Sign in to use this feature.

Years

Between: -

Subjects

remove_circle_outline
remove_circle_outline
remove_circle_outline
remove_circle_outline
remove_circle_outline
remove_circle_outline
remove_circle_outline
remove_circle_outline
remove_circle_outline

Journals

remove_circle_outline
remove_circle_outline
remove_circle_outline
remove_circle_outline

Article Types

Countries / Regions

remove_circle_outline
remove_circle_outline
remove_circle_outline

Search Results (193)

Search Parameters:
Keywords = concurrent precipitation

Order results
Result details
Results per page
Select all
Export citation of selected articles as:
21 pages, 6770 KB  
Article
Opening of Bedding-Parallel Fractures in the Shale Oil Reservoirs of the Paleogene Funing Formation, Subei Basin, China
by Zhelin Wang, Ao Su, Dongling Xia, Xinrui Lyu and Xingwei Wu
Energies 2025, 18(21), 5698; https://doi.org/10.3390/en18215698 - 30 Oct 2025
Viewed by 200
Abstract
Bedding-parallel fractures represent a crucial flow-path network in shale oil reservoirs, yet their timing of opening and driving mechanisms remain subjects of long-standing debate. This study investigates the origin and opening mechanisms of bedding-parallel fractures within the Paleogene Funing shale oil reservoir of [...] Read more.
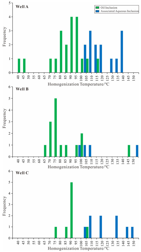
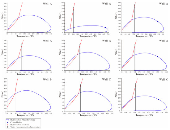
Bedding-parallel fractures represent a crucial flow-path network in shale oil reservoirs, yet their timing of opening and driving mechanisms remain subjects of long-standing debate. This study investigates the origin and opening mechanisms of bedding-parallel fractures within the Paleogene Funing shale oil reservoir of the Huazhuang area, Subei Basin, eastern China. A combination of petrography, fluid-inclusion analysis, PVTx paleo-pressure modeling, hydrocarbon generation history modeling, and reflectance measurements was employed. The results reveal the presence of abundant oil inclusions and bitumen within the bedding-parallel veins, indicating that the initiation of fracture was essentially synchronous with the oil emplacement. The studied Funing shale, with vitrinite reflectance values of 0.85% to 1.04%, is mature, identifying it as an effective oil-prone source rock. Thermal maturity of bitumen is comparable to that of the host shale, suggesting a local oil source. Homogenization temperatures (Th) of coeval aqueous inclusions record fracture opening temperatures of approximately 100–150 °C, consistent with oil-window conditions. By integrating Th data with burial history modeling, the timing of fracture formation and coeval oil injection is constrained to the peak period of local hydrocarbon generation, rather than the Oligocene Sanduo tectonic event. This indicates that fracture opening was primarily associated with hydrocarbon generation rather than tectonic compression. Petroleum-inclusion thermodynamic modeling demonstrates that the bedding-parallel fracture opening occurred under moderate to strong overpressure conditions, with calculated paleo-pressure coefficients of ~1.35–2.36. This finding provides direct paleo-pressure evidence supporting the mechanism of bedding-parallel fracture opening driven by fluid overpressure created during oil generation. These oil-bearing, overpressured fluids facilitated the initial opening and subsequent propagation of fractures along the bedding planes of shales. Concurrently, the precipitation of the calcite veins may have been triggered by pressure drop associated with the expulsion of some coexisting aqueous fluids. This study provides evidence addressing the debated mechanisms of bedding-parallel fracture opening in organic-rich shales, highlighting the critical role of oil generation-induced overpressure. Full article
Show Figures

Figure 1

30 pages, 1847 KB  
Review
The Impact of Climate Change on Eastern European Viticulture: A Review of Smart Irrigation and Water Management Strategies
by Alina Constantina Florea, Dorin Ioan Sumedrea, Steliana Rodino, Marian Ion, Vili Dragomir, Anamaria-Mirabela Dumitru, Liliana Pîrcalabu and Daniel Grigorie Dinu
Horticulturae 2025, 11(11), 1282; https://doi.org/10.3390/horticulturae11111282 - 24 Oct 2025
Viewed by 610
Abstract
Climate change poses significant challenges to viticulture worldwide, with Eastern European vineyards experiencing increased water stress due to rising temperatures, irregular precipitation patterns, and prolonged drought periods. These climatic shifts hurt vine phenology, grape quality, and overall productivity. In response, adaptive irrigation strategies [...] Read more.
Climate change poses significant challenges to viticulture worldwide, with Eastern European vineyards experiencing increased water stress due to rising temperatures, irregular precipitation patterns, and prolonged drought periods. These climatic shifts hurt vine phenology, grape quality, and overall productivity. In response, adaptive irrigation strategies such as Regulated Deficit Irrigation (RDI) have gained attention for optimizing water use while preserving grape quality. Concurrently, the adoption of smart agriculture technologies—including soil moisture sensors, automated weather stations, remote sensing, and data-driven decision support systems—enables precise monitoring and real-time management of vineyard water status. This review synthesizes recent studies from Eastern Europe, emphasizing the necessity of integrating climate adaptation measures with intelligent irrigation management to enhance vineyard resilience and sustainability under increasing climate variability. Full article
Show Figures

