Sign in to use this feature.

Years

Between: -

Subjects

remove_circle_outline
remove_circle_outline
remove_circle_outline

Journals

Article Types

Countries / Regions

Search Results (6)

Search Parameters:
Keywords = chemisorptive desulfurization

Order results
Result details
Results per page
Select all
Export citation of selected articles as:
14 pages, 3968 KB  
Article
SBA-15 Type Mesoporous Silica Modified with Vanadium as a Catalyst for Oxidative and Extractive Oxidative Desulfurization Processes
by Ardian Nurwita, Katarzyna Stawicka and Maciej Trejda
Materials 2024, 17(16), 4041; https://doi.org/10.3390/ma17164041 - 14 Aug 2024
Cited by 8 | Viewed by 1717
Abstract
One of the current challenges is the reduction of sulfur emitted into the atmosphere, usually in the form of sulfur oxides generated by fossil fuel combustion. To achieve this goal, the sulfur content should be reduced in fuel. In this context, vanadium-containing materials [...] Read more.
One of the current challenges is the reduction of sulfur emitted into the atmosphere, usually in the form of sulfur oxides generated by fossil fuel combustion. To achieve this goal, the sulfur content should be reduced in fuel. In this context, vanadium-containing materials based on SBA-15 mesoporous silica supports and two different sources of vanadium were prepared, characterized, and applied as catalysts for oxidative desulfurization (CODS) and extractive oxidative desulfurization processes (ECODSs). The novelty of this work was the comparative study of vanadium-containing materials in two desulfurization systems. The properties of the catalysts, the concentration and state of vanadium species, and their role in the catalytic process were examined by low-temperature nitrogen physisorption, XRD, UV-Vis, XPS, and chemisorption of pyridine combined with FTIR spectroscopy. The catalytic performance of the material prepared using ammonium metavanadate was superior to that of the catalyst obtained using vanadium(IV) oxide sulfate, which was explained by a higher concentration of vanadium species on the surface of the support and their lower oxidation state in the former. Both types of catalysts showed high activity and stability in the ECODS process. Full article
(This article belongs to the Special Issue Applications of Silica and Silica-Based Composites)
Show Figures

Figure 1

16 pages, 5148 KB  
Article
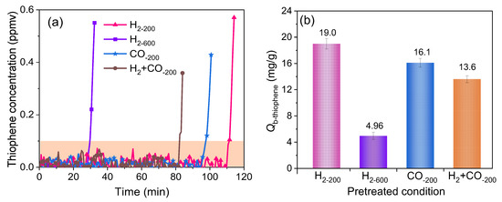
Metal Modified NaY Zeolite as Sorbent for the Ultra-Deep Removal of Thiophene in Simulated Coke Oven Gas
by Fanjing Wei, Xiaoqin Guo, Weiren Bao, Liping Chang and Junjie Liao
Energies 2022, 15(7), 2620; https://doi.org/10.3390/en15072620 - 3 Apr 2022
Cited by 6 | Viewed by 2419
Abstract
The ultra-deep removal of thiophene is essential for the conversion of coke oven gas to methane and metal modified Y zeolite has excellent thiophene adsorption capacity. The effects of temperature on chemisorption between metal modified Y zeolite and thiophene and the reductive gases [...] Read more.
The ultra-deep removal of thiophene is essential for the conversion of coke oven gas to methane and metal modified Y zeolite has excellent thiophene adsorption capacity. The effects of temperature on chemisorption between metal modified Y zeolite and thiophene and the reductive gases in coke oven gas on the thiophene adsorption performance still remains ambiguous. To address the aforementioned aims, series of NaMY (M = Ce, Ni, Zn and Ag) were prepared via ion-exchanged with Na+ of NaY, and two comparable sets of thiophene adsorption evaluation were conducted in a fixed bed reactor: (1) NaY and NaMY were evaluated at different temperatures in simulated coke oven gas, and (2) NaCeY was evaluated in N2 and different reductive atmospheres. The results show that NaNiY, NaZnY and NaAgY could adsorb thiophene via π-complexation, however, NaCeY mainly through S-Ce bond. Π complexation becomes weak above 150 °C, and the strength of S-Ce bond varies little when the temperature rises to 250 °C. Compared with that of other sorbents, the breakthrough adsorption capacity for thiophene (Qb-thiophene) of NaAgY reaches the highest 144 mg/g at 100 °C, but decreases sharply when temperature rises to 200 °C. NaCeY has relatively low variation in Qb-thiophene from 100 °C to 200 °C. Moreover, Ce(IV) in NaCeY is more favorable for thiophene adsorption than Ce(III) in coke oven gas and the presence of H2 and CO would reduce the desulfurization activity of NaCeY. For the industrial utilization of thiophene ultra-deep removal, NaAgY has an excellent potential below 150 °C, while NaCeY with more Ce(IV) has a good prospect at 150–250 °C. Full article
Show Figures

