Sign in to use this feature.

Years

Between: -

Subjects

remove_circle_outline
remove_circle_outline
remove_circle_outline
remove_circle_outline
remove_circle_outline
remove_circle_outline
remove_circle_outline
remove_circle_outline
remove_circle_outline

Journals

remove_circle_outline
remove_circle_outline
remove_circle_outline
remove_circle_outline
remove_circle_outline
remove_circle_outline
remove_circle_outline
remove_circle_outline
remove_circle_outline
remove_circle_outline
remove_circle_outline
remove_circle_outline
remove_circle_outline
remove_circle_outline
remove_circle_outline

Article Types

Countries / Regions

remove_circle_outline
remove_circle_outline
remove_circle_outline
remove_circle_outline
remove_circle_outline
remove_circle_outline

Search Results (2,050)

Search Parameters:
Keywords = compound scaffolds

Order results
Result details
Results per page
Select all
Export citation of selected articles as:
21 pages, 542 KB  
Review
6-Prenylnaringenin—Its Beneficial Biological Effects and Possible Applications
by Tomasz Tronina, Daniel Łój, Jarosław Popłoński and Agnieszka Bartmańska
Int. J. Mol. Sci. 2025, 26(21), 10662; https://doi.org/10.3390/ijms262110662 (registering DOI) - 1 Nov 2025
Abstract
6-Prenylnaringenin (6-PN) is a natural compound which occurs in some plants, but the primary dietary source for humans is beer. This compound exhibits broad and potent antimicrobial, anticancer, and neuroactive properties, and weak estrogenic effects. Currently, hop extracts standardized for 6-PN content (relative [...] Read more.
6-Prenylnaringenin (6-PN) is a natural compound which occurs in some plants, but the primary dietary source for humans is beer. This compound exhibits broad and potent antimicrobial, anticancer, and neuroactive properties, and weak estrogenic effects. Currently, hop extracts standardized for 6-PN content (relative to other prenylflavonoids) are commercially available and utilized in the non-hormonal treatment of menopause. It is probable that in the future, 6-PN will be employed in the prevention or treatment of non-hormone-dependent cancers and infectious diseases, as well as a sedative, hypnotic, and analgesic agent. Further research is essential to precisely determine the exact mechanisms of action of 6-PN and, critically, to leverage its unique therapeutic profile. This review synthesizes current evidence, highlighting that 6-PN warrants priority investigation as a core scaffold for novel drug development, particularly as a GABAA positive allosteric modulator and a synergistic antimicrobial agent, potentially offering a safer alternative to more potent phytoestrogens found in hops. Full article
6 pages, 393 KB  
Short Note
(Z)-6-((Dimethylamino)methylene)-2-methyl-2,3-dihydroimidazo[2,1-b]thiazol-5(6H)-one
by Lesya Saliyeva, Serhii Holota, Nataliia Slyvka and Mykhailo Vovk
Molbank 2025, 2025(4), M2081; https://doi.org/10.3390/M2081 (registering DOI) - 1 Nov 2025
Abstract
Imidazothiazoles are important and attractive scaffolds for the design of potential biologically active small molecules. Dialkylenamines are convenient building blocks and are often used as intermediate reagents for the synthesis of various heterocyclic systems such as pyrimidine, pyridine, pyrazole, etc. In the present [...] Read more.
Imidazothiazoles are important and attractive scaffolds for the design of potential biologically active small molecules. Dialkylenamines are convenient building blocks and are often used as intermediate reagents for the synthesis of various heterocyclic systems such as pyrimidine, pyridine, pyrazole, etc. In the present paper, the simple and effective synthesis of (Z)-6-((dimethylamino)methylene)-2-methyl-2,3-dihydroimidazo[2,1-b]thiazol-5(6H)-one (2) is reported. The proposed method, based on the reflux of 2-methyl-2,3-dihydroimidazo[2,1-b]thiazol-5(6H)-one with N,N-dimethylformamide dimethyl acetal, leads to an 80% yield of title compound 2. The structure of the synthesized compound 2 was confirmed using 1H, 13C NMR, and LC-MS spectra. The applied protocol demonstrates practical advantages such as the absence of a solvent, a simple work-up, and the possibility of scale-up. Full article
Show Figures

