Sign in to use this feature.

Years

Between: -

Subjects

remove_circle_outline
remove_circle_outline
remove_circle_outline
remove_circle_outline
remove_circle_outline
remove_circle_outline
remove_circle_outline
remove_circle_outline
remove_circle_outline

Journals

remove_circle_outline
remove_circle_outline
remove_circle_outline
remove_circle_outline
remove_circle_outline
remove_circle_outline

Article Types

Countries / Regions

remove_circle_outline
remove_circle_outline
remove_circle_outline
remove_circle_outline

Search Results (451)

Search Parameters:
Keywords = circulating inflammatory markers

Order results
Result details
Results per page
Select all
Export citation of selected articles as:
22 pages, 2859 KB  
Article
Assessment of Health-Related Quality of Life and Biomarkers in Long COVID: A 12-Month Longitudinal Feasibility Cohort
by Fahad Alghamdi, Robert Meertens, Abasiama Dick Obotiba, Lorna W. Harries, Sarah Appleby, Kinan Mokbel, Karen M. Knapp and William David Strain
J. Clin. Med. 2025, 14(22), 7931; https://doi.org/10.3390/jcm14227931 - 8 Nov 2025
Viewed by 265
Abstract
Background/Objectives: Long COVID (LC) causes persistent symptoms, including fatigue, musculoskeletal (MSK) pain, and a lower quality of life. It is hypothesised that chronic low-grade inflammation in LC could impact bone, joints, and muscle microcirculation, but evidence is limited. Our aim is to [...] Read more.
Background/Objectives: Long COVID (LC) causes persistent symptoms, including fatigue, musculoskeletal (MSK) pain, and a lower quality of life. It is hypothesised that chronic low-grade inflammation in LC could impact bone, joints, and muscle microcirculation, but evidence is limited. Our aim is to assess health-related quality of life (HRQoL) and circulating inflammation, bone turnover markers (BTM), and vitamin D in LC individuals to explore their potential association with MSK function. Methods: Prospective longitudinal cohort; LC n = 45, well-recovered (WR) n = 40; 12 ± 2 months follow-up. Baseline and follow-up assessments included evaluations of HRQoL and pain-rating questionnaires, and blood analysis of inflammatory and bone turnover markers (BTM). Results: More females were in the LC group. LC reported significantly lower HRQoL compared to WR, with no change over 12 months. LC had higher vitamin D levels at baseline, median 29.46 ng/mL (23.75; 35.06) compared to WR 20.36 ng/mL (15.995; 27.65) (p = 0.0021). Both groups experienced significant increases in vitamin D after 12 months: WR median from 21.4 ng/mL (16.34; 27.89) to 29.58 ng/mL (25.33; 41.74), (p =< 0.001) and LC median from 32.695 ng/mL (23.665; 35.1) to 35.89 ng/mL (30.1; 41.2), (p = 0.0023). Pain rating showed LC also experienced more hand pain at baseline median 1 (0; 5), (p = 0.003). There were no differences between groups in BTM or cytokines over time. Conclusions: This feasibility cohort showed that LC is associated with a reduction in HRQoL and joint symptoms; however, no significant changes were observed in the inflammatory markers, indicating the need for ongoing monitoring. Future studies should explore MSK, muscle function via imaging, and ways to enhance musculoskeletal health and well-being. Full article
(This article belongs to the Section Epidemiology & Public Health)
Show Figures