Figure 1

22 pages, 4375 KB  
Article
Bioclimatic Conditions of the Kapshagay Reservoir Under Climate Change Conditions
by Aikerim Kerimkul, Pablo Fdez-Arroyabe, Aiman Nyssanbayeva, Azamat Madibekov, Gulnur Musralinova, Gulnar Orakova and Nazerke Maikhina
Environments 2025, 12(11), 397; https://doi.org/10.3390/environments12110397 - 22 Oct 2025
Viewed by 553
Abstract
The assessment of bioclimatic conditions and meteorological parameters—such as air temperature and precipitation—helps identify optimal periods for various activities, considering regional and individual factors. Climatic and bioclimatic conditions are major factors influencing human health and daily activity. These factors are instrumental in determining [...] Read more.
The assessment of bioclimatic conditions and meteorological parameters—such as air temperature and precipitation—helps identify optimal periods for various activities, considering regional and individual factors. Climatic and bioclimatic conditions are major factors influencing human health and daily activity. These factors are instrumental in determining the quality of life, the state of health, and the overall well-being of individuals. The analysis of meteorological parameters, including air temperature, humidity, and precipitation, facilitates the evaluation of climatic comfort across diverse regions. Bioclimatic studies are instrumental in identifying zones with favorable or unfavorable living conditions, a matter of particular importance in the planning of urban development and the formulation of landscaping and gardening measures. The study aims to assess the bioclimatic conditions prevailing in the Almaty region. It focuses on the Kapshagay Reservoir during the period 1990–2020, applying commonly used biometeorological indices. The software product ClimPACT2, which was developed for the analysis of extreme phenomena and weather changes, was utilized for the calculations. The primary meteorological indicators, specifically temperature and precipitation, were selected for the calculation of climatic indices. The observed spatial and temporal trends of climate change in the study area were analyzed. The findings indicated a substantial increase in the frequency of warm days and nights, concurrently accompanied by a decline in the occurrence of cold days and nights. The identified trends indicate a marked warming of the climate, which may have serious consequences for ecosystems and human activities. The analysis also revealed a significant increase in total annual precipitation in coastal zones. Full article
Show Figures

Figure 1

30 pages, 10472 KB  
Article
CSESpy: A Unified Framework for Data Analysis of the Payloads on Board the CSES Satellite
by Emanuele Papini, Francesco Maria Follega, Roberto Battiston and Mirko Piersanti
Remote Sens. 2025, 17(20), 3417; https://doi.org/10.3390/rs17203417 - 12 Oct 2025
Viewed by 312
Abstract
The China Seismo Electromagnetic Satellite (CSES) mission provides in situ measurements of the electromagnetic field, plasma, and charged particles in the topside ionosphere. Each CSES spacecraft carries several different scientific payloads delivering a wealth of information about the ionospheric plasma dynamics and properties, [...] Read more.
The China Seismo Electromagnetic Satellite (CSES) mission provides in situ measurements of the electromagnetic field, plasma, and charged particles in the topside ionosphere. Each CSES spacecraft carries several different scientific payloads delivering a wealth of information about the ionospheric plasma dynamics and properties, as well as measurement about energetic particles precipitating in the ionosphere. In this work, we introduce CSESpy, a Python package designed to provide an interface to CSES data products, with the aim of easing the pathway for scientists to carry out analyses of CSES data. Beyond simply being an interface to the data, CSESpy aims to provide higher-level analysis and visualization tools, as well as methods for combining concurrent measurements from different instruments, so as to allow multipayload studies in a unified framework. Moreover, CSESpy is designed to be highly flexible as such, it can be extended to interface with datasets from other sources and can be embedded in wider software ecosystems. We highlight some applications, also demonstrating that CSESpy is a powerful visualization tool for investigating complex events involving variations across multiple physical observables. Full article
(This article belongs to the Special Issue Remote Sensing in Geomatics (Second Edition))
Show Figures

