Sign in to use this feature.

Years

Between: -

Subjects

remove_circle_outline
remove_circle_outline
remove_circle_outline
remove_circle_outline
remove_circle_outline
remove_circle_outline
remove_circle_outline
remove_circle_outline
remove_circle_outline

Journals

remove_circle_outline
remove_circle_outline
remove_circle_outline
remove_circle_outline
remove_circle_outline
remove_circle_outline
remove_circle_outline
remove_circle_outline
remove_circle_outline

Article Types

Countries / Regions

remove_circle_outline
remove_circle_outline
remove_circle_outline

Search Results (349)

Search Parameters:
Keywords = burial in soil

Order results
Result details
Results per page
Select all
Export citation of selected articles as:
27 pages, 17170 KB  
Article
Field Assessment of Subsurface Intermittent Water Flow via Porous and Emitting Pipes
by A A Alazba, M. N. Elnesr, Mohamed Shaban, Nasser Alrdyan, Farid Radwan and Mahmoud Ezzeldin
Water 2025, 17(21), 3143; https://doi.org/10.3390/w17213143 (registering DOI) - 1 Nov 2025
Abstract
Efficient water management for irrigation is critical for sustaining plant production in arid and hyper-arid regions, where optimizing emitter type, burial depth, and irrigation scheduling can significantly enhance water-use efficiency and yield. This study evaluated the effects of continuous and intermittent subsurface irrigation [...] Read more.
Efficient water management for irrigation is critical for sustaining plant production in arid and hyper-arid regions, where optimizing emitter type, burial depth, and irrigation scheduling can significantly enhance water-use efficiency and yield. This study evaluated the effects of continuous and intermittent subsurface irrigation using porous (PRP) and emitting (GRP) pipes at two installation depths (25 and 35 cm) on soil water distribution, potato germination, and yield under arid conditions in Saudi Arabia. Soil water content was monitored using volumetric sampling, EnviroSCAN sensors, and HYDRUS modeling, with strong agreement observed among methods (R2 ≥ 0.92). Results showed that shallow emitter placement (25 cm) combined with intermittent irrigation (five pulses, WF5C) maximized soil water retention in the root zone, reducing deep percolation losses. The GRP25cm treatment improved soil water content by up to 140.7% at 30 cm depth and achieved the highest germination (74–83%) and yields (164.5–171.7 kg). In contrast, deeper installations (35 cm) consistently underperformed. Overall, intermittent irrigation enhanced water distribution and plant performance compared with continuous flow, leading to a 40–49% yield increase. These findings highlight the importance of emitter type, placement depth, and irrigation scheduling in optimizing water-use efficiency and plant productivity. The study provides practical recommendations for sustainable irrigation strategies in arid and hyper-arid regions facing increasing water scarcity. Full article
(This article belongs to the Section Water, Agriculture and Aquaculture)
Show Figures

Figure 1

23 pages, 2948 KB  
Article
The Use of Natural Rubber as an Initiator of LDPE Biodegradation in Soil
by Ivetta Varyan, Polina Tyubaeva, Matheus Poletto, Egor S. Morokov, Anastasia V. Bolshakova, Svetlana G. Karpova, Evgeny A. Kolesnikov and Anatoly Popov
Polymers 2025, 17(21), 2885; https://doi.org/10.3390/polym17212885 - 29 Oct 2025
Viewed by 263
Abstract
The control of the quantities of multi-tonnage polymers, in particular, making them biodegradable, is an urgent task. This study suggests a new approach in the application of natural rubber (NR) as an initiator of biodegradation of low-density polyethylene (LDPE) in soil. The study [...] Read more.
The control of the quantities of multi-tonnage polymers, in particular, making them biodegradable, is an urgent task. This study suggests a new approach in the application of natural rubber (NR) as an initiator of biodegradation of low-density polyethylene (LDPE) in soil. The study examines the structure, properties and rates of biodegradation of thin LDPE films with different content of NR. Such methods as fourier transform infrared spectroscopy (FTIR), electron paramagnetic resonance (EPR), differential scanning calorimetry (DSC), thermogravimetric analysis (TGA), scanning electron microscope (SEM), atomic force microscopy (AFM), gel-permeation chromatography (GPC), and acoustic microscopy were used for the most complete characterization of NR/LDPE composite systems. It was shown for the first time that at concentrations above 30%, NR is able to form an interpenetrating structure with the LDPE matrix, which has a decisive effect on the initiation of biodegradation during exposure in soil. Thus, the composition with 50% natural rubber exhibits the highest mass loss. The sample with 50% natural rubber content lost 70% of its mass, while the one with 40% NR content lost 38%. Furthermore, after soil burial, a significant decrease in crystallinity was observed: from 39.5% to 31.5% for the 90/10 composition and from 39.1% to 24.2% for the 50/50 composition. The results obtained are confirmed by a noticeable decrease in the molecular weight characteristics of LDPE. Full article
(This article belongs to the Special Issue Application and Degradation of Polymeric Materials in Agriculture)
Show Figures