Figure 1

17 pages, 1146 KB  
Article
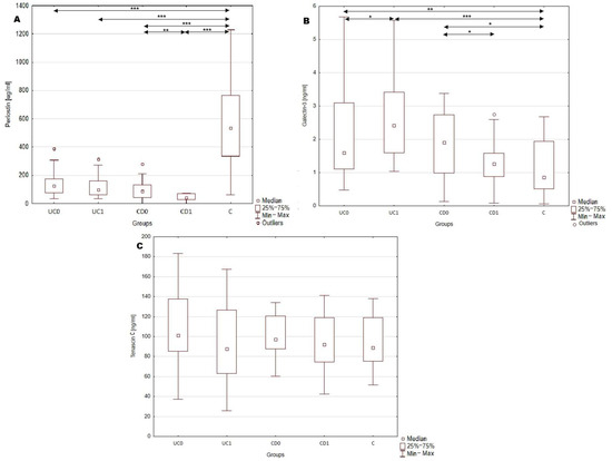
Diagnostic Potential of Periostin, Galectin-3 and Tenascin C Serum Measurements in Inflammatory Bowel Disease: Pilot Study
by Aleksandra Górecka, Agnieszka Jura-Półtorak, Anna Szeremeta and Katarzyna Komosinska-Vassev
Int. J. Mol. Sci. 2025, 26(21), 10439; https://doi.org/10.3390/ijms262110439 - 27 Oct 2025
Viewed by 263
Abstract
Inflammatory bowel diseases (IBD), encompassing ulcerative colitis (UC) and Crohn’s disease (CD), are characterized by a complex interplay between chronic inflammatory process and extracellular matrix (ECM) remodeling. This pilot study aims to evaluate the serum levels of three ECM-related proteins—periostin, galectin-3, and tenascin [...] Read more.
Inflammatory bowel diseases (IBD), encompassing ulcerative colitis (UC) and Crohn’s disease (CD), are characterized by a complex interplay between chronic inflammatory process and extracellular matrix (ECM) remodeling. This pilot study aims to evaluate the serum levels of three ECM-related proteins—periostin, galectin-3, and tenascin C—as biomarkers supporting IBD diagnosis. Serum concentration of periostin, galectin-3 and tenascin C were measured using the ELISA method in 49 patients with IBD and 30 healthy individuals. Periostin and galectin-3 levels differed significantly between IBD patients and healthy individuals, whereas tenascin C levels did not show a significant difference. The ROC curve analysis identified periostin as the most promising biomarker for differentiation of both UC and CD from healthy individuals. In UC patients, periostin distinguished them from healthy individuals with excellent accuracy (AUC = 0.922), high sensitivity (100%), and good specificity (77.8%). Similarly, in CD patients, periostin demonstrated excellent diagnostic performance with AUC of 0.943, high sensitivity (100%) and good specificity (77.8%). Galectin-3 also showed potential as a diagnostic marker, which discriminated both UC and CD patients with high accuracy of AUC = 0.745 in UC and AUC = 0.691 in CD groups. Moreover, serum galectin-3 levels correlated with CRP levels (r = 0.603, p < 0.05) in the CD group. After one year of conventional anti-inflammatory treatment in CD patients, levels of periostin (p < 0.001) and galectin-3 (p < 0.05) significantly decreased. In contrast UC patients, receiving anti-TNF-α biological therapy showed a significant increase in galectin-3 (p < 0.05) concentrations. Obtained results indicate that circulating periostin and galectin-3 emerge as promising biomarkers for differentiating both UC and CD patients from healthy individuals. Given the significant correlation between galectin-3 and CRP serum levels, galectin-3 may also serve as a useful marker for monitoring disease activity in CD. Furthermore, galectin-3 may be helpful in monitoring the response to both biological or conventional anti-inflammatory treatment in UC and CD patients. Periostin, in turn, may be particularly valuable for evaluating efficacy of conventional anti-inflammatory therapy in CD. Full article
Show Figures

Figure 1

14 pages, 268 KB  
Article
Human Monocyte-Derived Macrophages Acquire an Inflammatory Phenotype Relative to Risk Factors Typical of Atherogenic Dyslipidaemia
by Corinne D. Mack, Lily D. Quagliata, Rana Baraz, Sravanthi Naralashetty, Suat Dervish, Helen Williams, Stephen C. H. Li and Heather J. Medbury
Lipidology 2025, 2(4), 18; https://doi.org/10.3390/lipidology2040018 - 17 Oct 2025
Viewed by 317
Abstract
Background: Dyslipidaemia promotes atherosclerotic plaque formation. Plaques that are vulnerable to rupture have a higher proportion of inflammatory (M1:CD86) macrophages in their cap. Many plaque macrophages are derived from blood monocytes which have been exposed to elevated blood lipid levels. Here, we explored [...] Read more.
Background: Dyslipidaemia promotes atherosclerotic plaque formation. Plaques that are vulnerable to rupture have a higher proportion of inflammatory (M1:CD86) macrophages in their cap. Many plaque macrophages are derived from blood monocytes which have been exposed to elevated blood lipid levels. Here, we explored whether the inflammatory state of monocyte-derived macrophages is associated with blood lipid levels and assessed whether oxidised low-density lipoprotein (oxLDL) directly induces some of the observed changes. Method: Blood was collected from 20 individuals. Lipid profiles were measured, and monocytes differentiated into macrophages. Macrophage inflammatory state was assessed by flow cytometry for phenotypic markers (e.g., CD86 and CD163) and cytokine production: TNF, IL-1β, and IL-6. Furthermore, monocytes were isolated from 6 normo-lipidaemic individuals and cultured with oxLDL, followed by stimulation with LPS/IFNγ and assessment of the cytokine response. Results: The inflammatory phenotype acquired by macrophages (ex vivo) was related to levels of in vivo circulating lipids. Correlations for CD86/CD163 were found with CVD risk markers; most strongly with triglycerides (TG) and TG/HDL-C, but also with cholesterol/HDL-C and ApoB/ApoA1 and inversely with LDL particle size. Functionally, macrophage production of inflammatory cytokines (TNF and IL-1β) correlated with oxLDL levels and inversely with ApoA1. Macrophages differentiated from monocytes cultured with oxLDL produced significantly higher IL-1β but lower IL-10 (in response to LPS/IFNγ), compared to control cells. Conclusions: Monocyte-derived macrophages adopt an inflammatory phenotype relative to the levels of circulating lipid factors that are characteristic of atherogenic dyslipidaemia (such as high TG, TG/HDL-C and low LDL particle size), but not LDL-C. Full article
(This article belongs to the Special Issue Lipid Metabolism and Inflammation-Related Diseases)
Show Figures

