Sign in to use this feature.

Years

Between: -

Subjects

remove_circle_outline
remove_circle_outline
remove_circle_outline
remove_circle_outline
remove_circle_outline
remove_circle_outline
remove_circle_outline

Journals

Article Types

Countries / Regions

Search Results (27)

Search Parameters:
Keywords = cumulative sum (CUSUM) control chart

Order results
Result details
Results per page
Select all
Export citation of selected articles as:
17 pages, 1520 KB  
Article
Development of an Efficient CUSUM Control Chart for Monitoring the Scale Parameter of the Inverse Maxwell Distribution in Asymmetric, Non-Normal Process Monitoring with Industrial Applications
by Gul Nisa, Mahmoud M. Abdelwahab, Aamir Sanaullah, Mediha Maqsood, Mohamed A. Abdelkawy and Mustafa M. Hasaballah
Symmetry 2025, 17(11), 1819; https://doi.org/10.3390/sym17111819 - 29 Oct 2025
Viewed by 329
Abstract
Control charts are commonly practical as diagnostic tools in statistical applications to recognize probable changes in a process. Control charts find general use as diagnostic tools in statistics in the detection of probable shifts in a process. Among the variety of methods of [...] Read more.
Control charts are commonly practical as diagnostic tools in statistical applications to recognize probable changes in a process. Control charts find general use as diagnostic tools in statistics in the detection of probable shifts in a process. Among the variety of methods of detection of smaller shifts in processes, the cumulative sum (CUSUM) chart is the most useful in general use. The standard CUSUM chart is often based on the normal distribution, an assumption that does not often align with the quality characters of the majority of real processes. However, many real-world processes exhibit asymmetric and heavy-tailed behavior, which limits the performance of traditional symmetric control chart models. This study presents a new CUSUM control chart based on the inverse Maxwell (IM) distribution and terms it the IMCUSUM chart. The proposed chart’s performance is assessed based on run-length (RL) metrics, which comprise the RL average, the standard deviation of RL, and the median RL. Comparison with the existing IM exponentially weighted moving average (IMEWMA) chart is performed. The results reveal that the proposed IMCUSUM chart performs better compared with the existing IMEWMA chart, especially in the detection of small and moderate shifts in processes. The practical application of the proposed IMCUSUM chart is demonstrated with the application of the proposed and existing control charts in the survival analysis of the lifetimes of brake pads of cars. This real application example highlights the practical application of the proposed IMCUSUM chart in real processes. Full article
(This article belongs to the Section Mathematics)
Show Figures

Figure 1

19 pages, 1059 KB  
Article
Performance Evaluation of Shiryaev–Roberts and Cumulative Sum Schemes for Monitoring Shape and Scale Parameters in Gamma-Distributed Data Under Type I Censoring
by He Li, Peile Chen, Ruicheng Ma and Jiujun Zhang
Axioms 2025, 14(9), 713; https://doi.org/10.3390/axioms14090713 - 22 Sep 2025
Viewed by 341
Abstract
This paper proposes two process monitoring schemes, namely the Shiryaev–Roberts (SR) procedure and the cumulative sum (CUSUM) procedure, to detect shifts in the shape and scale parameters of Type I right-censored Gamma-distributed lifetime data. The performance of the proposed schemes is compared with [...] Read more.
This paper proposes two process monitoring schemes, namely the Shiryaev–Roberts (SR) procedure and the cumulative sum (CUSUM) procedure, to detect shifts in the shape and scale parameters of Type I right-censored Gamma-distributed lifetime data. The performance of the proposed schemes is compared with that of an exponentially weighted moving average (EWMA) control chart based on deep learning networks. The performance of the proposed schemes is evaluated under various censoring rates using Monte Carlo simulations, with the average run length (ARL) as the primary metric. Furthermore, the SR and CUSUM schemes are compared for both zero-state and steady-state shifts. Simulation results indicate that the SR and CUSUM procedures exhibit superior performance, with the SR scheme showing particular advantages when the actual shift is small, while the CUSUM chart proves more effective for identifying larger shifts. The shape parameter has a significant effect on the performance of the control charts such that a reduction in the shape parameter effectively improves the ability to capture early offsets. Increased censoring rates reduce detection sensitivity. To maintain ARL0= 370, control limits h adapt differentially. The SR and CUSUM charts with different censoring rates need to recalibrate the parameter to mitigate performance losses under higher censoring conditions. The monitoring performance of the SR and CUSUM chart is enhanced by an increase in sample size. Finally, a practical example is provided to illustrate the application of the proposed monitoring schemes. Full article
Show Figures