Figure 1

14 pages, 7156 KB  
Article
Agroecology of Cyperus rotundus: Emergence Dynamics of as a Tool for Sustainable Weed Management
by Stefano Benvenuti
Sustainability 2025, 17(21), 9543; https://doi.org/10.3390/su17219543 - 27 Oct 2025
Viewed by 221
Abstract
Trials were carried out to investigate the effects of light and temperature on C. rotundus seeds and tubers under two conditions: (i) in vitro and (ii) after sowing in soil. In the latter, seedling emergence was evaluated after sowing at increasing depths in [...] Read more.
Trials were carried out to investigate the effects of light and temperature on C. rotundus seeds and tubers under two conditions: (i) in vitro and (ii) after sowing in soil. In the latter, seedling emergence was evaluated after sowing at increasing depths in different soil textures. While dormancy was evident in over 50% of the seeds, which also required light for germination, in contrast, tubers showed a significantly shorter period of dormancy that was independent of light. Seed burial strongly hindered seedling emergence, showing an “active” seed bank only in the shallowest soil layer (few mm). In contrast, tubers showed a marked ability to emerge from a depth exceeding 40 cm. Emergence capacity was found to be proportional to the size of the tubers, attributable to the greater energy reserves needed during autotrophic pre-emergence growth. Seedling emergence from both seeds and tubers, sown at increasing depths, was inhibited to a greater extent in a clay soil texture. A lower inhibitory effect was reported for sandy soils. Tuber vitality was significantly reduced or eliminated within a few days from progressive drying following exposure to solar rays during summer periods. Finally, the data were discussed within the context of planning the agronomic management of C. rotundus, in terms of soil tillage modalities, to ensure sustainable control of this strongly invasive and persistent weed. Full article
(This article belongs to the Section Sustainable Management)
Show Figures

Figure 1

21 pages, 6660 KB  
Article
Bio-Regulatory Mechanisms of Straw Incorporation in Haplic Phaeozem Region: Soil Ecosystem Responses Driven by Multi-Factor Interactions
by Yucui Ning, Zhipeng Chen, Rui Xu, Yu Yang, Shuo Wang and Dongxing Zhou
Agriculture 2025, 15(21), 2195; https://doi.org/10.3390/agriculture15212195 - 22 Oct 2025
Viewed by 232
Abstract
With the increasing global food production year by year, the effective return of crop straw to the field has become an urgent problem to be solved. This study examined the impact of straw decomposition under different return methods on soil ecosystems, focusing on [...] Read more.
With the increasing global food production year by year, the effective return of crop straw to the field has become an urgent problem to be solved. This study examined the impact of straw decomposition under different return methods on soil ecosystems, focusing on changes in soil biological characteristics. Simulating modern mechanized agricultural practices, an orthogonal experiment was conducted in the haplic Phaeozem region of Northeast China. The factors studied included the amount, length, and burial depth of straw returning. A comprehensive analysis model was built using path analysis, factor analysis, and response surface methodology to investigate the response of soil ecosystem during straw decomposition. This was assessed from four aspects: soil basic nutrients, organic carbon pool, enzyme activity, and microbial community structure. The study found evidence of a strong synergistic relationship between the soil enzyme system and straw decomposition. Notably, during the mid-phase of straw return (60 days), phosphatase and particulate organic carbon (POC) acted as “mirror” antagonistic indicators. Catalase, soil nitrate nitrogen, and POC were identified as key response indicators in the soil ecosystem post-straw return. The appropriate supplementation of nitrogen during the early (0–45 days) and late (75–90 days) stages of straw return was found to facilitate straw decomposition. These findings provide experimental evidence for the return of corn straw in cold haplic Phaeozem regions and offer scientific support for sustainable agricultural practices and national food security. Full article
(This article belongs to the Special Issue Innovative Conservation Cropping Systems and Practices—2nd Edition)
Show Figures