Figure 1

22 pages, 81961 KB  
Article
Synergistic Regulation of Vegetation Greening and Climate Change on the Changes in Evapotranspiration and Its Components in the Karst Area of China
by Geyu Zhang, Qiaotian Shen, Zijun Wang, Hao Li, Zongsen Wang, Tingyi Xue, Dangjun Wang, Haijing Shi, Yangyang Liu and Zhongming Wen
Agronomy 2025, 15(10), 2375; https://doi.org/10.3390/agronomy15102375 - 11 Oct 2025
Viewed by 341
Abstract
The fragile karst ecosystem in Southwest China faces severe water scarcity. Since 2000, large-scale ecological restoration programs (e.g., the “Grain for Green” Program) have substantially increased vegetation coverage. Concurrently, climate change has manifested as a distinct warming trend and heightened drought risk in [...] Read more.
The fragile karst ecosystem in Southwest China faces severe water scarcity. Since 2000, large-scale ecological restoration programs (e.g., the “Grain for Green” Program) have substantially increased vegetation coverage. Concurrently, climate change has manifested as a distinct warming trend and heightened drought risk in recent decades. Therefore, understanding the synergistic and competing effects of climate change and vegetation restoration on regional evapotranspiration (ET) is critical for projecting water budgets and ensuring the sustainability of ecosystems and water resources within this vital ecological barrier region. This study employs a dual-scenario PT-JPL model (simulating natural vegetation dynamics versus constant coverage) integrated with Sen + MK trend analysis to quantify the spatiotemporal patterns of ET and its components—canopy transpiration (ETc), interception evaporation (ETi), and soil evaporation (ETs)—in Southwest China’s karst region (2000–2018). Furthermore, multiple regression analysis and SEM were utilized to investigate the driving mechanisms of vegetation and climatic factors (temperature, precipitation, radiation, and relative humidity) on changes in ET and its components. The key results demonstrate the following: (1) Vegetation restoration exerted a net positive effect on total ET (+0.44 mm/a) through enhanced ETi (+0.22 mm/a) and ETs (+0.37 mm/a), despite reducing ETc (−0.08 mm/a), revealing trade-offs in water allocation. (2) Radiation dominated ET variability (66.45% of the area exhibiting >50% contribution), while temperature exhibited the most extensive spatial dominance (44.02% of the region), and relative humidity exhibited drought-mediated dual effects (promoting ETi while suppressing ETc). (3) Precipitation exhibited minimal direct influence. Vegetation restoration and climate change collectively drive ET dynamics, with ETc declines indicating potential water stress. These findings elucidate the synergistic regulation of vegetation restoration and climate change on karst ecohydrology, providing critical insights for water resource management in fragile ecosystems globally. Full article
Show Figures

Figure 1

15 pages, 1939 KB  
Review
Challenges of Ozone Therapy in Periodontal Regeneration: A Narrative Review and Possible Therapeutic Improvements
by Nada Tawfig Hashim, Rasha Babiker, Vivek Padmanabhan, Md Sofiqul Islam, Sivan Padma Priya, Nallan C. S. K. Chaitanya, Riham Mohammed, Shahistha Parveen Dasnadi, Ayman Ahmed, Bakri Gobara Gismalla and Muhammed Mustahsen Rahman
Curr. Issues Mol. Biol. 2025, 47(10), 811; https://doi.org/10.3390/cimb47100811 - 1 Oct 2025
Viewed by 896
Abstract
Ozone (O3) has re-emerged in periodontology for its antimicrobial, oxygenating, and immunomodulatory actions, yet its role in regeneration remains contentious. This narrative review synthesizes current evidence on adjunctive ozone use in periodontal therapy, delineates cellular constraints—especially in periodontal ligament fibroblasts (PDLFs)—and [...] Read more.
Ozone (O3) has re-emerged in periodontology for its antimicrobial, oxygenating, and immunomodulatory actions, yet its role in regeneration remains contentious. This narrative review synthesizes current evidence on adjunctive ozone use in periodontal therapy, delineates cellular constraints—especially in periodontal ligament fibroblasts (PDLFs)—and explores mitigation strategies using bioactive compounds and advanced delivery platforms. Two recent meta-analyses indicate that adjunctive ozone with scaling and root planing yields statistically significant reductions in probing depth and gingival inflammation, with no significant effects on bleeding on probing, plaque control, or clinical attachment level; interpretation is limited by heterogeneity of formulations, concentrations, and delivery methods. Mechanistically, ozone imposes a dose-dependent oxidative burden that depletes glutathione and inhibits glutathione peroxidase and superoxide dismutase, precipitating lipid peroxidation, mitochondrial dysfunction, ATP depletion, and PDLF apoptosis. Concurrent activation of NF-κB and upregulation of IL-6/TNF-α, together with matrix metalloproteinase-mediated extracellular matrix degradation and tissue dehydration (notably with gaseous applications), further impairs fibroblast migration, adhesion, and ECM remodeling, constraining regenerative potential. Emerging countermeasures include co-administration of polyphenols (epigallocatechin-3-gallate, resveratrol, curcumin, quercetin), coenzyme Q10, vitamin C, and hyaluronic acid to restore redox balance, stabilize mitochondria, down-modulate inflammatory cascades, and preserve ECM integrity. Nanocarrier-based platforms (nanoemulsions, polymeric nanoparticles, liposomes, hydrogels, bioadhesive films) offer controlled ozone release and co-delivery of protectants, potentially widening the therapeutic window while minimizing cytotoxicity. Overall, current evidence supports ozone as an experimental adjunct rather than a routine regenerative modality. Priority research needs include protocol standardization, dose–response definition, long-term safety, and rigorously powered randomized trials evaluating bioactive-ozone combinations and nanocarrier systems in clinically relevant periodontal endpoints. Full article
(This article belongs to the Special Issue Latest Review Papers in Molecular Biology 2025)
Show Figures

