Sign in to use this feature.

Years

Between: -

Subjects

remove_circle_outline
remove_circle_outline
remove_circle_outline
remove_circle_outline

Journals

Article Types

Countries / Regions

Search Results (15)

Search Parameters:
Keywords = contra-rotating propellers

Order results
Result details
Results per page
Select all
Export citation of selected articles as:
16 pages, 1850 KB  
Article
Rapid Optimal Matching Design of Heterogeneous Propeller Propulsion Systems for High-Altitude Unmanned Airships
by Miao Zhang, Xiangyu Wang, Zhiwei Zhang, Bo Wang, Junjie Cheng and Jian Zhang
Drones 2025, 9(10), 718; https://doi.org/10.3390/drones9100718 - 16 Oct 2025
Viewed by 324
Abstract
In order to enhance the wind-resistance capability and achieve a lightweight design of high-altitude unmanned airships, this study proposes a rapid optimization method for a heterogeneous propeller propulsion system. This system integrates contra-rotating and ducted propellers to exploit their respective aerodynamic advantages. First, [...] Read more.
In order to enhance the wind-resistance capability and achieve a lightweight design of high-altitude unmanned airships, this study proposes a rapid optimization method for a heterogeneous propeller propulsion system. This system integrates contra-rotating and ducted propellers to exploit their respective aerodynamic advantages. First, surrogate models of the contra-rotating propeller, contra-rotating motor, ducted propeller, and ducted motor were constructed using an optimal Latin hypercube sampling method based on the max–min criterion. Then, within the optimization framework, propeller–motor matching principles and energy balance constraints were incorporated to minimize the total weight of the propulsion and energy systems. A case study on a conventional high-altitude unmanned airship demonstrates that, under the same wind-resistance capability, the adoption of the heterogeneous propeller electric propulsion system reduces the total propulsion-and-energy system weight by 24.94%. This method integrates the advantages of contra-rotating and ducted propellers, thereby overcoming the limitations of conventional propulsion architectures. It provides a new approach for designing lightweight, efficient, and long-endurance propulsion systems for near-space high-altitude platforms. Full article
(This article belongs to the Special Issue Design and Flight Control of Low-Speed Near-Space Unmanned Systems)
Show Figures

Figure 1

22 pages, 6559 KB  
Article
Power Estimation Method and Its Validation for Ships with Hybrid Contra Rotating Propeller
by Tomoki Wakabayashi and Tokihiro Katsui
J. Mar. Sci. Eng. 2025, 13(9), 1740; https://doi.org/10.3390/jmse13091740 - 10 Sep 2025
Viewed by 589
Abstract
In response to the urgent need for reducing greenhouse gas emissions, the Hybrid Contra Rotating Propeller (HCRP) system, which combines a main engine-driven propeller with an electrically driven Podded propeller, has become a promising propulsion system for CO2 reduction. This paper presents [...] Read more.
In response to the urgent need for reducing greenhouse gas emissions, the Hybrid Contra Rotating Propeller (HCRP) system, which combines a main engine-driven propeller with an electrically driven Podded propeller, has become a promising propulsion system for CO2 reduction. This paper presents a new power estimation method for ships with HCRP and outlines the required model test procedures. This study proposes a power estimation method tailored for ships equipped with HCRP and outlines towing tank test procedures required for validation. The method separately evaluates open water characteristics of each propeller and accounts for interactions between the propellers, pod, and hull. Sea trials on an actual vessel were conducted, including speed trials at constant rotational speed ratios and variation tests. These trials confirmed the method’s ability to predict propulsion performance across a wide range of ship speeds. The estimated error in total output from the main engine and generator was within 5% at low output and more accurate near the design speed for the tested case. Furthermore, the method accurately estimates the relationship between rotational speed ratio and power distribution between the main engine and generator for the pod motor, demonstrating its effectiveness for performance prediction and design optimization of HCRP-equipped vessels. Full article
(This article belongs to the Section Ocean Engineering)
Show Figures

