store the PV power generation surplus, in the context of producing DHW in residential buildings. Full article
Show Figures

Figure 1

33 pages, 6428 KB  
Article
Optimization of Renewable Energy Sharing for Electric Vehicle Integrated Energy Stations and High-Rise Buildings Considering Economic and Environmental Factors
by Ke Liu, Hui He, Xiang Liao, Fuyi Zou, Wei Huang and Chaoshun Li
Sustainability 2025, 17(7), 3142; https://doi.org/10.3390/su17073142 - 2 Apr 2025
Cited by 1 | Viewed by 836
Abstract
Amid the rapid growth of the new energy vehicle industry and the accelerating global shift toward green and low-carbon energy alternatives, this paper develops a multi-objective optimization model for an Electric Vehicle Integrated Energy Station (EVIES) and a high-rise building wind-solar-storage sharing system. [...] Read more.
Amid the rapid growth of the new energy vehicle industry and the accelerating global shift toward green and low-carbon energy alternatives, this paper develops a multi-objective optimization model for an Electric Vehicle Integrated Energy Station (EVIES) and a high-rise building wind-solar-storage sharing system. The model aims to maximize the daily economic revenue of the EVIES, minimize the load variance on the grid side of the building, and reduce overall carbon emissions. To solve this multi-objective optimization problem, a Multi-Objective Sand Cat Swarm Optimization Algorithm (MSCSO) based on a mutation-dominated selection strategy is proposed. Benchmark tests confirm the significant performance advantages of MSCSO in both solution quality and stability, achieving the optimal mean and minimum variance in 73% of the test cases. Further comparative analyses validate the effectiveness of the proposed system, showing that the optimized configuration increases daily economic revenue by 26.54% on average and reduces carbon emissions by 37.59%. Additionally, post-optimization analysis reveals a smoother load curve after grid integration, a significantly reduced peak-to-valley difference, and improved overall operational stability. Full article
Show Figures

Figure 1

44 pages, 12874 KB  
Article
Enhancing Data Collection Time Intervals and Modeling the Structural Behavior of Bridges in Response to Temperature Variations
by Adrian Traian Rădulescu, Gheorghe M. T. Rădulescu, Sanda Mărioara Naș, Virgil Mihai Rădulescu and Corina M. Rădulescu
Buildings 2025, 15(3), 418; https://doi.org/10.3390/buildings15030418 - 28 Jan 2025
Cited by 1 | Viewed by 1803
Abstract
The impact of temperature on bridges represents one of the main long-term challenges of structural health monitoring (SHM). Temperature is an environmental variable that changes both throughout the day and between different seasons, and its variations can induce thermal loads on bridges, potentially [...] Read more.
The impact of temperature on bridges represents one of the main long-term challenges of structural health monitoring (SHM). Temperature is an environmental variable that changes both throughout the day and between different seasons, and its variations can induce thermal loads on bridges, potentially resulting in considerable displacements and deformations. Therefore, it is essential to obtain current data on the impact of daily and seasonal temperature variations on bridge displacements. Unfortunately, the maintenance costs associated with using precise estimates of thermal loads in a bridge design are quite high. The introduction of more accessible structural monitoring services is imperative to increase the number of observed structures. Viable solutions to make SHM more efficient include minimizing the costs of equipment, sensors, data loggers, data transmission systems, or monitoring data processing software. This research aims to improve the time intervals for collecting data on external temperature variations measured on a bridge structure through a sensor-based detection system and the integration of results into a regression analysis model. The paper aims to determine the appropriate interval for capturing and transmitting the structural response influenced by temperature variations over a year and to develop a behavioral mathematical model for the concrete structural components of a monitored bridge. The structural behavior was modeled using the statistical software TableCurve 2D, v.5.01. The results indicate that extending the data collection periods from 15 min to 4 h, in a static regime, maintains the accuracy of the regression model; instead, the effects of this integration are a significant reduction in the costs of data collection, transmission, and processing. The practical implications of this study consist of improving the monitoring of the structural behavior of bridges and the prediction under thermal stress, aiding in the design of more resilient structures, and enabling the implementation of efficient maintenance strategies. Full article
Show Figures

