Sign in to use this feature.

Years

Between: -

Subjects

remove_circle_outline
remove_circle_outline
remove_circle_outline
remove_circle_outline
remove_circle_outline
remove_circle_outline
remove_circle_outline
remove_circle_outline
remove_circle_outline

Journals

remove_circle_outline
remove_circle_outline
remove_circle_outline
remove_circle_outline
remove_circle_outline
remove_circle_outline
remove_circle_outline
remove_circle_outline
remove_circle_outline
remove_circle_outline
remove_circle_outline
remove_circle_outline
remove_circle_outline
remove_circle_outline
remove_circle_outline
remove_circle_outline
remove_circle_outline
remove_circle_outline
remove_circle_outline
remove_circle_outline
remove_circle_outline
remove_circle_outline

Article Types

Countries / Regions

remove_circle_outline
remove_circle_outline
remove_circle_outline
remove_circle_outline
remove_circle_outline
remove_circle_outline

Search Results (2,370)

Search Parameters:
Keywords = biological separations

Order results
Result details
Results per page
Select all
Export citation of selected articles as:
27 pages, 5834 KB  
Article
New Anti-Cancer Impact of Cerium Oxide, Lithium, and Sn-38 Synergy via DNA Methylation-Mediated Reduction of MMP-2 and Modulation of the PI3K/Akt/mTOR Pathway
by Sidika Genc, Hayrunnisa Nadaroglu, Ramazan Cinar, Esmanur Nigde, Kubra Karabulut and Ali Taghizadehghalehjoughi
Pharmaceuticals 2025, 18(11), 1725; https://doi.org/10.3390/ph18111725 (registering DOI) - 13 Nov 2025
Abstract
Background/Objectives: Glioblastoma, the most common primary tumor of the central nervous system, is characterized by high malignancy and poor prognosis. One of the main challenges in neurological disorders is to develop an effective treatment modality that can cross the blood–brain barrier. Nanoparticles are [...] Read more.
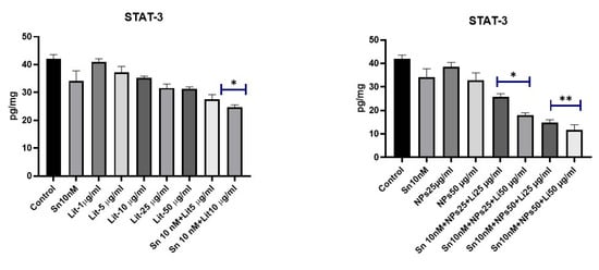
Background/Objectives: Glioblastoma, the most common primary tumor of the central nervous system, is characterized by high malignancy and poor prognosis. One of the main challenges in neurological disorders is to develop an effective treatment modality that can cross the blood–brain barrier. Nanoparticles are revolutionary for neurodegenerative diseases due to their targeted delivery and ability to overcome biological barriers. Cerium oxide (Ce2O3) nanoparticles are suitable for use as drug delivery systems. Methods: In our study, we investigated the anticancer mechanism using SN-38, lithium, and Ce2O3, a powerful agent used in GBM treatment. We evaluated their anticancer activities separately and in combination with U373 cell lines. GBM cell line U373 cells were cultured. Then, all groups except the control group were treated with different doses of SN-38 and lithium combination therapy with SN-38, lithium, and Ce2O3 combination therapy. The results were evaluated using MTT and ELISA tests. Results: When the results were examined, anticancer activity was detected at PTEN, AKT, mTOR, and BAX/Bcl-2 levels in the SN-38 + NPs 25 µg/mL + Lithium 50 µg/mL and SN-38 + NPs 50 µg/mL + Lithium 50 µg/mL dose groups. In addition, findings that inflammation markers were correlated with the apoptosis mechanism were obtained. Conclusion: This study is the first to report that combining lithium with SN-38 and NPs increased oxidative stress more than lithium with SN-38, leading glioblastoma cells to apoptosis and its potential anticancer activity. These results provide a basis for further investigation of its clinical application in cancer treatment. Full article
(This article belongs to the Section Pharmacology)
Show Figures