Figure 1

16 pages, 523 KB  
Article
Molecular and Ionic Signatures in Rainwater: Unveiling Sources of Atmospheric Pollution
by Grace Stamm, Arka Bhattacharjee, Gayatri Basapuram, Avishek Dutta and Srimanti Duttagupta
Environments 2025, 12(10), 351; https://doi.org/10.3390/environments12100351 - 29 Sep 2025
Viewed by 833
Abstract
Atmospheric deposition through rainfall plays a significant role in transporting various anthropogenic contaminants to terrestrial and aquatic ecosystems. However, rainwater’s integrated ionic and molecular composition remains underexplored in semiurban environments. This study provides a comprehensive chemical characterization of rainwater collected during seven precipitation [...] Read more.
Atmospheric deposition through rainfall plays a significant role in transporting various anthropogenic contaminants to terrestrial and aquatic ecosystems. However, rainwater’s integrated ionic and molecular composition remains underexplored in semiurban environments. This study provides a comprehensive chemical characterization of rainwater collected during seven precipitation events from February to April 2025 in Athens, Georgia, USA. This semiurban area is characterized by substantial vehicular traffic, seasonal agricultural activities, and ongoing construction, while lacking significant industrial emissions. Targeted spectrophotometric analyses revealed heightened concentrations of nitrate (ranging from 2.0 to 4.3 mg/L), sulfate (17 to 26 mg/L), and phosphate (2.4 to 3.1 mg/L), with peak concentrations observed during high-intensity rainfall events. These findings are consistent with enhanced wet scavenging of atmospheric emissions. Concurrently, both targeted and non-targeted gas chromatography-mass spectrometry (GC-MS) analyses identified a diverse array of organic pollutants in the rainwater, including organophosphate, organochlorine, and triazine pesticides; polycyclic aromatic hydrocarbons (PAHs); plasticizers; flame retardants; surfactant degradation products; and industrial additives such as bisphenol A, triclosan, and nicotine. Furthermore, several legacy contaminants, such as organochlorines, were detected alongside currently utilized compounds, including glyphosate and its metabolite aminomethylphosphonic acid (AMPA). The concurrent presence of elevated anion and organic pollutant levels during significant storm events suggests that atmospheric washout can be the primary deposition mechanism. These findings underscore the capability of semiurban atmospheres to accumulate and redistribute complex mixtures of pollutants through rainfall, even in the absence of large-scale industrial activity. The study emphasizes the importance of integrated ionic and molecular analyses for uncovering concealed pollution sources. It highlights the potential of rainwater chemistry as a diagnostic tool for monitoring atmospheric contamination in urbanizing environments. Full article
(This article belongs to the Special Issue Advances in Urban Air Pollution: 2nd Edition)
Show Figures