Graphical abstract

25 pages, 2502 KB  
Article
Synthesis, EGFR inhibitors, Crystal Structure, and Molecular Docking of 2-Amino-6-methoxy-4-(2-bromophenyl)-4H-benzo [h]chromene-3-carbonitrile
by Al-Anood M. Al-Dies
Crystals 2025, 15(11), 935; https://doi.org/10.3390/cryst15110935 - 30 Oct 2025
Viewed by 167
Abstract
A novel 4H-benzo[h]chromene derivative was efficiently synthesized and structurally characterized as a β-enaminonitrile. Single-crystal X-ray diffraction confirmed its molecular structure, revealing a stable crystal lattice stabilized by intermolecular N–H···N hydrogen bonds and π–π stacking. The compound was evaluated [...] Read more.
A novel 4H-benzo[h]chromene derivative was efficiently synthesized and structurally characterized as a β-enaminonitrile. Single-crystal X-ray diffraction confirmed its molecular structure, revealing a stable crystal lattice stabilized by intermolecular N–H···N hydrogen bonds and π–π stacking. The compound was evaluated for its inhibitory activity against both wild-type EGFR (EGFRWT) and the resistant T790M mutant (EGFRT790M). It exhibited moderate activity against EGFRWT (IC50 = 3.27 ± 0.72 μM) but demonstrated significantly enhanced potency against EGFRT790M (IC50 = 1.92 ± 0.05 μM), showing a low resistance factor compared to the reference drugs Erlotinib and Gefitinib. Comparative molecular docking studies against both wild-type and T790M mutant structures suggested that the compound maintains a stable binding mode involving key interactions with the hinge region residue Met769, rationalizing its ability to circumvent the T790M resistance mechanism. These findings identify the 4H-benzo[h]chromene scaffold as a promising lead for developing novel inhibitors to overcome EGFRT790M-mediated resistance. Full article
(This article belongs to the Section Organic Crystalline Materials)
Show Figures

Figure 1

17 pages, 2880 KB  
Article
Coaxial Electrospun Nanofibers of Shikonin and Cresol as Antibacterial Wound Dressing
by Fatemah M. Alsulaihem, Abrar A. Bakr, Meshal K. Alnefaie, Manal A. Alshabibi, Abdullah A. Alshehri, Fahad A. Almughem, Samar A. Alsudir, Ali A. Alamer, Bayan Y. Alshehri, Dunia A. Alzahrani, Fadilah S. Aleanizy and Essam A. Tawfik
Pharmaceuticals 2025, 18(11), 1642; https://doi.org/10.3390/ph18111642 - 30 Oct 2025
Viewed by 213
Abstract
Background/Objectives: Skin wounds interrupt the natural anatomy and function of the skin. The body passes through four physiological phases to repair wounds after injury. Since the fibers are more closely related to the extracellular matrix structure, they can be used as scaffolds [...] Read more.
Background/Objectives: Skin wounds interrupt the natural anatomy and function of the skin. The body passes through four physiological phases to repair wounds after injury. Since the fibers are more closely related to the extracellular matrix structure, they can be used as scaffolds to accelerate wound closure. Shikonin is a botanical herbal remedy used as an anti-inflammatory agent and for its wound-healing characteristics. Cresols are known for their bactericidal and fungicidal properties, which promote their utilization as a disinfectant in soap. Therefore, this study aimed to formulate shikonin and cresol-loaded nanofibers for a dual wound-healing and antibacterial wound dressing in vitro. Methods: This study demonstrated the effectiveness of the drug-loaded nanofibers against diverse Gram-positive and Gram-negative bacteria using the minimum inhibitory concentration (MIC) and zone of inhibition assays. Results: Scanning electron microscopy images showed successful formulation of shikonin/cresol fibers with an average diameter of 772 ± 152 nm. The encapsulation efficiency and drug loading for the dual drug-loaded fibers were 44 ± 1% and 25 ± 1 µg/mg, respectively, for shikonin, and 38 ± 1% and 21 ± 0.5 µg/mg, respectively, for cresol, with a full release of both drugs achieved after 180 min. The combination of both compounds exhibited a safe concentration of ≤6 µg/mL, with cell viability of >50% in human dermal fibroblasts (HFF-1) after 24 h. The MIC results indicated that the combination was efficient as an antibacterial agent against Gram-positive bacteria at a safe concentration. The shikonin/cresol-loaded fibrous system showed an inhibition zone close to that of the control drugs, suggesting that the drugs have retained their antibacterial activity after electrospinning. Conclusions: This dual drug-loaded fiber system showed a high potential as an antibacterial wound dressing for skin infection injuries. However, in vivo studies are required to assess the safety and efficacy in an animal model of the dual drug-loaded fiber system. Full article
(This article belongs to the Section Pharmaceutical Technology)
Show Figures