Figure 1

18 pages, 6560 KB  
Article
Propeller Open-Water Test Method for Hybrid Contra Rotating Propeller
by Tomoki Wakabayashi and Tokihiro Katsui
J. Mar. Sci. Eng. 2025, 13(5), 858; https://doi.org/10.3390/jmse13050858 - 25 Apr 2025
Cited by 2 | Viewed by 1469
Abstract
The Hybrid Contra Rotating Propeller is a developing propulsion system that combines a conventional single-shaft propeller with a POD propeller to achieve high energy-saving performance through a Contra Rotating Propeller. In this paper, a new towing tank test method for the Hybrid Contra [...] Read more.
The Hybrid Contra Rotating Propeller is a developing propulsion system that combines a conventional single-shaft propeller with a POD propeller to achieve high energy-saving performance through a Contra Rotating Propeller. In this paper, a new towing tank test method for the Hybrid Contra Rotating Propeller was suggested. By conducting seven patterns of propeller open-water tests and measuring the individual propeller performance and the interaction between the propeller and the POD, the propeller’s mutual interaction can be obtained. Towing tank tests for a study ship were conducted, and the analyzed results are shown. There exists the effect of the wake of the propeller open boat at an unusual (reversed) test layout, which simulates the Hybrid Contra Rotating Propeller, and this effect must be removed for the accurate estimation of the ship’s performance. In conventional towing tank test methods, this effect on the front propeller was obtained and used to correct the performance of the total unit of the Hybrid Contra Rotating Propeller. The presented method allows for the correct removal of the open boat effect on the performance of each propeller and the propeller mutual interaction, resulting in more accurate power estimation. Furthermore, by using the individual performance of two propellers and interaction terms, the presented method enables us to conduct a power estimation at an arbitrary revolution rate of two propellers. Full article
(This article belongs to the Section Ocean Engineering)
Show Figures

Figure 1

24 pages, 8468 KB  
Article
Robust Position Control of VTOL UAVs Using a Linear Quadratic Rate-Varying Integral Tracker: Design and Validation
by Omer Saleem, Muhammad Kazim and Jamshed Iqbal
Drones 2025, 9(1), 73; https://doi.org/10.3390/drones9010073 - 19 Jan 2025
Cited by 8 | Viewed by 1501
Abstract
This article presents an optimal tracking controller retrofitted with a nonlinear adaptive integral compensator, specifically designed to ensure robust and accurate positioning of Vertical Take-Off and Landing (VTOL) Unmanned Aerial Vehicles (UAVs) that utilize contra-rotating motorized propellers for differential thrust generation. The baseline [...] Read more.
This article presents an optimal tracking controller retrofitted with a nonlinear adaptive integral compensator, specifically designed to ensure robust and accurate positioning of Vertical Take-Off and Landing (VTOL) Unmanned Aerial Vehicles (UAVs) that utilize contra-rotating motorized propellers for differential thrust generation. The baseline position controller is synthesized by employing a fixed-gain Linear Quadratic Integral (LQI) tracking controller that stabilizes position by tracking both state variations and pitch-axis tracking error integral, which adjusts the voltage to control each coaxial propeller’s speed accurately. Additionally, the baseline tracking control law is supplemented with a rate-varying integral compensator. It operates as a nonlinear scaling function of the tracking-error velocity and the braking acceleration to enhance the accuracy of reference tracking without sacrificing its robustness against exogenous disruptions. The controller’s performance is analyzed by performing experiments on a tailored hardware-in-the-loop aero-pendulum testbed, which is representative of VTOL UAV dynamics. Experimental results demonstrate significant improvements over the nominal LQI tracking controller, achieving 17.9%, 61.6%, 83.4%, 43.7%, 35.8%, and 6.8% enhancement in root mean squared error, settling time, overshoot during start-up, overshoot under impulsive disturbance, disturbance recovery time, and control energy expenditure, respectively, underscoring the controller’s effectiveness for potential UAV and drone applications under exogenous disturbances. Full article
Show Figures