Figure 1

19 pages, 4151 KB  
Article
Microbial Role in Straw Organic Matter Depolymerization to Dissolved Organic Nitrogen Under Nitrogen Fertilizer Reduction in Coastal Saline Paddy Soil
by Xianglin Dai, Jianping Sun, Hao Li, Zijing Zhao, Ruiping Ma, Yahui Liu, Nan Shan, Yutao Yao and Zhizhong Xue
Microorganisms 2025, 13(10), 2333; https://doi.org/10.3390/microorganisms13102333 - 10 Oct 2025
Viewed by 357
Abstract
This study examines the effects of reduced nitrogen (N) application on rice straw N depolymerization in coastal saline paddy soil to establish a scientific basis for optimizing N application strategies during straw incorporation in coastal paddy systems. A 360-day field straw bag burial [...] Read more.
This study examines the effects of reduced nitrogen (N) application on rice straw N depolymerization in coastal saline paddy soil to establish a scientific basis for optimizing N application strategies during straw incorporation in coastal paddy systems. A 360-day field straw bag burial experiment was conducted using four N application levels: N0 (control, without N fertilizer), N1 (225 kg N/ha), N2 (300 kg N/ha), and N3 (375 kg N/ha). The results indicated that applying 300 kg N/ha significantly (p < 0.05) increased dissolved organic N (DON) content, apr and chiA gene copies, and the activities of alkaline protease, chitinase, leucine aminopeptidase, and N-acetylglucosaminidase. In addition, the application of 300 kg N/ha enhanced the synergistic effects of alkaline protein- and chitin-degrading microbial communities. Pseudomonas, Brevundimonas, Sorangium, Cohnella, and Thermosporothrix were identified as keystone taxa predominant in straw N depolymerization. Straw N depolymerization occurred by two primary pathways: direct regulation of enzyme activity by straw properties of total carbon and electrical conductivity, and indirect influence on N hydrolase activity and DON production through modified microbial community structures. The findings suggest that an application rate of 300 kg N/ha is optimal for promoting straw N depolymerization in coastal saline paddy fields. Full article
(This article belongs to the Section Environmental Microbiology)
Show Figures

Figure 1

17 pages, 2819 KB  
Article
Effect of Hydroxyvalerate Molar Percentage on Physicochemical and Degradation Properties of Electrospun Poly(3-hydroxybutyrate-co-3-hydroxyvalerate) Fibrous Membranes and Potential Application for Air Filtration
by Yaohui Liu, Cheng-Hao Lee, Yanming Wang, Chi-Wai Kan and Xiao-Ying Lu
Polymers 2025, 17(20), 2719; https://doi.org/10.3390/polym17202719 - 10 Oct 2025
Viewed by 438
Abstract
This study investigates the air filtration capabilities of fibrous membranes fabricated via electrospinning, with a focus on optimizing processing parameters. Specifically, Poly(3-hydroxybutyrate-co-3-hydroxyvalerate) (PHBV), a well-characterized biodegradable polyester, was electrospun to produce membranes exhibiting precisely controlled surface microstructures. The optimal fiber morphology was attained [...] Read more.
This study investigates the air filtration capabilities of fibrous membranes fabricated via electrospinning, with a focus on optimizing processing parameters. Specifically, Poly(3-hydroxybutyrate-co-3-hydroxyvalerate) (PHBV), a well-characterized biodegradable polyester, was electrospun to produce membranes exhibiting precisely controlled surface microstructures. The optimal fiber morphology was attained under conditions of a 20 kV applied electric field, a solution flow rate of 0.5 mL·h−1, a polymer concentration of 13 wt.%, and a needle inner diameter of 0.21 mm. The microstructural features of the electrospun PHBV membranes were characterized using scanning electron microscopy (SEM). Complementary analysis via 13C nuclear magnetic resonance (NMR) spectroscopy confirmed that the membranes comprised pure 3-hydroxyvalerate (3HV) copolymerized with 3-hydroxybutyrate (3HB) terminal units, with 3HV mole fractions ranging from 17% to 50%. The incorporation of different molar percentages of 3HV in PHBV membrane significantly enhances its durability, as evidenced by Ball Burst Strength (BBS) measurements, with an elongation at burst that is 65–86% greater than that of ASTM F2100 level 3 mask. The nanofibrous membranes exhibited a controlled pore size distribution, indicating their potential suitability for air filtration applications. Particle filtration efficiency (PFE) assessments under standard atmospheric pressure conditions showed that the optimized electrospun PHBV membranes achieved filtration efficiencies exceeding 98%. Additionally, the influence of 3HV content on biodegradation behavior was evaluated through soil burial tests conducted over 90 days. Results indicated that membranes with lower 3HV content (17 mol.%) experienced the greatest weight loss, suggesting accelerated degradation in natural soil environments. Full article
(This article belongs to the Section Polymer Membranes and Films)
Show Figures

