Sign in to use this feature.

Years

Between: -

Subjects

remove_circle_outline
remove_circle_outline
remove_circle_outline
remove_circle_outline
remove_circle_outline
remove_circle_outline
remove_circle_outline
remove_circle_outline
remove_circle_outline

Journals

remove_circle_outline
remove_circle_outline
remove_circle_outline
remove_circle_outline
remove_circle_outline
remove_circle_outline
remove_circle_outline
remove_circle_outline
remove_circle_outline

Article Types

Countries / Regions

remove_circle_outline
remove_circle_outline
remove_circle_outline
remove_circle_outline
remove_circle_outline

Search Results (637)

Search Parameters:
Keywords = carbon constituents

Order results
Result details
Results per page
Select all
Export citation of selected articles as:
21 pages, 3827 KB  
Article
Systematic Analysis of Nutritional Components and Characteristics in Red-Fleshed Dragon Fruit from Different Origins Using Non-Targeted Metabolomics
by Zhibing Zhao, Lang Wang, Yinmei Luo and Liangjie Ba
Horticulturae 2025, 11(12), 1436; https://doi.org/10.3390/horticulturae11121436 - 27 Nov 2025
Viewed by 237
Abstract
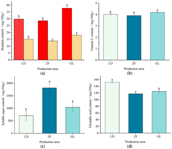
This research sought to analyze the nutritional composition of red-fleshed dragon fruit cultivated in various regions of Guizhou, focusing on samples obtained from three distinct production areas: Guanling (GL), Zhenfeng (ZF), and Luodian (LD). The findings revealed notable regional variations in nutritional constituents. [...] Read more.
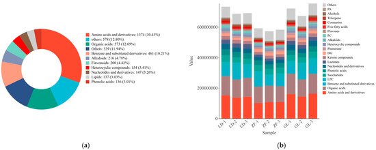
This research sought to analyze the nutritional composition of red-fleshed dragon fruit cultivated in various regions of Guizhou, focusing on samples obtained from three distinct production areas: Guanling (GL), Zhenfeng (ZF), and Luodian (LD). The findings revealed notable regional variations in nutritional constituents. Specifically, the GL samples exhibited the highest concentrations of betacyanin, vitamin C, total phenolics, and flavonoids; ZF samples demonstrated the greatest levels of soluble sugars alongside the lowest titratable acidity, whereas LD samples presented the opposite trend. Through non-targeted metabolomic profiling, a total of 4515 metabolites were identified. Multivariate analyses, including principal component analysis (PCA) and orthogonal partial least squares discriminant analysis (OPLS-DA), indicated that metabolic differences corresponded with geographical origin. Furthermore, the OPLS-DA S-plot identified L-Histidine, Glu-Leu, Uridine, Leu-Glu, (2S)-2-Isopropylmalate, 2-amino-4-({1-[(carboxymethyl)-C-hydroxycarbonimidoyl]-2-[(3-hydroxy-2-methyl-4-oxobutan-2-yl}sulfanyl]ethyl)-C-hydroxycarbonimidoyl)butanoic acid, Leu-Leu-Ser-Pro-Tyr, 1,1′-bis(iso-13-carbon saturated acyl)-2-(iso-12-carbon saturated acyl)-3-[(9Z,11Z)-octadecadienoyl] cardiolipin. The eight characteristic metabolites under scrutiny can evidently differentiate dragon fruits from disparate regions and thus serve as potential markers for distinguishing their origins. This study offers a theoretical foundation for quality assessment, investigations into health benefits, and the sustainable advancement of the dragon fruit industry. Full article
Show Figures