Figure 1

22 pages, 7746 KB  
Article
Unified Assessment of Open and Ducted Propulsors
by Rainer Schnell and Maximilian Mennicken
Aerospace 2024, 11(12), 1002; https://doi.org/10.3390/aerospace11121002 - 3 Dec 2024
Cited by 4 | Viewed by 1480 | Correction
Abstract
This paper reconciles the assessment of fan and propeller performance by deriving common metrics that describe their design and operational characteristics and applies them to real-world design examples. Historically, various applications with large differences in flight Mach number and thrust requirements have led [...] Read more.
This paper reconciles the assessment of fan and propeller performance by deriving common metrics that describe their design and operational characteristics and applies them to real-world design examples. Historically, various applications with large differences in flight Mach number and thrust requirements have led to different design methodologies and performance descriptors for ducted and unducted propulsors, making direct comparisons between these propulsion concepts challenging until today. One of the limitations of conventional propeller design methods is the difficulty in isolating the aerodynamic performance of blade sections from the overall design concept. The overall efficiency is largely impacted by top-level design parameters, while the aerodynamic quality is determined by the shaping and spanwise stacking of blade profiles. In contrast, turbomachinery design focuses primarily on the efficiency of the compression process and their respective efficiency metrics. This paper addresses these issues by systematically breaking down propeller efficiency into contributions commonly used in turbomachinery design. By applying consistent methodologies, we thereby enable a fair and quantitative comparison of the potential performance benefit of each concept. Furthermore, using common performance metrics simplifies the design process, making it more accessible to less experienced designers and facilitating the exploration of alternative design approaches for unducted propulsors. Full article
(This article belongs to the Section Aeronautics)
Show Figures

Figure 1

24 pages, 12631 KB  
Article
Digital Simulation of Coupled Dynamic Characteristics of Open Rotor and Dynamic Balancing Test Research
by Yixiang Guo, Lifang Chen, Yuda Long and Xu Zhang
Machines 2024, 12(6), 391; https://doi.org/10.3390/machines12060391 - 5 Jun 2024
Viewed by 1663
Abstract
An aero engine, as the core power equipment of the aircraft, enables safe and stable operation with a very high reliability index, and is an important guarantee in flight. The open rotor turbine engines (contra-rotating propeller) have stood out as a research hotspot [...] Read more.
An aero engine, as the core power equipment of the aircraft, enables safe and stable operation with a very high reliability index, and is an important guarantee in flight. The open rotor turbine engines (contra-rotating propeller) have stood out as a research hotspot for aviation power equipment in recent years due to their outstanding advantages of low fuel consumption, high airspeed, and strong propulsion efficiency. Aiming at the problems of vibration exceeding the standard generated by imbalance during the operation of the dual-rotor system of aircraft development, the difficulty of identifying the coupled vibration under the micro-differential speed condition, and the complexity of the dynamic characteristic law, a kind of numerical simulation of the dynamics based on the finite element technology is proposed, together with an experimental research method for the fast and accurate identification of the coupled vibration of the dual-rotor system. Based on the existing open rotor engine structure design to build a simulation test bed, establish a double rotor finite element simulation digital twin model, and analyze and calculate the typical working conditions of the dynamic characteristics of parameters. The advanced algorithm of double rotor coupling vibration signal identification is utilized to carry out decoupling and dynamic balancing experimental tests, comparing the simulation results with the measured data to verify the accuracy of the technical means. The results of the study show that the vibration suppression rate of the finite element calculation simulation test carried out for the simulated double rotor is 98%, and the average vibration reduction ratio of the actual field test at 850 rpm, 1000 rpm, and 3000 rpm is over 50%, which achieves a good dynamic balancing effect, and has the merit of practical engineering application. Full article
(This article belongs to the Section Electrical Machines and Drives)
Show Figures