Graphical abstract

19 pages, 3571 KB  
Article
Effective Interactions of Ag Nanoparticles on the Surface of SBA-15 in Performing Deep Desulfurization of Real Diesel Fuel
by Clenildo de Longe, Rafael Viana Sales, Anne Beatriz Figueira Câmara, Heloise Oliveira Medeiros de Araújo Moura, Enrique Rodríguez-Castellón, Sibele Berenice Castellã Pergher, Leila Maria Aguilera Campos, Maritza Montoya Urbina and Luciene Santos de Carvalho
Catalysts 2020, 10(5), 593; https://doi.org/10.3390/catal10050593 - 25 May 2020
Cited by 10 | Viewed by 3477
Abstract
SBA-15 materials as-synthesized and impregnated with Ag nanoparticles were applied to perform adsorptive desulfurization of real diesel fuel. High-angle annular dark-field scanning transmission electron microscopy and field-emission scanning electron microscopy coupled with energy-dispersive X-ray spectroscopy (HAADF-STEM-EDX and FESEM-EDX) and X-ray photoelectron spectroscopy (XPS) [...] Read more.
SBA-15 materials as-synthesized and impregnated with Ag nanoparticles were applied to perform adsorptive desulfurization of real diesel fuel. High-angle annular dark-field scanning transmission electron microscopy and field-emission scanning electron microscopy coupled with energy-dispersive X-ray spectroscopy (HAADF-STEM-EDX and FESEM-EDX) and X-ray photoelectron spectroscopy (XPS) results confirmed that there is uniform distribution of Ag nanodomains on the surface and in the channels of a 2AgSBA-15 (2% Ag) sample. The interaction between sulfur compounds and adsorbent mainly occurred via π-complexation mechanisms, as observed via XPS and equilibrium data. The kinetic results for 2AgSBA-15 were better fitted to the pseudo-second-order model (R2 > 0.9999), indicating that the determining step of the adsorptive process is chemisorption, whereas the equilibrium results were better fitted to the Langmuir model (R2 > 0.9994), thus indicating that the adsorption occurs on the adsorbent surface monolayer with significant adsorption capacity (qm = 20.30 mgS/g), approximately two times greater than that observed for pure SBA-15. The mean desulfurization reached by the adsorbents was up to 86.8% for six recycling steps. Full article
(This article belongs to the Special Issue SBA-15 and Catalysis)
Show Figures

Graphical abstract

18 pages, 4150 KB  
Article
Simultaneous Catalysis of Sulfite Oxidation and Uptake of Heavy Metals by Bifunctional Activated Carbon Fiber in Magnesia Desulfurization
by Yuguo Wang, Tieyue Qi, Mengxuan Hu, Yu Yang, Lei Xing and Lidong Wang
Catalysts 2020, 10(2), 244; https://doi.org/10.3390/catal10020244 - 18 Feb 2020
Cited by 10 | Viewed by 4134
Abstract
Sulfite and heavy metals are crucial pollutants in the slurry produced by flue gas desulfurization. In this study, a novel cobalt-based activated carbon fiber (Co-ACFs) catalyst-adsorbent was synthesized using an impregnation method; this bifunctional catalyst-adsorbent was used in wet magnesia desulfurization for the [...] Read more.
Sulfite and heavy metals are crucial pollutants in the slurry produced by flue gas desulfurization. In this study, a novel cobalt-based activated carbon fiber (Co-ACFs) catalyst-adsorbent was synthesized using an impregnation method; this bifunctional catalyst-adsorbent was used in wet magnesia desulfurization for the simultaneous catalytic oxidation of magnesium sulfite and uptake of heavy metal (Hg2+, Cd2+, and Ni2+) ions. The morphology and surface chemistry of ACFs before and after cobalt loading were investigated using various characterization methods. The kinetics on catalytic oxidation of magnesium sulfite was investigated, and the effects of operation conditions on the simultaneous adsorption capacity of heavy metals were examined. Relative to a non-catalysis material, the 40% Co-ACFs material increased the oxidation rate of magnesium sulfite by more than five times. The Langmuir model can describe the adsorption behavior of Co-ACFs on Hg2+, Cd2+, and Ni2+, indicating that the simultaneous uptake of heavy metals is a single-layer adsorption process. The maximum adsorption capacities for Hg2+, Cd2+, and Ni2+ are 333.3, 500, and 52.6 mg/g, respectively. A pseudo-second-order model confirmed that the removal of heavy metals is controlled by the chemisorption process. Full article
Show Figures