Figure 1

20 pages, 1198 KB  
Article
Semi-Supervised Deep Learning Framework for Predictive Maintenance in Offshore Wind Turbines
by Valerio F. Barnabei, Tullio C. M. Ancora, Giovanni Delibra, Alessandro Corsini and Franco Rispoli
Int. J. Turbomach. Propuls. Power 2025, 10(3), 14; https://doi.org/10.3390/ijtpp10030014 - 4 Jul 2025
Cited by 1 | Viewed by 1092
Abstract
The increasing deployment of wind energy systems, particularly offshore wind farms, necessitates advanced monitoring and maintenance strategies to ensure optimal performance and minimize downtime. Supervisory Control And Data Acquisition (SCADA) systems have become indispensable tools for monitoring the operational health of wind turbines, [...] Read more.
The increasing deployment of wind energy systems, particularly offshore wind farms, necessitates advanced monitoring and maintenance strategies to ensure optimal performance and minimize downtime. Supervisory Control And Data Acquisition (SCADA) systems have become indispensable tools for monitoring the operational health of wind turbines, generating vast quantities of time series data from various sensors. Anomaly detection techniques applied to this data offer the potential to proactively identify deviations from normal behavior, providing early warning signals of potential component failures. Traditional model-based approaches for fault detection often struggle to capture the complexity and non-linear dynamics of wind turbine systems. This has led to a growing interest in data-driven methods, particularly those leveraging machine learning and deep learning, to address anomaly detection in wind energy applications. This study focuses on the development and application of a semi-supervised, multivariate anomaly detection model for horizontal axis wind turbines. The core of this study lies in Bidirectional Long Short-Term Memory (BI-LSTM) networks, specifically a BI-LSTM autoencoder architecture, to analyze time series data from a SCADA system and automatically detect anomalous behavior that could indicate potential component failures. Moreover, the approach is reinforced by the integration of the Isolation Forest algorithm, which operates in an unsupervised manner to further refine normal behavior by identifying and excluding additional anomalous points in the training set, beyond those already labeled by the data provider. The research utilizes a real-world dataset provided by EDP Renewables, encompassing two years of comprehensive SCADA records collected from a single offshore wind turbine operating in the Gulf of Guinea. Furthermore, the dataset contains the logs of failure events and recorded alarms triggered by the SCADA system across a wide range of subsystems. The paper proposes a multi-modal anomaly detection framework orchestrating an unsupervised module (i.e., decision tree method) with a supervised one (i.e., BI-LSTM AE). The results highlight the efficacy of the BI-LSTM autoencoder in accurately identifying anomalies within the SCADA data that exhibit strong temporal correlation with logged warnings and the actual failure events. The model’s performance is rigorously evaluated using standard machine learning metrics, including precision, recall, F1 Score, and accuracy, all of which demonstrate favorable results. Further analysis is conducted using Cumulative Sum (CUSUM) control charts to gain a deeper understanding of the identified anomalies’ behavior, particularly their persistence and timing leading up to the failures. Full article
Show Figures