Graphical abstract

47 pages, 15185 KB  
Review
Advances in Miniaturized Liquid Chromatography for the Detection of Organic Pollutants in Food, Environmental, and Biological Samples
by Kaoma Temwani, Daodong Pan, Zhen Wu, Yan Zhang and Hangzhen Lan
Separations 2025, 12(11), 312; https://doi.org/10.3390/separations12110312 - 11 Nov 2025
Viewed by 103
Abstract
The advancement of miniaturized liquid chromatography (M-LC) systems has drawn considerable attention for their ability to enhance sensitivity, expedite analysis, and minimize the environmental impact of chemical usage in various analytical processes. This review explores the fundamental principles and recent innovations in M-LC [...] Read more.
The advancement of miniaturized liquid chromatography (M-LC) systems has drawn considerable attention for their ability to enhance sensitivity, expedite analysis, and minimize the environmental impact of chemical usage in various analytical processes. This review explores the fundamental principles and recent innovations in M-LC technology, including diverse pump designs, advanced column techniques, and the reduction in connection devices. Emphasizing the need for components that operate efficiently at the capillary or nanoscale with minimal dead volumes, we also discuss the development of benchtop instruments and mass spectrometry integrations. The review further highlights the growing applications of M-LC in food, environmental, and biological analyses, highlighting its potential as a powerful and emerging tool in separation science. Looking forward, addressing problems such as limited robustness, fabrication complexity, and integration with sensitive detectors will be instrumental to advancing M-LC technology. Modern innovation in microfabrication, materials science, and hyphenated methods holds great promise for allowing real-time, high-throughput, and portable analytical solutions in the near future. Full article
Show Figures

Graphical abstract

42 pages, 15838 KB  
Review
Progress in the Design and Application of Chemical and Biological Sensors Based on Atom Transfer Radical Polymerization
by Ning Xia, Fengli Gao, Zhaojiang Yu, Shuaibing Yu and Xinyao Yi
Biosensors 2025, 15(11), 752; https://doi.org/10.3390/bios15110752 - 10 Nov 2025
Viewed by 227
Abstract
Atom transfer radical polymerization (ATRP) is a leading reversible deactivation radical polymerization method. It has become an emerging technology to synthesize well-defined, tailor-made polymers, promoting the development of advanced materials (e.g., bioconjugates and nanocomposites) with precisely designed and controlled macromolecular architectures. ATRP-produced polymers [...] Read more.
Atom transfer radical polymerization (ATRP) is a leading reversible deactivation radical polymerization method. It has become an emerging technology to synthesize well-defined, tailor-made polymers, promoting the development of advanced materials (e.g., bioconjugates and nanocomposites) with precisely designed and controlled macromolecular architectures. ATRP-produced polymers or polymeric materials have been successfully applied in the fields of drug delivery, tissue engineering, sample separation, environmental monitoring, bioimaging, clinical diagnostics, etc. In this review, we systematically summarize the progress of ATRP-based chemical and biological sensors in different application fields, including ion sensing, small-molecule detection, bioimaging, and signal amplification for biosensors. Finally, we briefly outline the prospects and future directions of ATRP. This review is expected to provide a fundamental and timely understanding of ATRP-based sensors and guide the design of novel materials and methods for sensing applications. Full article
Show Figures

Figure 1

21 pages, 1484 KB  
Review
In-Depth Study of Low-Complexity Domains: From Structural Diversity to Disease Mechanisms
by Haixia Xu, Kaili Zhou, Lianren Xia, Kejin Ren and Yongjie Xu
Cells 2025, 14(22), 1752; https://doi.org/10.3390/cells14221752 - 9 Nov 2025
Viewed by 199
Abstract
Low-complexity domains (LCDs) are protein regions characterized by a simple amino acid composition and low sequence complexity, as they are typically composed of repeats or a limited set of a few amino acids. Historically dismissed as “garbage sequences”, these regions are now acknowledged [...] Read more.
Low-complexity domains (LCDs) are protein regions characterized by a simple amino acid composition and low sequence complexity, as they are typically composed of repeats or a limited set of a few amino acids. Historically dismissed as “garbage sequences”, these regions are now acknowledged as critical functional elements. This review systematically explores the structural characteristics, biological functions, pathological roles, and research methodologies associated with LCDs. Structurally, LCDs are marked by intrinsic disorder and conformational dynamics, with their amino acid composition (e.g., G/Y-rich, Q-rich, S/R-rich, P-rich) dictating structural tendencies (e.g., β-sheet formation, phase separation ability). Functionally, LCDs mediate protein–protein interactions, drive liquid–liquid phase separation (LLPS) to form biomolecular condensates, and play roles in signal transduction, transcriptional regulation, cytoskeletal organization, and nuclear pore transportation. Pathologically, LCD dysfunction—such as aberrant phase separation or aggregation—is implicated in neurodegenerative diseases (e.g., ALS, AD), cancer (e.g., Ewing sarcoma), and prion diseases. We also summarize the methodological advances in LCD research, including biochemical (CD, NMR), structural (cryo-EM, HDX-MS), cellular (fluorescence microscopy), and computational (MD simulations, AI prediction) approaches. Finally, we highlight current challenges (e.g., structural heterogeneity, causal ambiguity of phase separation) and future directions (e.g., single-molecule techniques, AI-driven LCD design, targeted therapies). This review provides a comprehensive perspective on LCDs, illuminating their pivotal roles in cellular physiology and disease, and offering insights for future research and therapeutic development. Full article
Show Figures

