Sign in to use this feature.

Years

Between: -

Subjects

remove_circle_outline
remove_circle_outline
remove_circle_outline
remove_circle_outline
remove_circle_outline
remove_circle_outline

Journals

Article Types

Countries / Regions

Search Results (14)

Search Parameters:
Keywords = bidiagonal decompositions

Order results
Result details
Results per page
Select all
Export citation of selected articles as:
35 pages, 3797 KB  
Article
A Novel Fast Dual-Phase Short-Time Root-MUSIC Method for Real-Time Bearing Micro-Defect Detection
by Huiguang Zhang, Baoguo Liu, Wei Feng and Zongtang Li
Appl. Sci. 2025, 15(21), 11387; https://doi.org/10.3390/app152111387 - 24 Oct 2025
Viewed by 210
Abstract
Traditional time-frequency diagnostics for high-speed bearings face an entrenched trade-off between resolution and real-time feasibility. We present a fast Dual-Phase Short-Time Root-MUSIC pipeline that exploits Hankel structure via FFT-accelerated Lanczos bidiagonalization and Sliding-window Singular Value Decomposition to deliver sub-Hz super-resolution under millisecond budgets. [...] Read more.
Traditional time-frequency diagnostics for high-speed bearings face an entrenched trade-off between resolution and real-time feasibility. We present a fast Dual-Phase Short-Time Root-MUSIC pipeline that exploits Hankel structure via FFT-accelerated Lanczos bidiagonalization and Sliding-window Singular Value Decomposition to deliver sub-Hz super-resolution under millisecond budgets. Validated on the Politecnico di Torino aerospace dataset (seven fault classes, three severities), fDSTrM detects 150 μm inner-race and rolling-element defects with 98% and 95% probability, respectively, at signal-to-noise ratio down to −3 dB (78% detection), while Short-Time Fourier Transform and Wavelet Packet Decomposition fail under identical settings. Against classical Root-MUSIC, the approach sustains approximately 200 times speedup with less than 1011 relative frequency error in offline scaling, and achieves 1.85 milliseconds per 4096-sample frame on embedded-class hardware in streaming tests. Subspace order pre-estimation with adaptive correction preserves closely spaced components; Kalman tracking formalizes uncertainty and yields 95% confidence bands. The resulting early warning margin extends maintenance lead-time by 24–72 h under industrial interferences (Gaussian, impulsive, and Variable Frequency Drive harmonics), enabling field-deployable super-resolution previously constrained to offline analysis. Full article
(This article belongs to the Section Acoustics and Vibrations)
Show Figures

Figure 1

29 pages, 2185 KB  
Article
Calculating the Singular Values of Many Small Matrices on GPUs
by Amedeo Capozzoli, Claudio Curcio, Salvatore Di Donna and Angelo Liseno
Electronics 2025, 14(16), 3217; https://doi.org/10.3390/electronics14163217 - 13 Aug 2025
Viewed by 392
Abstract
This paper presents a fast and robust approach to evaluate the singular values of small (e.g., 4×4, 5×5) matrices on single- and multi-Graphics Processing Unit (GPU) systems, enabling the modulation of the accuracy–speed trade-off. Targeting applications that [...] Read more.
This paper presents a fast and robust approach to evaluate the singular values of small (e.g., 4×4, 5×5) matrices on single- and multi-Graphics Processing Unit (GPU) systems, enabling the modulation of the accuracy–speed trade-off. Targeting applications that require only computations of the SVs in electromagnetics (e.g., Multiple Input Multiple Output—MIMO link capacity optimization) and emerging deep-learning kernels, our method contrasts with existing GPU singular value decomposition (SVD) routines by computing singular values only, thereby reducing overhead compared to full-SVD libraries such as cuSOLVER’s gesvd and MKL’s desvg. The method uses four steps: interlaced storage of the matrices in GPU global memory, bidiagonalization via Householder transformations, symmetric tridiagonalization, and root finding by bisection using Sturm sequences. We implemented the algorithm in CUDA and evaluated it on different single- and multi-GPU systems. The approach is particularly suited for the analysis and design of multiple-input/multiple-output (MIMO) communication links, where thousands of tiny SVDs must be computed rapidly. As an example of the satisfactory performance of our approach, the speed-up reached for large matrix batches against cuSOLVER’s gesvd has been around 20 for 4×4 matrices. Furthermore, near-linear scaling across multi-GPUs systems has been reached, while maintaining root mean square errors below 2.3×107 in single precision and below 2.3×1013 in double precision. Tightening the tolerance from δ=107 to δ=109 increased the total runtime by only about 10%. Full article
Show Figures

Figure 1

18 pages, 18529 KB  
Article
An Adaptive SVD-Based Approach to Clutter Suppression for Slow-Moving Targets
by Yuhao Hou and Baixiao Chen
Remote Sens. 2025, 17(15), 2697; https://doi.org/10.3390/rs17152697 - 4 Aug 2025
Viewed by 681
Abstract
The presence of strong clutter remains a critical challenge for radar system target detection. Traditional clutter suppression techniques such as Doppler-based filters often fail to extract low-velocity targets from clutter. To address this limitation, this paper proposes an adaptive singular value decomposition (A-SVD) [...] Read more.
The presence of strong clutter remains a critical challenge for radar system target detection. Traditional clutter suppression techniques such as Doppler-based filters often fail to extract low-velocity targets from clutter. To address this limitation, this paper proposes an adaptive singular value decomposition (A-SVD) method utilizing support vector machines (SVM). The proposed approach leverages the augmented implicitly restarted Lanczos bidiagonalization (AIRLB) algorithm to decompose echo matrices into different subspaces, which are then characterized in relation to Doppler frequency, energy, and correlation. These features are employed to classify the clutter subspaces using an SVM classifier, which solves the problem of selecting the SVD threshold. The clutter subspaces are suppressed by zeroing out corresponding singular values, and the matrix is then recomposed by the rest of the subspaces to recover the echo. Experiments on simulated and real datasets show that the proposed method achieves an average improvement factor (IF) above 40 dB and reduces runtime by over 85% in most scenarios. Full article
(This article belongs to the Section Engineering Remote Sensing)
Show Figures