Figure 1

30 pages, 10855 KB  
Article
Hydrochemical Characteristics and Evolution Mechanisms of Shallow Groundwater in the Alluvial–Coastal Transition Zone of the Tangshan Plain, China
by Shiyin Wen, Shuang Liang, Guoxing Pang, Qiang Shan, Yingying Ye, Jianan Zhang, Mingqi Dong, Linping Fu and Meng Wen
Water 2025, 17(19), 2810; https://doi.org/10.3390/w17192810 - 24 Sep 2025
Viewed by 519
Abstract
To elucidate the hydrochemical characteristics and evolution mechanisms of shallow groundwater in the alluvial–coastal transitional zone of the Tangshan Plain, 76 groundwater samples were collected in July 2022. An integrated approach combining Piper and Gibbs diagrams, ionic ratio analysis, multivariate statistical methods (including [...] Read more.
To elucidate the hydrochemical characteristics and evolution mechanisms of shallow groundwater in the alluvial–coastal transitional zone of the Tangshan Plain, 76 groundwater samples were collected in July 2022. An integrated approach combining Piper and Gibbs diagrams, ionic ratio analysis, multivariate statistical methods (including Pearson correlation, hierarchical cluster analysis, and principal component analysis), and PHREEQC inverse modeling was employed to identify hydrochemical facies, dominant controlling factors, and geochemical reaction pathways. Results show that groundwater in the upstream alluvial plain is predominantly of the HCO3–Ca type with low mineralization, primarily controlled by carbonate weathering, water–rock interaction, and natural recharge. In contrast, groundwater in the downstream coastal plain is characterized by high-mineralized Cl–Na type water, mainly influenced by seawater intrusion, evaporation concentration, and dissolution of evaporite minerals. The spatial distribution of groundwater follows a pattern of “freshwater in the north and inland, saline water in the south and coastal,” reflecting the transitional nature from freshwater to saline water. Ionic ratio analysis reveals a concurrent increase in Na+, Cl, and SO42− in the coastal zone, indicating coupled processes of saline water mixing and cation exchange. Statistical analysis identifies mineralization processes, carbonate weathering, redox conditions, and anthropogenic inputs as the main controlling factors. PHREEQC simulations demonstrate that groundwater in the alluvial zone evolves along the flow path through CO2 degassing, dolomite precipitation, and sulfate mineral dissolution, whereas in the coastal zone, continuous dissolution of halite and gypsum leads to the formation of high-mineralized Na–Cl water. This study establishes a geochemical evolution framework from recharge to discharge zones in a typical alluvial–coastal transitional setting, providing theoretical guidance for salinization boundary identification and groundwater management. Full article
(This article belongs to the Section Hydrogeology)
Show Figures

Figure 1

31 pages, 5362 KB  
Article
Sustainable Valorization of Posidonia Waste Ash for Phosphate Removal: A Surface Complexation Approach Under Variable Water Chemistry
by Jesús Mengual and Juan A. González
Molecules 2025, 30(17), 3639; https://doi.org/10.3390/molecules30173639 - 6 Sep 2025
Viewed by 959
Abstract
Phosphorus pollution represents a persistent and significant threat to aquatic ecosystems, particularly within the Mediterranean region, where ongoing eutrophication continues to compromise both water quality and biodiversity. Concurrently, the accumulation of Posidonia oceanica residues along coastal areas presents a biomass management challenge. This [...] Read more.
Phosphorus pollution represents a persistent and significant threat to aquatic ecosystems, particularly within the Mediterranean region, where ongoing eutrophication continues to compromise both water quality and biodiversity. Concurrently, the accumulation of Posidonia oceanica residues along coastal areas presents a biomass management challenge. This study explores the sustainable use of thermally treated Posidonia ash as a low-cost, bio-based adsorbent for phosphate removal from water. Batch experiments under varying phosphate concentrations, pH, hardness, and alkalinity revealed high removal capacities (33.5–58.7 mg/g). A novel surface complexation model (SCM) was developed and validated using spectroscopic techniques to elucidate the mechanisms of phosphate retention. The SCM outperformed conventional isotherm models by providing mechanistic insights into adsorption behavior. Phosphate adsorption was found to be pH-dependent, occurring via surface complexation to neutral and basic surface sites. The release of Ca2+ and Mg2+ ions facilitated ternary complex formation and precipitation. Under alkaline conditions, competitive adsorption between phosphate and carbonate ions was observed. This study demonstrates the dual benefit of Posidonia oceanica ash: efficient phosphate removal and its reuse as a phosphorus reservoir, offering a circular strategy for tackling nutrient pollution and promoting coastal biomass valorization. Full article
(This article belongs to the Special Issue Applied Chemistry in Europe)
Show Figures