Figure 1

32 pages, 2751 KB  
Review
Mapping Life Cycle Assessment Methods for Components of Carbon Fibre Metal Laminates: A Systematic and AI-Based Review of Aluminium, Carbon Fibre, and Epoxy Resin
by Isla Hodgkinson, Maximilian Barth and Christina Dornack
Sustainability 2025, 17(23), 10445; https://doi.org/10.3390/su172310445 - 21 Nov 2025
Viewed by 249
Abstract
This study presents a systematic literature review of Life Cycle Assessment (LCA) methodologies applied to the principal constituents of Carbon Fibre Metal Laminates (CFMLs): aluminium, carbon fibres, and epoxy resin. CFMLs are increasingly utilised in aerospace and automotive sectors due to their favourable [...] Read more.
This study presents a systematic literature review of Life Cycle Assessment (LCA) methodologies applied to the principal constituents of Carbon Fibre Metal Laminates (CFMLs): aluminium, carbon fibres, and epoxy resin. CFMLs are increasingly utilised in aerospace and automotive sectors due to their favourable strength-to-weight ratio; however, their production is resource- and energy-intensive, and their composite structure poses significant challenges for end-of-life (EoL) management. This review maps the diversity of existing LCA approaches, revealing substantial heterogeneity in system boundaries, impact categories, and geographical representativeness. A strong regional focus on Asia, and China in particular, was identified in the case of aluminium, as almost half of the aluminium sources were in this geography. For carbon fibres and epoxy resins, the regional impact was even more pronounced, with 63% and 70% of publications originating from Europe, respectively, hence showing an underrepresentation of certain life cycle geography, such as bauxite mining regions. A key finding is the limited consideration of EoL scenarios, primarily due to difficulties in separating composite layers, which highlights the technical gap and need for a chemically or thermally separable intermediate layer for carbon fibre composites. Furthermore, the study compares traditional keyword-based literature searches with AI-driven tools (Undermind, You.com, Litmaps), demonstrating that AI-assisted methods substantially enhance the efficiency and comprehensiveness of literature retrieval. Notably, although Undermind contributed only 23% of the initial search results, it accounted for 39% of the publications ultimately selected for in-depth analysis. In contrast, the standard Web of Science (WoS) search exhibited the lowest precision, with merely 10% of its results deemed relevant for detailed review. Importantly, 70% of the total WoS search results were excluded following an initial human screening, which underlines the extensive filtering required to identify pertinent studies from broad database outputs. The findings highlight the higher efficiency of AI-supported search strategies in comparison to conventional approaches, underscoring their potential to optimise literature screening processes in LCA research while also revealing shortcomings in reproducibility, which must be addressed to ensure the maintenance of scientific standards. Full article
(This article belongs to the Special Issue Smart Manufacturing Operations Management and Sustainability)
Show Figures

Figure 1

18 pages, 4565 KB  
Article
Effect of Temperature on Corrosion of HSLA Steels with Different Cr Contents in a Water-Saturated Supercritical CO2 Environment
by Qilin Ma, Shilin Liu, Yi Ren, Leng Peng, Ba Li, Chengjia Shang and Shujun Jia
Materials 2025, 18(22), 5243; https://doi.org/10.3390/ma18225243 - 20 Nov 2025
Viewed by 265
Abstract
This study investigates the effects of chromium (0.4~1.2) Cr content and temperature (35–80 °C) on the corrosion behavior and mechanisms of steels in a water-saturated supercritical CO2 (S-CO2) environment, aiming to provide theoretical foundations for material selection and corrosion management [...] Read more.
This study investigates the effects of chromium (0.4~1.2) Cr content and temperature (35–80 °C) on the corrosion behavior and mechanisms of steels in a water-saturated supercritical CO2 (S-CO2) environment, aiming to provide theoretical foundations for material selection and corrosion management in S-CO2 pipeline systems. Results indicate that increasing Cr content promotes the formation of granular bainite as the dominant microstructure, accompanied by refined martensite–austenite (MA) constituents with increased population and reduced dimensions, leading to enhanced strength at the expense of toughness. In the S-CO2/H2O environment, Cr reacts with CO2 to form a dense Cr2O3 layer, significantly suppressing the corrosion rate. Temperature critically governs corrosion kinetics: at 35 °C, where S-CO2 exhibits maximum density and CO2 solubility in water peaks, electrochemical corrosion dominates, resulting in the highest corrosion rate. As temperature rises, the corrosion mechanism transitions to chemical corrosion, while accelerated formation of protective corrosion product films further reduces corrosion rates. Mechanistic analysis reveals that uniform corrosion arises from carbonic acid generated by water dissolution in S-CO2, whereas localized corrosion intensifies upon direct contact between precipitated aqueous phases and the steel surface. These findings offer critical theoretical foundations for optimizing material design, operational parameters, and corrosion mitigation strategies in S-CO2 transportation infrastructure. Full article
Show Figures

