Sign in to use this feature.

Years

Between: -

Subjects

remove_circle_outline
remove_circle_outline
remove_circle_outline
remove_circle_outline
remove_circle_outline
remove_circle_outline
remove_circle_outline
remove_circle_outline
remove_circle_outline

Journals

remove_circle_outline
remove_circle_outline
remove_circle_outline
remove_circle_outline
remove_circle_outline
remove_circle_outline
remove_circle_outline
remove_circle_outline
remove_circle_outline
remove_circle_outline
remove_circle_outline
remove_circle_outline
remove_circle_outline
remove_circle_outline
remove_circle_outline
remove_circle_outline

Article Types

Countries / Regions

remove_circle_outline
remove_circle_outline
remove_circle_outline
remove_circle_outline

Search Results (931)

Search Parameters:
Keywords = clinical nutrition management

Order results
Result details
Results per page
Select all
Export citation of selected articles as:
18 pages, 2270 KB  
Article
Knowledge Levels and Learning Needs in Dysphagia Management: Perspectives from Professional and Non-Professional Stakeholders in Five European Countries
by Sara Remón, Ana Ferrer-Mairal, Vijolė Bradauskienė, Ana Cristina Cortés and Teresa Sanclemente
Healthcare 2025, 13(23), 3140; https://doi.org/10.3390/healthcare13233140 - 2 Dec 2025
Abstract
Background/Objectives: Dysphagia represents a significant global health concern with particularly high prevalence in specific clinical conditions, yet educational gaps persist among healthcare professionals and caregivers. This observational, cross-sectional quantitative study aimed to provide a comprehensive overview of the current self-perceived knowledge and learning [...] Read more.
Background/Objectives: Dysphagia represents a significant global health concern with particularly high prevalence in specific clinical conditions, yet educational gaps persist among healthcare professionals and caregivers. This observational, cross-sectional quantitative study aimed to provide a comprehensive overview of the current self-perceived knowledge and learning needs among stakeholders involved in dysphagia management. Methods: An international online survey was conducted in five European countries (Greece, Italy, Lithuania, Spain, and Turkey) with 463 participants: 297 professionals (healthcare and non-health specialists, educators, students) and 166 non-professionals (patients, family members, caregivers, interested individuals). Two structured questionnaires explored self-perceived knowledge, learning needs, relevancy of thematic areas, and preferred learning methods. Chi-square and Fisher’s exact tests were used for statistical comparisons. Results: Professionals reported higher self-perceived knowledge than non-professionals (p < 0.001), yet both groups expressed comparable needs for further education. Priority learning areas varied by respondent profile: “Identification & Treatment” was prioritized by both speech-language pathologists and healthcare specialists, as well as by non-professionals, while dietitian-nutritionists focused on “Diet & Nutrition” and “Food Preparation”. Short-duration courses and visual, hands-on learning tools were preferred across groups. Conclusions: This study highlights a broad demand for dysphagia education among professionals and non-professionals. Tailored, technology-enhanced learning programs could bridge existing knowledge gaps, strengthen multidisciplinary collaboration, and support better daily management of dysphagia. Full article
Show Figures

Figure 1

37 pages, 1592 KB  
Review
Nutritional Approaches to Enhance GLP-1 Analogue Therapy in Obesity: A Narrative Review
by Denise Deo Dias, Andrea Rodrigues Vasconcelos, Ana Carolina Remondi Souza, Caroline de Menezes, Isabella Sobral Teixeira e Silva and José João Name
Obesities 2025, 5(4), 88; https://doi.org/10.3390/obesities5040088 (registering DOI) - 2 Dec 2025
Abstract
Glucagon-like peptide-1 receptor agonists (GLP-1RAs) are highly effective in the management of obesity; however, their efficacy and tolerability may be further optimized through complementary nutritional strategies. Such interventions may address key challenges associated with GLP-1RA therapy, including gastrointestinal adverse effects, lean mass loss, [...] Read more.
Glucagon-like peptide-1 receptor agonists (GLP-1RAs) are highly effective in the management of obesity; however, their efficacy and tolerability may be further optimized through complementary nutritional strategies. Such interventions may address key challenges associated with GLP-1RA therapy, including gastrointestinal adverse effects, lean mass loss, and reduced long-term adherence leading to weight regain. Evidence from preclinical and clinical studies indicates that omega-3 polyunsaturated fatty acids may enhance the metabolic benefits of GLP-1RAs and attenuate lean mass loss, primarily via anti-inflammatory pathways and modulation of protein synthesis. Synergistic effects have also been reported with other bioactive compounds—such as flavonoids and anthocyanins, which improve metabolic outcomes; probiotics and prebiotics, which may alleviate gastrointestinal intolerance; and high-quality protein sources, which support body composition preservation. Collectively, these findings suggest that nutritional adjuncts may complement GLP-1RA therapies through convergent physiological mechanisms, including the regulation of inflammation, gut microbiome composition, and cellular metabolism. While current data highlight the promise of integrated pharmaco-nutritional strategies as adjuncts to GLP-1-based obesity therapy, further randomized controlled trials are needed to establish the most effective interventions and protocols. Full article
Show Figures