Figure 1

28 pages, 2025 KB  
Review
Hydrometallurgical Recovery Technology for Rare Earth and Iron Separation from Spent NdFeB Magnets
by Mingyan Cheng, Liqing Li, Yanfei Xiao and Helian Liu
Metals 2025, 15(11), 1227; https://doi.org/10.3390/met15111227 - 7 Nov 2025
Viewed by 343
Abstract
The recovery of rare earth elements (REEs) from the spent NdFeB magnets has great strategic significance for ensuring the security of critical mineral resources. This process requires scientifically designed separation technologies to ensure high output and purity of the obtained rare earths. Hydrometallurgy [...] Read more.
The recovery of rare earth elements (REEs) from the spent NdFeB magnets has great strategic significance for ensuring the security of critical mineral resources. This process requires scientifically designed separation technologies to ensure high output and purity of the obtained rare earths. Hydrometallurgy has been widely applied to extract REEs from spent permanent magnets. This paper summarizes and reviews hydrometallurgical technologies, mechanisms, and applications for the separation and recovery of REEs and iron (Fe) from the spent permanent magnets. Key methods include: The hydrochloric acid total solution method, where the spent NdFeB is completely dissolved in hydrochloric acid, iron is precipitated and removed, and then REEs are extracted. The hydrochloric acid preferential dissolution method, where spent NdFeB magnets are first fully oxidized by oxidative roasting, converting Fe2+ to Fe3+, which hydrolyzes to Fe(OH)3, and is precipitated and removed, allowing for the subsequent extraction of REEs to obtain rare earth oxides. Acid baking and water leaching, where spent NdFeB is calcined with acidification reagents, and the calcined products are dissolved in water to leach out REEs. At the same time, Fe is retained in the leaching residue. Electrolysis in aqueous solution, where Fe is electrolyzed at the anode or deposited at the cathode to separate it from REES. Organic acids leaching, where organic acids dissolve metals through acidolysis and complexation. Bioleaching, which utilizes microorganisms to recover metal through biological oxidation and complexation. Ionic liquid systems, where Fe or REEs are extracted using ionic liquid or leached by deep eutectic solvents. This paper provides an in-depth discussion on the challenges, advantages, and disadvantages of these strategies for recycling spent NdFeB magnets, as well as the leaching and extraction behavior of REEs. It focuses on environmental impact assessment, improving recovery efficiency, and decreasing reagent consumption. The future development direction for recycling spent NdFeB magnets is proposed, and a research idea of proposing a combined process to avoid the drawbacks of a single recycling method is introduced. Full article
Show Figures