Figure 1

19 pages, 3414 KB  
Article
Optimal Allocation and Sizing of Battery Energy Storage System in Distribution Network Using Mountain Gazelle Optimization Algorithm
by Umme Mumtahina, Sanath Alahakoon and Peter Wolfs
Energies 2025, 18(2), 379; https://doi.org/10.3390/en18020379 - 17 Jan 2025
Cited by 3 | Viewed by 1476
Abstract
This paper addresses the problem of finding the optimal position and sizing of battery energy storage (BES) devices using a two-stage optimization technique. The primary stage uses mixed integer linear programming (MILP) to find the optimal positions along with their sizes. In the [...] Read more.
This paper addresses the problem of finding the optimal position and sizing of battery energy storage (BES) devices using a two-stage optimization technique. The primary stage uses mixed integer linear programming (MILP) to find the optimal positions along with their sizes. In the secondary stage, a relatively new algorithm called mountain gazelle optimizer (MGO) is implemented to find the technical feasibility of the solution, such as voltage regulation, energy loss reduction, etc., provided by the primary stage. The main objective of the proposed bi-level optimization technique is to improve the voltage profile and minimize the power loss. During the daily operation of the distribution grid, the charging and discharging behaviour is controlled by minimizing the voltage at each bus. The energy storage dispatch curve along with the locations and sizes are given as inputs to MGO to improve the voltage profile and reduce the line loss. Simulations are carried out in the MATLAB programming environment using an Australian radial distribution feeder, with results showing a reduction in system losses by 8.473%, which outperforms Grey Wolf Optimizer (GWO), Whale Optimization Algorithm (WOA), and Cuckoo Search Algorithm (CSA) by 1.059%, 1.144%, and 1.056%, respectively. During the peak solar generation period, MGO manages to contain the voltages within the upper boundary, effectively reducing reverse power flow and enhancing voltage regulation. The voltage profile is also improved, with MGO achieving a 0.348% improvement in voltage during peak load periods, compared to improvements of 0.221%, 0.105%, and 0.253% by GWO, WOA, and CSA, respectively. Furthermore, MGO’s optimization achieves a reduction in the fitness value to 47.260 after 47 iterations, demonstrating faster and more consistent convergence compared to GWO (47.302 after 60 iterations), WOA (47.322 after 20 iterations), and CSA (47.352 after 79 iterations). This comparative analysis highlights the effectiveness of the proposed two-stage optimization approach in enhancing voltage stability, reducing power loss, and ensuring better performance over existing methods. Full article
(This article belongs to the Section D: Energy Storage and Application)
Show Figures

Figure 1

31 pages, 12490 KB  
Article
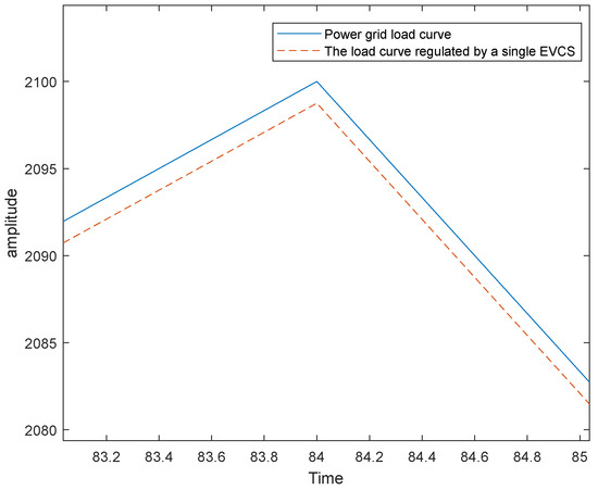
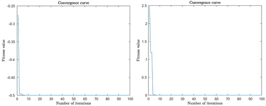
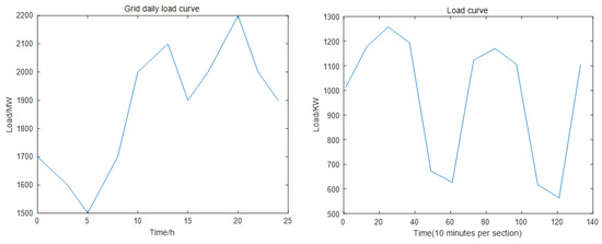
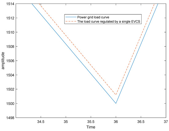
Optimal Layout Planning of Electric Vehicle Charging Stations Considering Road–Electricity Coupling Effects
by Minghui Deng, Jie Zhao, Wentao Huang, Bo Wang, Xintai Liu and Zejun Ou
Electronics 2025, 14(1), 135; https://doi.org/10.3390/electronics14010135 - 31 Dec 2024
Cited by 5 | Viewed by 1220
Abstract
With the advancement of dual-carbon goals and the construction of new types of power systems, the proportion of electric vehicle charging stations (EVCSs) in the coupling system of power distribution and transportation networks is gradually increasing. However, the surge in charging demand not [...] Read more.
With the advancement of dual-carbon goals and the construction of new types of power systems, the proportion of electric vehicle charging stations (EVCSs) in the coupling system of power distribution and transportation networks is gradually increasing. However, the surge in charging demand not only causes voltage fluctuations and a decline in power quality but also leads to tension in the power grid load in some areas. The complexity of urban road networks further increases the challenge of charging station planning. Although laying out charging stations in areas with high traffic flow can better meet traffic demands, it may also damage power quality due to excessive grid load. In response to this problem, this paper proposes an optimized layout plan for electric vehicle charging stations considering the coupling effects of roads and electricity. By using section power flow to extract dynamic data from the power distribution network and comparing the original daily load curves of the power grid and electric vehicles, this paper plans reasonable capacity and charging/discharging schemes for EVCSs. It considers the impact of the charging and discharging characteristics of EVCSs on the power grid while satisfying the peak-shaving and valley-filling regulation benefits. Combined with the traffic road network, the optimization objectives include optimizing the voltage deviation, transmission line margin, network loss, traffic flow, and service range of charging stations. The Gray Wolf Optimizer (GWO) algorithm is used for solving, and the optimal layout plan for electric vehicle charging stations is obtained. Finally, through road–electricity coupling network simulation verification, the proposed optimal planning scheme effectively expands the charging service range of electric vehicles, with a coverage rate of 83.33%, alleviating users’ charging anxiety and minimizing the impact on the power grid, verifying the effectiveness and feasibility of the proposed scheme. Full article
Show Figures