Figure 1

39 pages, 1170 KB  
Review
Bridging Distance, Delivering Care: Pediatric Tele-Nutrition in the Digital Health Era—A Narrative Review
by Motti Haimi and Liron Inchi
Healthcare 2025, 13(23), 3107; https://doi.org/10.3390/healthcare13233107 - 28 Nov 2025
Viewed by 149
Abstract
Background: The emergence of telehealth has transformed healthcare delivery across multiple disciplines, with tele-nutrition representing a rapidly evolving field that addresses nutritional assessment, counseling, and management through digital platforms. Objective: This narrative review examines the current landscape of pediatric tele-nutrition services, exploring technological [...] Read more.
Background: The emergence of telehealth has transformed healthcare delivery across multiple disciplines, with tele-nutrition representing a rapidly evolving field that addresses nutritional assessment, counseling, and management through digital platforms. Objective: This narrative review examines the current landscape of pediatric tele-nutrition services, exploring technological platforms, clinical applications, evidence for effectiveness, implementation considerations, and future directions. Methods: A comprehensive literature search was conducted across PubMed, CINAHL, Embase, and Web of Science databases from January 2010 to October 2025. A total of 114 relevant sources were selected, encompassing randomized controlled trials, observational studies, systematic reviews, implementation studies, clinical guidelines, and policy documents. Results: This review synthesized 114 sources, predominantly from the United States (54%) and European nations (21%), with evidence expansion accelerating post-COVID-19 pandemic. Evidence suggests pediatric tele-nutrition demonstrates clinical outcomes comparable to traditional in-person care across diverse populations including obesity management, diabetes, gastrointestinal disorders, feeding difficulties, metabolic conditions, and preventive nutrition services. Multiple technology platforms are utilized, with synchronous video consultations most common (60–85% of encounters). Benefits include enhanced access to specialized care, increased frequency of contact, reduced family burden, and high satisfaction rates (>80% across most studies). Challenges include limitations in physical assessment, digital equity concerns affecting vulnerable populations, variable reimbursement policies, and the need for provider training. Hybrid models combining virtual and in-person care appear optimal for many conditions. Conclusions: Pediatric tele-nutrition represents a viable and effective care delivery model with particular advantages for families facing geographic, logistic, or access barriers. Continued attention to digital equity, provider training, regulatory frameworks, sustainable reimbursement policies, and rigorous evidence generation will optimize implementation and outcomes. Future directions include artificial intelligence applications, precision nutrition approaches, and expanded global health applications. Full article
(This article belongs to the Special Issue Telemedicine and eHealth Applications in the Pediatric Population)
Show Figures