Graphical abstract

21 pages, 564 KB  
Review
Tracing Inflammation in Ischemic Stroke: Biomarkers and Clinical Insight
by Gaetano Pacinella, Mariarita Margherita Bona, Federica Todaro, Anna Maria Ciaccio, Mario Daidone and Antonino Tuttolomondo
Int. J. Mol. Sci. 2025, 26(19), 9801; https://doi.org/10.3390/ijms26199801 - 8 Oct 2025
Viewed by 1021
Abstract
Ischemic stroke is now widely recognized as a disease with a strong inflammatory profile. Cerebral vascular damage is both preceded and followed by a chain of molecular events involving immune cells and inflammatory markers, irrespective of the etiology of the ischemic injury. Over [...] Read more.
Ischemic stroke is now widely recognized as a disease with a strong inflammatory profile. Cerebral vascular damage is both preceded and followed by a chain of molecular events involving immune cells and inflammatory markers, irrespective of the etiology of the ischemic injury. Over time, an increasingly comprehensive understanding of these markers has led to a better insight into the mechanisms behind the vascular event and recovery following ischemic stroke. However, to date, there are still no available circulating or tissue biomarkers for early diagnosis or prognostic stratification, making ischemic stroke diagnosis contingent on clinical and instrumental investigations. However, neurological and internal medicine research is progressing in identifying markers that could potentially take on this role. This manuscript, therefore, aims to review the most recent and innovative results of medical advances, summarising the current state of the art and future perspectives. If ischaemic stroke is an inflammatory disease, it is also true that it is not just a singular condition, but a group of entities with their own neuroinflammatory features. Thus, given that, in ischemic cerebral vascular damage, “time is brain,” tracking increasingly accurate markers in the diagnosis of ischemic stroke is a valuable tool that will potentially enable earlier recognition of this disease and, hopefully, make it less disabling and more widely treated. Full article
(This article belongs to the Special Issue Inflammatory Biomarkers in Ischemic Stroke)
Show Figures

Figure 1

22 pages, 1189 KB  
Review
Arrhythmogenic Cardiomyopathy and Biomarkers: A Promising Perspective?
by Federico Barocelli, Nicolò Pasini, Alberto Bettella, Antonio Crocamo, Enrico Ambrosini, Filippo Luca Gurgoglione, Eleonora Canu, Laura Torlai Triglia, Francesca Russo, Angela Guidorossi, Francesca Maria Notarangelo, Domenico Corradi, Antonio Percesepe and Giampaolo Niccoli
J. Clin. Med. 2025, 14(19), 7046; https://doi.org/10.3390/jcm14197046 - 5 Oct 2025
Viewed by 814
Abstract
Arrhythmogenic cardiomyopathy (ACM; MIM #107970) is a primitive heart muscle disease characterized by progressive myocardial loss and fibrosis or fibrofatty replacement, predisposing patients to ventricular arrhythmias, sudden cardiac death, and heart failure. Despite advances in imaging and genetics, early diagnosis remains challenging due [...] Read more.
Arrhythmogenic cardiomyopathy (ACM; MIM #107970) is a primitive heart muscle disease characterized by progressive myocardial loss and fibrosis or fibrofatty replacement, predisposing patients to ventricular arrhythmias, sudden cardiac death, and heart failure. Despite advances in imaging and genetics, early diagnosis remains challenging due to incomplete penetrance, variable phenotypic expressivity, and the fact that fatal arrhythmic events may often occur in the early stages of the disease. In this context, the identification of reliable biomarkers could enhance diagnostic accuracy, support risk stratification, and guide clinical management. This narrative review examines the current landscape of potential and emerging biomarkers in ACM, including troponins, natriuretic peptides, inflammatory proteins, microRNAs, fibrosis-related markers, and other molecules. Several of these biomarkers have demonstrated associations with disease severity, arrhythmic burden, or structural progression, although their routine clinical utility remains limited. The increasing relevance of genetic testing and non-invasive tissue characterization—particularly through cardiac imaging techniques—should also be emphasized as part of a multimodal diagnostic strategy in which biomarkers may play a complementary role. Although no single biomarker currently meets the criteria for a standalone diagnostic application, ongoing research into multi-marker panels and novel molecular targets offers promising perspectives. In conclusion, the integration of circulating biomarkers with imaging findings, genetic data, and clinical parameters may open new avenues for improving early detection and supporting personalized therapeutic strategies in patients with suspected ACM. Full article
(This article belongs to the Special Issue The Role of Biomarkers in Cardiovascular Diseases)
Show Figures