Graphical abstract

19 pages, 2638 KB  
Article
Analysis of High–Low Runoff Encounters Between the Water Source and Receiving Areas in the Xinyang Urban Water Supply Project
by Jian Qi, Fengshou Yan, Qingqing Tian, Chaoqiang Yang, Yu Tian, Xin Li, Lei Guo, Qianfang Ma and Yunfei Ma
Water 2025, 17(17), 2618; https://doi.org/10.3390/w17172618 - 4 Sep 2025
Viewed by 1052
Abstract
The construction of the Xinyang Urban Water Supply Project, centered on the Chushandian Reservoir, required a thorough investigation of high–low runoff encounters between the water source and receiving areas to optimize water allocation and operational scheduling. Based on the hydrological stations at Changtaiguan [...] Read more.
The construction of the Xinyang Urban Water Supply Project, centered on the Chushandian Reservoir, required a thorough investigation of high–low runoff encounters between the water source and receiving areas to optimize water allocation and operational scheduling. Based on the hydrological stations at Changtaiguan (CTG) on the main stream of the Huaihe River (HR) in the water source area and Miaowan (MW) on the main stream of the Honghe River in the receiving area, the trends and abrupt change characteristics of monthly runoff from 2014 to 2024 were analyzed using methods such as extremum symmetry mode decomposition (ESMD) and heuristic segmentation, with spatial encounter patterns determined using Copula functions. The results indicate that (1) the runoff in the water source area showed a quasi-6.05-month periodic characteristic on a monthly scale, while the runoff in the receiving area exhibited a quasi-6.72-month periodic characteristic on a monthly scale; (2) the water source area experienced runoff mutation in August 2015 (extreme drought) and June 2024 (extreme precipitation), with the receiving area responding 7 months earlier than the water source area, revealing differences in system vulnerability; (3) synchronous hydrological states were significantly more likely to occur (51.2%) compared with asynchronous conditions (25.2%), with the highest probability of “concurrent drought” (19.8%) and a high-risk “normal water source—receiving area drought” combination (14.1%). These findings provide theoretical and technical support for the optimized scheduling of the Chushandian Reservoir, improving the resilience and adaptability of the Xinyang Urban Water Supply Project to climate fluctuations and extreme hydrological events. Full article
(This article belongs to the Section Hydrology)
Show Figures

Figure 1

29 pages, 9290 KB  
Article
Multi-Hazard Scenarios of Extreme Compounded Events at the Local Scale Under Climate Change
by Athanasios Sfetsos, Nadia Politi and Diamando Vlachogiannis
Atmosphere 2025, 16(9), 1007; https://doi.org/10.3390/atmos16091007 - 26 Aug 2025
Viewed by 1162
Abstract
As local risk assessments are fundamental for risk management and mitigation strategies, this work introduces a methodology for assessing multi-hazard scenarios of extreme compounded events and their duration using daily time series of surface variables from high-resolution climate simulations during historical and future [...] Read more.
As local risk assessments are fundamental for risk management and mitigation strategies, this work introduces a methodology for assessing multi-hazard scenarios of extreme compounded events and their duration using daily time series of surface variables from high-resolution climate simulations during historical and future periods under RCP8.5. The aim was to investigate the return level extremes of 20- and 50-year periods of hazards occurring within specific durations and concurrent extreme values of other surface variables, for selected locations in Greece. In addition, future changes in the temporal occurrence of compounded hazards involving precipitation and wind with temperature extremes were performed based on temperature extreme percentiles. The assessment revealed the geographical dependence in the projected occurrence, intensity, and duration of compounded multi-hazard extremes, emphasising the need for high spatial resolution climate data for their investigation. The highlights of the findings include a significant increasing trend of compounded multi-hazard extremes, e.g., hot days and tropical nights, milder winter minimum temperatures with lower rainfall extremes, hotter and windier events of shorter duration, and longer precipitation extremes with increased extreme temperatures. The projections showcased the impact of climate change on extreme compounds with a multitude of interesting findings associated with significant changes in their duration, intensity, and temporal occurrence. Full article
(This article belongs to the Special Issue Climate Change and Extreme Weather Disaster Risks (2nd Edition))
Show Figures

