Sign in to use this feature.

Years

Between: -

Subjects

remove_circle_outline
remove_circle_outline
remove_circle_outline

Journals

Article Types

Countries / Regions

Search Results (4)

Search Parameters:
Keywords = bubble shrink shape

Order results
Result details
Results per page
Select all
Export citation of selected articles as:
17 pages, 4934 KB  
Article
Studies on Water–Aluminum Scrap Reaction Kinetics in Two Steps and the Efficiency of Green Hydrogen Production
by Ansis Mezulis, Christiaan Richter, Peteris Lesnicenoks, Ainars Knoks, Sarunas Varnagiris, Marius Urbonavicius, Darius Milcius and Janis Kleperis
Energies 2023, 16(14), 5554; https://doi.org/10.3390/en16145554 - 22 Jul 2023
Cited by 12 | Viewed by 5439
Abstract
This work aims to explain aluminum hydrolysis reaction kinetics based on a properly chosen theoretical model with machined aluminum waste chips as well as alkali solutions up to 1M as a promoter and to estimate the overall reaction profit. The purpose of this [...] Read more.
This work aims to explain aluminum hydrolysis reaction kinetics based on a properly chosen theoretical model with machined aluminum waste chips as well as alkali solutions up to 1M as a promoter and to estimate the overall reaction profit. The purpose of this work is to assess the optimal alkali concentration in the production of small- and medium-scale green hydrogen. To obtain results with better accuracy, we worked with flat Al waste chips, because a flat surface is preferable to maximally increase the time for the created hydrogen bubbles to reach the critical gas pressure. Describing the reaction kinetics, a flat shape allows for the use of a planar one-dimensional shrinking core model instead of a much more complicated polydisperse spheric shrinking core model. We analyzed the surface chemical reaction and mass transfer rate steps to obtain the first-order rate constant for the surface reaction and the diffusion coefficient of the aqueous reactant in the byproduct layer, respectively. We noted that measurements of the diffusion coefficient in the byproduct layer performed and discussed in this paper are rare to find in publications at alkali concentrations below 1M. With our reactor, we achieved a H2 yield of 1145 mL per 1 g of Al with 1M NaOH, which is 92% of the theoretical maximum. In the estimation of profit, the authors’ novelty is in paying great attention to the loss in alkali and finding a crucial dependence on its price. Nevertheless, in terms of consumed and originated materials for sale, the conversion of aluminum waste material into green hydrogen with properly chosen reaction parameters has positive profit even when consuming an alkali of a chemical grade. Full article
(This article belongs to the Special Issue Advances in Materials for Electrochemical Energy Applications 2024)
Show Figures

Figure 1

12 pages, 3063 KB  
Article
Effect of Different Minerals on Water Stability and Wettability of Soil Silt Aggregates
by Agnieszka Adamczuk, Angelika Gryta, Kamil Skic, Patrycja Boguta and Grzegorz Jozefaciuk
Materials 2022, 15(16), 5569; https://doi.org/10.3390/ma15165569 - 13 Aug 2022
Cited by 3 | Viewed by 2082
Abstract
Knowledge on the effects of minerals on soil water stability and wettability is mostly gained from experiments on natural soils of different mineral composition. To gain a “clearer” picture, the water stability and wettability of artificial aggregates composed of soil silt and various [...] Read more.
Knowledge on the effects of minerals on soil water stability and wettability is mostly gained from experiments on natural soils of different mineral composition. To gain a “clearer” picture, the water stability and wettability of artificial aggregates composed of soil silt and various proportions of pure minerals: kaolinite, montmorillonite, illite, zeolite and goethite, were examined. The wettability was attributed to contact angles measured goniometrically and to the water drop penetration time (WDPT). The water stability was measured by monitoring of air bubbling after aggregate immersion in water and the shrinking sphere model was used to analyse aggregates’ destruction kinetics. The rate of aggregate destruction in water increased with increasing mineral content and it slightly decreased for aggregates composed of all pure minerals except goethite. An apparent hydrophobicity period (a period where the bubbling stopped for some time), resulted most probably from the wavy shape of pores, was observed mainly for aggregates with low mineral proportions. Among all studied minerals, kaolinite increased the water contact angle and water repellency to the greatest extent. With increasing the mineral content in the aggregates up to 8%, contact angles decreased and then increased. Contact angles did not correlate with aggregates’ stability. Aggregates more rapidly penetrated by water (shorter WDPT) were destroyed faster. Water stability of aggregates containing all minerals except illite appeared to be higher for the more mechanically resistant aggregates. Full article
Show Figures