Figure 1

18 pages, 2122 KB  
Review
The Effects of Counter-Ions on Peptide Structure, Activity, and Applications
by Ying Liu, Yi Huang, Lan Yang, Yu Gao, Zheng Jia, Tingting Liu, Baoling Su, Chuyuan Wang, Lili Jin and Dianbao Zhang
Biomolecules 2025, 15(11), 1567; https://doi.org/10.3390/biom15111567 - 7 Nov 2025
Viewed by 401
Abstract
Peptide drug development has emerged as a prominent area in pharmaceutical research due to its high specificity and therapeutic potential. However, their biological activity, stability, and bioavailability are significantly influenced by interactions with counter-ions, which electrostatically bind to charged residues on peptide surfaces. [...] Read more.
Peptide drug development has emerged as a prominent area in pharmaceutical research due to its high specificity and therapeutic potential. However, their biological activity, stability, and bioavailability are significantly influenced by interactions with counter-ions, which electrostatically bind to charged residues on peptide surfaces. This review systematically examines the multifaceted roles of counter-ions in modulating peptide structure and function. Counter-ions are classified into organic/inorganic and anionic/cationic categories, with their selection critically impacting peptide solubility, conformational stability, and activity. Inorganic counter-ions could enhance structural integrity, while organic counter-ions could mitigate toxicity risks. Notably, counter-ions can induce secondary structural transitions, directly affecting biological efficacy. Furthermore, counter-ions play pivotal roles in drug delivery systems, including nanoemulsions, self-emulsifying formulations, and lipid-based nanoparticles, where hydrophobic ion pairing improves encapsulation efficiency and oral bioavailability. In chromatography, ion-pairing reagents optimize peptide separation but may compromise mass spectrometry compatibility. Emerging analytical techniques, such as capillary electrophoresis and liquid chromatography–tandem mass spectrometry (LC-MS/MS), enhance counter-ion detection precision, addressing challenges in pharmaceutical quality control. Despite advancements, gaps remain in understanding ion-specific binding mechanisms and long-term safety profiles. This review underscores the necessity of tailoring counter-ion selection to balance efficacy, stability, and biocompatibility. Future research should prioritize elucidating molecular interaction dynamics and developing safer, high-affinity counter-ions to overcome current limitations in peptide drug development. Full article
(This article belongs to the Section Natural and Bio-derived Molecules)
Show Figures

Figure 1

22 pages, 4526 KB  
Article
Prezygotic and Postzygotic Reproductive Incompatibilities Complement Each Other in the Formation of a Cryptic Amphipod Species: The Example of a Lake Baikal Species Complex Eulimnogammarus verrucosus
by Polina Drozdova, Zhanna Shatilina, Ekaterina Telnes, Anton Gurkov, Alexandra Saranchina, Andrei Mutin, Elena Zolotovskaya and Maxim Timofeyev
Diversity 2025, 17(11), 781; https://doi.org/10.3390/d17110781 - 6 Nov 2025
Viewed by 167
Abstract
Reproductive barriers to gene flow play a key role in speciation. However, as it is not always feasible to study them directly, most studies rely on genetic divergence to infer species delimitation. In order to correlate genetic distances to reproductive incompatibilities, compact groups [...] Read more.
Reproductive barriers to gene flow play a key role in speciation. However, as it is not always feasible to study them directly, most studies rely on genetic divergence to infer species delimitation. In order to correlate genetic distances to reproductive incompatibilities, compact groups of closely related species are needed. In this work, we explored a species complex of Baikal amphipods (Crustacea: Amphipoda: Gammaroidea), Eulimnogammarus verrucosus. Three biological species (W, S, and E), geographically isolated in Baikal, had been found to have interspecific differences exceeding the patristic distance threshold of 0.16, and a postzygotic incompatibility had been confirmed for the closest pair, W and S. Here, we expanded our knowledge on geographical distribution of the species, discovering that secondary contact between the W and S species already occurs in natural conditions near the source of the Angara River. Our experiments have shown that the three species within the E. verrucosus species complex are separated by both prezygotic and postzygotic barriers. While neither of these barriers is absolute, their combination can ensure reproductive isolation upon secondary contact of the species. The experimental system we have developed in this and previous works can provide support for testing species delimitation hypotheses based on sequencing data and further extend these results to related species for which such experiments are unfeasible. Full article
(This article belongs to the Section Animal Diversity)
Show Figures