Figure 1

20 pages, 4764 KB  
Article
Monitoring Method and Performance Analysis of Climbing Scaffolds in Super High-Rise Buildings Based on BeiDou/GNSS Technology
by Pengfei Wang, Gen Liu, Jian Wang, Ping Zhu, Jiaqi Guo, Jingxuan Zhang, Heyu Zhang and Yijia Liu
Buildings 2025, 15(6), 964; https://doi.org/10.3390/buildings15060964 - 19 Mar 2025
Viewed by 942
Abstract
Monitoring the stability and safety of climbing scaffolds in super-high-rise construction is critical to ensuring construction quality and worker safety. This study proposes a Global Navigation Satellite System (GNSS)-based real-time monitoring method to track scaffold displacement and assess structural performance. A multi-level data [...] Read more.
Monitoring the stability and safety of climbing scaffolds in super-high-rise construction is critical to ensuring construction quality and worker safety. This study proposes a Global Navigation Satellite System (GNSS)-based real-time monitoring method to track scaffold displacement and assess structural performance. A multi-level data optimization framework integrating gross error elimination, data interpolation, robust Kalman filtering, and a Cumulative Sum Control Chart (CUSUM)-based early warning system is developed to enhance monitoring accuracy. The key objectives of this research are to improve real-time displacement tracking, suppress measurement noise, and establish an automated anomaly detection mechanism for climbing scaffolds under complex construction conditions. The proposed method was validated in a super-high-rise construction project in Tianjin, China. Experimental results demonstrated that the system effectively reduced high-frequency noise and gross errors, achieving root mean square error (RMSE) reductions of 51.4% in the E direction, 45.5% in the N direction, and 49.6% in the U direction. The system successfully tracked vertical climbing displacements of 4.4 m per ascent and horizontal deviations of 4 cm (E direction) and 2 cm (N direction). Additionally, the multi-level warning mechanism identified displacement anomalies based on predefined thresholds, providing an early warning function to enhance scaffold safety management. Compared to conventional monitoring methods, the proposed BeiDou/GNSS-based system provides higher precision, real-time adaptability, and enhanced automation, offering a scalable solution for intelligent construction safety management. The findings contribute to structural health monitoring (SHM) applications and can serve as a reference for future high-rise construction safety assessments. Full article
(This article belongs to the Section Construction Management, and Computers & Digitization)
Show Figures

Figure 1

22 pages, 4937 KB  
Article
Method for Detecting Disorder of a Nonlinear Dynamic Plant
by Xuechun Wang and Vladimir Eliseev
Sensors 2025, 25(4), 1256; https://doi.org/10.3390/s25041256 - 19 Feb 2025
Viewed by 635
Abstract
This paper proposes a new disorder detection method CCF-AE for a scalar dynamic plant based only on its input–output relation using a cross-correlation function and neural network autoencoder. The CCF-AE method does not use the reference model of the dynamic object, but only [...] Read more.
This paper proposes a new disorder detection method CCF-AE for a scalar dynamic plant based only on its input–output relation using a cross-correlation function and neural network autoencoder. The CCF-AE method does not use the reference model of the dynamic object, but only considers real-time behavior changes, given by input and output time series. The proposed method was used to detect disorder in the process of a nonlinear pH neutralization reaction, and was compared with the cumulative sum control chart (CUSUM) and the exponentially weighted moving variance control chart (EWMV). The CCF-AE method demonstrates a better true detection rate and lower false alarm rate than CUSUM and EWMV. Also, CCF-AE has more advantages in detecting disorder of complex nonlinear processes. Full article
(This article belongs to the Special Issue Smart Sensors for Machine Condition Monitoring and Fault Diagnosis)
Show Figures