Figure 1

24 pages, 2527 KB  
Article
Three-Dimensional Printable Photocurable Elastomer Composed of Hydroxyethyl Acrylate and Hydroxy Fatty Acid Derived from Waste Cooking Oil: An Innovative Strategy for Sustainable, Highly Flexible Resin Development
by Fangping Shen, Chuanyang Tang, Yang Yang, Guangzhi Qin, Minghui Li, Haitian Jiang, Mengyao Wu and Shuoping Chen
Molecules 2025, 30(19), 4000; https://doi.org/10.3390/molecules30194000 - 6 Oct 2025
Viewed by 538
Abstract
Waste cooking oil (WCO), a significant urban waste stream, presents untapped potential for synthesizing high-value materials. This study introduces an innovative “epoxidation-hydrolysis-blending” strategy to conveniently transform WCO into a highly flexible, photocurable elastomer suitable for 3D printing. Initially, WCO is converted into WCO-based [...] Read more.
Waste cooking oil (WCO), a significant urban waste stream, presents untapped potential for synthesizing high-value materials. This study introduces an innovative “epoxidation-hydrolysis-blending” strategy to conveniently transform WCO into a highly flexible, photocurable elastomer suitable for 3D printing. Initially, WCO is converted into WCO-based hydroxy fatty acids (WHFA) via epoxidation and hydrolysis, yielding linear chains functionalized with multiple hydrogen-bonding sites. Subsequently, blending WHFA with hydroxyethyl acrylate (HEA) yields a novel photocurable WHFA/HEA elastomer. This elastomer exhibits excellent dimensional accuracy during vat photopolymerization 3D printing. Within the WHFA/HEA system, WHFA acts as a dual-functional modifier: its flexible alkyl chains enhance conformational freedom through plasticization while serving as dynamic hydrogen-bonding cross-linking sites that synergize with HEA chains to achieve unprecedented flexibility via reversible bond reconfiguration. Mechanical testing reveals that the optimized WHFA/HEA elastomer (mass ratio 1:3) exhibits ultra-high flexibility, with an elongation at break of 1184.66% (surpassing pure HEA by 360%). Furthermore, the elastomer demonstrates significant weldability (44.23% elongation retention after 12 h at 25 °C), physical reprocessability (7.60% elongation retention after two cycles), pressure-sensitive adhesion (glass interface adhesion toughness: 32.60 J/m2), and notable biodegradability (14.35% mass loss after 30-day soil burial). These properties indicate broad application potential in flexible electronics, biomedical scaffolds, and related fields. This research not only pioneers a low-cost route to multifunctional photocurable 3D printing materials but also provides a novel, sustainable solution for the high-value valorization of waste cooking oil. Full article
(This article belongs to the Section Macromolecular Chemistry)
Show Figures