Figure 1

19 pages, 7479 KB  
Article
Aerodynamic Performance and Numerical Analysis of the Coaxial Contra-Rotating Propeller Lift System in eVTOL Vehicles
by Jie Xu, Jiaming Yu, Xinjiang Lu, Zhenkun Long, Yuteng Xu and Hao Sun
Mathematics 2024, 12(7), 1056; https://doi.org/10.3390/math12071056 - 1 Apr 2024
Cited by 5 | Viewed by 4435
Abstract
Electric vertical takeoff and landing (eVTOL) vehicles possess high payload transportation capabilities and compact design features. The traditional method of increasing propeller size to cope with high payload is no longer applicable. Therefore, this study proposes the use of coaxial counter-rotating propellers as [...] Read more.
Electric vertical takeoff and landing (eVTOL) vehicles possess high payload transportation capabilities and compact design features. The traditional method of increasing propeller size to cope with high payload is no longer applicable. Therefore, this study proposes the use of coaxial counter-rotating propellers as the lift system for eVTOL vehicles, consisting of two coaxially mounted, counter-rotating bi-blade propellers. However, if the lift of a single rotating propeller is linearly increased without considering the lift loss caused by the downwash airflow generated by the upper propeller and the torque effect of the lift system, it will significantly impact performance optimization and safety in the eVTOL vehicles design process. To address this issue, this study employed the Moving Reference Frame (MRF) method within Computational Fluid Dynamics (CFD) technology to simulate the lift system, conducting a detailed analysis of the impact of the upper propeller’s downwash flow on the aerodynamic performance of the lower propeller. In addition, the aerodynamic performance indicators of coaxial counter-rotating propellers were quantitatively analyzed under different speed conditions. The results indicated significant lift losses within the coaxial contra-rotating propeller system, which were particularly notable in the lift loss of the lower propeller. Moreover, the total torque decreased by more than 93.8%, and the torque was not completely offset; there was still a small torsional effect in the coaxial counter-rotating propellers. The virtual testing method of this study not only saves a significant amount of time and money but also serves as a vital reference in the design process of eVTOL vehicles. Full article
Show Figures

Figure 1

19 pages, 9248 KB  
Article
Comparative Research on Topologies of Contra-Rotating Motors for Underwater Vehicles
by Bo Cheng, Shengzhao Pang, Huanyu Ou, Zeyan Hu and Zhaoyong Mao
J. Mar. Sci. Eng. 2023, 11(11), 2042; https://doi.org/10.3390/jmse11112042 - 24 Oct 2023
Cited by 2 | Viewed by 2468
Abstract
Underwater vehicles have been widely used in marine exploration and development. A contra-rotating propeller (CRP) can improve propulsion efficiency, eliminate the roll moment of the propeller acting on underwater vehicles, and significantly improve the dynamic performance of underwater vehicles. Contra-rotating motors (CRMs) are [...] Read more.
Underwater vehicles have been widely used in marine exploration and development. A contra-rotating propeller (CRP) can improve propulsion efficiency, eliminate the roll moment of the propeller acting on underwater vehicles, and significantly improve the dynamic performance of underwater vehicles. Contra-rotating motors (CRMs) are used to drive CRPs. Topologies of CRMs include an armature rotating contra-rotating motor (ARCRM), double contra-rotating motors (DCRMs), and a double rotor contra-rotating motor (DRCRM). In this paper, the design and optimization of these different topological CRMs were realized with analytical calculations of the magnetic field and electromagnetic performance. The efficiency map and losses analysis of CRMs with different topologies are obtained with the finite element method. In order to achieve suitable CRMs to drive the CRPs of underwater vehicles, three topologies for CRMs will be compared comprehensively from the perspective of structure, weight, size, loss, and efficiency. For low-speed, high-torque CRPs, the ARCRM has been proven to improve efficiency and power density. An ARCRM prototype was developed to verify this solution and its reliability. Full article
(This article belongs to the Special Issue Marine Autonomous Vehicles: Design, Test and Operation)
Show Figures

Figure 1

25 pages, 12945 KB  
Article
Hydrodynamic Shape Design and Self-Propulsion Analysis of a Hybrid-Driven AUG
by Chen-Wei Chen, Zhao-Ye Zhou, Xu-Peng Chen and Xiao-Jing Zhou
J. Mar. Sci. Eng. 2023, 11(4), 886; https://doi.org/10.3390/jmse11040886 - 21 Apr 2023
Cited by 1 | Viewed by 2704
Abstract
Due to the lack of a powerful propulsion device in conventional autonomous underwater gliders (AUGs), their mobility and flexibility are insufficient, thus not being capable of also ensuring the stability of the motion route. Thus, it is necessary to further develop hybrid-driven AUGs. [...] Read more.
Due to the lack of a powerful propulsion device in conventional autonomous underwater gliders (AUGs), their mobility and flexibility are insufficient, thus not being capable of also ensuring the stability of the motion route. Thus, it is necessary to further develop hybrid-driven AUGs. This paper applied CFD simulation and experimental analysis methods to study and design a hybrid-driven AUG with a propeller optimized from a type of AUG with swept-forward and swept-back wings. Through parameter adjustment, the hydrodynamic configuration was optimized, and the optimal hull design and hydrofoil type selection were proposed. The lift–drag ratio could be improved by up to 22.5% at an angle of attack of 8 degrees. The optimized AUG was combined with a single propeller for self-propulsion simulation. Aiming at the problem caused by the propeller torque on the AUG, the strategy of a contra-rotating propeller (CRP) was conducted to self-eliminate the propeller torque. The simulation results show that in the self-propulsion state, the torque of the contra-rotating propeller could be reduced by more than 92% compared with that of a single propeller, greatly reducing the impact on the hybrid-driven AUG and raising the navigation stability. Full article
(This article belongs to the Special Issue Advances in Ship and Marine Hydrodynamics)
Show Figures