Graphical abstract

23 pages, 2988 KB  
Article
Comparative Analysis Reveals Host Species-Dependent Diversity Among 16 Virulent Bacteriophages Isolated Against Soybean Bradyrhizobium spp.
by Emily A. Morgese, Barbra D. Ferrell, Spencer C. Toth, Shawn W. Polson, K. Eric Wommack and Jeffry J. Fuhrmann
Viruses 2025, 17(11), 1474; https://doi.org/10.3390/v17111474 - 4 Nov 2025
Viewed by 616
Abstract
Phages play a role in shaping ecosystems by controlling host abundance via cell lysis, driving host evolution via horizontal gene transfer, and promoting nutrient cycling. The genus Bradyrhizobium includes bacteria able to symbiotically nodulate the roots of soybean (Glycine max), providing [...] Read more.
Phages play a role in shaping ecosystems by controlling host abundance via cell lysis, driving host evolution via horizontal gene transfer, and promoting nutrient cycling. The genus Bradyrhizobium includes bacteria able to symbiotically nodulate the roots of soybean (Glycine max), providing the plant with a direct source of biologically fixed nitrogen. Optimizing this symbiosis can minimize the use of nitrogen fertilizers and make soybean production more sustainable. Phages targeting Bradyrhizobium may modify their hosts’ genotype, alter phenotypic traits such as symbiotic effectiveness, and mediate competition among strains for nodulation sites. Sixteen phages were isolated against B. diazoefficiens strain USDA110 and B. elkanii strains USDA94 and USDA31. Comparative analyses revealed host species-dependent diversity in morphology, host range, and genome composition, leading to the identification of three previously undescribed phage species. Remarkably, all B. elkanii phages shared a siphophage morphology and formed a single species with >97% nucleotide identity, even when isolated from farms separated by up to ~70 km, suggesting genomic stability across geographic scales. In contrast, phages isolated against B. diazoefficiens had a podophage-like morphology, exhibited greater genetic diversity, and divided into two distinct species. Although no phages were recovered against the B. japonicum strains or native Delaware Bradyrhizobium isolates tested, some Delaware Bradyrhizobium isolates showed susceptibility in a host range assay. The phage genomes demonstrated features predicting phenotypes. The phage terminase genes predicted headful packaging which promotes generalized transduction. The B. elkanii phages all carried tmRNA genes capable of rescuing stalled ribosomes, and all but one of the phages isolated against the two host species carried DNA polymerase A indicating greater phage control of genome replication. State-of-the-art structural annotation of a hypothetical gene shared by the B. diazoefficiens phages, having a mean amino acid identity of ~25% and similarity of ~35%, predicted a putative tail fiber function. Together this work expands the limited knowledge available on soybean Bradyrhizobium phage ecology and genomics. Full article
(This article belongs to the Section Bacterial Viruses)
Show Figures

Graphical abstract

12 pages, 1710 KB  
Article
Light-Induced Formation of DNA Interstrand Cross-Links from Oxidative DNA Lesion
by Nestor Rodriguez, Aaron L. Rozelle and Seongmin Lee
DNA 2025, 5(4), 52; https://doi.org/10.3390/dna5040052 - 4 Nov 2025
Viewed by 227
Abstract
Background/Objectives: DNA interstrand cross-links (ICLs) mark one of the most deleterious lesions that can preclude strand separation required for essential cellular processes. Efforts to discover ICL-inducing agents and endogenous substrates for ICL repair pathways have led to the identification of structurally diverse ICLs [...] Read more.
Background/Objectives: DNA interstrand cross-links (ICLs) mark one of the most deleterious lesions that can preclude strand separation required for essential cellular processes. Efforts to discover ICL-inducing agents and endogenous substrates for ICL repair pathways have led to the identification of structurally diverse ICLs produced by reactive aldehydes and abasic sites, among others. While several studies point to UV rays as ICL-inducing agents, UV ray-induced ICL formation from biologically relevant DNA lesions has been rarely reported. We conjectured that solar radiation-induced reactive oxygen species may give rise to ICLs via further oxidation of DNA lesions with lower redox potential (e.g., 8-oxoadenine (oxoA)). Here, we present the discovery of ICL production via light-induced modification of the major oxidative adenine lesion oxoA. Methods/Results: In the absence of a photosensitizer, both UVC and UVB rays, but not UVA and visible rays, trigger the formation of oxoA-G ICLs, albeit in low yields. By contrast, the inclusion of the naturally occurring photosensitizer riboflavin in the cross-linking reaction makes UVA and visible rays readily generate oxoA-G ICLs, suggesting solar radiation facilitates the formation of oxoA ICLs in vivo. Conclusions: The plausible oxoA-G ICL formation mechanism concerns the further oxidation of oxoA into an iminoquinone, followed by the nucleophilic attack of the opposite guanine on the iminoquinone. OxoA-G ICLs represent rare examples of ICLs produced by photosensitization. These results will contribute to the discovery of a novel form of ICLs induced by solar radiation. Full article
Show Figures