Figure 1

7 pages, 715 KB  
Article
Robot-Assisted Radical Prostatectomy (RARP) Trifecta Learning Curve for Surgeons with Previous Experience in Laparoscopy
by Altez-Fernandez Carlos, Vazquez-Martul Dario, Răzvan-Ionut Popescu, Corrales Mariela and Chantada-Abal Venancio
Medicina 2024, 60(7), 1032; https://doi.org/10.3390/medicina60071032 - 24 Jun 2024
Cited by 7 | Viewed by 2095
Abstract
Background and Objectives: Robot-assisted radical prostatectomy (RARP) is a complex surgery with a steep learning curve (LC). No clear evidence exists for how previous laparoscopic experience affects the RARP LC. We report the LC of three surgeons with vast experience in laparoscopy (more [...] Read more.
Background and Objectives: Robot-assisted radical prostatectomy (RARP) is a complex surgery with a steep learning curve (LC). No clear evidence exists for how previous laparoscopic experience affects the RARP LC. We report the LC of three surgeons with vast experience in laparoscopy (more than 400 procedures), analyzing the results of functional and oncological outcomes under the “Trifecta” concept (defined as the achievement of continence, potency, and oncological control free of biochemical recurrence). Materials and Methods: The surgical experience of the three surgeons from September 2021 to December 2022, involving 146 RARP consecutive patients in a single institution center, was evaluated prospectively. Erectile disfunction patients were excluded. ANOVA and chi-square test were used to compare the distribution of variables between the three surgeons. LC analysis was performed using the cumulative sum control chart (CUSUM) technique to achieve trifecta. Results: The median age was 65.42 (±7.34); the clinical stage were T1c (68%) and T2a (32%); the biopsy grades were ISUP 1 (15.9%), ISUP 2 (47.98), and ≥ISUP 3 (35%). The median surgical time was 132.8 (±32.8), and the mean intraoperative bleeding was 186 cc (±115). Complications included the following: Clavien–Dindo I 8/146 (5.47%); II 9/146 (6.16%); and III 3/146 (2.05%). Positive margins were reported in 44/146 (30.13%). The PSA of 145/146 patients (99%) at 6 months was below 0.08. Early continence was achieved in 101/146 (69.17%), 6-month continence 126/146 (86%), early potency 51/146 (34.9%), and 6-month potency 65/146 (44%). Surgeons “a”, “b”, and “c” performed 50, 47, and 49 cases, respectively. After CUSUM analysis, the “Trifecta” LC peak was achieved at case 19 in surgeon “a”, 21 in surgeon “b”, and 20 in surgeon “c”. Conclusions: RARP LC to accomplish “Trifecta” can be significantly reduced in surgeons with previous experience in laparoscopy and be achieved at around 20 cases. Full article
Show Figures

Figure 1

17 pages, 383 KB  
Article
The Measurement Errors and Their Effects on the Cumulative Sum Schemes for Monitoring the Ratio of Two Correlated Normal Variables
by Wei Yang, Xueting Ji and Jiujun Zhang
Axioms 2024, 13(6), 393; https://doi.org/10.3390/axioms13060393 - 12 Jun 2024
Cited by 1 | Viewed by 1518
Abstract
Monitoring the ratio of two correlated normal random variables is often used in many industrial manufacturing processes. At the same time, measurement errors inevitably exist in most processes, which have different effects on the performance of various charting schemes. This paper comprehensively analyses [...] Read more.
Monitoring the ratio of two correlated normal random variables is often used in many industrial manufacturing processes. At the same time, measurement errors inevitably exist in most processes, which have different effects on the performance of various charting schemes. This paper comprehensively analyses the impacts of measurement errors on the detection ability of the cumulative sum (CUSUM) charting schemes for the ratio of two correlated normal variables. A thorough numerical assessment is performed using the Monte Carlo simulation, and the results indicate that the measurement errors negatively impact the performance of the CUSUM scheme for the ratio of two correlated normal variables. Increasing the number of measurements per set is not a lucrative approach for minimizing the negative impact of measurement errors on the performance of the CUSUM charting scheme when monitoring the ratio of two correlated normal variables. We consider a food formulation as an example that illustrates the quality control problems involving the ratio of two correlated normal variables in an industry with a measurement error. The results are presented, along with some suggestions for further study. Full article
(This article belongs to the Special Issue Stochastic and Statistical Analysis in Natural Sciences)
Show Figures