Figure 1

21 pages, 11242 KB  
Article
Rapid Blade Shape Optimization for Contra-Rotating Propellers for eVTOL Aircraft Considering the Aerodynamic Interference
by Nanxuan Qiao, Tielin Ma, Jingcheng Fu, Ligang Zhang, Xiangsheng Wang and Pu Xue
Aerospace 2023, 10(1), 54; https://doi.org/10.3390/aerospace10010054 - 5 Jan 2023
Cited by 7 | Viewed by 6538
Abstract
The rising interest in the evolvability of electric vertical takeoff and landing (eVTOL) promises substantial potential in the field of urban air mobility (UAM). Challenges in energy storage density and geometry restriction both emphasize the propeller efficiency for endurance and takeoff weight, whereas [...] Read more.
The rising interest in the evolvability of electric vertical takeoff and landing (eVTOL) promises substantial potential in the field of urban air mobility (UAM). Challenges in energy storage density and geometry restriction both emphasize the propeller efficiency for endurance and takeoff weight, whereas the contra-rotating propellers (CRP) advantage is balancing high thrust and efficiency over a single propeller. The aim of this paper is twofold: (i) to present a novel rapid CRP blade shape optimization framework and (ii) to study the impact of the dual propellers revolution speed allocations on the overall CRP power efficiency. The core of the framework is the blade element momentum theory (BEMT)-based blade shape optimization considering the wake effect of the upper propeller by the rotational CFD (computational fluid dynamics) actuator-disc simulation method. The results show that for the same thrust, the optimized CRP at the equal revolution speed is superior to the original (upper-lower-identical) one by 5.9% in thrust-to-power ratio. The overall efficiency can be additionally lifted by 5.3% when the dual propellers share similar torques. By excluding the integral propeller CFD simulation and empirical parameters estimation, the framework enables the swift obtaining of an optimized CRP scheme while maintaining robustness as well. Full article
(This article belongs to the Special Issue Aerodynamics Design)
Show Figures

Figure 1

28 pages, 12102 KB  
Article
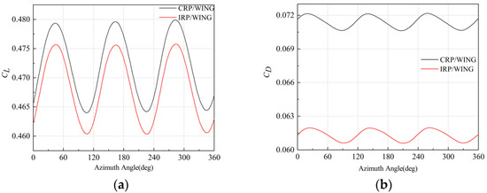
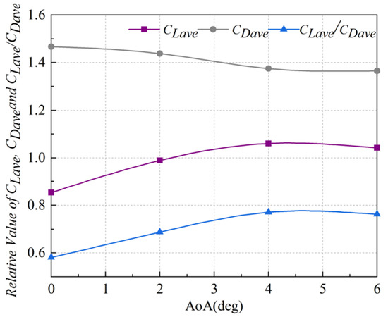
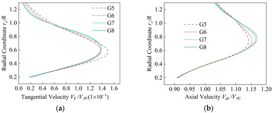
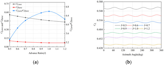
Influence of Aerodynamic Interaction on Performance of Contrarotating Propeller/Wing System
by Zhitao Zhang, Changchuan Xie, Kunhui Huang and Chao Yang
Aerospace 2022, 9(12), 813; https://doi.org/10.3390/aerospace9120813 - 10 Dec 2022
Cited by 4 | Viewed by 2474
Abstract
This paper gives a quantitative account of the influence of slipstream on the aerodynamic performance of a contrarotating propeller (CRP)/wing system, and compares it with the CRP and clean wing. To accurately evaluate the complex aerodynamic interaction, the unsteady Reynolds-averaged Navier–Stokes approach using [...] Read more.
This paper gives a quantitative account of the influence of slipstream on the aerodynamic performance of a contrarotating propeller (CRP)/wing system, and compares it with the CRP and clean wing. To accurately evaluate the complex aerodynamic interaction, the unsteady Reynolds-averaged Navier–Stokes approach using the sliding mesh method is performed at a typical freestream velocity of 30 m/s. Four different critical parameters, including the freestream angle of attack (AoA), axial spacing between the front propeller (FP) and rear propeller (RP), number of blades, and rotational speed, are considered in the present work. The results show that the thrust coefficient, power coefficient, and propulsion efficiency of the CRP/wing system change sharply and the difference in amplitude between adjacent waves is large. In particular, the propeller slipstream has a significant impact on the lift–drag performance of the wing in the case of a nonzero AoA. The presence of a wing also increases the efficiency of propulsion due to the recovery of vortices. In the case of a small axial spacing, the thrust coefficient value of the FP is significantly smaller than that of the RP. However, when the axial spacing exceeds a certain value, the opposite relationship is obtained. When the rotational speed increases from 3695 RPM to 8867 RPM, the lift coefficient and drag coefficient of the wing gradually increase. Full article
(This article belongs to the Section Aeronautics)
Show Figures