Figure 1

27 pages, 11862 KB  
Article
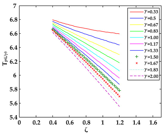
Experimental Research on the Influence of Different Curved Rigid Boundaries on Electric Spark Bubbles
by Chunlong Ma, Dongyan Shi, Yingyu Chen, Xiongwei Cui and Mengnan Wang
Materials 2020, 13(18), 3941; https://doi.org/10.3390/ma13183941 - 6 Sep 2020
Cited by 28 | Viewed by 2727
Abstract
It is well known that the bubble dynamics and load characteristics of cavitation bubbles depend to a great extent on their proximity to the boundary. The purpose of this study is to explore the relationship between the boundary curvature and bubble dynamics, as [...] Read more.
It is well known that the bubble dynamics and load characteristics of cavitation bubbles depend to a great extent on their proximity to the boundary. The purpose of this study is to explore the relationship between the boundary curvature and bubble dynamics, as well as the load characteristics, and summarize the relevant change laws. This study takes three hemispheres of different curvatures and one flat board as its main research boundaries. The hemisphere was chosen as the curved surface boundary because the hemisphere represents the simplest type of curved surface boundary. This method allowed us to easily observe the experimental results and summarize the change laws of bubble dynamics and load characteristics. A high voltage electricity of 400 V was used to produce stable and repeatable electric spark bubbles in this experiment. Since the pulsation time of the bubbles is very short, we used a high-speed camera to acquire the necessary photographs. We also used a Hopkinson bar (HPB) to measure the bubble collapse load. Suppose that the dimensionless parameter of curvature is ζ and the dimensionless parameter of the explosion distance is γ. By summarizing the 44 groups of the experimental results under different combinations of ζ and γ, we found that the cavitation bubble dynamics and loading characteristics are affected by ζ. With an increase of ζ, the shockwave load and bubble collapse load will decrease. In addition, in terms of load characteristics, this study further verified the change trend of the shockwave load and bubble collapse load with γ. For the bubble shrink shape, this paper illustrates the relationship between the bubble’s shrink shape and its shrinkage speed. Four typical bubble shrink shapes are summarized. The effects of different ζ and γ values on the jet are preliminarily explored using the experimental results, and, by considering the experimental results, the developmental trends of the time of the bubble’s first pulsation period are discussed. Full article
Show Figures

Figure 1

20 pages, 2342 KB  
Article
Computational Modeling of Bubbles Growth Using the Coupled Level Set—Volume of Fluid Method
by Amir Taqieddin, Yuxuan Liu, Akram N. Alshawabkeh and Michael R. Allshouse
Fluids 2020, 5(3), 120; https://doi.org/10.3390/fluids5030120 - 23 Jul 2020
Cited by 12 | Viewed by 5848
Abstract
Understanding the generation, growth, and dynamics of bubbles as they absorb or release dissolved gas in reactive flows is crucial for optimizing the efficiency of electrochemically gas-evolving systems like alkaline water electrolysis or hydrogen production. To better model these bubbly flow systems, we [...] Read more.
Understanding the generation, growth, and dynamics of bubbles as they absorb or release dissolved gas in reactive flows is crucial for optimizing the efficiency of electrochemically gas-evolving systems like alkaline water electrolysis or hydrogen production. To better model these bubbly flow systems, we use a coupled level set and volume of fluid approach integrated with a one-fluid transport of species model to study the dynamics of stationary and rising bubbles in reactive two-phase flows. To accomplish this, source terms are incorporated into the continuity and phase conservation equations to allow the bubble to grow or shrink as the species moves through the interface. Verification of the hydrodynamics of the solver for non-reactive systems demonstrates the requisite high fidelity interface capturing and mass conservation necessary to incorporate transport of species. In reactive systems where the species impacts the bubble volume, the model reproduces the theoretically predicted and experimentally measured diffusion-controlled growth rate (i.e., R(t)t0.5). The model is then applied to rising bubbles to demonstrate the impact of transport of species on both the bubble velocity and shape as well as the concentration field in its wake. This improved model enables the incorporation of electric fields and chemical reactions that are essential for studying the physicochemical hydrodynamics in multiphysics systems. Full article
(This article belongs to the Special Issue Advances in Numerical Methods for Multiphase Flows)
Show Figures

Graphical abstract

Back to TopTop