Figure 1

10 pages, 1195 KB  
Article
Analysis of the Initial Learning Curve for Robotic-Assisted Total Knee Arthroplasty Using the ROSA® Knee System
by Inmaculada Neira, Rafael Llopis, Luis Cuadrado, David Fernández, Enrique Villanueva, Néstor Nuño and Francisco Forriol
J. Clin. Med. 2024, 13(11), 3349; https://doi.org/10.3390/jcm13113349 - 6 Jun 2024
Cited by 8 | Viewed by 2662
Abstract
Background/Objectives: Total knee arthroplasty (TKA) is a frequent procedure in orthopedic surgery. Advances in TKA include the development of robotic-assisted systems. Training in raTKA entails a learning curve to achieve proficiency comparable to conventional manual TKA (maTKA). Methods: We conducted a prospective study [...] Read more.
Background/Objectives: Total knee arthroplasty (TKA) is a frequent procedure in orthopedic surgery. Advances in TKA include the development of robotic-assisted systems. Training in raTKA entails a learning curve to achieve proficiency comparable to conventional manual TKA (maTKA). Methods: We conducted a prospective study of the learning curve in raTKA using the Robotic Surgical Assistant (ROSA) Knee System. The study included 180 patients (90 raTKAs; 90 maTKAs) and three surgeons (one with >15 years of experience in maTKA). The cumulative sum control chart method (CUSUM) was used to define the transition from the learning phase to the mastered phase in raTKA. Results: The learning curves were 43 cases (experienced surgeons) and 61 cases (all surgeons). Mean operative times for both phases in raTKA were longer than in maTKA (p < 0.001). In raTKA, operative times in the learning phase were longer compared to those in the mastered phase (p < 0.001). Operative times in the learning and mastered phases for all surgeons in raTKA were significantly longer compared to those in maTKA (p < 0.001); however, operative times of the experienced surgeon in the mastered phase of raTKA and in maTKA showed no differences. Conclusions: The learning curve in raTKA is dependent upon the surgeon’s previous experience in maTKA. Full article
(This article belongs to the Special Issue Knee Arthroplasty Surgery: Management and Future Opportunities)
Show Figures

Figure 1

20 pages, 823 KB  
Article
Analytical Explicit Formulas of Average Run Length of Homogenously Weighted Moving Average Control Chart Based on a MAX Process
by Rapin Sunthornwat, Saowanit Sukparungsee and Yupaporn Areepong
Symmetry 2023, 15(12), 2112; https://doi.org/10.3390/sym15122112 - 24 Nov 2023
Cited by 6 | Viewed by 2259
Abstract
Statistical process control (SPC) is used for monitoring and detecting anomalies in processes in the areas of manufacturing, environmental studies, economics, and healthcare, among others. Herein, we introduce an innovative SPC approach via mathematical modeling and report on its application via simulation studies [...] Read more.
Statistical process control (SPC) is used for monitoring and detecting anomalies in processes in the areas of manufacturing, environmental studies, economics, and healthcare, among others. Herein, we introduce an innovative SPC approach via mathematical modeling and report on its application via simulation studies to examine its suitability for monitoring processes involving correlated data running on advanced control charts. Specifically, an approach for detecting small to moderate shifts in the mean of a process running on a homogenously weighted moving average (HWMA) control chart, which is symmetric about the center line with upper and lower control limits, is of particular interest. A mathematical model for the average run length (ARL) of a moving average process with exogenous variables (MAX) focused only on the zero-state performance of the HWMA control chart is derived based on explicit formulas. The performance of our approach was investigated in terms of the ARL, the standard deviation of the run length (SDRL), and the median run length (MRL). Numerical examples are given to illustrate the efficacy of the proposed method. A detailed comparative analysis of our method for processes on HWMA and cumulative sum (CUSUM) control charts was conducted for process mean shifts in many situations. For several values of the design parameters, the performances of these two control charts are also compared in terms of the expected ARL (EARL), expected SDRL (ESDRL), and expected MRL (EMRL). It was found that the performance of the HWMA control chart was superior to that of the CUSUM control chart for several process mean shift sizes. Finally, the applicability of our method on a HWMA control chart is provided based on a real-world economic process. Full article
Show Figures