Figure 1

14 pages, 2056 KB  
Article
Towards Fuel Consumption Reduction Based on the Optimum Contra-Rotating Propeller
by Mina Tadros, Manuel Ventura and C. Guedes Soares
J. Mar. Sci. Eng. 2022, 10(11), 1657; https://doi.org/10.3390/jmse10111657 - 4 Nov 2022
Cited by 15 | Viewed by 4098
Abstract
This paper presents the effect of selecting a contra-rotating propeller (CRP) for a bulk carrier at the engine operating point with minimum fuel consumption, as well as ensuring the safety of the propeller in terms of cavitation and noise. Using a developed optimization [...] Read more.
This paper presents the effect of selecting a contra-rotating propeller (CRP) for a bulk carrier at the engine operating point with minimum fuel consumption, as well as ensuring the safety of the propeller in terms of cavitation and noise. Using a developed optimization model, the geometry of a CRP was selected for different propeller diameters, the same propeller diameter as that of a fixed pitch propeller (FPP) installed on the bulk carrier, and at 90% of the FPP diameter. Additionally, each case was optimized with both no-cup and heavy-cup configurations. In general, the CRP showed better performance than the FPP in terms of efficiency, cavitation, and fuel economy. At the same time, the level of performance was increased when considering the CRP cupping percentage. It was concluded that the CRP can achieve a gain in fuel economy of up to 6.2% in a no-cup configuration when compared to an FPP, and up to 11.7% with a cupped configuration. Full article
(This article belongs to the Special Issue Ship Dynamics and Hydrodynamics)
Show Figures

Figure 1

19 pages, 4554 KB  
Article
Basic Considerations and Conceptual Design of a VSTOL Vehicle for Urban Transportation
by Luca Piancastelli, Merve Sali and Christian Leon-Cardenas
Drones 2022, 6(5), 102; https://doi.org/10.3390/drones6050102 - 21 Apr 2022
Cited by 5 | Viewed by 3826
Abstract
On-demand air transport is an air-taxi service concept that should ideally use small, autonomous, Vertical Short Takeoff and Landing (VSTOL), “green”, battery-powered electric aircraft (eVSTOL). In addition, these aircraft should be competitive with modern helicopters, which are exceptionally reliable machines capable of the [...] Read more.
On-demand air transport is an air-taxi service concept that should ideally use small, autonomous, Vertical Short Takeoff and Landing (VSTOL), “green”, battery-powered electric aircraft (eVSTOL). In addition, these aircraft should be competitive with modern helicopters, which are exceptionally reliable machines capable of the same task. For certification and economic purposes, mobile tilting parts should be avoided. The concept introduced in this paper simplifies the aircraft and makes it economical to build, certify and maintain. Four contrarotating propellers with eight electric motors are installed. During cruise, only two of the eight rotors available are not feathered and active. In the first step, a commercial, certified, jet-fueled APU and an available back-up battery are used. A second solution uses a CNG APU and the same back-up battery. Finally, the third solution has a high-density dual battery that is currently not available. A conceptual design is shown in this paper. Full article
(This article belongs to the Section Drone Design and Development)
Show Figures