Figure 1

11 pages, 228 KB  
Article
The Relationship Between Controlling Nutritional Status Score and Physical Function and Dependency Level in Stroke Patients
by Sedef Ersoy, Nurdan Paker, Büşra Şirin Ahısha, Eser Kalaoğlu and Nur Kesiktaş
Nutrients 2025, 17(23), 3734; https://doi.org/10.3390/nu17233734 - 28 Nov 2025
Viewed by 80
Abstract
Objective: This study aimed to investigate the relationship between nutritional status, assessed by the Controlling Nutritional Status (CONUT) score, and functional recovery in patients with stroke undergoing inpatient rehabilitation. Methods: A total of 113 patients diagnosed with stroke were included in this observational [...] Read more.
Objective: This study aimed to investigate the relationship between nutritional status, assessed by the Controlling Nutritional Status (CONUT) score, and functional recovery in patients with stroke undergoing inpatient rehabilitation. Methods: A total of 113 patients diagnosed with stroke were included in this observational study. Nutritional status was evaluated using the CONUT score, and functional independence and baseline disability were assessed with the Modified Barthel Index (mBI) and the Modified Rankin Scale (mRS) at admission. Functional independence was reassessed with the mBI at discharge. Patients were divided into four groups based on their CONUT score: normal, mild, moderate, and severe malnutrition risk. Results: According to CONUT classification, 37.2% of patients were normal, 46.0% were at mild, 13.3% at moderate, and 3.5% at severe risk of malnutrition. A weak positive correlation was found between CONUT score and age (r = 0.186, p = 0.049). CONUT score was negatively correlated with vitamin D (r = –0.212, p = 0.024), albumin (r = –0.636, p < 0.001), total protein (r = –0.387, p < 0.001), LDL (r = –0.445, p < 0.001), and total cholesterol (r = –0.444, p < 0.001). Within-group comparisons showed significant improvement in mBI scores from admission to discharge in the normal (p < 0.001), mild (p < 0.001), and moderate (p = 0.024) groups, but not in the severe malnutrition group (p = 0.317). Conclusions: Although no statistically significant association was found between the CONUT score and mBI outcomes, patients with better nutritional status showed a clinical trend toward greater functional improvement during rehabilitation, whereas those with severe malnutrition demonstrated limited gains. These findings should be interpreted cautiously due to the very small number of patients in the severe malnutrition group. Early screening and appropriate nutritional management using objective tools such as the CONUT score may still support rehabilitation planning in stroke patients. Full article
(This article belongs to the Section Clinical Nutrition)
13 pages, 1705 KB  
Article
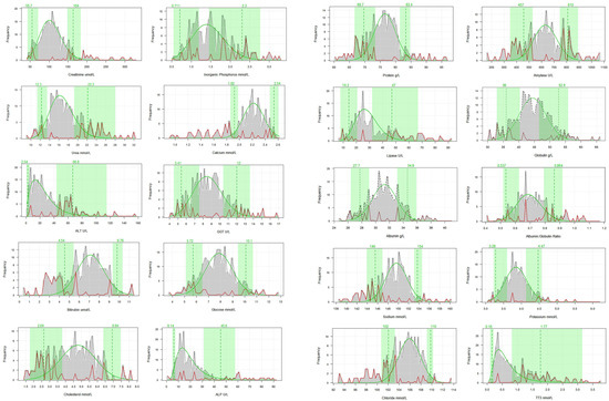
Clinical Chemistry Reference Intervals for Health Assessment in Wild Adult Harbour Seals
by Ailsa J. Hall, Debbie J. F. Russell, Paul M. Thompson, Ryan Milne, Simon E. Moss, Holly C. Armstrong and Joanna L. Kershaw
Animals 2025, 15(23), 3429; https://doi.org/10.3390/ani15233429 - 27 Nov 2025
Viewed by 132
Abstract
Reference intervals for clinical chemistry blood parameters are valuable for both individual diagnostics for animals in managed or veterinary care, and for evaluating wild population health. However, for marine mammals obtaining sufficient data from suitable groups or populations is logistically difficult. Here, we [...] Read more.
Reference intervals for clinical chemistry blood parameters are valuable for both individual diagnostics for animals in managed or veterinary care, and for evaluating wild population health. However, for marine mammals obtaining sufficient data from suitable groups or populations is logistically difficult. Here, we have assembled a large dataset of clinical chemistry results from free-living adult UK harbour seals (Phoca vitulina), analysed in the same commercial laboratory. We applied an open-source algorithm (available as the R package refineR, R version 4.5.2, refineR version 2.0.0) to produce robust reference intervals from these Real-World Data. This novel approach resulted in the generation of 95% reference intervals with 90% confidence bounds for 18 key chemistry parameters indicative of a range of physiological processes including, inflammation, nutritional status, kidney function and liver function. Reference intervals were also generated for triiodothyronine, the active thyroid hormone important in the regulation of metabolism. These intervals will provide critical baseline data for the assessment of harbour seal health as, to our knowledge, this is the largest dataset on which clinical chemistry reference intervals from wild-caught adult harbour seals have been based. Full article
(This article belongs to the Section Aquatic Animals)
Show Figures