Figure 1

23 pages, 5712 KB  
Article
Ginseng-Derived Carbon Quantum Dots Enhance Systemic Exposure of Bioactive Ginsenosides and Amplify Energy Metabolism in Mice
by Huiqiang Liu, Xin Sun, Bo Yang, Chuan Lin, Xiwu Zhang, Hui Sun, Xiangcai Meng, Yufeng Bai, Tao Zhang, Guangli Yan, Ying Han and Xijun Wang
Pharmaceutics 2025, 17(11), 1485; https://doi.org/10.3390/pharmaceutics17111485 - 17 Nov 2025
Viewed by 455
Abstract
Objective: To overcome the extremely low oral bioavailability of ginsenosides in traditional ginseng preparations, this study aimed to evaluate the efficacy of a novel ginseng-derived carbon quantum dots (G-CQDs) delivery system and to elucidate its core bioactive constituents and integrated mechanisms of action. [...] Read more.
Objective: To overcome the extremely low oral bioavailability of ginsenosides in traditional ginseng preparations, this study aimed to evaluate the efficacy of a novel ginseng-derived carbon quantum dots (G-CQDs) delivery system and to elucidate its core bioactive constituents and integrated mechanisms of action. Methods: G-CQDs were prepared from ginseng roots via ultrahigh-speed nitrogen jet pulverization combined with far-infrared pulse-assisted hydrothermal carbonization. Their physicochemical properties were characterized by transmission electron microscopy, Fourier-transform infrared spectroscopy, and fluorescence spectroscopy. The in vivo effects of G-CQDs versus traditional ginseng aqueous extract (G-AE) were compared in C57BL/6 mice (n = 12/group) using the PRO-MRRM-8 Comprehensive Laboratory Animal Monitoring System for real-time, non-invasive phenotyping of energy metabolism parameters (respiratory quotient, heat production, and oxygen consumption). Systemic exposure to ginseng bioactives was profiled using UHPLC-Q/Orbitrap/LTQ high-resolution mass spectrometry, followed by bivariate correlation analysis to identify key bioactive components linked to efficacy. Results: Compared with G-AE, G-CQDs significantly enhanced whole-body energy metabolism—respiratory quotient +2.8%, heat production +6.7%, and locomotor activity +22.9% (p < 0.05). A total of 110 in vitro constituents, 35 blood prototypes, and 29 metabolites were identified. Correlation analysis revealed eight core bioactive clusters linked to the metabolic benefits; all showed higher systemic exposure with G-CQDs (range +9.2% to +265.8%), notably ginsenoside Re +69.6%, cinnamic acid + O + SO3 +157.4%, and linolenic acid–GSH conjugate +265.8%. Conclusions: Carbon quantum dot technology significantly enhances the systemic exposure of ginseng bioactivities by improving solubility and enhancing gastrointestinal absorption, providing a molecular basis for its superior efficacy in regulating energy metabolism compared to conventional extracts. This study establishes a novel framework for developing high-value, bioavailability-enhanced nano-preparations from traditional medicines. Full article
(This article belongs to the Section Nanomedicine and Nanotechnology)
Show Figures

Figure 1

17 pages, 3997 KB  
Article
Hydrogeochemical Characterization, Processes, and Water Quality Assessment of Groundwater in an Agricultural Reclamation Area of the Sanjiang Plain, China
by Min Wang and Mingguo Wang
Water 2025, 17(22), 3257; https://doi.org/10.3390/w17223257 - 14 Nov 2025
Viewed by 369
Abstract
Understanding groundwater quality and its controlling mechanisms is vital for the sustainable use of water resources in agriculturally intensive regions. This study evaluates the hydrochemical characteristics, controlling geochemical processes, and overall water quality of 226 groundwater samples collected from a typical agricultural reclamation [...] Read more.
Understanding groundwater quality and its controlling mechanisms is vital for the sustainable use of water resources in agriculturally intensive regions. This study evaluates the hydrochemical characteristics, controlling geochemical processes, and overall water quality of 226 groundwater samples collected from a typical agricultural reclamation area in the Sanjiang Plain, northeastern China. Major ion compositions indicate that groundwater is predominantly of the Ca–HCO3 type, with bicarbonate, calcium, and magnesium as the dominant constituents. Spatial and statistical analyses reveal that rock weathering—particularly the dissolution of carbonates and silicates—is the primary natural process influencing groundwater chemistry, while cation exchange contributes moderately. Anthropogenic inputs, especially from fertilizers, livestock waste, and wastewater discharge, were found to elevate concentrations of NO3, Cl, and SO42− in localized zones. The entropy-weighted water quality index (EWQI) was applied to assess overall groundwater suitability. Results show that 89.8% of samples fall into “excellent” or “good” categories, though 6.6% of samples indicate poor to very poor water quality. This study identified the hydrochemical characteristics, sources of substances, and water quality of groundwater in the reclamation area, providing a basis for scientific prevention and control, rational utilization, and protection of groundwater resources. Full article
Show Figures