Figure 1

18 pages, 14432 KB  
Article
Virtual Modelling and Testing of the Single and Contra-Rotating Co-Axial Propeller
by Balram Panjwani, Cecile Quinsard, Dominik Gacia Przemysław and Jostein Furseth
Drones 2020, 4(3), 42; https://doi.org/10.3390/drones4030042 - 12 Aug 2020
Cited by 14 | Viewed by 9460
Abstract
Propellers are a vital component to achieve successful and reliable operation of drones. However, the drone developer faces many challenges while selecting a propeller and a common approach is to perform static thrust measurement. However, the selection of a propeller using a static [...] Read more.
Propellers are a vital component to achieve successful and reliable operation of drones. However, the drone developer faces many challenges while selecting a propeller and a common approach is to perform static thrust measurement. However, the selection of a propeller using a static thrust measurement system is time-consuming. To overcome a need for the static thrust system a virtual model has been developed for measuring both the static and dynamic thrust of a single and coaxial propeller. The virtual model is reliable enough to minimize the need for full-scale tests. The virtual model has been built using two open-source software Qblade and OpenFoam. Qblade is employed to obtain the lift and drag coefficients of the propeller’s airfoil section. OpenFoam is utilized to perform the flow simulations of propellers and for obtaining the thrust and torque data of the propeller. The developed virtual model is validated with experimental data and the experimental data are obtained by developing a multi-force balance system for measuring thrusts and torques of a single and a pair of coaxial contra-rotating propellers. The data obtained from the propeller virtual model are compared with the measurement data. For a single propeller, the virtual model shows that the estimated forces are close to the experiment at lower rotational speeds. For coaxial propellers, there are some deviations at the rear propeller due to the turbulence and flow disturbance caused by the front propeller. However, the computed thrust data are still accurate enough to be used in selecting the propeller. The studies indicate that in the future, these virtual models will minimize a need for experimental testing. Full article
Show Figures

Figure 1

20 pages, 14699 KB  
Article
Influence of Propulsion Type on the Stratified Near Wake of an Axisymmetric Self-Propelled Body
by Matthew C. Jones and Eric G. Paterson
J. Mar. Sci. Eng. 2018, 6(2), 46; https://doi.org/10.3390/jmse6020046 - 1 May 2018
Cited by 9 | Viewed by 4482
Abstract
To better understand the influence of swirl on the thermally-stratified near wake of a self-propelled axisymmetric vehicle, three propulsor schemes were considered: a single propeller, contra-rotating propellers (CRP), and a zero-swirl, uniform-velocity jet. The propellers were modeled using an Actuator-Line model in an [...] Read more.
To better understand the influence of swirl on the thermally-stratified near wake of a self-propelled axisymmetric vehicle, three propulsor schemes were considered: a single propeller, contra-rotating propellers (CRP), and a zero-swirl, uniform-velocity jet. The propellers were modeled using an Actuator-Line model in an unsteady Reynolds-Averaged Navier–Stokes simulation, where the Reynolds number is R e L = 3.1 × 10 8 using the freestream velocity and body length. The authors previously showed good comparison to experimental data with this approach. Visualization of vortical structures shows the helical paths of blade-tip vortices from the single propeller as well as the complicated vortical interaction between contra-rotating blades. Comparison of instantaneous and time-averaged fields shows that temporally stationary fields emerge by half of a body length downstream. Circumferentially-averaged axial velocity profiles show similarities between the single propeller and CRP in contrast to the jet configuration. Swirl velocity of the CRP, however, was attenuated in comparison to that of the single propeller case. Mixed-patch contour maps illustrate the unique temperature distribution of each configuration as a consequence of their respective swirl profiles. Finally, kinetic and potential energy is integrated along downstream axial planes to reveal key differences between the configurations. The CRP configuration creates less potential energy by reducing swirl that would otherwise persist in the near wake of a single-propeller wake. Full article
(This article belongs to the Special Issue Marine Propulsors)
Show Figures

Figure 1

Back to TopTop