Figure 1

21 pages, 6916 KB  
Article
A Computationally Efficient Rule-Based Scheduling Algorithm for Battery Energy Storage Systems
by Lorenzo Becchi, Elisa Belloni, Marco Bindi, Matteo Intravaia, Francesco Grasso, Gabriele Maria Lozito and Maria Cristina Piccirilli
Sustainability 2024, 16(23), 10313; https://doi.org/10.3390/su162310313 - 25 Nov 2024
Cited by 9 | Viewed by 2393
Abstract
This paper presents a rule-based control strategy for the Battery Management System (BMS) of a prosumer connected to a low-voltage distribution network. The main objective of this work is to propose a computationally efficient algorithm capable of managing energy flows between the distribution [...] Read more.
This paper presents a rule-based control strategy for the Battery Management System (BMS) of a prosumer connected to a low-voltage distribution network. The main objective of this work is to propose a computationally efficient algorithm capable of managing energy flows between the distribution network and a prosumer equipped with a photovoltaic (PV) energy production system. The goal of the BMS is to maximize the prosumer’s economic revenue by optimizing the use, storage, sale, and purchase of PV energy based on electricity market information and daily production/consumption curves. To achieve this goal, the method proposed in this paper consists of developing a rule-based algorithm that manages the prosumer’s Battery Energy Storage System (BESS). The rule-based approach in this type of problem allows for the reduction of computational costs, which is of fundamental importance in contexts where many users will be coordinated simultaneously. This means that the BMS presented in this work could play a vital role in emerging Renewable Energy Communities (RECs). From a general point of view, the method requires an algorithm to process the load and generation profiles of the prosumer for the following three days, together with the hourly price curve. The output is a battery scheduling plan for the timeframe, which is updated every hour. In this paper, the algorithm is validated in terms of economic performance achieved and computational times on two experimental datasets with different scenarios characterized by real productions and loads of prosumers for over a year. The annual economic results are presented in this work, and the proposed rule-based approach is compared with a linear programming optimization algorithm. The comparison highlights similar performance in terms of economic revenue, but the rule-based approach guarantees 30 times lower processing time. Full article
Show Figures