Figure 1

32 pages, 7937 KB  
Article
Structure-Based Identification of Natural Inhibitors Targeting the Gc Glycoprotein of Oropouche Virus: An In Silico Approach
by Carlos Vargas-Echeverría, Oscar Saurith-Coronell, Juan Rodriguez-Macías, Edgar A. Márquez Brazón, José R. Mora, Fabio Fuentes-Gandara, José L. Paz and Franklin Salazar
Int. J. Mol. Sci. 2025, 26(21), 10541; https://doi.org/10.3390/ijms262110541 - 30 Oct 2025
Viewed by 195
Abstract
Oropouche virus (OROV), an emerging orthobunyavirus of increasing public health concern in the Americas, currently lacks approved antiviral therapies. In this study, we employed a structure-based in silico approach to identify natural antiviral scaffolds capable of targeting the Gc glycoprotein, a class II [...] Read more.
Oropouche virus (OROV), an emerging orthobunyavirus of increasing public health concern in the Americas, currently lacks approved antiviral therapies. In this study, we employed a structure-based in silico approach to identify natural antiviral scaffolds capable of targeting the Gc glycoprotein, a class II fusion protein essential for host membrane fusion and viral entry. A library of 537 plant-derived compounds was screened against the Gc head domain (PDB ID: 6H3X) through molecular docking and redocking, followed by 100-nanosecond molecular dynamics simulations, MM-PBSA free energy calculations, and ADMET profiling. Curcumin and Berberine emerged as standout candidates. Curcumin demonstrated a balanced profile, with stable binding (−38.14 kcal/mol), low backbone RMSD (1.82 Å), and consistent radius of gyration (Rg ~ 18.8 Å), suggesting strong conformational stability and compactness of the protein–ligand complex. Berberine exhibited the most favorable binding energy (−13.10 kcal/mol) and retained dynamic stability (RMSD 1.86 Å; Rg ~ 19.0 Å), though accompanied by predicted cytotoxicity that may require structural refinement. Both compounds induced reduced residue-level fluctuations (RMSF < 2.5 Å) in functionally critical regions of the Gc protein, consistent with a mechanism of action that involves stabilization of the prefusion conformation and interference with the structural transitions required for viral entry. These findings identify curcumin and berberine as promising scaffolds for anti-OROV drug development and offer a rational foundation for future experimental validation targeting viral fusion mechanisms. Full article
(This article belongs to the Special Issue Molecular Dynamics Simulation of Biomolecules)
Show Figures

Graphical abstract

16 pages, 1176 KB  
Article
Discovery of Potential Antileishmanial Compounds Through Phenotypic Screening of an Alkaloid Library
by Cathy Soh-Kamdjo, María-Cristina González-Montero, Carlos García-Estrada, Estela Melcón-Fernández, Celia Fernández-Rubio, Yolanda Pérez-Pertejo, Rosa M. Reguera and Rafael Balaña-Fouce
Molecules 2025, 30(21), 4210; https://doi.org/10.3390/molecules30214210 - 28 Oct 2025
Viewed by 234
Abstract
Visceral leishmaniasis caused by Leishmania donovani is one of the major neglected tropical diseases attributable to parasitic protozoa. In the absence of an effective vaccine, chemotherapy remains the only available therapeutic option. However, current treatments rely on a limited number of drugs that [...] Read more.
Visceral leishmaniasis caused by Leishmania donovani is one of the major neglected tropical diseases attributable to parasitic protozoa. In the absence of an effective vaccine, chemotherapy remains the only available therapeutic option. However, current treatments rely on a limited number of drugs that are largely obsolete, highly toxic or require intravenous administration, and their extensive use has led to the emergence of drug resistance. Consequently, the discovery of new antileishmanial agents is an urgent priority. In this study, a commercial library of 449 alkaloids in a high-throughput screening format was evaluated against both axenic bone marrow-derived amastigotes and intramacrophagic amastigotes from mice infected with L. donovani IRFP, a strain engineered to emit infrared fluorescence in its viable form. Six isoquinoline-type alkaloids showed the best antileishmanial efficacy against intramacrophagic amastigotes while exhibiting minimal cytotoxicity toward RAW 264.7 and HepG2 cell lines, with a promising selective index higher than four, and good mouse intestinal tolerance in mouse organoids. Among these compounds, the protoberberine scaffold emerged as the most promising candidate for further drug development. Full article
Show Figures