Figure 1

23 pages, 3351 KB  
Review
Molecular Triggers of Yeast Pathogenicity in the Yeast–Host Interactions
by Ortansa Csutak and Viorica Maria Corbu
Curr. Issues Mol. Biol. 2025, 47(12), 992; https://doi.org/10.3390/cimb47120992 - 27 Nov 2025
Viewed by 56
Abstract
Candida and other pathogenic yeast species, able to transition from non-invasive commensal organisms to invasive pathogens, are characterized by a high ability to adapt to stress conditions encountered in the human host, such as pH and temperature shifts, CO2 and oxygen level [...] Read more.
Candida and other pathogenic yeast species, able to transition from non-invasive commensal organisms to invasive pathogens, are characterized by a high ability to adapt to stress conditions encountered in the human host, such as pH and temperature shifts, CO2 and oxygen level variations, and nutritional limitations. Although Candida albicans remains the main cause of Candida-related infections, non-albicans Candida (NAC) species, including C. tropicalis, C. parapsilosis, C. krusei, and non-Candida species such as Yarrowia lipolytica, Candidozyma auris, and Nakaseomyces glabratus, are gaining clinical importance. These species exhibit diverse mechanisms of pathogenicity, including morphological transition, modulation of gene expression pathways (cAMP-PKA/MAPK, Hsp, calcineurin, GlcNAc-mediated signaling), cell wall remodeling, post-translational reprogramming, biofilm formation, antifungal resistance, and enzyme secretion. C. albicans exhibits high morphological and metabolic plasticity for survival across body niches. N. glabratus and C. tropicalis show strong azole resistance and biofilm formation, while C. parapsilosis and C. krusei pose risks through surface adhesion and treatment resistance. C. auris stands out for heat tolerance, multidrug resistance, and outbreak potential. Y. lipolytica, though rare, forms persistent filamentous biofilms in critical care settings. Cryptococcus neoformans remains a life-threatening pathogen capable of immune evasion and crossing the blood–brain barrier. This review compares molecular mechanisms of pathogenicity across these fungi, emphasizing environmental adaptation, conserved and species-specific responses, and potentially highlighting targets for therapeutic management. Full article
(This article belongs to the Collection Feature Papers in Current Issues in Molecular Biology)
Show Figures

Graphical abstract

14 pages, 751 KB  
Review
From ARFID to Binge Eating: A Review of the Sensory, Behavioral, and Gut–Brain Axis Mechanisms Driving Co-Occurring Eating Disorders in Children and Adolescents with Autism Spectrum Disorder
by Marta Kopańska, Izabela Łucka, Maria Siegel, Julia Trojniak and Maria Pąchalska
Nutrients 2025, 17(23), 3714; https://doi.org/10.3390/nu17233714 - 26 Nov 2025
Viewed by 76
Abstract
Background: Autism spectrum disorder (ASD) constitutes a heterogeneous neurodevelopmental condition frequently accompanied by considerable disturbances in feeding behavior and nutritional balance. These difficulties arise from complex and multifactorial mechanisms, exerting a significant impact on physical health, metabolic homeostasis, and psychosocial functioning. The present [...] Read more.
Background: Autism spectrum disorder (ASD) constitutes a heterogeneous neurodevelopmental condition frequently accompanied by considerable disturbances in feeding behavior and nutritional balance. These difficulties arise from complex and multifactorial mechanisms, exerting a significant impact on physical health, metabolic homeostasis, and psychosocial functioning. The present review aims to provide a critical synthesis of current evidence regarding the underlying biological and behavioral mechanisms of feeding difficulties in ASD and to delineate the spectrum of comorbid eating disorders within this population. Methods: A narrative review of the peer-reviewed scientific literature was undertaken, emphasizing studies investigating the interrelationship between ASD and nutritional functioning in pediatric and adolescent populations. Particular focus was placed on research exploring sensory processing abnormalities, gut microbiota alterations, and the clinical manifestation of eating disorders in individuals with ASD. Results: The analysis revealed that sensory hypersensitivity, behavioral inflexibility, and disturbances within the gut–brain axis constitute principal determinants of atypical eating patterns in ASD. Individuals on the autism spectrum frequently exhibit pronounced food selectivity, neophobia, and symptoms consistent with Avoidant/Restrictive Food Intake Disorder (ARFID). Furthermore, an increased prevalence of anorexia nervosa and orthorexia nervosa has been documented, likely reflecting shared cognitive and behavioral features with ASD. “Emotional eating” tendencies and a marked preference for high-caloric, energy-dense foods—often potentiated by psychopharmacological treatment and reduced physical activity—further contribute to an elevated risk of overweight and obesity. Conclusions: Children and adolescents with ASD display a bimodal distribution of body mass, encompassing both undernutrition and obesity, indicative of a multifaceted interplay among sensory, behavioral, cognitive, and metabolic determinants. A comprehensive understanding of this heterogeneity is crucial for the development of individualized, evidence-based interventions integrating nutritional management with behavioral and psychotherapeutic approaches. Full article
Show Figures