Figure 1

16 pages, 2816 KB  
Systematic Review
The Anti-Inflammatory Effects of Resistance Training in Patients with Type 2 Diabetes: A Systematic Review and Meta-Analysis
by Nikolaos P. E. Kadoglou, Chrysostomos Georgiou, Nikolaos Balaskas, Chrystalla Panayiotou, Michail Vardas, Andreas Mitsis and Constantine N. Antonopoulos
Biomolecules 2025, 15(10), 1417; https://doi.org/10.3390/biom15101417 - 5 Oct 2025
Viewed by 1415
Abstract
Type 2 diabetes mellitus (T2DM) is associated with increased cardiovascular risk characterized by low-grade inflammation. The aim of this systematic review and meta-analysis was to assess the effects of resistance exercise training (RET) predominantly on cytokines, along with changes in glucose profile and [...] Read more.
Type 2 diabetes mellitus (T2DM) is associated with increased cardiovascular risk characterized by low-grade inflammation. The aim of this systematic review and meta-analysis was to assess the effects of resistance exercise training (RET) predominantly on cytokines, along with changes in glucose profile and body composition in T2DM patients. The present systematic review and meta-analysis was conducted utilizing PubMed, Web of Science, Embase, and the Cochrane Library databases from their inception up to July 2024 (PROSPERO; registration number CRD420251149352). We screened only for randomized controlled trials investigating the effects of systematic, supervised RET on C-reactive protein (CRP) and adipokines: adiponectin, interleukin 6 (IL-6), tumor necrosis factor-alpha (TNF-α), along with changes in anthropometric indices and glycemic control in adult T2DM patients. Pooled post-exercise weighted mean differences (WMDs) with 95% confidence intervals (CIs) were calculated for all outcomes of interest between exercise-treated patients and controls. Sixteen studies involving a total of 668 T2DM patients were retrieved from the databases for meta-analysis. We used the GRADE framework for assessing the certainty of evidence. Cochran Q-score (I2) was used to estimate heterogeneity among studies (level of significance p < 0.10) and risk of bias analysis was also performed. The cumulative results showed that post-RET inflammatory markers were lower in exercise-treated patients compared to controls regarding CRP (mg/L) (WMD: −0.63; 95%CIs: −1.05, −0.20; p < 0.001); adiponectin (μg/mL) (WMD: −0.94; 95%CIs: −1.49, −0.38; p < 0.001). The results from adiponectin are quite conflicting since they derived from only three studies, where one of them had the greater impact. In parallel, we noticed significant amelioration of fasting glucose and HbA1c (p < 0.001), while body weight remained unaltered. Our meta-analysis demonstrated non-significantly lower levels of IL-6 and TNF-α in RET vs. control group. RET can merely reduce the inflammatory burden in T2DM patients by ameliorating the circulating levels of CRP and adiponectin, while in the rest of the biomarkers, non-significant results were obtained. Hence, the overall clinical impact of those anti-inflammatory effects of RET needs to be determined. Full article
(This article belongs to the Special Issue Inflammation—The Surprising Bridge between Diseases)
Show Figures

Figure 1

22 pages, 1614 KB  
Article
Systemic Immune and Tumor Marker Profiles in Ovarian and Deep Infiltrating Endometriosis: Associations with Disease Severity and Symptom Burden
by Tamara N. Ramírez-Pavez, Pilar Marín-Sánchez, Ana Nebot, Laura García-Izquierdo, Lucía Nieto-Meca, Rocío Sánchez, Francisco Machado-Linde and María Martínez-Esparza
Int. J. Mol. Sci. 2025, 26(19), 9581; https://doi.org/10.3390/ijms26199581 - 1 Oct 2025
Viewed by 527
Abstract
Endometriosis is a chronic, estrogen-dependent inflammatory disease with heterogeneous clinical manifestations and uncertain systemic immune involvement. This study aimed to characterize peripheral immune profiles and circulating tumor markers in women with ovarian endometrioma (OE) and deep infiltrating endometriosis (DIE), and to explore their [...] Read more.
Endometriosis is a chronic, estrogen-dependent inflammatory disease with heterogeneous clinical manifestations and uncertain systemic immune involvement. This study aimed to characterize peripheral immune profiles and circulating tumor markers in women with ovarian endometrioma (OE) and deep infiltrating endometriosis (DIE), and to explore their associations with disease severity, symptom burden, and physical health perception. Peripheral blood leukocyte subsets, plasma cytokines, and tumor markers (CA125, CA19-9, CEA, HE4) were analyzed in 146 patients and 50 healthy controls. OE was associated with increased monocyte counts and reduced neutrophil proportions, while DIE showed elevated levels of IL-8 and Galectin-1. IL-33 levels correlated negatively with the revised American Society for Reproductive Medicine (rASRM) scores and positively with neutrophil proportion, suggesting a role in systemic immune regulation. Tumor marker levels varied by subtype: CA19-9 was higher in OE, and CEA in DIE. CA125 correlated with disease severity, and CEA with monocyte levels. Exploratory heatmaps revealed consistent immune-tumor associations linked to anatomical severity and symptom profiles. Although exploratory, these findings highlight the presence of distinct systemic immune patterns in endometriosis and support the potential of integrative blood-based biomarkers for future diagnostic and stratification strategies. Full article
(This article belongs to the Section Biochemistry)
Show Figures