Figure 1

34 pages, 18226 KB  
Article
The Vanadium Micro-Alloying Effect on the Microstructure of HSLA Steel Welded Joints by GMAW
by Giulia Stornelli, Bryan Ramiro Rodríguez-Vargas, Anastasiya Tselikova, Rolf Schimdt, Michelangelo Mortello and Andrea Di Schino
Metals 2025, 15(10), 1127; https://doi.org/10.3390/met15101127 - 10 Oct 2025
Viewed by 655
Abstract
Structural applications that use High-Strength Low-Alloy (HSLA) steels require detailed microstructural analysis to manufacture welded components that combine strength and weldability. The balance of these properties depends on both the chemical composition and the welding parameters. Moreover, in multi-pass welds, thermal cycling results [...] Read more.
Structural applications that use High-Strength Low-Alloy (HSLA) steels require detailed microstructural analysis to manufacture welded components that combine strength and weldability. The balance of these properties depends on both the chemical composition and the welding parameters. Moreover, in multi-pass welds, thermal cycling results in a complex Heat-Affected Zone (HAZ), characterized by sub-regions with a multitude of microstructural constituents, including brittle phases. This study investigates the influence of Vanadium addition on the microstructure and performance of the HAZ. Multi-pass welded joints were manufactured on 15 mm thick S355 steels with different Vanadium contents using a robotic GMAW process. A steel variant containing both Vanadium and Niobium was also considered, and the results were compared to those of standard S355 steel. Moving through the different sub-regions of the welded joints, the results show a heterogeneous microstructure characterized by ferrite, bainite and martensite/austenite (M/A) islands. The presence of Vanadium reduces carbon solubility during the phase transformations involved in the welding process. This results in the formation of very fine (average size 11 ± 4 nm) and dispersed precipitates, as well as a lower percentage of the brittle M/A phase, in the variant with a high Vanadium content (0.1 wt.%), compared to the standard S355 steel. Despite the presence of the brittle phase, the micro-alloyed variants exhibit strengthening without loss of ductility. The combined presence of both hard and soft phases in the HAZ provides stress-damping behavior, which, together with the very fine precipitates, promises improved resistance to crack propagation under different loading conditions. Full article
Show Figures

Figure 1

16 pages, 6351 KB  
Article
The Role of La–Ti–Al–O Complex Inclusions in Microstructure Refinement and Toughness Enhancement of the Coarse-Grained Heat-Affected Zone in High-Heat-Input Welding
by Qiuming Wang, Jiangli He, Qingfeng Wang and Riping Liu
Metals 2025, 15(10), 1105; https://doi.org/10.3390/met15101105 - 3 Oct 2025
Viewed by 375
Abstract
The low-temperature impact properties of high-heat-input steels, particularly low-carbon Nb–Ti steel, are significantly influenced by the coarse-grained heat-affected zone (CGHAZ) in welded joints. The microstructure predominantly consists of granular bainitic ferrite (GBF), ferrite side plate (FSP), degenerate pearlite (DP), coarse plate-like ferrite (PF), [...] Read more.
The low-temperature impact properties of high-heat-input steels, particularly low-carbon Nb–Ti steel, are significantly influenced by the coarse-grained heat-affected zone (CGHAZ) in welded joints. The microstructure predominantly consists of granular bainitic ferrite (GBF), ferrite side plate (FSP), degenerate pearlite (DP), coarse plate-like ferrite (PF), and limited acicular ferrite (AF). This study investigates the effect of lanthanum (La) addition to Nb–Ti steel, leading to the formation of composite inclusions with a LaAlO3·TiN core surrounded by MnS/MnC precipitates. Unlike conventional Al2O3·MnS inclusions in Nb–Ti steel, these La-modified inclusions promote enhanced AF nucleation. This not only refines prior austenite grains but also reduces detrimental microstructural constituents such as GBF and FSP. As a result, the impact energy at −40 °C significantly improves from 23 J (Nb–Ti steel) to 137 J (Nb–Ti–La steel). Moreover, the inclusions exhibit an increase in size but a decrease in number density. The Nb–Ti–La variant demonstrates a higher AF volume fraction and increased AF density within the CGHAZ. The refined grain structure, along with an increased proportion of high-angle grain boundaries, effectively impedes secondary crack propagation. These microstructural modifications contribute to a substantial improvement in the low-temperature impact toughness of welded joints. Full article
Show Figures