Graphical abstract

19 pages, 703 KB  
Review
Stroke Management in the Intensive Care Unit: Ischemic and Hemorrhagic Stroke Care
by Aleksandar Sič, Vasilis-Spyridon Tseriotis, Božidar Belanović, Marko Nemet and Marko Baralić
NeuroSci 2025, 6(4), 121; https://doi.org/10.3390/neurosci6040121 - 26 Nov 2025
Viewed by 341
Abstract
Stroke is the second-largest cause of death and disability worldwide, and many patients require intensive care for airway compromise, hemodynamic instability, cerebral edema, or systemic complications. This review summarizes key aspects of ICU management in both acute ischemic stroke (AIS) and hemorrhagic stroke [...] Read more.
Stroke is the second-largest cause of death and disability worldwide, and many patients require intensive care for airway compromise, hemodynamic instability, cerebral edema, or systemic complications. This review summarizes key aspects of ICU management in both acute ischemic stroke (AIS) and hemorrhagic stroke (HS). Priorities are airway protection, oxygenation, individualized blood pressure targets, and strict control of temperature and glucose. Neurological monitoring and prompt management of intracranial pressure (ICP), together with timely surgical interventions (hemicraniectomy or hematoma evacuation), are central to acute care. Seizures are treated promptly, while routine prophylaxis is not recommended. Prevention of aspiration pneumonia, venous thromboembolism, infections, and other intensive care unit (ICU) complications is essential, along with early nutrition, mobilization, and rehabilitation. Prognosis and decisions about intensity of care require shared discussions with families and involvement of palliative services, when appropriate. Many practices remain based on observational data or extrapolation from other populations, underlining the need for stroke-specific clinical trials. Outcomes are consistently better when patients are managed in specialized stroke or neurocritical care units with a multidisciplinary treatment approach Full article
Show Figures

Graphical abstract

19 pages, 5980 KB  
Review
A Proposed Framework for Nutritional Assessment in Compromised Ruminants
by Kiro Risto Petrovski, Roy Neville Kirkwood, Saulo Teixeira Rodrigues de Almeida and Mariana Caetano
Ruminants 2025, 5(4), 57; https://doi.org/10.3390/ruminants5040057 - 24 Nov 2025
Viewed by 149
Abstract
Despite the critical importance of nutritional assessment in veterinary medicine, internationally recognized guidelines for compromised ruminants remain absent. This paper addresses this significant gap by presenting comprehensive nutritional assessment protocols adapted from small animal and equine guidelines, combined with clinical experience and ruminant-specific [...] Read more.
Despite the critical importance of nutritional assessment in veterinary medicine, internationally recognized guidelines for compromised ruminants remain absent. This paper addresses this significant gap by presenting comprehensive nutritional assessment protocols adapted from small animal and equine guidelines, combined with clinical experience and ruminant-specific considerations. Therefore, the objective of this article is to establish standardized nutritional assessment guidelines for compromised ruminants that facilitate early detection of risk factors and nutritional imbalances affecting animal welfare and productivity, while guiding appropriate clinical nutritional interventions. The guidelines integrate systematic screening and extended evaluation protocols encompassing patient signalment, comprehensive health interviews, environmental examination, and nutrition-focused clinical assessments. The framework incorporates validated scoring systems including body condition scoring, fecal consistency and digestibility scores, rumen fill assessment, and muscle scoring. Laboratory evaluations including blood biochemistry, hematology, milk quality records, and metabolite profiling support clinical decision-making. The proposed assessment framework addresses animal-specific factors, diet-related considerations, feeding management practices, and environmental influences on nutritional status. Critical evaluation points include alimentary system function and integrity, forestomach assessment, and detection of malabsorption syndromes. The guidelines emphasize that many nutritional abnormalities manifest non-specifically, and detection limitations exist, particularly in peracute presentations. In conclusion, successful clinical nutritional interventions require comprehensive assessment protocols that prioritize rumen health maintenance and oral diet delivery whenever possible. The guidelines we suggest will provide veterinary and nutritional practitioners with systematic tools for evaluating compromised ruminants, establishing appropriate interventions, and monitoring outcomes using SMART goals. Further research is warranted to refine specific dietary requirements for compromised ruminants and validate intervention protocols across diverse production systems. Full article
Show Figures