Figure 1

19 pages, 2542 KB  
Article
Integrated Optimization Model for Maintenance Policies and Quality Control Parameters for Multi-Component System
by Mustafa M. Nasr, Fadia Naji, Mokhtar Amrani, Mageed Ghaleb, Khaled N. Alqahtani, Asem Majed Othman and Emad Hashiem Abualsauod
Machines 2023, 11(4), 435; https://doi.org/10.3390/machines11040435 - 29 Mar 2023
Cited by 3 | Viewed by 2742
Abstract
The practical applications of integrated maintenance policies and quality for a multi-component system are more complicated, still rare, and incomplete to meet the requirements of Industry 4.0. Therefore, this work aims to extend the integration economic model for optimizing maintenance policies and quality [...] Read more.
The practical applications of integrated maintenance policies and quality for a multi-component system are more complicated, still rare, and incomplete to meet the requirements of Industry 4.0. Therefore, this work aims to extend the integration economic model for optimizing maintenance policies and quality control parameters by incorporating the Taguchi loss function for a multi-component system. An optimization model is developed based on preventive maintenance, corrective maintenance policies, and quality control parameters with the CUSUM (Cumulative Sum) chart, which is widely used for detecting small shifts in the process mean. The model was developed to minimize the expected total cost per unit of time and to obtain the optimal values of decision variables: the size of samples, sample frequency, decision interval, coefficient of the CUSUM chart, and preventive and corrective maintenance intervals. The solution steps were employed by selecting a case study in the Alahlia Mineral Water Company (AMWC). Then, the design of experiments based on one-factor-at-a-time was used to evaluate the effect of selected decision variables on the expected total cost. Finally, sensitivity analysis was performed on the selected decision variables to demonstrate the robustness of the developed model. A predictive maintenance plan was developed based on the optimal value of preventive maintenance interval, and the results showed that the performance of the maintenance plan realizes the full potential of the integrated model. In addition, the case study results indicate that the extended integrated model for multicomponent is the new standard for the quality production of multi-component systems in future works. Full article
(This article belongs to the Special Issue Machine Learning for Predictive Maintenance)
Show Figures

Figure 1

16 pages, 8765 KB  
Article
Comparison of Statistical Production Models for a Solar and a Wind Power Plant
by Irina Meghea
Mathematics 2023, 11(5), 1115; https://doi.org/10.3390/math11051115 - 23 Feb 2023
Cited by 1 | Viewed by 2335
Abstract
Mathematical models to characterize and forecast the power production of photovoltaic and eolian plants are justified by the benefits of these sustainable energies, the increased usage in recent years, and the necessity to be integrated into the general energy system. In this paper, [...] Read more.
Mathematical models to characterize and forecast the power production of photovoltaic and eolian plants are justified by the benefits of these sustainable energies, the increased usage in recent years, and the necessity to be integrated into the general energy system. In this paper, starting from two collections of data representing the power production hourly measured at a solar plant and a wind farm, adequate time series methods have been used to draw appropriate statistical models for their productions. The data are smoothed in both cases using moving average and continuous time series have been obtained leading to some models in good agreement with experimental data. For the solar power plant, the developed models can predict the specific power of the next day, next week, and next month, with the most accurate being the monthly model, while for wind power only a monthly model could be validated. Using the CUSUM (cumulative sum control chart) method, the analyzed data formed stationary time series with seasonality. The similar methods used for both sets of data (from the solar plant and wind farm) were analyzed and compared. When compare with other studies which propose production models starting from different measurements involving meteorological data and/or machinery characteristics, an innovative element of this paper consists in the data set on which it is based, this being the production itself. The novelty and the importance of this research reside in the simplicity and the possibility to be reproduced for other related conditions even though every new set of data (provided from other power plants) requires further investigation. Full article
(This article belongs to the Special Issue Probability, Statistics and Their Applications 2021)
Show Figures