Figure 1

12 pages, 3235 KB  
Article
Biological Control Versus Environmental Influence in Serpulid Tube Calcification
by Chunmei Xin and Luoyang Li
Minerals 2025, 15(10), 1034; https://doi.org/10.3390/min15101034 - 29 Sep 2025
Viewed by 356
Abstract
Serpulids are among the few annelid groups capable of building skeletal structures by secreting calcium carbonate. Compared with other biomineralizing organisms, their control over tube construction is relatively limited, making them vulnerable to environmental changes. To distinguish between intrinsic biological regulation and extrinsic [...] Read more.
Serpulids are among the few annelid groups capable of building skeletal structures by secreting calcium carbonate. Compared with other biomineralizing organisms, their control over tube construction is relatively limited, making them vulnerable to environmental changes. To distinguish between intrinsic biological regulation and extrinsic environmental influence in tube formation, we examine the calcareous tube of Hydroides elegans, focusing on the tube ultrastructure, mineral composition, elemental distribution, organic-inorganic constituents, and biomineralization mechanism. The results show that the tube consists of three superimposed layers: an innermost organic sheet, an intermediate lamello-fibrillar calcite layer, and an outermost spherulitic prismatic calcite layer. The outer spherulitic prismatic layer frequently exhibits bioerosion, trapped sedimentary particles, and fan-shaped aragonite aggregates, indicating pronounced environmental influence. In contrast, the middle lamello-fibrillar calcite fabric is highly organized and closely integrated with the innermost organic sheet, indicating strictly biological controls. This study highlights the combined effect of biological controls and environmental influences in serpulid tube calcification, contributing to our understanding of their adaptive evolution in changing oceans. Full article
(This article belongs to the Section Biomineralization and Biominerals)
Show Figures

Figure 1

37 pages, 2119 KB  
Review
Recycled Components in 3D Concrete Printing Mixes: A Review
by Marcin Maroszek, Magdalena Rudziewicz and Marek Hebda
Materials 2025, 18(19), 4517; https://doi.org/10.3390/ma18194517 - 28 Sep 2025
Cited by 1 | Viewed by 2080
Abstract
Rapid population growth and accelerating urbanization are intensifying the demand for construction materials, particularly concrete, which is predominantly produced with Portland cement and natural aggregates. This reliance imposes substantial environmental burdens through resource depletion and greenhouse gas emissions. Within the framework of sustainable [...] Read more.
Rapid population growth and accelerating urbanization are intensifying the demand for construction materials, particularly concrete, which is predominantly produced with Portland cement and natural aggregates. This reliance imposes substantial environmental burdens through resource depletion and greenhouse gas emissions. Within the framework of sustainable construction, recycled aggregates and industrial by-products such as fly ash, slags, crushed glass, and other secondary raw materials have emerged as viable substitutes in concrete production. At the same time, three-dimensional concrete printing (3DCP) offers opportunities to optimize material use and minimize waste, yet it requires tailored mix designs with controlled rheological and mechanical performance. This review synthesizes current knowledge on the use of recycled construction and demolition waste, industrial by-products, and geopolymers in concrete mixtures for 3D printing applications. Particular attention is given to pozzolanic activity, particle size effects, mechanical strength, rheology, thermal conductivity, and fire resistance of recycled-based composites. The environmental assessment is considered through life-cycle analysis (LCA), emphasizing carbon footprint reduction strategies enabled by recycled constituents and low-clinker formulations. The analysis demonstrates that recycled-based 3D printable concretes can maintain or enhance structural performance while mix-level (cradle-to-gate, A1–A3) LCAs of printable mixes report CO2 reductions typically in the range of ~20–50% depending on clinker substitution and recycled constituents—with up to ~48% for fine recycled aggregates when accompanied by cement reduction and up to ~62% for mixes with recycled concrete powder, subject to preserved printability. This work highlights both opportunities and challenges, outlining pathways for advancing durable, energy-efficient, and environmentally responsible 3D-printed construction materials. Full article
(This article belongs to the Special Issue Research on Alkali-Activated Materials (Second Edition))
Show Figures