Figure 1

12 pages, 1161 KB  
Case Report
Extreme Fluid Accumulation Syndrome or Compartmental Balance Disorder? A Sepsis-Associated Acute Kidney Injury Case Report and Literature Review
by Michael Cieza Terrones, Celia Rodríguez Tudero, Avinash Chandu Nanwani, Elena Jiménez Mayor, Marco Dominguez Davalos, José C. De La Flor, Misael Cieza Armas, Gregorio Romero-González and Jonathan S. Chávez-Iñiguez
J. Clin. Med. 2025, 14(23), 8310; https://doi.org/10.3390/jcm14238310 - 22 Nov 2025
Viewed by 405
Abstract
Background: Fluid accumulation syndrome (FAS) is a well-recognized predictor of adverse outcomes in critically ill patients, particularly in the context of sepsis and cardiorenal syndrome. However, extreme cases of fluid accumulation exceeding 60 L are rare and poorly described. We report a unique [...] Read more.
Background: Fluid accumulation syndrome (FAS) is a well-recognized predictor of adverse outcomes in critically ill patients, particularly in the context of sepsis and cardiorenal syndrome. However, extreme cases of fluid accumulation exceeding 60 L are rare and poorly described. We report a unique case of severe, multifactorial congestion and discuss the diagnostic and therapeutic challenges, including the role of bedside ultrasound and venous congestion assessment, as well as the importance of bioelectric impedance analysis (BIA) for patient monitoring and follow-up. Case Presentation: We describe the clinical course of a 51-year-old male with dilated cardiomyopathy and infectious endocarditis who underwent tricuspid valve surgery complicated by cardiogenic and septic shock. The patient developed progressive congestion despite maximal medical management. Serial BIA and venous excess ultrasound (VExUS) assessments were used to monitor venous congestion and guide renal replacement therapy (RRT). A targeted literature review was performed to contextualize this case within current evidence on FAS and Compartment Balance Disorder in Intensive Care Units (CBD-ICUs). Results: The patient accumulated over 68 L of positive fluid balance due to prolonged vasopressor support, multiorgan failure, nutritional and infectious complications. Continuous and then intermittent hemodiafiltration, guided by point-of-care ultrasound and BIA, allowed gradual decongestion. Renal function recovered, and ventilator support was weaned after 120 days in intensive care. The literature review highlighted the prognostic relevance of FAS and emerging tools such as BIA and VExUS for individualized fluid management. Conclusions: Extreme FAS may reflect a failure of systemic and compartmental fluid regulation in critically ill patients (CBD-ICU). VExUS-guided decongestion, BIA and early RRT may improve outcomes in complex scenarios of overlapping cardiorenal and septic syndromes. Full article
(This article belongs to the Section Nephrology & Urology)
Show Figures

Figure 1

12 pages, 473 KB  
Review
Advances in Non-Pharmacological Strategies for DOMS: A Scoping and Critical Review of Recent Evidence
by Luigi Di Lorenzo, Alfonso Maria Forte, Valeria Agosti, Francesco Forte, Tiziana Lanciano, Nicola Pirraglia and Carmine D’Avanzo
J. Funct. Morphol. Kinesiol. 2025, 10(4), 452; https://doi.org/10.3390/jfmk10040452 - 20 Nov 2025
Viewed by 758
Abstract
Background: Delayed Onset Muscle Soreness (DOMS) is a transient, exercise-induced condition characterized by muscle pain, stiffness, and functional impairment, particularly following eccentric or high-intensity physical activity. Recent advances in diagnostic imaging, neurophysiology, and therapeutic techniques have led to a reassessment of DOMS [...] Read more.
Background: Delayed Onset Muscle Soreness (DOMS) is a transient, exercise-induced condition characterized by muscle pain, stiffness, and functional impairment, particularly following eccentric or high-intensity physical activity. Recent advances in diagnostic imaging, neurophysiology, and therapeutic techniques have led to a reassessment of DOMS pathophysiology and management. Objective: This scoping review aims to critically evaluate non-pharmacological strategies for DOMS management, focusing on clinical studies published between 2020 and 2025. Emphasis is placed on physical, thermal, neurophysiological, and nutritional interventions in athletic populations. Methods: A comprehensive literature search was conducted using PubMed, Scopus, and Web of Science. Included studies were randomized controlled trials, systematic reviews, meta-analyses, and high-quality scoping reviews. Methodological quality was assessed using PEDro, AMSTAR 2, and ROBIS tools. Key outcome measures included pain (VAS), functional recovery (ROM, performance), biochemical markers (CK, IL-6), and neuromuscular activation (iEMG). Results: Twenty-five studies met the inclusion criteria. Emerging strategies such as cryosauna, vibration therapy, percussive massage, and polyphenol supplementation demonstrated significant benefits in reducing DOMS-related symptoms and enhancing recovery. Evidence supports the integration of multimodal, personalized interventions over monotherapies. Imaging techniques (7T MRI, ultrasound) confirmed microstructural muscle changes consistent with DOMS, strengthening diagnostic precision. Conclusions: Non-pharmacological approaches to DOMS have evolved considerably, highlighting the importance of combining mechanical, thermal, and nutritional modalities. Personalized, multimodal recovery strategies appear most effective for symptom relief and performance restoration. Future studies should aim to standardize treatment protocols and outcome measures to improve clinical applicability. Full article
(This article belongs to the Section Functional Anatomy and Musculoskeletal System)
Show Figures