Figure 1

13 pages, 1884 KB  
Article
Learning Curve of Robotic Lobectomy for the Treatment of Lung Cancer: How Does It Impact on the Autonomic Nervous System of the Surgeon?
by Antonio Mazzella, Shehab Mohamed, Patrick Maisonneuve, Giulia Sedda, Andrea Cara, Monica Casiraghi, Francesco Petrella, Stefano Maria Donghi, Giorgio Lo Iacono and Lorenzo Spaggiari
J. Pers. Med. 2023, 13(2), 193; https://doi.org/10.3390/jpm13020193 - 21 Jan 2023
Cited by 8 | Viewed by 3014
Abstract
Objective: Our purpose is to define the learning curve for robot-assisted thoracoscopic surgery lobectomy by reporting the experience of a single surgeon. Material and methods: We progressively collected the data concerning the surgical performance of a single male thoracic surgeon, from the beginning [...] Read more.
Objective: Our purpose is to define the learning curve for robot-assisted thoracoscopic surgery lobectomy by reporting the experience of a single surgeon. Material and methods: We progressively collected the data concerning the surgical performance of a single male thoracic surgeon, from the beginning of his robotic activity as first operator from January 2021 to June 2022. We evaluated several pre-, intra- and postoperative parameters concerning patients and intraoperative cardiovascular and respiratory outcomes of the surgeon, recorded during surgical interventions, in order to evaluate his cardiovascular stress. We used cumulative sum control charts (CUSUM) to analyze the learning curve. Results: A total of 72 lung lobectomies were performed by a single surgeon in this period. Analyzing the CUSUM of several parameters, the inflection point identifying the transition beyond the surgeon learning phase was reached at cases 28, 22, 27 and 33 when considering operating time, mean heart rate, max heart rate and mean respiratory rate, respectively. Conclusions: The learning curve for robotic lobectomy seems to be safe and feasible with a correct robotic training program. The analysis of a single surgeon from the beginning of his robotic activity demonstrates that confidence, competence, dexterity and security are achieved after about 20–30 procedures, without compromising efficiency and oncological radicality. Full article
(This article belongs to the Special Issue Innovative Approaches in Lung Cancer Treatment)
Show Figures

Figure 1

8 pages, 962 KB  
Article
A Retrospective, Single-Centre Study on the Learning Curve for Liver Tumor Open Resection in Patients with Hepatocellular Cancers and Intrahepatic Cholagangiocarcinomas
by Bartlomiej Banas, Piotr Kolodziejczyk, Aleksandra Czerw, Tomasz Banas, Artur Kotwas and Piotr Richter
Int. J. Environ. Res. Public Health 2022, 19(8), 4872; https://doi.org/10.3390/ijerph19084872 - 17 Apr 2022
Cited by 2 | Viewed by 2383
Abstract
Background: Liver resections have become the first-line treatment for primary malignant tumors and, therefore, are considered a core aspect of surgical training. This study aims to evaluate the learning curve for the safety of open hemihepatectomy procedures for patients suffering from hepatocellular carcinoma [...] Read more.
Background: Liver resections have become the first-line treatment for primary malignant tumors and, therefore, are considered a core aspect of surgical training. This study aims to evaluate the learning curve for the safety of open hemihepatectomy procedures for patients suffering from hepatocellular carcinoma (HCC) or intrahepatic cholangiocarcinoma (ICC). Methods: This single tertiary center retrospective analysis includes 81 consecutive cases of right or left hemihepatectmy. A cumulative sum (CUSUM) control chart was used to investigate the learning curve. Results: The CUSUM curve for operative time and blood loss level peaked at the 29th and 30th case, respectively. The CUSUM curve for minor adverse effects (mAEs) and severe adverse effects (sAEs) showed a downward slope after the 27th and 36th procedures; the curve, however, remained within the acceptable range throughout the entire study. Conclusion: When performing open hemihepatectomies in patients with HCC and ICC, the stabilization of the operative time and intraoperative blood loss level are gained earlier than sAEs risk reduction. Full article
Show Figures