Figure 1

18 pages, 10787 KB  
Article
Experimental Investigations into the Ignitability of Real Lithium Iron Phosphate (LFP) Battery Vent Gas at Concentrations Below the Theoretical Lower Explosive Limit (LEL)
by Jason Gill, Jonathan E. H. Buston, Gemma E. Howard, Steven L. Goddard, Philip A. P. Reeve and Jack W. Mellor
Batteries 2025, 11(10), 352; https://doi.org/10.3390/batteries11100352 - 27 Sep 2025
Viewed by 893
Abstract
Lithium iron phosphate (LFP) batteries have become a popular choice for energy storage, electrified mobility, and plants. All lithium-based batteries produce flammable vent gas as a result of failure through thermal runaway. LFP cells produce less gas by volume than nickel-based cells, but [...] Read more.
Lithium iron phosphate (LFP) batteries have become a popular choice for energy storage, electrified mobility, and plants. All lithium-based batteries produce flammable vent gas as a result of failure through thermal runaway. LFP cells produce less gas by volume than nickel-based cells, but the composition of this gas most often contains less carbon dioxide and more hydrogen. However, when LFP cells fail, they generate lower temperatures, so the vent gas is rarely ignited. Therefore, the hazard presented by a LFP cell in thermal runaway is less of a direct battery fire hazard but more of a flammable gas source hazard. This research identified the constituents and components of the vent gas for different sized LFP prismatic cells when overcharged to failure. This data was used to calculate the maximum homogenous concentration of gas that would be released into a 1.73 m3 test rig and the percentage of the lower explosive limit (LEL). Overcharge experiments were conducted using the same type of cells in the test rig in the presence of remote ignition sources. Ignition and deflagration of the vent gas were possible at concentrations below the theoretical LEL of the vent gas if it was homogeneously mixed. Full article
Show Figures

Figure 1

7 pages, 1562 KB  
Article
Co-Adsorption of Formic Acid and Hexane Selenol on Cu
by Mats Ahmadi Götelid, Sareh Ahmadi Götelid, Saman Hosseinpour, Christofer Leygraf and C. Magnus Johnson
Corros. Mater. Degrad. 2025, 6(4), 48; https://doi.org/10.3390/cmd6040048 - 26 Sep 2025
Viewed by 530
Abstract
Self-assembled monolayers of alkane thiolate and alkane selenolate have been proven to inhibit atmospheric corrosion, but upon prolonged exposure to the important constituents of indoor atmosphere, namely humidified air with formic acid, the protective layer eventually breaks, but the exact reason is not [...] Read more.
Self-assembled monolayers of alkane thiolate and alkane selenolate have been proven to inhibit atmospheric corrosion, but upon prolonged exposure to the important constituents of indoor atmosphere, namely humidified air with formic acid, the protective layer eventually breaks, but the exact reason is not yet clear. In this paper, we report on an XPS study of co-adsorbed formic acid and hexane selenol on a Cu surface. Adsorption of hexane selenol at room temperature breaks the Se-C bond, leaving a monolayer of Se on the surface, whereas adsorption at 140 K leaves a layer of selenolate. Formic acid exposure to the selenolate-Cu surface leads to adsorbed formate on unprotected areas and absorption of formic acid within the alkane chain network. During heating, the formic acid desorbs and the Se-C bond breaks, but formic acid does not accelerate the Se-C scission, which occurs just below room temperature both with and without formic acid. Thus, formic acid alone does not affect the Se-C bond, but its presence may create disorder and open up the alkane carpet for other species. Selenol removes formate and oxide from the surface at room temperature. The Se-C bond breaks and the alkane chain reacts with surface oxygen to form carbon oxides and volatile hydrocarbons. Full article
Show Figures