Figure 1

13 pages, 425 KB  
Review
Targeted Neonatal Echocardiography in Bronchopulmonary Dysplasia: A Framework for Screening and Management of Chronic Pulmonary Hypertension
by Audrey Hébert, Andréanne Villeneuve, Anie Lapointe, Christine Drolet, Nina Nouraeyan, Brahim Bensouda, Carolina Michel-Macias, Laila Wazneh, Marco Zeid, Floriane Brief and Gabriel Altit
J. Clin. Med. 2025, 14(22), 8161; https://doi.org/10.3390/jcm14228161 - 18 Nov 2025
Viewed by 557
Abstract
Chronic pulmonary hypertension (cPH) associated with bronchopulmonary dysplasia (BPD) is a major contributor to morbidity and mortality in extremely preterm infants. Despite improvements in neonatal care, the burden of BPD and its pulmonary vascular complications remains significant. Early detection and standardized management of [...] Read more.
Chronic pulmonary hypertension (cPH) associated with bronchopulmonary dysplasia (BPD) is a major contributor to morbidity and mortality in extremely preterm infants. Despite improvements in neonatal care, the burden of BPD and its pulmonary vascular complications remains significant. Early detection and standardized management of cPH are essential to improve outcomes. Echocardiography plays a central role in screening and guiding treatment, particularly in high-risk infants requiring respiratory support at or beyond 36 weeks postmenstrual age. The Targeted Neonatal Echocardiography—Quebec (TnECHO-Qc) collaborative has developed a province-wide screening and management algorithm for cPH in preterm infants with BPD. This initiative outlines a stepwise approach to echocardiographic evaluation, including specific criteria for identifying elevated pulmonary arterial pressures, grading severity, and scheduling follow-up based on clinical and imaging findings. Additional management elements encompass biomarker use, respiratory and nutritional optimization, and consideration of airway anomalies, reflux, and aspiration. Pharmacologic therapies, including inhaled nitric oxide and pulmonary vasodilators, are considered for moderate to severe cPH with a pre-capillary component (“pulmonary arterial hypertension”) after stabilization of ventilation and oxygenation, and guided by echocardiography follow-up. This collaborative initiative establishes a standardized, multidisciplinary framework to enable timely recognition and individualized management of chronic pulmonary hypertension (cPH) in preterm infants. The primary goal is to reduce adverse outcomes and support long-term health, with the effectiveness of the framework to be evaluated through longitudinal outcome assessments. Full article
Show Figures

Figure 1

16 pages, 726 KB  
Article
Parenteral Nutrition in Patients with Incurable Cancer: Exploring the Heterogenous and Non-Randomised Clinical Landscape
by Marianne Erichsen, Tora S. Solheim, Inger Ottestad, Ingvild Paur, Rikka F. Sande, Astrid Nygaard, Emilie H. Markhus, Lene Thoresen, Morten Thronæs, Randi J. Tangvik, Kari Sygnestveit, Patrik Hansson, Cathrine Vestnor, Gunnhild Jakobsen, Ørnulf Paulsen, Erik Torbjørn Løhre and Trude R. Balstad
Curr. Oncol. 2025, 32(11), 644; https://doi.org/10.3390/curroncol32110644 - 18 Nov 2025
Viewed by 325
Abstract
Background: There is an insufficient knowledge base for optimal parenteral nutrition (PN) use for patients with incurable cancer, leading to vague guidelines and varied practices. The aim of the study is to describe the practices and actual outcomes of PN in patients [...] Read more.
Background: There is an insufficient knowledge base for optimal parenteral nutrition (PN) use for patients with incurable cancer, leading to vague guidelines and varied practices. The aim of the study is to describe the practices and actual outcomes of PN in patients with incurable cancer at Norwegian hospitals. Methods: This multicentre study retrospectively reviewed 507 deceased patients (>18 years) receiving PN between 2011 and 2017. Data were collected from PN initiation until death, and analyses were descriptive. Results: Fifty-one percent had upper and lower gastrointestinal cancers, and the main PN indications were insufficient intake (75%) and gastrointestinal malfunction (47%). Sixty-seven percent received no anticancer treatment. Forty-three (8%) received PN as temporary bridging to anticancer treatment, of whom fifteen (35%) resumed or initiated treatment. The median PN dose corresponded to 53% of estimated energy requirements, and 94% of the patients had complementary energy intake. The most common reason for discontinuation was expected imminent death (47%). While common symptoms during PN were nausea (52%), vomiting (46%), and oedema (37%), 15% reported improved wellbeing. Conclusions: In this real-world cohort, up to 80% of the patients would not meet the eligibility criteria of previous trials due to cancer diagnosis and treatment, gastrointestinal tract function, weight loss criteria or complications such as ascites. This study highlights the heterogeneity in how patients with incurable cancer receive PN, and emphasises the importance of individualised PN treatment, carefully and safely managed to meet the patients’ palliative care situation. Future real-world pragmatic patient-centred protocols bridging the gap between clinical trials and patients in clinical practice are warranted. Full article
(This article belongs to the Section Palliative and Supportive Care)
Show Figures