Figure 1

17 pages, 304 KB  
Review
Therapeutic Plasma Exchange in Corticosteroid-Refractory Multiple Sclerosis Relapses: Mechanisms, Efficacy, and Integration into Clinical Practice
by Mariano Marrodan, Maria C. Ysrraelit and Jorge Correale
Biomedicines 2025, 13(10), 2399; https://doi.org/10.3390/biomedicines13102399 - 30 Sep 2025
Viewed by 1493
Abstract
Therapeutic plasma exchange (TPE) is increasingly recognized as a critical escalation therapy for managing acute multiple sclerosis (MS) relapses refractory to high-dose corticosteroids. Neuropathological and clinical evidence implicate humoral immune mechanisms, particularly autoantibodies, immune complexes, and complement activation, as key pathogenic drivers in [...] Read more.
Therapeutic plasma exchange (TPE) is increasingly recognized as a critical escalation therapy for managing acute multiple sclerosis (MS) relapses refractory to high-dose corticosteroids. Neuropathological and clinical evidence implicate humoral immune mechanisms, particularly autoantibodies, immune complexes, and complement activation, as key pathogenic drivers in a subset of MS attacks, notably those consistent with immunopathological pattern II. By removing these circulating immune effectors, TPE provides a rational strategy to dampen inflammation and promote neurological recovery. This review integrates current mechanistic insights with clinical efficacy data and practical implementation strategies for TPE in corticosteroid-refractory MS. Evidence from randomized controlled trials and observational cohorts demonstrates moderate-to-marked functional improvement in 40–60% of patients, with the greatest benefit observed when therapy is initiated within 14 days of symptom onset and cases demonstrating active inflammatory lesions on MRI. Predictors of a favorable response include younger age, short disease duration, severe syndromes involving optic nerve, brainstem, or spinal cord, and CSF markers of intrathecal B-cell activity. Although TPE is generally well tolerated in experienced centers, its broader adoption of TPE is limited by variability in access, institutional protocols, and provider familiarity. Standardization of treatment algorithms, validation of predictive biomarkers, and incorporation into streamlined clinical pathways are critical to maximizing its clinical impact. Future priorities include comparative trials against alternative escalation therapies, biomarker-guided patients’ selection, and comprehensive health-economic evaluations. Taken together, current evidence and recommendations from major neurology and apheresis societies support TPE as a valuable therapeutic modality capable of significantly improving relapse outcomes in appropriately selected MS patients. Full article
(This article belongs to the Special Issue Multiple Sclerosis: Diagnosis and Treatment—3rd Edition)
Show Figures

Graphical abstract

12 pages, 270 KB  
Article
Association of Systemic Inflammation with Inflammatory mRNA Expression in Visceral Adipose Tissue in Gestational Diabetes
by Renata Saucedo, María Isabel Peña-Cano, Mary Flor Díaz-Velázquez, Alejandra Contreras-Ramos, Miranda Moleres-Orduña, Debbie López-Sánchez, Jorge Valencia-Ortega and Javier Pérez-Duran
Metabolites 2025, 15(10), 644; https://doi.org/10.3390/metabo15100644 - 26 Sep 2025
Viewed by 504
Abstract
Background/Objectives: Gestational diabetes mellitus (GDM) is characterized by a systemic inflammatory response and the expression of inflammatory factors in visceral adipose tissue (VAT). However, the association between these two inflammatory processes has not been fully elucidated. Therefore, this study aimed to (1) [...] Read more.
Background/Objectives: Gestational diabetes mellitus (GDM) is characterized by a systemic inflammatory response and the expression of inflammatory factors in visceral adipose tissue (VAT). However, the association between these two inflammatory processes has not been fully elucidated. Therefore, this study aimed to (1) investigate whether whole blood counts, the neutrophil–lymphocyte ratio (NLR), the monocyte–lymphocyte ratio (MLR), serum adiponectin levels, and the mRNA expression of inflammatory genes (TLR2, TLR4, pro-inflammatory cytokines: IL-1β, IL-6, and TNF-α, anti-inflammatory cytokines: IL-1RA, IL-10, and adiponectin) in VAT are altered in women with GDM in comparison to pregnant women with normal glucose tolerance (NGT), and (2) determine the correlations between systemic and local VAT inflammation in all, GDM, and NGT women. Methods: Study of 50 GDM and 50 women with NGT with a cross-sectional design. Standard biochemical and hematological tests were conducted and relative mRNA expression in VAT was measured by RT-qPCR. Results: Women with GDM showed higher neutrophil, monocyte, NLR, MLR, and VAT TNF-α/IL-10 mRNA expression ratios while lymphocyte and eosinophil counts, serum adiponectin, and mRNA local VAT inflammatory markers such as TLR2, TLR4, IL-1β, IL-6, IL-1RA, and IL-10 were lower in women with GDM relative to women with NGT. Additionally, the circulating monocyte count were associated with TLR2 and TLR-4 VAT mRNA expression levels and eosinophils count were associated with IL-1β, IL-6, IL-10, and IL-1RA VAT expression levels in women with GDM. Conclusions: GDM is characterized by systemic inflammation, and some circulating immune cells, such as monocytes and eosinophils, are associated with the expression of inflammatory markers in VAT. Full article
22 pages, 2710 KB  
Article
Divergent Hepatic Outcomes of Chronic Ketone Supplementation: Ketone Salts Preserve Liver Health While Ketone Esters and Precursors Drive Inflammation and Steatosis
by Csilla Ari and Dominic P. D’Agostino
Pharmaceuticals 2025, 18(10), 1436; https://doi.org/10.3390/ph18101436 - 25 Sep 2025
Viewed by 4132
Abstract
Background/Objectives: Exogenous ketone supplements elevate circulating ketones without carbohydrate restriction, but their long-term hepatic safety remains unclear. This study evaluated the formulation-dependent impact of chronic ketone supplementation on liver histopathology, inflammatory signaling, and systemic biomarkers in rats. Methods: Male Sprague-Dawley rats were orally [...] Read more.
Background/Objectives: Exogenous ketone supplements elevate circulating ketones without carbohydrate restriction, but their long-term hepatic safety remains unclear. This study evaluated the formulation-dependent impact of chronic ketone supplementation on liver histopathology, inflammatory signaling, and systemic biomarkers in rats. Methods: Male Sprague-Dawley rats were orally administered 1,3-butanediol (BD), medium-chain triglycerides (MCTs), ketone ester (KE), ketone electrolytes/salts (KSs), or a ketone salt–MCT combination (KSMCT) for 4 weeks. In a separate arm, animals received standard diet (SD), or SD supplemented with low-dose KE (LKE) or high-dose KE (HKE), for 83 days. Liver structure was assessed by hematoxylin and eosin staining with quantification of red blood cell density and lipid accumulation. Inflammatory and metabolic responses were evaluated by TNF-α and arginase immunohistochemistry. Serum biochemistry included glucose, proteins, electrolytes, and liver and kidney function markers. Results: BD and KE induced macrovesicular steatosis, vascular congestion, and elevated TNF-α and arginase expression, consistent with hepatic stress. MCT caused moderate hepatocellular ballooning and lipid deposition, whereas KS preserved near-normal hepatic morphology. KSMCT produced intermediate effects, reducing lipid accumulation and TNF-α compared with MCT or KE alone. KE supplementation caused dose-dependent reductions in globulin and elevations in creatinine, while HKE reduced sodium and glucose levels. Conclusions: Chronic hepatic responses to exogenous ketones are highly formulation dependent. KS demonstrated the most favorable safety profile under the tested conditions, maintaining normal hepatic structure, while BD and KE elicited adverse changes. Formulation choice is critical for the safe long-term use of exogenous ketones. Full article
(This article belongs to the Section Pharmacology)
Show Figures