Graphical abstract

18 pages, 1926 KB  
Article
Evaluation of 2,7-Naphthyridines as Targeted Anti-Staphylococcal Candidates with Microbiota-Sparing Properties
by Anna Wójcicka, Maciej Spiegel, Bartłomiej Dudek, Malwina Brożyna, Adam Junka and Marcin Mączyński
Int. J. Mol. Sci. 2025, 26(21), 10442; https://doi.org/10.3390/ijms262110442 - 27 Oct 2025
Viewed by 158
Abstract
The rising resistance of bacterial and fungal strains, particularly in biofilm form, is diminishing the efficacy of available therapies and poses a major threat to human health. This highlights the need for new antimicrobial agents. A review of biological studies has shown that [...] Read more.
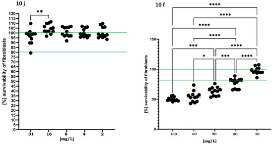
The rising resistance of bacterial and fungal strains, particularly in biofilm form, is diminishing the efficacy of available therapies and poses a major threat to human health. This highlights the need for new antimicrobial agents. A review of biological studies has shown that 2,7-naphthyridine derivatives exhibit a wide spectrum of pharmacological properties, including antimicrobial activity, which has contributed to the development of new compounds containing this scaffold. In this work, the obtained compounds were tested to assess their ability to eradicate biofilm formed by selected reference strains of opportunistic pathogens: Staphylococcus aureus, Pseudomonas aeruginosa and Candida albicans as well as towards normal microbiota representative, referred to as the Lactobacillus crispatus. The tested 2,7-naphthyridine derivatives showed selective antimicrobial activity, exclusively against S. aureus. 10j demonstrated the highest, among tested compounds, activity on this pathogen (MIC = 8 mg/L), while compound 10f exhibited ~100-fold stronger activity (MIC = 31 mg/L) than the majority of the library compounds. The in vitro assessment on fibroblast cell lines demonstrated low cytotoxicity of both compounds 10f and 10j, which was subsequently confirmed in vivo using the Galleria mellonella larval model, where no signs of systemic toxicity were observed during the 5-day observation period. Due to the structural similarity of the compounds 10f and 10j to typical gyrase/topoisomerase IV inhibitors, molecular dynamics simulations were performed on a ternary complex containing protein, DNAds, and a 1,5-naphthyridine inhibitor (PDB ID: 6Z1A). Molecular dynamics of the gyrase–DNA ternary complex supported stable binding of both hydrazone derivatives, with 10j showing slightly more favorable MM/GBSA energetics driven by electrostatics and halogen bonding, consistent with its ~4-fold lower MIC versus 10f. Taken together, our data highlight compound 10j as a promising microbiota-sparing antibacterial candidate, particularly suitable for selective interventions against S. aureus, for instance in vaginal infections, where targeted eradication of the pathogen without disturbing protective commensals is highly desirable. Full article
Show Figures

Figure 1

20 pages, 2985 KB  
Review
From Native Glycosaminoglycans to Mimetics: Design, Mechanisms, and Biomedical Applications
by Fabian Junker and Sandra Rother
Biomolecules 2025, 15(11), 1518; https://doi.org/10.3390/biom15111518 - 27 Oct 2025
Viewed by 263
Abstract
Glycosaminoglycans (GAGs) are essential regulators of numerous biological processes through their interactions with growth factors, chemokines, cytokines, and enzymes. Their structural diversity and heterogeneity, however, limit reproducibility and translational use, as native GAGs are typically obtained from animal-derived sources with notable batch-to-batch variability. [...] Read more.
Glycosaminoglycans (GAGs) are essential regulators of numerous biological processes through their interactions with growth factors, chemokines, cytokines, and enzymes. Their structural diversity and heterogeneity, however, limit reproducibility and translational use, as native GAGs are typically obtained from animal-derived sources with notable batch-to-batch variability. To overcome these challenges, a wide range of GAG mimetics has been developed with the aim of replicating or modulating the biological functions of native GAGs while offering improved structural definition, accessibility, and therapeutic potential. Polysaccharide-based GAG mimetics, including derivatives of heparan sulfate, hyaluronan, dextran, and other natural glycans, represent one major strategy, whereas non-saccharide-based mimetics provide alternative scaffolds with enhanced stability and selectivity. Both approaches have yielded compounds that serve as valuable tools for dissecting GAG/protein interactions and as candidates for therapeutic development. Biomedical applications of GAG mimetics span diverse areas such as cancer, cardiovascular and inflammatory diseases, bone and cartilage regeneration, wound healing, and infectious diseases. This mini-review summarizes key developments in the design and synthesis of GAG mimetics, highlights their potential biomedical applications, and discusses current challenges and future perspectives in advancing them toward clinical translation. Full article
(This article belongs to the Special Issue Advances in Glycosaminoglycans (GAGs) and Mimetics)
Show Figures