Figure 1

38 pages, 6969 KB  
Review
Nanotechnology for Biomedical Applications: Synthesis and Properties of Ti-Based Nanocomposites
by Maciej Tulinski, Mieczyslawa U. Jurczyk, Katarzyna Arkusz, Marek Nowak and Mieczyslaw Jurczyk
Nanomaterials 2025, 15(18), 1417; https://doi.org/10.3390/nano15181417 - 15 Sep 2025
Viewed by 951
Abstract
Nanobiocomposites are a class of biomaterials that include at least one phase with constituents in the nanometer range. Nanobiocomposites, a new class of materials formed by combining natural and inorganic materials (metals, ceramics, polymers, and graphene) at the nanoscale dimension, are expected to [...] Read more.
Nanobiocomposites are a class of biomaterials that include at least one phase with constituents in the nanometer range. Nanobiocomposites, a new class of materials formed by combining natural and inorganic materials (metals, ceramics, polymers, and graphene) at the nanoscale dimension, are expected to revolutionize tissue engineering and bone implant applications because of their enhanced corrosion resistance, mechanical properties, biocompatibility, and antimicrobial activity. Titanium-based nanocomposites are gaining attention in biomedical applications due to their exceptional biocompatibility, corrosion resistance, and mechanical properties. These composites typically consist of a titanium or titanium alloy matrix that is embedded with nanoscale bioactive phases, such as hydroxyapatite, bioactive glass, polymers, or carbon-based nanomaterials. Common methods for synthesizing Ti-based nanobiocomposites and their parts, including bottom-up and top-down approaches, are presented and discussed. The synthesis conditions and appropriate functionalization influence the final properties of nanobiomaterials. By modifying the surface roughness at the nanoscale level, composite implants can be enhanced to improve tissue integration, leading to increased cell adhesion and protein adsorption. The objective of this review is to illustrate the most recent research on the synthesis and properties of Ti-based biocomposites and their scaffolds. Full article
(This article belongs to the Special Issue Nanobiocomposite Materials: Synthesis, Properties and Applications)
Show Figures

Figure 1

26 pages, 17311 KB  
Article
Spatial Association and Driving Factors of the Carbon Emission Decoupling Effect in Urban Agglomerations of the Yellow River Basin
by Zhiqiang Zhang, Weiwei Wang, Junyu Chen, Chunhui Han, Lu Zhang, Xizhi Lv, Li Yang and Guotao Cui
Land 2025, 14(9), 1838; https://doi.org/10.3390/land14091838 - 9 Sep 2025
Viewed by 544
Abstract
Harmonizing economic growth and carbon emissions is key to reaching the “dual carbon” targets. This research centers on the seven key urban agglomerations within the Yellow River Basin (YRB) and establishes an integrated research framework of decoupling effect quantification–spatial association recognition–driving factor analysis. [...] Read more.
Harmonizing economic growth and carbon emissions is key to reaching the “dual carbon” targets. This research centers on the seven key urban agglomerations within the Yellow River Basin (YRB) and establishes an integrated research framework of decoupling effect quantification–spatial association recognition–driving factor analysis. By combining the Tapio decoupling model, a modified gravity model, social network analysis (SNA), and the Logarithmic Mean Divisia Index (LMDI) method, the study systematically evaluates the decoupling states, spatial association structure, and driving mechanisms between regional carbon emissions and economic growth from 2001 to 2020. The results show that: (1) All seven urban agglomerations exhibit a simultaneous upward trend in both carbon emissions and GDP, but significant regional disparities exist, with some agglomerations demonstrating a green growth pattern where economic growth outpaces carbon emissions. (2) Weak decoupling is the predominant type among urban agglomerations and their constituent cities in the YRB. Notably, some regions have regressed to growing connection or growing negative decoupling during 2016–2020. (3) The spatial network of carbon emission decoupling effects exhibits a core-periphery structure characterized by stronger eastern regions and weaker western regions, with the Shandong Peninsula and Guanzhong Plain urban agglomerations serving as core nodes for regional linkage. (4) Per capita GDP and technological level play a dominant role in promoting decoupling, while energy intensity and the population carrying intensity of the real economy are the primary inhibiting factors; the impact of industrial structure shows an unstable direction. Grounded in these findings, this study formulates differentiated carbon reduction pathways tailored to regional heterogeneity, providing theoretical insights and actionable guidance to facilitate the low-carbon transition and coordinated governance of urban agglomerations. Full article
Show Figures