Figure 1

17 pages, 924 KB  
Systematic Review
Risk, Precipitating, and Perpetuating Factors in Functional Neurological Disorder: A Systematic Review Across Clinical Subtypes
by Ioannis Mavroudis, Katerina Franekova, Foivos Petridis, Alin Ciobîca, Gabriel Dăscălescu, Emil Anton, Ciprian Ilea, Sotirios Papagiannopoulos and Dimitrios Kazis
Brain Sci. 2025, 15(9), 907; https://doi.org/10.3390/brainsci15090907 - 23 Aug 2025
Viewed by 1142
Abstract
Background: Functional Neurological Disorder (FND) encompasses conditions with neurological symptoms inconsistent with structural pathology, arising instead from complex interactions between psychological, biological, and social factors. Despite growing research, the etiological and risk factor landscape remains only partially understood, complicating diagnosis and treatment. Objective: [...] Read more.
Background: Functional Neurological Disorder (FND) encompasses conditions with neurological symptoms inconsistent with structural pathology, arising instead from complex interactions between psychological, biological, and social factors. Despite growing research, the etiological and risk factor landscape remains only partially understood, complicating diagnosis and treatment. Objective: This systematic review maps risk factors for major FND subtypes such as functional seizures (psychogenic non-epileptic seizures or PNES), functional cognitive disorder (FCD), functional movement disorders (FMD), functional weakness and sensory disturbances, functional visual symptoms, and functional gait abnormalities by categorizing predisposing, precipitating, and perpetuating influences. Methods: A systematic search of PubMed, PsycINFO, Scopus, and Web of Science initially identified 245 records. After removal of 64 duplicates, 181 studies were screened by title and abstract. Of these, 96 full texts were examined in detail, and finally 23 studies met the predefined inclusion criteria. Data were extracted and analyzed thematically within a biopsychosocial framework, with results summarized in subtype-specific profiles. Results: Childhood adversity, especially emotional, physical, or sexual abuse, emerged as a robust and consistent predisposing factor across PNES cohorts. Psychiatric history (notably anxiety, depression, and PTSD), neurodevelopmental traits (more frequent in FCD), and personality patterns such as alexithymia and somatization also contributed to vulnerability. Precipitating influences included acute psychological stress, intrapersonal conflict, or concurrent medical illness. Perpetuating factors comprise maladaptive illness beliefs, avoidance behaviors, insufficient explanation or validation by healthcare providers, and secondary gains related to disability. While several risk factors were shared across subtypes, others appeared subtype-specific (trauma was especially associated with PNES, whereas neurodevelopmental traits were more characteristic of FCD). Conclusions: FND arises from a dynamic interplay of predisposing, precipitating, and perpetuating factors, with both shared and subtype-specific influences. Recognizing this heterogeneity can enhance diagnostic precision, guide tailored intervention, and inform future research into the neurobiological and psychosocial mechanisms underlying FND. Full article
(This article belongs to the Section Neuropsychology)
Show Figures

Figure 1

18 pages, 10896 KB  
Article
Effects of Nitrogen and Water Addition on Ecosystem Carbon Fluxes in a Grazing Desert Steppe
by Chao Wen, Jianhui Huang, Yumei Shan, Ding Yang, Lan Mu, Pujin Zhang, Xinchao Liu, Hong Chang and Ruhan Ye
Agronomy 2025, 15(8), 2016; https://doi.org/10.3390/agronomy15082016 - 21 Aug 2025
Viewed by 841
Abstract
Desert steppe ecosystems, characterized by water limitation and high sensitivity to global climate change and anthropogenic disturbance drivers, experience profound alterations in carbon (C) cycling processes driven by the multiplicative interactions among grassland grazing, altered precipitation regimes, and elevated atmospheric nitrogen deposition. However, [...] Read more.
Desert steppe ecosystems, characterized by water limitation and high sensitivity to global climate change and anthropogenic disturbance drivers, experience profound alterations in carbon (C) cycling processes driven by the multiplicative interactions among grassland grazing, altered precipitation regimes, and elevated atmospheric nitrogen deposition. However, how historical grazing legacies modulate ecosystem responses to concurrent changes in nitrogen deposition and precipitation regimes remains poorly resolved. To address this, we conducted a field experiment manipulating water and nitrogen addition across grazing intensities (no grazing, light grazing, moderate grazing, heavy grazing) in a Stipa breviflora desert steppe. Over three consecutive growing seasons (2015–2017), we continuously monitored net ecosystem CO2 exchange (NEE), ecosystem respiration (ER), and gross ecosystem production (GEP) to quantify ecosystem CO2 fluxes under these interacting global change drivers. Results revealed that water and nitrogen addition did not alter seasonal CO2 flux dynamics across grazing intensities. Light grazing enhanced ecosystem C sink capacity, whereas heavy grazing reduced NEE and GEP, diminishing C sink strength. Water addition significantly increased CO2 fluxes, strongly correlated with soil moisture. Nitrogen addition exerted a weak C source effect in a water-deficient year but enhanced the C sink in a water-rich year. Nitrogen plus water addition significantly boosted C sink potential, though this effect diminished along the grazing pressure gradient. Our findings demonstrate that the impacts of climate change on soil C fluxes in desert steppes are mediated by historical grazing intensity. Future manipulative experiments should explicitly incorporate grazing legacy effects, and integrate this factor into C models to generate reliable predictions of grassland C dynamics under global change scenarios. Full article
(This article belongs to the Section Grassland and Pasture Science)
Show Figures