Figure 1

24 pages, 2036 KB  
Review
Therapeutic Potential of White Kidney Beans (Phaseolus vulgaris) for Weight Management
by Hassan Muzaffar, Muhammad Jehangir, Jiayue Hu, Yiyang Yu, Mingzhou Yu and Yonghong Hu
Foods 2025, 14(22), 3940; https://doi.org/10.3390/foods14223940 - 18 Nov 2025
Viewed by 1080
Abstract
The escalating global prevalence of obesity underscores the need for effective and sustainable nutritional interventions. Functional foods, especially white kidney beans (Phaseolus vulgaris), show a promising avenue to link fundamental biochemical insights with clinically feasible interventions, supporting their potential as an [...] Read more.
The escalating global prevalence of obesity underscores the need for effective and sustainable nutritional interventions. Functional foods, especially white kidney beans (Phaseolus vulgaris), show a promising avenue to link fundamental biochemical insights with clinically feasible interventions, supporting their potential as an adjunct dietary strategy for managing and preventing obesity. This review critically examines the mechanistic roles of white kidney bean in weight regulation, which includes suppression of starch digestion, attenuation of postprandial glycemia, modulation of appetite and satiety, and hypolipidemic effects. Clinical and preclinical evidence supports the potential of white kidney bean as a nutraceutical for metabolic health, demonstrating consistent reductions in body fat mass, glycemic excursion, and overall weight. Nevertheless, significant limitations persist, including heterogeneity in trial designs, absence of dose standardization, and inadequate long-term safety assessments. Furthermore, this review addresses food fortification, advancements in supplement formulation, and cooking techniques that enhance both consumer acceptability and the bioactivity of white kidney bean (WKB), along with the significance of regulatory standards to ensure safety and quality. Future research should integrate clinical, molecular and food technology methods to improve the translation of experimental findings into precision nutritional strategies for obesity management. Full article
Show Figures

Figure 1

13 pages, 415 KB  
Article
Risk Factors Associated with Azotemia in Dogs Presented to the Chiang Mai University Veterinary Teaching Hospital, Thailand: A Retrospective Study (2017–2021)
by Pattara Saardarwut, Kakanang Piyarungsri, Nawin Manachai and Sahatchai Tangtrongsup
Animals 2025, 15(22), 3313; https://doi.org/10.3390/ani15223313 - 17 Nov 2025
Viewed by 453
Abstract
Kidney disorders in dogs are frequently observed but remain underexplored in Chiang Mai, Thailand. This retrospective study aimed to estimate the prevalence and identify risk factors associated with azotemia in dogs presented to the Chiang Mai University Small Animal Veterinary Teaching Hospital between [...] Read more.
Kidney disorders in dogs are frequently observed but remain underexplored in Chiang Mai, Thailand. This retrospective study aimed to estimate the prevalence and identify risk factors associated with azotemia in dogs presented to the Chiang Mai University Small Animal Veterinary Teaching Hospital between May 2017 and December 2021. Medical and laboratory records from 16,146 dogs were reviewed, and demographic, lifestyle, hematologic, and biochemical factors were analyzed using univariable and multivariable logistic regression to determine associations with azotemia. Overall, 3505 dogs (21.7%) were classified as azotemic, of which 43.5% had acute kidney injury, 5.9% had chronic kidney disease, and 50.6% were undetermined due to incomplete records. During winter, being mixed-breed, of older age, male sex, being fed with homemade and mixed diets, and drinking tap or mixed water sources were significantly associated with increased risk of azotemia (p < 0.05), whereas living outdoors or indoor-outdoor reduced the risk. Affected dogs typically showed elevated urea and creatinine concentrations, anemia, and abnormal white blood cell profiles, indicating systemic inflammation or dehydration. Concurrent diseases that were significantly associated with azotemia included pancreatitis, trauma, urinary tract injury, pyometra, and cardiovascular disorders. These findings indicate that canine azotemia in this region arises from multifactorial causes, emphasizing the need for early screening, balanced nutrition, access to clean water, and timely management of concurrent diseases are essential to improve kidney health and clinical outcomes in dogs. Full article
(This article belongs to the Section Veterinary Clinical Studies)
Show Figures

Figure 1

Back to TopTop