Figure 1

18 pages, 728 KB  
Review
Systematic Review of Prenatal Exposure to PM2.5 and Its Chemical Components and Their Effects on Neurodevelopmental Outcomes in Neonates
by Gabriele Donzelli, Isabel Peraita-Costa, Nunzia Linzalone and María Morales-Suárez-Varela
Atmosphere 2025, 16(9), 1034; https://doi.org/10.3390/atmos16091034 - 30 Aug 2025
Viewed by 2866
Abstract
Particulate matter with a diameter less than 2.5 µm (PM2.5) and its chemical constituents—including ammonium (NH4+), sulfate (SO42−), nitrate (NO3), organic carbon (OC), soil dust, and black carbon (BC)—have been increasingly recognized [...] Read more.
Particulate matter with a diameter less than 2.5 µm (PM2.5) and its chemical constituents—including ammonium (NH4+), sulfate (SO42−), nitrate (NO3), organic carbon (OC), soil dust, and black carbon (BC)—have been increasingly recognized for their potential impact on fetal neurodevelopment. This systematic review aimed to synthesize current evidence on the relationship between prenatal exposure to PM2.5 and its chemical components and neurodevelopmental outcomes in neonates, focusing on diagnoses such as autism spectrum disorder (ASD) and attention deficit hyperactivity disorder (ADHD). Following PRISMA 2020 guidelines, a comprehensive literature search was conducted on PubMed and Embase databases from April to July 2025. Twenty-five studies meeting inclusion criteria were analyzed, of which sixteen addressed PM2.5 exposure generally, and nine assessed specific chemical constituents. The findings indicate that increased exposure to PM2.5, particularly during the third trimester, is associated with a higher risk of ASD. Additionally, prenatal exposure may adversely affect early neurodevelopmental domains including motor skills, problem-solving, and social interactions. Certain PM2.5 components, notably sulfate ions (SO42−), were identified as important contributors to neurological health outcomes. These results underscore the importance of reducing prenatal exposure to PM2.5 and its harmful constituents to protect neurodevelopment. Full article
(This article belongs to the Special Issue Air Pollution: Health Risks and Mitigation Strategies)
Show Figures

Figure 1

22 pages, 11655 KB  
Article
An Analysis of the Spatiotemporal Evolution, Key Control Features, and Driving Mechanisms of Carbon Source/Sink in the Continental Ecosystem of China’s Shandong Province from 2001 to 2020
by Xiaolong Xu, Fang Han, Junxin Zhao, Youheng Li, Ziqiang Lei, Shan Zhang and Hui Han
ISPRS Int. J. Geo-Inf. 2025, 14(9), 329; https://doi.org/10.3390/ijgi14090329 - 26 Aug 2025
Viewed by 773
Abstract
Continental ecosystems are crucial constituents of the worldwide carbon process, and their carbon source and sink processes are highly sensitive to human-induced climate change. However, the spatiotemporal changes and principal determinants of carbon source/sink in Shandong Province remain unclear. This study constructs six [...] Read more.
Continental ecosystems are crucial constituents of the worldwide carbon process, and their carbon source and sink processes are highly sensitive to human-induced climate change. However, the spatiotemporal changes and principal determinants of carbon source/sink in Shandong Province remain unclear. This study constructs six dominant control modes of carbon sources/sinks based on three carbon sink indicators (gross primary production (GPP), net primary production (NPP), and net ecosystem productivity (NEP)) and three carbon source indicators (autotrophic respiration (Ra), heterotrophic respiration (Rh), and total ecosystem respiration (Rs)), revealing the main control characteristics of the spatiotemporal dynamics of carbon source/sink in the continental ecosystems of Shandong Province. Additionally, the principal determinants of carbon sources and sinks are quantitatively analyzed using cloud models. The research findings are as follows: (1) From 2001 to 2020, the continental ecosystem of Shandong Province demonstrated a weak carbon sink overall, with both carbon sinks and sources showing fluctuating growth trends (growth rate: GPP, NEP, NPP, Rs, Ra, and Rh consist of 15.55, 6.14, 6.09, 9.59, 9.47, and 0.07 gCm−2a−1). (2) The dominant control characteristics of carbon source/sink in Shandong Province exhibit significant spatial differentiation, which can be classified into absolute carbon sink cities (Jinan, Zibo, Rizhao, Jining, Liaocheng, Zaozhuang, Binzhou, Dezhou, Tai’an) and relative carbon source cities (Weifang, Yantai, Weihai, Linyi, Qingdao, Heze, and Dongying). GPP is the dominant control factor in carbon sink areas and is widely distributed across the province, while Rs and GPP are the dominant control factors in carbon source fields, focused on the eastern coastal and southwestern inland sites. (3) Landscape modification and rainfall are the main driving elements influencing the carbon sink and source variations in Shandong Province’s continental ecosystems. (4) The spatial differentiation of the driving factors of carbon producers and reservoirs is significant. In absolute carbon sink cities, land-use change and vegetation cover are the dominant factors for carbon sinks and sources, with significant changes in both range and spatial differentiation. In relative carbon source cities, land-use change is the leading factor for carbon source/sink, and the range of changes and spatial differentiation is most notable. The observations from this study supply scientific underpinnings and reference for enhancing carbon sequestration in continental ecosystems, urban ecological safety management, and achieving carbon neutrality goals. Full article
Show Figures

Figure 1

Back to TopTop