Graphical abstract

9 pages, 873 KB  
Review
Extended Color Doppler Ultrasound in the Diagnosis of Giant Cell Arteritis: Clinical Insights and Literature Review with Emphasis on Posterior Circulation Involvement
by Ivan Privitera, Luca Costanzo, Paola Magnano San LIo, Raffaella Romano, Salvatore Piro and Marcello Romano
J. Vasc. Dis. 2025, 4(3), 37; https://doi.org/10.3390/jvd4030037 - 18 Sep 2025
Viewed by 1110
Abstract
Background: Giant cell arteritis (GCA) is a systemic granulomatous vasculitis affecting large and medium-sized arteries, predominantly in individuals over 50 years. While it traditionally involves cranial branches of the external carotid artery, particularly the temporal arteries, growing evidence underscores frequent extracranial involvement, especially [...] Read more.
Background: Giant cell arteritis (GCA) is a systemic granulomatous vasculitis affecting large and medium-sized arteries, predominantly in individuals over 50 years. While it traditionally involves cranial branches of the external carotid artery, particularly the temporal arteries, growing evidence underscores frequent extracranial involvement, especially in the supra-aortic trunks. Objective: We aimed to critically review the diagnostic utility of extended Color Doppler Ultrasound (CDUS) in GCA, with a focus on vertebrobasilar involvement and current international imaging guidelines. Methods: Taking inspiration from a representative case of extracranial GCA with vertebrobasilar ischemic events, the current literature and international recommendations (e.g., EULAR, ACR, BSR and SIR) were reviewed. Results: Diagnostic accuracy significantly improves when CDUS is extended to include carotid, vertebral, subclavian and axillary arteries. Elevated inflammatory markers such as erythrocyte sedimentation rate (ESR) and C-reactive protein (CRP) correlate with large-vessel involvement and support the use of extended scanning protocols. International guidelines vary in their emphasis on extended CDUS, but consensus is growing toward ultrasound imaging-first strategies in expert hands. Conclusion: Extended CDUS is a sensitive, non-invasive first-line diagnostic tool for GCA. In patients with symptoms of the posterior cerebral circulation and elevated inflammatory indices, early comprehensive vascular imaging reduces diagnostic delay and may obviate the need for temporal artery biopsy. Full article
(This article belongs to the Section Peripheral Vascular Diseases)
Show Figures