Graphical abstract

36 pages, 13124 KB  
Article
Numerical Investigation of Hydrogen Leakage Quantification and Dispersion Characteristics in Buried Pipelines
by Yangyang Tian, Jiaxin Zhang, Gaofei Ren and Bo Deng
Materials 2025, 18(19), 4535; https://doi.org/10.3390/ma18194535 - 29 Sep 2025
Viewed by 376
Abstract
As a clean energy carrier, hydrogen is essential for global low-carbon energy transitions due to its unique combination of safe transport properties and energy density. This investigation employs computational fluid dynamics (ANSYS Fluent) to systematically characterize hydrogen dispersion through soil media from buried [...] Read more.
As a clean energy carrier, hydrogen is essential for global low-carbon energy transitions due to its unique combination of safe transport properties and energy density. This investigation employs computational fluid dynamics (ANSYS Fluent) to systematically characterize hydrogen dispersion through soil media from buried pipelines. The research reveals three fundamental insights: First, leakage orifices smaller than 2 mm demonstrate restricted hydrogen migration regardless of directional orientation. Second, dispersion patterns remain stable under both low-pressure conditions (below 1 MPa) and minimal thermal gradients, with pipeline temperature variations limited to 63 K and soil fluctuations under 40 K. Third, dispersion intensity increases proportionally with higher leakage pressures (exceeding 1 MPa), greater soil porosity, and larger particle sizes, while inversely correlating with burial depth. The study develops a predictive model through Sequential Quadratic Programming (SQP) optimization, demonstrating exceptional accuracy (mean absolute error below 10%) for modeling continuous hydrogen flow through moderate-porosity soils under medium-to-high pressure conditions with weak inertial effects. These findings provide critical scientific foundations for designing safer hydrogen transmission infrastructure, establishing robust risk quantification frameworks, and developing effective early-warning systems, thereby facilitating the practical implementation of hydrogen energy systems. Full article
Show Figures

Figure 1

19 pages, 3880 KB  
Article
Microstructural Mechanisms Influencing Soil-Interface Shear Strength: A Case Study on Loess and Concrete Plate Contact
by Chengliang Ji, Wanli Xie, Qingyi Yang, Chenfei Qu, Peijun Fan, Zhiyi Wu and Kangze Yuan
Buildings 2025, 15(19), 3512; https://doi.org/10.3390/buildings15193512 - 29 Sep 2025
Viewed by 371
Abstract
Understanding the shear behavior of loess–concrete interfaces is essential for foundation design in collapsible loess regions, yet the pore-scale mechanisms remain unclear. This study investigates the relationship between interface shear strength and loess microstructure at different burial depths. Direct shear tests were conducted [...] Read more.
Understanding the shear behavior of loess–concrete interfaces is essential for foundation design in collapsible loess regions, yet the pore-scale mechanisms remain unclear. This study investigates the relationship between interface shear strength and loess microstructure at different burial depths. Direct shear tests were conducted on undisturbed loess samples under stress conditions simulating in situ confinement. High-resolution SEM images were analyzed via Avizo to quantify pore area ratios at multiple scales, fractal dimensions, and directional probability entropy. Pearson correlation, principal component analysis (PCA), and hierarchical cluster analysis (HCA) were employed to statistically interpret the microstructure–mechanics relationship. Results show that interface shear strength increases significantly with depth (35.2–258.4 kPa), primarily due to reduced total porosity and macropore content, increased small and micropore fractions, and enhanced isotropy of pore orientation. Fractal dimension negatively correlates with strength, indicating that compaction-induced boundary regularization enhances particle contact and shear resistance, while entropy positively correlates with strength, reflecting structural homogenization and isotropic pore orientation. PCA and HCA further confirm that small and micropores are the dominant contributors to interface resistance. This study provides a quantitative framework linking microstructural evolution to mechanical performance, offering new insights for optimizing pile–soil interface design in loess areas. Full article
(This article belongs to the Special Issue Foundation Treatment and Building Structural Performance Enhancement)
Show Figures