Graphical abstract

17 pages, 3747 KB  
Article
Drug Repurposing for AML: Structure-Based Virtual Screening and Molecular Simulations of FDA-Approved Compounds with Polypharmacological Potential
by Mena Abdelsayed and Yassir Boulaamane
Biomedicines 2025, 13(11), 2605; https://doi.org/10.3390/biomedicines13112605 - 24 Oct 2025
Viewed by 365
Abstract
Background: Acute myeloid leukemia (AML) is a heterogeneous hematologic malignancy characterized by impaired differentiation, apoptosis resistance, and metabolic reprogramming, which collectively contribute to therapeutic resistance and poor clinical outcomes. While targeted agents—such as LSD1 inhibitors, the BCL-2 inhibitor venetoclax, and IDH1 inhibitors—have provided [...] Read more.
Background: Acute myeloid leukemia (AML) is a heterogeneous hematologic malignancy characterized by impaired differentiation, apoptosis resistance, and metabolic reprogramming, which collectively contribute to therapeutic resistance and poor clinical outcomes. While targeted agents—such as LSD1 inhibitors, the BCL-2 inhibitor venetoclax, and IDH1 inhibitors—have provided clinical benefit, their efficacy is often limited by compensatory signaling and clonal evolution. This study aimed to identify FDA-approved compounds with multitarget potential to simultaneously modulate key epigenetic, apoptotic, and metabolic pathways in AML. Methods: Structure-based virtual screening of 3957 FDA-approved molecules was performed against three AML-relevant targets: lysine-specific demethylase 1 (LSD1), BCL-2, and mutant IDH1 (R132H). Top-ranked hits were evaluated using ADMET prediction and molecular dynamics (MD) simulations to assess pharmacokinetic properties, toxicity, and ligand–protein complex stability over 100 ns trajectories. Results: Three compounds—DB16703, DB08512, and DB16047—exhibited high binding affinities across all three targets with favorable pharmacokinetic and safety profiles. MD simulations confirmed the structural stability of the ligand–protein complexes, revealing persistent hydrogen bonding and minimal conformational deviation. These findings suggest that these repurposed drugs possess a promising multitarget profile capable of addressing AML’s multifactorial pathophysiology. Conclusions: This computational study supports the feasibility of a polypharmacology-based strategy for AML therapy by integrating epigenetic modulation, apoptotic reactivation, and metabolic correction within single molecular scaffolds. However, the identified compounds (Belumosudil, DB08512, and Elraglusib) have not yet demonstrated efficacy in AML models; further preclinical validation is warranted to substantiate these predictions and advance translational development. Full article
Show Figures

Figure 1

24 pages, 2025 KB  
Review
Indole–Imidazole Hybrids as Emerging Therapeutic Scaffolds: Synthetic Advances and Biomedical Applications
by Wafa A. Bawazir and Qurratul Ain
Molecules 2025, 30(21), 4164; https://doi.org/10.3390/molecules30214164 - 23 Oct 2025
Viewed by 422
Abstract
Indole and imidazole structures are widely used in medicinal chemistry for their unique electronic, steric, and pharmacophoric qualities that drive diverse biological effects. Combining indole and imidazole structures enhanced structural diversity, binding affinity, making a promising approach for creating multifunctional therapeutic agents. This [...] Read more.
Indole and imidazole structures are widely used in medicinal chemistry for their unique electronic, steric, and pharmacophoric qualities that drive diverse biological effects. Combining indole and imidazole structures enhanced structural diversity, binding affinity, making a promising approach for creating multifunctional therapeutic agents. This review presents a comprehensive overview of the synthetic strategies developed for indole–imidazole derivatives, encompassing multistep synthesis, one-pot multicomponent condensation reactions, metal-catalyzed reactions, metal-free catalysis, and various green chemistry approaches, with particular emphasis on efficiency, yields, and practical limitations. In addition, this review critically evaluates the biological activities of indole–imidazole scaffolds, highlighting their applications as anticancer, antioxidant, anti-microbial, neurological, and metabolic agents. By integrating recent synthetic advances with pharmacological insights, this review underscores both the opportunities and challenges in the hybrid design. It also provides direction for future research aimed at developing novel drug candidates to tackle current healthcare concerns such as antibiotic resistance, cancer, and chronic diseases. Full article
(This article belongs to the Special Issue Emerging Drug Targets: New Challenges for the Medicinal Chemist)
Show Figures