Figure 1

21 pages, 6976 KB  
Article
Pc-AIF1 Is Expressed in Hemocyte-Rich and Neural Tissues and Links Immune Response and Regeneration in the Snail Model Pomacea canaliculata
by Anita Ferri, Sandro Sacchi, Nicola Franchi, Umberto Rosani and Davide Malagoli
Int. J. Mol. Sci. 2025, 26(18), 9022; https://doi.org/10.3390/ijms26189022 - 16 Sep 2025
Viewed by 2848
Abstract
Allograft inflammatory factor-1 (AIF1) is a conserved calcium-binding protein involved in inflammatory and neuro-immune responses and expressed in Pomacea canaliculata (Pc-AIF1) during cephalic tentacle regeneration. Here, we investigated the expression and distribution of Pc-AIF1 in control conditions and during cephalic [...] Read more.
Allograft inflammatory factor-1 (AIF1) is a conserved calcium-binding protein involved in inflammatory and neuro-immune responses and expressed in Pomacea canaliculata (Pc-AIF1) during cephalic tentacle regeneration. Here, we investigated the expression and distribution of Pc-AIF1 in control conditions and during cephalic tentacle regeneration. A transcriptomic analysis of 315 RNA-seq datasets revealed maximal Pc-AIF1 expression in circulating hemocytes and hemocyte-rich tissues. Pc-AIF1 was also highly expressed in neural ganglia. Fluorescence in situ hybridization (FISH) evidenced Pc-AIF1 in circulating hemocytes and in the phagocytic hemocyte aggregates in the posterior kidney. qPCR showed the constitutive expression of Pc-AIF1 in cerebral ganglia. FISH experiments showed Pc-AIF1-positive cells within the cephalic tentacle blastema at 24 h post-amputation (hpa). Even if the amputation left them untouched, both the ipsilateral and contralateral cerebral ganglia increased Pc-AIF1 expression until 48 hpa. Immunocytochemical experiments evidenced positive cells to RCA120 (a microglial marker in mammals) among circulating hemocytes, in the connective tissue surrounding the cerebral ganglia, and within the regenerating tentacles. These findings suggest that Pc-AIF1 is a neuro-immune marker constitutively expressed in hemocyte populations and neural tissues; it is associated with the immediate hemocyte response to wounding and the neuro-immune interplay during the regeneration of sensory organs. Full article
(This article belongs to the Section Molecular Biology)
Show Figures

Figure 1

22 pages, 2656 KB  
Article
Dietary Intervention with Cottonseed and Olive Oil Differentially Affect the Circulating Lipidome and Immunoregulatory Compounds—A Randomized Clinical Trial
by Gwendolyn Cooper, Prabina Bhattarai, Brett Sather, Marguerite L. Bailey, Morgan Chamberlin, Mary Miles and Brian Bothner
Metabolites 2025, 15(9), 599; https://doi.org/10.3390/metabo15090599 - 8 Sep 2025
Viewed by 815
Abstract
Background/Objectives: Cottonseed oil (CSO) is a dietary oil especially high in the n-6 polyunsaturated fatty acid (PUFA), linoleic acid (FA 18:2), which is a precursor for many pro-inflammatory eicosanoids. Curiously, diets rich in CSO have not been shown to cause increases in [...] Read more.
Background/Objectives: Cottonseed oil (CSO) is a dietary oil especially high in the n-6 polyunsaturated fatty acid (PUFA), linoleic acid (FA 18:2), which is a precursor for many pro-inflammatory eicosanoids. Curiously, diets rich in CSO have not been shown to cause increases in inflammatory markers or other negative health outcomes in humans. To rigorously test this, we have compared the health impact of a diet rich in CSO to olive oil (OO), which is generally considered to be a healthy oil. Methods: Specifically, this study examines circulating metabolite and lipid profiles during a 4-week dietary intervention with CSO or OO on 47 healthy adults. Untargeted metabolomics, targeted bulk lipidomics, and targeted lipid mediator analyses were conducted on fasting plasma samples taken pre- and post-dietary intervention. Results: A high degree of similarity was observed in the global metabolomic profiles of CSO and OO participants, indicating that CSO may elicit metabolic responses comparable to those of OO, potentially supporting similar effects on metabolic health markers. Targeted bulk lipidomics revealed changes in acyl chain composition reflective of the dominant fatty acid consumed—either 18:2 in CSO or 18:1 in OO. Immunoregulatory lipids 15-deoxy-PGJ2 and prostaglandin F2 alpha (PGF2a) were both higher in abundance in high-CSO diets, demonstrating differential effects of CSO and OO on immunoregulatory compounds. A correlative network analysis revealed two clusters arising from the dietary intervention as drivers of the dietary and immune responses. Conclusions: This study shows that CSO and OO differentially impact the circulating lipidome and immunoregulatory compounds in healthy adults. Full article
Show Figures