Figure 1

16 pages, 3366 KB  
Article
Higher Emissions Scenarios Increase Wildland–Urban Interface Fire Hazard in China
by Dapeng Gong
Sustainability 2025, 17(16), 7409; https://doi.org/10.3390/su17167409 - 15 Aug 2025
Cited by 1 | Viewed by 709
Abstract
Climate change has intensified the occurrence of wildfires, increasing their frequency and intensity worldwide, and threatening sustainable development through ecological and socioeconomic impacts. Understanding the driving factors behind wildland–urban interface (WUI) fire events and predicting future wildfire hazards in WUI areas are essential [...] Read more.
Climate change has intensified the occurrence of wildfires, increasing their frequency and intensity worldwide, and threatening sustainable development through ecological and socioeconomic impacts. Understanding the driving factors behind wildland–urban interface (WUI) fire events and predicting future wildfire hazards in WUI areas are essential for effective wildfire management and sustainable land-use planning. In this study, we developed a WUI fire hazard prediction model for China using machine learning techniques. Diagnostic attribution analysis was employed to identify key drivers of WUI fire hazards. The results revealed that the random forest-based WUI fire hazard model outperformed other models, demonstrating strong generalization capability. SHapley Additive exPlanations analysis revealed that meteorological factors are the primary drivers of WUI fire hazards. These factors include temperature, precipitation, and relative humidity. We further examined the evolution of WUI fire hazards under historical and future climate change scenarios. During the historical baseline period (1985–2014), regions classified as moderate and high hazards were concentrated in southern China. These regions include East China, South Central China, and Southwest China. Climate change exacerbates future WUI fire hazards in China. Projections under the high emission scenario (SSP5–8.5) indicate a rapid increase in WUI fire hazard indices in northern China by the end of the 21st century. Concurrently, the gravity center of high hazard areas is predicted to shift northward, accompanied by a substantial expansion in their area coverage. These findings highlight an urgent need to reorient fire management resources toward northern China under high-emission scenarios. Our findings establish a predictive framework for WUI fire hazards and emphasize the urgency of implementing climate-adaptive management strategies aligned with future hazard patterns. These strategies are critical for enhancing sustainability by reducing fire-related ecological and socioeconomic losses in WUI areas. Full article
(This article belongs to the Section Hazards and Sustainability)
Show Figures

Figure 1

16 pages, 4132 KB  
Article
Ethyl Cellulose Co-Encapsulation of Steel Slag–Persulfate Long-Term Petroleum Hydrocarbon Remediation
by Shuang Lin, Changsheng Qu and Dongyao Xu
Processes 2025, 13(8), 2501; https://doi.org/10.3390/pr13082501 - 8 Aug 2025
Viewed by 486
Abstract
Petroleum hydrocarbon (PH) contamination in groundwater necessitates sustainable remediation solutions. This study develops a novel co-encapsulated composite by embedding steel slag (SS) and sodium persulfate (SPS) within an ethyl cellulose (EC) matrix ((SS + SPS)/EC) for permeable reactive barrier applications. The EC matrix [...] Read more.
Petroleum hydrocarbon (PH) contamination in groundwater necessitates sustainable remediation solutions. This study develops a novel co-encapsulated composite by embedding steel slag (SS) and sodium persulfate (SPS) within an ethyl cellulose (EC) matrix ((SS + SPS)/EC) for permeable reactive barrier applications. The EC matrix enables controlled release of SPS oxidant and gradual leaching of alkaline components (Ca2+/OH) and Fe2+/Fe3+ activators from SS, synergistically sustaining radical generation while buffering pH extremes. Optimized at a 10:7 SS:SPS mass ratio, the composite achieves 66.3% PH removal via dual pathways: (1) sulfate radical (SO4•) oxidation from Fe2+-activated persulfate (S2O82 + Fe2+SO4• + SO42 + Fe3+), and (2) direct electron transfer by surface-bound Fe3+. In situ material evolution enhances functionality—nitrogen physisorption reveals a 156% increase in surface area and 476% pore volume expansion, facilitating contaminant transport while precipitating stable sulfate minerals (Na2SO4, Na3Fe(SO4)3) within pores. Crucially, the composite maintains robust performance under groundwater-relevant conditions: 54% removal at 15 °C (attributed to pH-buffered activation) and >55% efficiency with common interfering anions (Cl, HCO3, 50 mg·L−1). This waste-derived design demonstrates a self-regulating system that concurrently addresses oxidant longevity (≥70 h), geochemical stability (pH 8.5→10.4), and low-temperature activity, establishing a promising strategy for sustainable groundwater remediation. Continuous-flow column validation (60 d, 5 mg·L−1 gasoline) demonstrates sustained >80% removal efficiency and systematically stable effluent pH (9.8–10.2) via alkaline leaching. Full article
(This article belongs to the Special Issue 1st SUSTENS Meeting: Advances in Sustainable Engineering Systems)
Show Figures

Figure 1

Back to TopTop