Figure 1

16 pages, 3940 KB  
Article
Effectiveness of High-Solid Loading Treatments to Enhance Nutrient and Antioxidant Bioavailability in Codium tomentosum
by Catarina Ramos-Oliveira, Marta Ferreira, Isabel Belo, Aires Oliva-Teles and Helena Peres
Phycology 2025, 5(4), 69; https://doi.org/10.3390/phycology5040069 - 1 Nov 2025
Viewed by 242
Abstract
Macroalgae have low nutrient bioavailability, often requiring pretreatments—physical, chemical, or biological—typically using low-solid loading hydrolysis, which produces separate liquid and solid phases. In contrast, high-solid loading hydrolysis offers a single-phase alternative, though it remains underexplored for macroalgae. This study evaluated the effectiveness of [...] Read more.
Macroalgae have low nutrient bioavailability, often requiring pretreatments—physical, chemical, or biological—typically using low-solid loading hydrolysis, which produces separate liquid and solid phases. In contrast, high-solid loading hydrolysis offers a single-phase alternative, though it remains underexplored for macroalgae. This study evaluated the effectiveness of high-solid loading hydrolysis for breaking polysaccharides and increasing the availability of nutrients and antioxidant compounds in Codium tomentosum. Treatments using mixtures containing 25% dry biomass and 75% water or 0.5N and 1N NaOH, autoclaved for 30 or 60 min, were performed. Among the tested treatments, high-solid loading alkaline autoclaved treatment (1N NaOH, 60 min) was most effective in reducing neutral detergent fiber and enhancing the availability of bioactive compounds, particularly soluble proteins and phenols. Based on these results, a sequential enzymatic hydrolysis with Natugrain® at 0.2 and 0.4% was also applied to pre-treated C. tomentosum with water or 1N NaOH. Enzymatic hydrolysis after autoclaving had no major effect on fiber, soluble protein, or ash, but increased phenol levels. In conclusion, high-solid loading alkaline treatment (1N NaOH) followed by enzymatic hydrolysis with Natugrain® enzyme reduced fiber content and enhanced soluble protein and phenolic compounds, thereby improving the nutritional and functional potential of C. tomentosum for inclusion in animal feeds. Full article
Show Figures

Figure 1

23 pages, 2647 KB  
Review
Biogas Upgrading into Renewable Natural Gas: Part II—An Assessment of Emerging Technologies
by Blake Foret, José Ramón Laines Canepa, Gabriel Núñez-Nogueira, Stephen Dufreche, Rafael Hernandez, Daniel Gang, Wayne Sharp, Emmanuel Revellame, Dhan Lord B. Fortela, Sarah Simoneaux, Hayden Hulin, William E. Holmes and Mark E. Zappi
Energies 2025, 18(21), 5760; https://doi.org/10.3390/en18215760 - 31 Oct 2025
Viewed by 299
Abstract
Renewable natural gas is an innovative alternative fuel source that has the potential to integrate seamlessly into the current energy and fuel sector. In addition, growing concerns related to energy security and environmental impact are incentivizing the development of RNG technologies. In conjunction [...] Read more.
Renewable natural gas is an innovative alternative fuel source that has the potential to integrate seamlessly into the current energy and fuel sector. In addition, growing concerns related to energy security and environmental impact are incentivizing the development of RNG technologies. In conjunction with this document, current technologies related to biogas conditioning and biogas upgrading were covered in a separate analysis deemed Part I. With the current technologies, however, issues such as compositional quality, combustion efficiency, and high operational costs still need to be addressed before RNG can reach its true capability in use. Recent innovations have focused on optimizing techniques and introducing new methods to maximize methane yield and purity while minimizing costs and energy consumption. This document, Part II, provides an overview of emerging technologies related to further biogas upgrading, such as cryogenics, methane enrichment, and hybrid treatments, aimed at increasing cleaned biogas purity. Processes in development are also discussed, including industrial lung, supersonic separation, chemical hydrogenation, hydrate formation, and various biological treatments. The benefits of these advancements are increased purity for the ability to pipeline renewable natural gas in existing infrastructure, help industries reach sustainability goals, and contribute to a more resilient energy system. Together, Parts I and II offer a comprehensive understanding of both current and future technological developments. Full article
Show Figures