Figure 1

17 pages, 1276 KB  
Article
Associations Between Nutrient Intake and Vascular Inflammation Among Healthy Adults Living in Rural and Peri-Urban Particulate Matter 2.5-Affected Areas: An Exploratory Study
by Wason Parklak, Hataichanok Chuljerm, Sawaeng Kawichai, Puriwat Fakfum, Putita Jiraya, Praporn Kijkuokool, Wiritphon Khiaolaongam, Surasawadee Somnuk and Kanokwan Kulprachakarn
Nutrients 2025, 17(17), 2867; https://doi.org/10.3390/nu17172867 - 4 Sep 2025
Viewed by 993
Abstract
Background/Objectives: Chronic particulate matter 2.5 (PM2.5) exposure is associated with vascular inflammation and cardiovascular risk. However, the role of diet in modulating inflammation under such conditions remains unclear. This study explored the associations between nutrient intake and circulating vascular inflammatory biomarkers among apparently [...] Read more.
Background/Objectives: Chronic particulate matter 2.5 (PM2.5) exposure is associated with vascular inflammation and cardiovascular risk. However, the role of diet in modulating inflammation under such conditions remains unclear. This study explored the associations between nutrient intake and circulating vascular inflammatory biomarkers among apparently healthy adults living in PM2.5-affected rural and peri-urban areas in Chiang Mai Province, Thailand. Methods: Fifty-three healthy adults (27 rural; 26 peri-urban) were assessed for sociodemographic characteristics, clinical parameters, and dietary intake using three consecutive 24 h recalls. Serum levels of intercellular adhesion molecule-1 (ICAM-1), vascular cell adhesion molecule-1 (VCAM-1), and interleukin-6 (IL-6) were measured. Multiple linear regression was used to analyze associations between nutrient intake and inflammatory markers, adjusting for potential confounders. Results: Peri-urban participants exhibited significantly higher levels of ICAM-1, VCAM-1, and IL-6 compared to rural participants (p < 0.05). They also had higher intakes of sugars and saturated fatty acids, whereas rural participants consumed more cholesterol, antioxidant nutrients (vitamins C, A, and E), and minerals (e.g., potassium, selenium). Regression analyses revealed positive associations between sugar intake and all three inflammatory markers (ICAM-1: β = 0.467; VCAM-1: β = 0.481; IL-6: β = 0.557; all p ≤ 0.001). In contrast, intakes of selenium and vitamin A were inversely associated with VCAM-1 levels. Conclusions: These findings suggest that certain dietary components may influence vascular inflammation among individuals exposed to PM2.5. Encouraging consumption of anti-inflammatory nutrients may help mitigate pollution-related cardiovascular risks. Full article
Show Figures

Graphical abstract

16 pages, 984 KB  
Article
Resistance Exercise Training and Greek Yogurt Consumption Modulate Markers of Systemic Inflammation in Healthy Young Males—A Secondary Analysis of a Randomized Controlled Trial
by Emily C. Fraschetti, Ali A. Abdul-Sater, Christopher G. R. Perry and Andrea R. Josse
Nutrients 2025, 17(17), 2816; https://doi.org/10.3390/nu17172816 - 29 Aug 2025
Viewed by 3558
Abstract
Background/Objectives: Chronic exercise training reduces markers of systemic inflammation; however, less is known about how to optimize this adaptation using nutrition. Dairy products, especially fermented ones, like Greek yogurt (GY), contain anti-inflammatory constituents. This secondary analysis aimed to examine the influence of post-exercise [...] Read more.
Background/Objectives: Chronic exercise training reduces markers of systemic inflammation; however, less is known about how to optimize this adaptation using nutrition. Dairy products, especially fermented ones, like Greek yogurt (GY), contain anti-inflammatory constituents. This secondary analysis aimed to examine the influence of post-exercise GY consumption vs. an isoenergetic carbohydrate pudding (CP; control) on markers of systemic inflammation during an exercise training intervention. Methods: Thirty healthy young males completed 12 weeks of resistance and plyometric exercise training and were randomized to consume GY (n = 15) or CP (n = 15). Rested/fasted blood samples were acquired at baseline, and weeks 1 and 12, and inflammatory biomarkers (tumor necrosis factor-alpha [TNF-α], interleukin [IL]-6, IL-1 receptor antagonist [IL-1ra], IL-1Beta [IL-1β], IL-10, and C-reactive protein [CRP]) were measured. Linear mixed models were run on the absolute concentrations, and linear regressions were performed on the absolute change (baseline to week 12), allowing us to account for important covariates. Results: In both groups, CRP (pro) and IL-1ra (anti) increased at week 1 vs. baseline and week 12, while IL-1β (pro) decreased at week 12 vs. baseline (main time effects). We observed significant interactions for IL-6, TNF-α, and the TNF-α/IL-10 ratio, indicating that at week 12, IL-6 (pro) was lower in GY, whereas TNF-α and TNF-α/IL-10 (both pro-inflammatory) were higher in CP vs. week 1 and baseline, respectively. Additionally, within our linear regression models, higher baseline concentrations of IL-1ra (anti), IL-10 (anti) and CRP (pro) predicted greater change over the intervention. Conclusions: These results indicate that our intervention benefited circulating inflammatory markers, and GY supplementation may enhance these effects. Full article
(This article belongs to the Special Issue Effects of Nutrient Intake on Exercise Recovery and Adaptation)
Show Figures

Figure 1

Back to TopTop