Figure 1

22 pages, 4456 KB  
Article
Fluvial Sediment Load Characteristics from the Yangtze River to the Sea During Severe Droughts
by Xiujuan Liu, Yuanyuan Sun, Albert J. Kettner, Daosheng Wang, Jun Cheng and Zhenhua Zou
Water 2024, 16(22), 3319; https://doi.org/10.3390/w16223319 - 19 Nov 2024
Viewed by 1470
Abstract
Most river deltas worldwide are located in well-developed, densely populated lowland regions that face challenges from accelerated sea level rise. Deltas with morphological equilibrium are the foundation for associated prosperous economies and societies, as well as for preserving ecological fragile environments. And for [...] Read more.
Most river deltas worldwide are located in well-developed, densely populated lowland regions that face challenges from accelerated sea level rise. Deltas with morphological equilibrium are the foundation for associated prosperous economies and societies, as well as for preserving ecological fragile environments. And for deltas to be in morphological equilibrium, sufficient fluvial sediment supplies are fundamental. Severe droughts have significant impacts on the sediment load discharged to the sea, but this is considerably less studied compared to flooding events. This study examines the characteristics of Yangtze River sediment flowing toward the East China Sea during severe droughts. The effect of the Three Gorges Dam (TGD) was investigated by comparing the difference before and after its construction in 2003. Results indicate that the sediment load from the Yangtze River to the sea has experienced a more pronounced decrease during severe drought years since 2003. The primary cause is a substantial reduction in sediment supply from the upper reaches, resulting from the impoundment of the Three Gorges Reservoir created in 2003 and the construction of additional major reservoirs in the upper reach thereafter. Simultaneously, this is accompanied by the fining of sediment grain size. The fining of sediment and considerably reduced sediment load discharged to the sea during severe droughts after 2003 are likely to accelerate the erosion of the Yangtze subaqueous delta. The rating parameter values during severe drought years fall within the range observed in normal years, indicating that these drought events do not align with extreme rating parameter values. Less than 30% of the average discrepancy between measured and reconstructed sediment loads in severe drought years before 2003, and approximately 10% of the discrepancy after 2003, demonstrate the feasibility of reconstructing sediment loads for severe drought events using a sediment rating curve. This rating curve is based on daily water discharge and sediment concentration data collected during the corresponding period. These findings indicate that the rating curve-based reconstruction of sediment load performs well during severe droughts, with relative error slightly exceeding the average error of normal years prior to 2003 and approaching that observed after 2003. This study provides insights on sediment management of the Yangtze River system, including its coastal zone, and is valuable for many other large river systems worldwide. Full article
(This article belongs to the Section Oceans and Coastal Zones)
Show Figures

Figure 1

37 pages, 11677 KB  
Article
Multi-Objective Optimal Integration of Distributed Generators into Distribution Networks Incorporated with Plug-In Electric Vehicles Using Walrus Optimization Algorithm
by Mohammed Goda Eisa, Mohammed A. Farahat, Wael Abdelfattah and Mohammed Elsayed Lotfy
Sustainability 2024, 16(22), 9948; https://doi.org/10.3390/su16229948 - 14 Nov 2024
Cited by 5 | Viewed by 1536
Abstract
The increasing adoption of plug-in electric vehicles (PEVs) leads to negative impacts on distribution network efficiency due to the extra load added to the system. To overcome this problem, this manuscript aims to optimally integrate distributed generators (DGs) in radial distribution networks (RDNs), [...] Read more.
The increasing adoption of plug-in electric vehicles (PEVs) leads to negative impacts on distribution network efficiency due to the extra load added to the system. To overcome this problem, this manuscript aims to optimally integrate distributed generators (DGs) in radial distribution networks (RDNs), while including uncoordinated charging of PEVs added to the basic daily load curve with different load models. The main objectives are minimizing the network’s daily energy losses, improving the daily voltage profile, and enhancing voltage stability considering various constraints like power balance, buses’ voltages, and line flow. These objectives are combined using weighting factors to formulate a weighted sum multi-objective function (MOF). A very recent metaheuristic approach, namely the Walrus optimization algorithm (WO), is addressed to identify the DGs’ best locations and sizes that achieve the lowest value of MOF, without violating different constraints. The proposed optimization model along with a repetitive backward/forward load flow (BFLF) method are simulated using MATLAB 2016a software. The WO-based optimization model is applied to IEEE 33-bus, 69-bus, and a real system in El-Shourok City-district number 8 (ShC-D8), Egypt. The simulation results show that the proposed optimization method significantly enhanced the performance of RDNs incorporated with PEVs in all aspects. Moreover, the proposed WO approach proved its superiority and efficiency in getting high-quality solutions for DGs’ locations and ratings, compared to other programmed algorithms. Full article
Show Figures

Figure 1

Back to TopTop