Figure 1

28 pages, 4904 KB  
Article
Synthesis of Novel Chloro-Benzo [d]imidazole Regioisomers as Selective CB2 Receptor Agonists: Indirect Functional Evaluation and Molecular Insights
by Valeria Zuñiga Salazar, Renato Burgos Ravanal, Jonathan Soto-Flores, Gianfranco Sabadini, José Vicente González, Jaime Mella and Javier Romero-Parra
Pharmaceuticals 2025, 18(11), 1599; https://doi.org/10.3390/ph18111599 - 22 Oct 2025
Viewed by 296
Abstract
Background/Objectives: The cannabinoid type 2 receptor (CB2 receptor) has been extensively studied in recent years due to the benefits associated with its modulation, including the regulation of the inflammatory response, neuroimmunomodulatory properties, and antitumor effects, all with the advantage of lacking significant [...] Read more.
Background/Objectives: The cannabinoid type 2 receptor (CB2 receptor) has been extensively studied in recent years due to the benefits associated with its modulation, including the regulation of the inflammatory response, neuroimmunomodulatory properties, and antitumor effects, all with the advantage of lacking significant psychoactive effects. Herein, we report the design, synthesis, characterization, biological assays, and molecular modelling analyses of novel (5/6-chloro-2-aryl-1H-benzo [d]imidazol-1-yl)(4-methoxyphenyl)methanone and 5/6-chloro-1-(4-methoxybenzyl)-2-aryl-1H-benzo [d]imidazole regioisomers as potential cannabinoid type 2 receptor ligands. Methods: The compounds were evaluated for their presumed CB2 agonist activity using an indirect receptor-dependent apoptotic cell death assay exerted by cannabinoids, using the cell lines HEK293 (low CB1/CB2 expression), U-87 MG (high CB1 expression), and HL-60 (exclusive CB2 expression), and including the known cannabinoid ligands WIN-55,212-2 and AM630 as reference ligands. Flow cytometry was performed to assess apoptosis. Molecular docking and molecular dynamics simulations were used to explore ligand-receptor interactions at the CB2 active site. Results: Compounds 3a, 3b’, 3c, and 4b selectively reduced HL-60 cell viability, similar to WIN-55,212-2, while showing no toxicity toward HEK293 or U-87 MG cells. Flow cytometry indicated that compounds 3a and 3c induced apoptosis in HL-60 cells comparable to WIN-55,212-2. Computational studies suggested that both compounds bind within the CB2 receptor active site predominantly through π–π and hydrophobic interactions involving their benzo [d]imidazole cores, 2-aryl moieties, and 4-methoxybenzoyl scaffolds, resembling the binding patterns of established CB2 ligands. Conclusions: Compounds 3a and 3c exert selective cytotoxicity against HL-60 cells, likely via a CB2 agonist-mediated apoptotic mechanism. The applied combined experimental and computational approach provides a rapid, informative strategy for preliminary evaluation of CB2 ligands and guides subsequent detailed pharmacological studies. Full article
(This article belongs to the Section Medicinal Chemistry)
Show Figures

Graphical abstract

19 pages, 4823 KB  
Article
From Bench to Bioactivity: An Integrated Medicinal Development Based on Kinetic and Simulation Assessment of Pyrazolone-Oxadiazole Coupled Benzamide as Promising Inhibitors of Diabetes Mellitus
by Manal M. Khowdiary and Shifa Felemban
Pharmaceuticals 2025, 18(11), 1595; https://doi.org/10.3390/ph18111595 - 22 Oct 2025
Viewed by 267
Abstract
Background: In this research work, novel pyrazolone-derived oxadiazole-based benzamide derivatives (1–10) were synthesized through unique and facile synthetic routes. Introduction: These scaffolds were designed to be therapeutically more effective and have fewer side effects. Methods: To confirm the structure of analogs [...] Read more.
Background: In this research work, novel pyrazolone-derived oxadiazole-based benzamide derivatives (1–10) were synthesized through unique and facile synthetic routes. Introduction: These scaffolds were designed to be therapeutically more effective and have fewer side effects. Methods: To confirm the structure of analogs in detail, we employed 1HNMR, 13CNMR, and HREI-MS spectroscopy. The potential of all derivatives was tested by screening them against alpha-amylase and alpha-glucosidase in comparison with reference anti-diabetic drug acarbose (4.50 ± 0.20 µM and 4.90 ± 0.30 µM). Results & Discussion: Among all tested analogs and standard drugs, derivative 3 proved to be the most promising candidate. It exhibited the most powerful inhibitory effect (IC50 = 3.20 ± 0.20 µM and 3.60 ± 0.10 µM). To further investigate its activity, the experimental results were supported by in silico investigations. Molecular docking demonstrated strong and viable interactions between enzymes and the most potent compound. DFT calculations validated the electronic configuration, stability, and reactivity of lead molecules. Furthermore, the ADMET profile predicted the favorable drug likeness properties and low toxicity. The results of docking were further confirmed via molecular dynamics analysis, whereas the pharmacophore model of analog 3 supports the formation of a stable hydrogen bond network of derivatives with the receptor site of the enzyme. Conclusions: Collectively in silico and in vitro results underscore the therapeutic potential of these derivatives for the effective treatment of diabetes in the future. Full article
(This article belongs to the Section Medicinal Chemistry)
Show Figures