Figure 1

27 pages, 1473 KB  
Review
Biogas Upgrading into Renewable Natural Gas: Part I—An Assessment of Available Technologies
by José Ramón Laines Canepa, Blake Foret, Gabriel Núñez-Nogueira, Stephen Dufreche, Rafael Hernandez, Daniel Gang, Wayne Sharp, Emmanuel Revellame, Dhan Lord B. Fortela, Sarah Simoneaux, Hayden Hulin, William E. Holmes and Mark E. Zappi
Energies 2025, 18(21), 5750; https://doi.org/10.3390/en18215750 - 31 Oct 2025
Viewed by 343
Abstract
Energy security is a growing societal and industrial concern that leads research and development toward more sustainable options. Biogas, a bio-alternative to conventional fuels, is a product generated from the anaerobic digestion of organic matter. This source of fuel production is more environmentally [...] Read more.
Energy security is a growing societal and industrial concern that leads research and development toward more sustainable options. Biogas, a bio-alternative to conventional fuels, is a product generated from the anaerobic digestion of organic matter. This source of fuel production is more environmentally friendly compared to traditional fossil fuels, leading to a lower carbon footprint, higher air quality, and the promotion of a circular economy. Impurities of raw biogas, such as carbon dioxide, hydrogen sulfide, and other trace contaminants, make biogas conditioning necessary for most applications. In addition, biogas upgrading, technologies furthering biogas purity, is an important factor in the production of biomethane, a sustainable biofuel known more commonly as renewable natural gas (RNG). Diversifying fuel sources and providing energy sustainability while mitigating negative environmental effects makes RNG an attractive alternative to conventional natural gas. This document, Part I, provides an overview of current technologies related to biogas conditioning, such as sorption, oxidation, and biological treatments aimed at the removal of a wide variety of contaminants. Processes developed for biogas upgrading are also discussed, including physical/chemical absorption, pressure swing adsorption, and membrane separation. The focus of upgrading applies approaches in meeting a higher quality biofuel by further carbon dioxide exclusion to ease pipeline transport and increase combustion efficiency. These technologies present the core foundation of processes in the production of RNG; however, all face inherent challenges that deem further research and development a requirement for global adoption. The biggest challenges are either in the cost of reaching higher purities or the inability to do so without other operations. Thus, in conjunction with this document, emerging and developing technologies are provided in a separate analysis deemed Part II. Together, these documents offer a comprehensive understanding of current practices and growing technological developments. Full article
Show Figures

Figure 1

47 pages, 1224 KB  
Review
TLC in the Analysis of Plant Material
by Maria Zych and Alina Pyka-Pająk
Processes 2025, 13(11), 3497; https://doi.org/10.3390/pr13113497 - 31 Oct 2025
Viewed by 1101
Abstract
This paper provides an overview of thin-layer chromatography (TLC) and high-performance thin-layer chromatography (HPTLC) methods for analyzing plant materials and herbal formulations, as described in scientific publications from January 2022 to July 2025. It describes the use of TLC in the qualitative and [...] Read more.
This paper provides an overview of thin-layer chromatography (TLC) and high-performance thin-layer chromatography (HPTLC) methods for analyzing plant materials and herbal formulations, as described in scientific publications from January 2022 to July 2025. It describes the use of TLC in the qualitative and quantitative examination of plant materials and pharmaceutical preparations containing herbs, including profiling plant materials using TLC and applying it to HPTLC plates. It also describes other modern methods that improve component separations, such as applying TLC to profile plant formulations and detect adulterations and contaminants in them. Additionally, it discusses TLC coupled with other methods, such as principal component analysis (PCA), hierarchical cluster analysis (HCA), orthogonal partial least squares discriminant analysis (OPLS-DA), mass spectrometry (MS), nuclear magnetic resonance (NMR), surface-enhanced Raman spectroscopy (SERS), and image analysis (IA). The quantitative determination of biologically active compounds in herbs and herbal formulations is presented based on methods that combine TLC with densitometry. The paper also discusses TLC with effect-oriented analysis, including the detection of antimicrobial, antioxidant, enzyme-inhibiting, endocrine-disrupting, genotoxic, and cytotoxic substances. The advantages, disadvantages, and prospects of analyzing plant material using the TLC technique are indicated. TLC/HPTLC has great prospects for use by regulatory authorities due to the low cost of analysis and high throughput. Full article
(This article belongs to the Special Issue Quality of Plant Raw Materials and Their Processing)
Show Figures