Figure 1

9 pages, 983 KB  
Article
Learning Curve for Metastatic Liver Tumor Open Resection in Patients with Primary Colorectal Cancer: Use of the Cumulative Sum Method
by Bartlomiej Banas, Piotr Gwizdak, Paulina Zabielska, Piotr Kolodziejczyk and Piotr Richter
Int. J. Environ. Res. Public Health 2022, 19(3), 1068; https://doi.org/10.3390/ijerph19031068 - 19 Jan 2022
Cited by 4 | Viewed by 2187
Abstract
Background: Liver resections have become the first-line treatment for primary and metastatic tumors and, therefore, are considered a core aspect of surgical training. This study aims to evaluate the learning curve of the extent and safety of liver resection procedures for patients with [...] Read more.
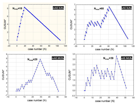
Background: Liver resections have become the first-line treatment for primary and metastatic tumors and, therefore, are considered a core aspect of surgical training. This study aims to evaluate the learning curve of the extent and safety of liver resection procedures for patients with metastatic colorectal cancer. Methods: This single tertiary center retrospective analysis includes 158 consecutive cases of small liver resection (SLR) (n = 107) and major liver resection (MLR) (n = 58) procedures. A cumulative sum control chart (CUSUM) method was used to investigate the learning curve. Results: The operative time, total blood loss level, and incidence of adverse effects showed a learning curve. For SLRs, the CUSUM curve for operative time and blood loss level peaked at the 19th and 17th case, respectively, while for MLRs, these curves peaked at the 28th and 24th case, respectively. The CUSUM curve for minor adverse effects (MAEs) and severe adverse effects (SAEs) showed a downward slope after the 16th and 68th procedures in the SLRs group and after the 29th and 39th procedures in the MLRs cohort; however, it remained within the acceptable range throughout the entire study. Conclusion: SLR procedures were performed faster with less intraoperative blood loss and shorter postoperative stays than MLRs, and a higher number of completed procedures was required to gain stabilization and repeatability in the operating time and intraoperative blood loss level. In MLR procedures, the reduction of SAEs was accomplished significantly later than the stabilization of the operative time and intraoperative blood loss level. Full article
Show Figures

Figure 1

19 pages, 3921 KB  
Article
A CUSUM-Based Approach for Condition Monitoring and Fault Diagnosis of Wind Turbines
by Phong B. Dao
Energies 2021, 14(11), 3236; https://doi.org/10.3390/en14113236 - 1 Jun 2021
Cited by 33 | Viewed by 4812
Abstract
This paper presents a cumulative sum (CUSUM)-based approach for condition monitoring and fault diagnosis of wind turbines (WTs) using SCADA data. The main ideas are to first form a multiple linear regression model using data collected in normal operation state, then monitor the [...] Read more.
This paper presents a cumulative sum (CUSUM)-based approach for condition monitoring and fault diagnosis of wind turbines (WTs) using SCADA data. The main ideas are to first form a multiple linear regression model using data collected in normal operation state, then monitor the stability of regression coefficients of the model on new observations, and detect a structural change in the form of coefficient instability using CUSUM tests. The method is applied for on-line condition monitoring of a WT using temperature-related SCADA data. A sequence of CUSUM test statistics is used as a damage-sensitive feature in a control chart scheme. If the sequence crosses either upper or lower critical line after some recursive regression iterations, then it indicates the occurrence of a fault in the WT. The method is validated using two case studies with known faults. The results show that the method can effectively monitor the WT and reliably detect abnormal problems. Full article
(This article belongs to the Special Issue Machine Learning Applications in Power System Condition Monitoring)
Show Figures

Figure 1

Back to TopTop