Figure 1

27 pages, 10950 KB  
Article
Design and Analysis of 36 Novel Technical Models for Straw Return in Rice–Wheat Systems Based on Spatial and Temporal Variability
by Sagni B. Miressa, Yinian Li, Xiaoyuan Yan, Aayush Niroula, Ruiyin He and Qishuo Ding
Agronomy 2025, 15(10), 2288; https://doi.org/10.3390/agronomy15102288 - 27 Sep 2025
Viewed by 1988
Abstract
Straw return is essential for improving soil fertility, recycling organic matter, and sustaining productivity in rice–wheat systems. This study focuses on the conceptual design and systematic analysis of the spatial and temporal variability of straw return methods and their classification. We proposed and [...] Read more.
Straw return is essential for improving soil fertility, recycling organic matter, and sustaining productivity in rice–wheat systems. This study focuses on the conceptual design and systematic analysis of the spatial and temporal variability of straw return methods and their classification. We proposed and analyzed 36 technical models for straw return by integrating spatial distribution (depth and horizontal placement) with temporal variability (decomposition period managed through mulching or decomposers). The models of straw return were categorized into five classes: mixed burial, even spreading, strip mulching, deep burial, and ditch burial. Field experiments were conducted in Babaiqiao Town, Nanjing, China, using clay loam soils typical of intensive rice–wheat rotation. Soil properties (bulk density, porosity, and moisture content) and straw characteristics (length and density) were evaluated to determine their influence on decomposition efficiency and nutrient release. Results showed that shallow incorporation (0–5 cm) accelerated straw breakdown and microbial activity, while deeper incorporation (15–20 cm) enhanced long-term organic matter accumulation. Temporal control using mulching films and decomposer agents further improved moisture retention, aeration, and nutrient availability. For the rice–wheat system study area, four typical straw return modes were selected based on spatial distribution and soil physical parameters: straw even spreading, rotary plowing, conventional tillage with mulching, and straw plowing with burying. This study added to the growing body of literature on straw return by providing a systematic analysis of the parameters influencing straw decomposition and the incorporation. The results have significant implications for sustainable agricultural practices, offering practical recommendations for optimizing straw return strategies to improve soil health. Full article
(This article belongs to the Special Issue Advances in Tillage Methods to Improve the Yield and Quality of Crops)
Show Figures

Graphical abstract

14 pages, 1016 KB  
Article
Response Patterns and Mechanisms of Seed Germination and Mortality of Common Plants in Subalpine Wet Meadows to In Situ Burial
by Suyao Yuan, Haijun Cui, Yuzhen Liu, Weifeng Song, Junbao Yu, Jie Li, Xuyan Zhao, Xiaoyan Wei, Xiaoting Bi, Putao Zhang, Tingting Wang and Jingyuan Pu
Plants 2025, 14(19), 2975; https://doi.org/10.3390/plants14192975 - 25 Sep 2025
Viewed by 342
Abstract
The effects of different storage conditions on seed germination and mortality may exhibit species-specific patterns. Burial serves as a natural seed storage mechanism, and its impact on seed germination and mortality holds critical implications for understanding the formation mechanisms of soil seed banks [...] Read more.
The effects of different storage conditions on seed germination and mortality may exhibit species-specific patterns. Burial serves as a natural seed storage mechanism, and its impact on seed germination and mortality holds critical implications for understanding the formation mechanisms of soil seed banks and the restoration of vegetation. Seed size is closely related to storage conditions, as it affects the ease with which seeds penetrate the soil, thereby potentially influencing their germination and mortality responses to those storage conditions. This study used 12 common plant species from a subalpine wet meadow. Employing in situ unheated storage as the control and in situ burial at a 15 cm depth (for seven months) as the experimental treatment, we aimed to explore the effects of burial on seed germination and survival, as well as the underlying mechanisms, in relation to seed size. The results showed the following: (1) Compared with the control, the burial treatment significantly increased the germination rates of four species (burial-promoted germination type), while no significant effect was observed on the germination of the remaining eight species (burial-insensitive germination type); it significantly increased the mortality rate of two species (survival-inhibited type), significantly decreased the mortality rate of four species (survival-promoted type), and had no significant impact on the mortality rate of the remaining six species (survival-insensitive type). (2) Seed size exhibited significant negative correlations with both post-burial germination rates and mortality rates under control conditions, while showing a significant positive correlation with the magnitude of mortality change. The species-specific responses of seed germination and mortality to storage conditions, and their close association with seed size, represent products of long-term plant evolution. This study provides important insights for understanding the mechanisms of soil seed bank formation and offers valuable guidance for vegetation restoration practices. Full article
(This article belongs to the Section Plant Physiology and Metabolism)
Show Figures