Figure 1

20 pages, 2494 KB  
Article
Investigating Hybrid PLGA-Lipid Nanoparticles as an Innovative Delivery Tool for Palmitoylethanolamide to Muscle Cells
by Eleonora Maretti, Susanna Molinari, Sonia Partel, Beatrice Recchia, Cecilia Rustichelli and Eliana Leo
Pharmaceutics 2025, 17(11), 1412; https://doi.org/10.3390/pharmaceutics17111412 - 30 Oct 2025
Viewed by 449
Abstract
Background/Objectives: Palmitoylethanolamide (PEA) is an endogenous lipid mediator with endocannabinoid-like activity. Despite its therapeutic potential in muscle-related inflammatory disorders, including sarcopenia, its clinical use is limited by poor solubility and bioavailability. To overcome these issues, we developed hybrid nanoparticles combining poly(lactic-co-glycolic acid) (PLGA) [...] Read more.
Background/Objectives: Palmitoylethanolamide (PEA) is an endogenous lipid mediator with endocannabinoid-like activity. Despite its therapeutic potential in muscle-related inflammatory disorders, including sarcopenia, its clinical use is limited by poor solubility and bioavailability. To overcome these issues, we developed hybrid nanoparticles combining poly(lactic-co-glycolic acid) (PLGA) and lipids to enhance PEA encapsulation and ok delivery. Methods: PEA-loaded hybrid nanoparticles (PEA-Hyb-np) were produced via a modified single-emulsion solvent evaporation method using stearic acid and Gelucire® 50/13 as lipid components. Characterization included particle size, morphology, PDI, and zeta potential, as well as DSC, FT-IR, and XRD analyses. For the biological evaluation in a C2C12 myoblasts cell culture, coumarin-6-labeled nanoparticles were employed. Results: PEA-Hyb-np showed mean particle sizes of ~150 nm, with internal lipid–polymer phase separation. This structure enabled high encapsulation efficiency (79%) and drug loading (44.2 mg/g). Drug release in physiological and non-physiological media was enhanced due to drug amorphization, confirmed by DSC, FT-IR, and XRD analyses. Cytocompatibility studies showed no toxicity and improved cell viability compared to unloaded nanoparticles. Cellular uptake studies by confocal microscopy and flow cytometry demonstrated efficient and time-dependent internalization. Conclusions: PEA-Hyb-np represent a promising delivery platform to improve the solubility, bioavailability, and therapeutic efficacy of PEA for muscle-targeted applications. Full article
Show Figures

Graphical abstract

16 pages, 29553 KB  
Article
Quantifying the Acoustic Bias of Insect Noise on Wind Turbine Sound Power Levels at Low Wind Speeds
by Jurij Prezelj, Andrej Hvastja, Jure Murovec and Luka Čurović
Appl. Sci. 2025, 15(21), 11395; https://doi.org/10.3390/app152111395 - 24 Oct 2025
Viewed by 312
Abstract
Accurate wind turbine noise (WTN) measurements are essential for environmental compliance and noise impact assessments. However, these measurements are often polluted by background biological noise, especially from insects. Insect noise is typically assumed to be irrelevant due to frequency separation. This study challenges [...] Read more.
Accurate wind turbine noise (WTN) measurements are essential for environmental compliance and noise impact assessments. However, these measurements are often polluted by background biological noise, especially from insects. Insect noise is typically assumed to be irrelevant due to frequency separation. This study challenges this assumption by demonstrating that insect sounds, specifically those of the cricket Oecanthus pellucens, can overlap with turbine noise in the 2.5 kHz band and introduce significant measurement bias at low wind speeds. The featured application is a machine learning-based methodology to filter confounding biological sounds (e.g., insect calls) from wind turbine noise measurements. By correcting for these acoustic contaminants, which typically lead to an overestimation of turbine noise at low wind speeds, the method enables more accurate environmental noise impact assessments. This directly supports the development of evidence-based regulatory policies and guidelines. Using long-term acoustic monitoring and an unsupervised Gaussian Mixture Model (GMM) clustering approach, we classified and excluded insect noise from recorded data. We found that the presence of cricket calls can increase measured wind turbine sound power levels (WTSPL) by more than 3 dBA at wind speeds below 6 m/s, with peak deviations reaching up to 10 dBA. These findings have significant implications for rural or low-wind regions where turbine operation at partial load is frequent. Our results underscore the importance of insect noise filtering when performing WTN assessments to ensure regulatory accuracy, particularly when long-term average noise modeling is used for compliance. The presented methodology provides a robust framework for distinguishing insect noise and can improve the consistency and credibility of WTN measurements under real-world environmental conditions. Full article
Show Figures

Figure 1

Back to TopTop