Graphical abstract

22 pages, 5198 KB  
Article
Assessment of Ag Nanoparticles Interaction over Low-Cost Mesoporous Silica in Deep Desulfurization of Diesel
by Rafael V. Sales, Heloise O. M. A. Moura, Anne B. F. Câmara, Enrique Rodríguez-Castellón, José A. B. Silva, Sibele B. C. Pergher, Leila M. A. Campos, Maritza M. Urbina, Tatiana C. Bicudo and Luciene S. de Carvalho
Catalysts 2019, 9(8), 651; https://doi.org/10.3390/catal9080651 - 30 Jul 2019
Cited by 21 | Viewed by 4097
Abstract
Chemical interactions between metal particles (Ag or Ni) dispersed in a low-cost MCM-41M produced from beach sand amorphous silica and sulfur compounds were evaluated in the deep adsorptive desulfurization process of real diesel fuel. N2 adsorption-desorption isotherms, X-ray diffraction (XRD), X-ray [...] Read more.
Chemical interactions between metal particles (Ag or Ni) dispersed in a low-cost MCM-41M produced from beach sand amorphous silica and sulfur compounds were evaluated in the deep adsorptive desulfurization process of real diesel fuel. N2 adsorption-desorption isotherms, X-ray diffraction (XRD), X-ray photoelectron spectroscopy (XPS), high-resolution transmission electron microscopy (HRTEM) and scanning transmission electron microscopy coupled to energy-dispersive X-ray spectroscopy (STEM-EDX) were used for characterizing the adsorbents. HRTEM and XPS confirmed the high dispersion of Ag nanoparticles on the MCM-41 surface, and its chemical interaction with support and sulfur compounds by diverse mechanisms such as π-complexation and oxidation. Thermodynamic tests indicated that the adsorption of sulfur compounds over Ag(I)/MCM-41M is an endothermic process under the studied conditions. The magnitude of ΔH° (42.1 kJ/mol) indicates that chemisorptive mechanisms govern the sulfur removal. The best fit of kinetic and equilibrium data to pseudo-second order (R2 > 0.99) and Langmuir models (R2 > 0.98), respectively, along with the results for intraparticle diffusion and Boyd’s film-diffusion kinetic models, suggest that the chemisorptive interaction between organosulfur compounds and Ag nanosites controls sulfur adsorption, as seen in the XPS results. Its adsorption capacity (qm = 31.25 mgS/g) was 10 times higher than that obtained for pure MCM-41M and double the qm for the Ag(I)/MCM-41C adsorbent from commercial silica. Saturated adsorbents presented a satisfactory regeneration rate after a total of five sulfur adsorption cycles. Full article
Show Figures

Graphical abstract

20 pages, 7355 KB  
Article
Calcium Sulfate Hemihydrate Whiskers Obtained from Flue Gas Desulfurization Gypsum and Used for the Adsorption Removal of Lead
by Xiaoshu Wang, Lei Wang, Yan Wang, Ruiqi Tan, Xing Ke, Xian Zhou, Junjun Geng, Haobo Hou and Min Zhou
Crystals 2017, 7(9), 270; https://doi.org/10.3390/cryst7090270 - 4 Sep 2017
Cited by 54 | Viewed by 9624
Abstract
Abstract: As a recycled material, flue gas desulfurization gypsum has been used to prepare calcium sulfate hemihydrate whisker (CSHW) through hydrothermal synthesis for several decades. However, the subsequent utilization of this resultant material has not yet received considerable attention. In the [...] Read more.
Abstract: As a recycled material, flue gas desulfurization gypsum has been used to prepare calcium sulfate hemihydrate whisker (CSHW) through hydrothermal synthesis for several decades. However, the subsequent utilization of this resultant material has not yet received considerable attention. In the present research, CSHW was successfully synthesized at a certain region, and was used for the adsorption of lead ions from aqueous solutions, thereby broadening the research field for the practical application of CSHW. Its adsorption capacity was significantly influenced by various parameters, particularly, the pH level and initial lead concentration. The pH value highly affected the hydrolysis degree of lead ions and dominated the adsorption of lead. The equilibrium isotherms under two different temperatures were simulated using Langmuir, Freundlich, and Temkin models. Both Langmuir and Temkin models showed a good fit to the data. Combined with the well-fitted pseudo-second-order model, the adsorption mechanism was thought to be a chemisorption process that was enforced by the ion exchange reaction. In addition, the specific crystal structure of CSHW revealed that ion exchange reaction occurred on the (010) and (100) facets due to their preferential growth and negatively charged property. The residual solid phase after adsorption was collected and detected using X-ray diffraction and scanning electron microscopy with energy dispersive X-ray spectroscopy. Results revealed that PbSO4 was formed on the surface of CSHW. The alkaline condition introduced the tribasic lead sulfate, and thus reduced the stability of the adsorption system. Full article
Show Figures

Graphical abstract

Back to TopTop