Figure 1

25 pages, 3982 KB  
Article
Acetylated Xylan as Renewable Feedstock for Biodegradable Food Packaging: Synthesis, Structural Characterization and Performance Evaluation
by Petronela Nechita, Mirela Iana-Roman and Silviu-Marian Năstac
Polysaccharides 2025, 6(3), 85; https://doi.org/10.3390/polysaccharides6030085 - 19 Sep 2025
Viewed by 689
Abstract
This study investigates the potential of acetylated xylan as a functional component in coatings for biodegradable paper-based food packaging. Acetylated xylan was synthesized in the laboratory via the reaction of native beechwood xylan with acetic anhydride. Multilayer coatings composed of acetylated xylan, chitosan, [...] Read more.
This study investigates the potential of acetylated xylan as a functional component in coatings for biodegradable paper-based food packaging. Acetylated xylan was synthesized in the laboratory via the reaction of native beechwood xylan with acetic anhydride. Multilayer coatings composed of acetylated xylan, chitosan, and zinc oxide nanoparticles (ZnO NPs) were applied to paper substrates as single and double layers (approximately 5 g/m2) to enhance their barrier and antimicrobial properties. The coated papers were evaluated for mechanical properties, resistance to water, oil, and grease, antimicrobial activity against pathogenic bacteria, and biodegradability in soil. The combination of xylan derivatives with chitosan significantly improved surface hydrophobicity (contact angle ~87°) and achieved complete inhibition (100%) of Staphylococcus aureus and Salmonella spp., without compromising biodegradability. Incorporation of ZnO NPs further enhanced both the barrier properties and antimicrobial efficacy, particularly against S. aureus. A high biodegradation rate (~92%) was recorded after 42 days of soil burial. These results demonstrate the suitability of xylan-based multilayer coatings as sustainable alternatives for food packaging applications. Full article
(This article belongs to the Special Issue Recent Progress on Lignocellulosic-Based Materials)
Show Figures

Figure 1

20 pages, 2194 KB  
Article
Straw Deep Burial and Returning to Farmland: Mechanistic Study on Enhancing Albic Soil Fertility
by Qiuju Wang, Yuxin Liu, Yuping Liu, Baoguang Wu, Qingying Meng, Jingyang Li, Jiahe Zou and Xin Liu
Agronomy 2025, 15(9), 2210; https://doi.org/10.3390/agronomy15092210 - 18 Sep 2025
Viewed by 454
Abstract
This study developed an innovative model integrating straw subsoil deep burial (SD) and mixing plow to mitigate albic soil’s physical and chemical constraints and enhance crop yield. A field experiment with four treatments, including conventional tillage (CT), straw mulching (SM), straw subsoil deep [...] Read more.
This study developed an innovative model integrating straw subsoil deep burial (SD) and mixing plow to mitigate albic soil’s physical and chemical constraints and enhance crop yield. A field experiment with four treatments, including conventional tillage (CT), straw mulching (SM), straw subsoil deep burial (SD), and straw burning (SR), was conducted to assess impacts on soil enzyme activity, nutrient dynamics, crop yield, and soil physical properties. Results showed that SD treatment significantly improved albic soil properties compared to conventional tillage: catalase activity in the albic horizon decreased by 13.51%, reducing peroxide toxicity. In the albic horizon, alkaline hydrolysis nitrogen, total nitrogen, available phosphorus, total phosphorus, available potassium, total potassium, and organic matter increased by 29.98%, 58.70%, 36.86%, 20.46%, 5.00%, 21.70%, and 40.46%, respectively. Correspondingly, maize and soybean yield under SD reached 8686.6 kg/ha and 2245.3 kg/ha, increasing by 15.39% and 19.94% compared to CT, respectively. Additionally, SD treatment improved physical properties of the albic horizon: soil hardness reduced by 43.56%, with enhanced water-holding capacity, permeability coefficient, porosity, and hydraulic conductivity. Its findings not only boost agronomic productivity by improving crop yields but also support environmental sustainability by enhancing soil fertility, which is of great significance for ensuring food security. Full article
(This article belongs to the Section Soil and Plant Nutrition)
Show Figures