Figure 1

33 pages, 3225 KB  
Article
Discovery of N-Hydroxypyridinedione-Based Inhibitors of HBV RNase H: Design, Synthesis, and Extended SAR Studies
by Dea Chotzalli, Vasiliki Pardali, Holly M. Walden, Dimitrios Perivolaris, Dimitrios Moianos, Maria Makri, Antonios Drakopoulos, Erofili Giannakopoulou, Razia Tajwar, Molly E. Woodson, John E. Tavis and Grigoris Zoidis
Int. J. Mol. Sci. 2025, 26(20), 10239; https://doi.org/10.3390/ijms262010239 - 21 Oct 2025
Viewed by 433
Abstract
Hepatitis B Virus (HBV) continues to pose a significant global health challenge, with over 254 million chronic infections and current therapies being non-curative, necessitating lifelong treatment. The HBV ribonuclease H (RNase H) is essential during HBV reverse transcription by cleaving the viral pregenomic [...] Read more.
Hepatitis B Virus (HBV) continues to pose a significant global health challenge, with over 254 million chronic infections and current therapies being non-curative, necessitating lifelong treatment. The HBV ribonuclease H (RNase H) is essential during HBV reverse transcription by cleaving the viral pregenomic RNA after it has been copied into the (−) polarity DNA strand, enabling the viral polymerase to synthesize the (+) DNA strand. Although RNase H inhibition terminates viral replication and thus viral infectiveness, its targeting as an HBV treatment is unexploited. Its catalytic site contains four carboxylates that bind to two Mg2+ ions essential for RNA hydrolysis. As part of our ongoing research on RNase H inhibitors, we developed 23 novel N-hydroxypyridinedione (HPD) analogues. Specifically, 17 HPD imines, 4 HPD oximes, 1 2,6-diamino-4-((substituted)oxy)pyrimidine 1-oxide derivative, and 1 barbituric acid analogue were designed, synthesized, and tested for their anti-HBV activity. The HPD derivatives could be docked in the RNase H active site to coordinate the two Mg2+ ions and effectively inhibited viral replication in cellular assays. The 50% effective concentration (EC50) values of these HPD compounds ranged from 0.5 to 73 μM, while the 50% cytotoxic concentration (CC50) values ranged from 15 to 100 μM, resulting in selectivity indexes (SIs) up to 112. Furthermore, the novel HPD derivatives exhibited favourable pharmacokinetic-relevant characteristics, including high cellular permeability, good aqueous solubility, and overall drug-like properties. These findings indicate that HPD imines and oximes possess substantial antiviral potency and selectivity against HBV, underscoring the potential of the HPD scaffold as a promising framework for the development of next-generation anti-HBV agents. Full article
Show Figures