Figure 1

15 pages, 4502 KB  
Article
CPT-Based Shear Wave Velocity Correlation Model for Soft Soils with Graphical Assessment
by Huihao Chen, Zhongkai Huang, Qiang Huang and Qiang Wang
Appl. Sci. 2025, 15(18), 10065; https://doi.org/10.3390/app151810065 - 15 Sep 2025
Viewed by 450
Abstract
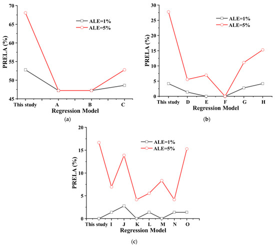
Shear wave velocity is a key parameter for evaluating the mechanical properties of soils, and direct measurement is technically demanding and costly. Realizing rapid prediction by establishing correlations between other parameters and shear wave velocity is an economical solution. Combined with the drilling [...] Read more.
Shear wave velocity is a key parameter for evaluating the mechanical properties of soils, and direct measurement is technically demanding and costly. Realizing rapid prediction by establishing correlations between other parameters and shear wave velocity is an economical solution. Combined with the drilling data from 12 different areas of Shanghai’s soft ground layer, the regression models of shear wave velocity Vs and cone penetration resistance Ps versus burial depth H were established, and the new models were assessed by the existing regression models, graphical analyses, and statistical assessment methods. The results show that the existing regression models between shear wave velocity and cone penetration resistance cannot effectively predict the shear wave velocity of soft soil layers in Shanghai; the shear wave velocity of soft soil layers is closely related to cone penetration resistance and burial depth; and the newly established regression model can more accurately calculate the shear wave velocity of soft soil layers in Shanghai. This study provides an economical and effective solution for the rapid prediction and engineering application of shear wave velocity in soft soil layers. Full article
(This article belongs to the Section Civil Engineering)
Show Figures

Figure 1

25 pages, 17509 KB  
Article
Assessment of Vegetation Cover and Rainfall Infiltration Effects on Slope Stability
by Gaoliang Tao, Lingsan Guo, Henglin Xiao, Qingsheng Chen, Sanjay Nimbalkar, Shiju Feng and Zhijia Wu
Appl. Sci. 2025, 15(17), 9831; https://doi.org/10.3390/app15179831 - 8 Sep 2025
Cited by 1 | Viewed by 745
Abstract
Investigating rainfall infiltration mechanisms and slope stability dynamics under varying vegetation cover conditions is essential for advancing ecological slope protection methodologies. This research focuses on large-scale outdoor slope models, with the objective of monitoring soil moisture variations in real-time during rainfall events on [...] Read more.
Investigating rainfall infiltration mechanisms and slope stability dynamics under varying vegetation cover conditions is essential for advancing ecological slope protection methodologies. This research focuses on large-scale outdoor slope models, with the objective of monitoring soil moisture variations in real-time during rainfall events on four types of slopes: bare, herbaceous, shrub, and mixed herb–shrub planting. Combining direct shear tests for unsaturated soil with numerical simulations, and considering the weakening effect of water on shear strength, this study analyzes slope stability. The findings reveal significant spatial variations in rainfall infiltration rates, with maximum values recorded at a burial depth of 0.2 m, declining as the burial depth increases. Different types of vegetation have distinct impacts on slope infiltration patterns: herbaceous increases cumulative infiltration by 21.32%, while shrub reduces it by 61.06%. The numerically simulated moisture content values demonstrate strong congruence with field-measured data. Compared with monoculture herbaceous or shrub root systems, the mixed herb–shrub root system exhibits the most significant enhancement effects on shear strength parameters. Under high water content conditions, root systems demonstrate substantially greater improvement in cohesion than in internal friction angle. Before rainfall, shrub vegetation contributed the most significant improvement to the safety factor, increasing it from 2.766 to 3.046, followed by herbaceous and mixed herb–shrub vegetation, which raised it to 2.81 and 2.948. After rainfall, mixed herb–shrub vegetation demonstrated the greatest enhancement of the safety factor, elevating it from 1.139 to 1.361, followed by herbaceous and shrub vegetation, which increased it to 1.192 and 1.275. The study offers preliminary insights and a scientific basis for the specific conditions tested for selecting and optimizing eco-friendly slope protection measures. Full article
(This article belongs to the Special Issue Advances in Failure Mechanism and Numerical Methods for Geomaterials)
Show Figures

Figure 1

Back to TopTop