Graphical abstract

26 pages, 3991 KB  
Article
Unraveling the Antihyperglycemic Effects of Dipeptyl Peptidase-4 Inhibitors in Rodents: A Multi-Faceted Approach Combining Effects on Glucose Homeostasis, Molecular Docking, and ADMET Profiling
by Raquel N. S. Roriz, Claudia J. P. Cardozo, Gabriela A. Freire, Caio B. R. Martins, Raimundo Rigoberto B. X. Filho, Landerson Lopes Pereira, Gisele F. P. Rangel, Tiago L. Sampaio, Lyanna R. Ribeiro, Gisele Silvestre Silva, Isabelle Maia, Deysi Viviana Tenazoa Wong, Daniele O. B. Sousa, Ariclécio Cunha de Oliveira, Eduardo Reina, Lidia Moreira Lima, Walter Peláez, Matheus Nunes da Rocha, Márcia Machado Marinho, Hélcio Silva dos Santos, Emmanuel Silva Marinho, Jane Eire Silva Alencar de Menezes, Fátima Regina Mena Barreto Silva, Kirley Marques Canuto, Nylane M. N. Alencar and Marisa Jadna Silva Fredericoadd Show full author list remove Hide full author list
Pharmaceuticals 2025, 18(10), 1589; https://doi.org/10.3390/ph18101589 - 21 Oct 2025
Viewed by 375
Abstract
Background/Objectives: Dipeptidyl peptidase-4 (DPP-4) inhibitors are antidiabetic agents that regulate blood glucose by preventing the degradation of active incretin hormones. Although clinically effective, this drug class is associated with adverse effects, creating the need for new molecular scaffolds with improved safety and efficacy. [...] Read more.
Background/Objectives: Dipeptidyl peptidase-4 (DPP-4) inhibitors are antidiabetic agents that regulate blood glucose by preventing the degradation of active incretin hormones. Although clinically effective, this drug class is associated with adverse effects, creating the need for new molecular scaffolds with improved safety and efficacy. Methods: We evaluated the antihyperglycemic activity of β-aminohydrazine and β-amino-N-acylhydrazone derivatives (LASSBio-2123, 2125, 2129, and 2130) using a combined in vivo and in silico approach. Male C57BL/6 mice underwent glucose tolerance tests (GTT) and dexamethasone-induced insulin resistance protocols. Hepatic and skeletal muscle glycogen levels, as well as GLUT4 mRNA expression, were quantified. In silico studies included ADMET predictions and molecular docking analyses against aldose reductase and glucokinase enzymes. MTT was performed on the pancreatic cell line MIN6 (Mus musculus). Results: Among the compounds tested, LASSBio-2129 demonstrated the most promising profile, with favorable ADMET parameters, metabolic stability, and high docking affinity for aldose reductase and glucokinase. In vivo, LASSBio-2129 (10 mg/kg, i.p.) reduced blood glucose, increased hepatic and muscle glycogen storage, and upregulated GLUT4 mRNA expression in skeletal muscle. Additionally, LASSBio-2129 improved insulin sensitivity in the dexamethasone-induced insulin resistance model, with effects comparable to sitagliptin. Conclusions: The combined pharmacological, docking, and ADMET analyses identified LASSBio-2129 as aldose reductase inhibitor candidate and glucokinase activator. Its ability to improve glucose tolerance, enhance glycogen storage, and increase GLUT4 expression highlights its potential as a promising molecule for the treatment of type 2 diabetes mellitus. Full article
Show Figures

Graphical abstract

7 pages, 1031 KB  
Short Note
2-Benzyl-6-carboxy-5,6,7,8-tetrahydroimidazo[1,2-a]pyrimidin-1-ium 2,2,2-trifluoroacetate
by Francesco Bavo, Christos Avgerinos, Elena Martino and Bente Frølund
Molbank 2025, 2025(4), M2077; https://doi.org/10.3390/M2077 - 20 Oct 2025
Viewed by 210
Abstract
Cyclic guanidines are valuable scaffolds for the design of compounds acting on GABAergic neurotransmission, owing to their ability to mimic the amino functionality of GABA as bioisosteres. With the aim to obtain a more potent and selective betaine/GABA transporter (BGT1) inhibitor, a basic [...] Read more.
Cyclic guanidines are valuable scaffolds for the design of compounds acting on GABAergic neurotransmission, owing to their ability to mimic the amino functionality of GABA as bioisosteres. With the aim to obtain a more potent and selective betaine/GABA transporter (BGT1) inhibitor, a basic hydrolysis of ethyl (E)-2-(acetylimino)-1-(3-phenylprop-2-yn-1-yl)hexahydropyrimidine-5-carboxylate was attempted. However, we isolated a byproduct, which was identified as the trifluoroacetate salt of 2-benzyl-5,6,7,8-tetrahydroimidazo[1,2-a]pyrimidine-6-carboxylic acid. The structure was confirmed by NMR spectroscopy and LC-MS. Herein we report the preparation, characterization, and spectral data of this fused heterocyclic compound. Full article
(This article belongs to the Collection Molecules from Side Reactions)
Show Figures

Figure 1

Back to TopTop