Figure 1

13 pages, 309 KB  
Article
Factorizations and Accurate Computations with Min and Max Matrices
by Yasmina Khiar, Esmeralda Mainar and Eduardo Royo-Amondarain
Symmetry 2025, 17(5), 684; https://doi.org/10.3390/sym17050684 - 29 Apr 2025
Cited by 1 | Viewed by 473
Abstract
Min and max matrices are structured matrices that appear in diverse mathematical and computational applications. Their inherent structures facilitate highly accurate numerical solutions to algebraic problems. In this research, the total positivity of generalized Min and Max matrices is characterized, and their bidiagonal [...] Read more.
Min and max matrices are structured matrices that appear in diverse mathematical and computational applications. Their inherent structures facilitate highly accurate numerical solutions to algebraic problems. In this research, the total positivity of generalized Min and Max matrices is characterized, and their bidiagonal factorizations are derived. It is also demonstrated that these decompositions can be computed with high relative accuracy (HRA), enabling the precise computations of eigenvalues and singular values and the solution of linear systems. Notably, the discussed approach achieves relative errors on the order of the unit roundoff, even for large and ill-conditioned matrices. To illustrate the exceptional accuracy of this method, numerical experiments on quantum extensions of Min and L-Hilbert matrices are presented, showcasing their superior precisions compared to those of standard computational techniques. Full article
(This article belongs to the Section Mathematics)
13 pages, 283 KB  
Article
High Relative Accuracy for Corner Cutting Algorithms
by Jorge Ballarín, Jorge Delgado and Juan Manuel Peña
Axioms 2025, 14(4), 248; https://doi.org/10.3390/axioms14040248 - 26 Mar 2025
Viewed by 403
Abstract
Corner cutting algorithms are important in computer-aided geometric design and they are associated to stochastic non-singular totally positive matrices. Non-singular totally positive matrices admit a bidiagonal decomposition. For many important examples, this factorization can be obtained with high relative accuracy. From this factorization, [...] Read more.
Corner cutting algorithms are important in computer-aided geometric design and they are associated to stochastic non-singular totally positive matrices. Non-singular totally positive matrices admit a bidiagonal decomposition. For many important examples, this factorization can be obtained with high relative accuracy. From this factorization, a corner cutting algorithm can be obtained with high relative accuracy. Illustrative examples are included. Full article
(This article belongs to the Special Issue Advances in Linear Algebra with Applications, 2nd Edition)
Show Figures

Figure 1

14 pages, 1044 KB  
Article
Accurate Computations with Generalized Pascal k-Eliminated Functional Matrices
by Jorge Delgado, Héctor Orera and Juan Manuel Peña
Mathematics 2025, 13(2), 303; https://doi.org/10.3390/math13020303 - 18 Jan 2025
Viewed by 784
Abstract
This paper presents an accurate method to obtain the bidiagonal decomposition of some generalized Pascal matrices, including Pascal k-eliminated functional matrices and Pascal symmetric functional matrices. Sufficient conditions to assure that these matrices are either totally positive or inverse of totally positive [...] Read more.
This paper presents an accurate method to obtain the bidiagonal decomposition of some generalized Pascal matrices, including Pascal k-eliminated functional matrices and Pascal symmetric functional matrices. Sufficient conditions to assure that these matrices are either totally positive or inverse of totally positive matrices are provided. In these cases, the presented method can be used to compute their eigenvalues, singular values and inverses with high relative accuracy. Numerical examples illustrate the high accuracy of our approach. Full article
Show Figures

Figure 1

14 pages, 268 KB  
Article
Totally Positive Wronskian Matrices and Symmetric Functions
by Pablo Díaz, Esmeralda Mainar and Beatriz Rubio
Axioms 2024, 13(9), 589; https://doi.org/10.3390/axioms13090589 - 29 Aug 2024
Cited by 2 | Viewed by 923
Abstract
The elements of the bidiagonal decomposition (BD) of a totally positive (TP) collocation matrix can be expressed in terms of symmetric functions of the nodes. Making use of this result, and studying the relation between Wronskian and collocation matrices of a given TP [...] Read more.
The elements of the bidiagonal decomposition (BD) of a totally positive (TP) collocation matrix can be expressed in terms of symmetric functions of the nodes. Making use of this result, and studying the relation between Wronskian and collocation matrices of a given TP basis of functions, we can express the entries of the BD of Wronskian matrices as the values of certain symmetric functions evaluated at a single node. Moreover, in the case of polynomial bases, we obtain compact formulae for the entries of the BD of their Wronskian matrices. Interesting examples illustrate the applications of the obtained formulae. Full article
(This article belongs to the Section Algebra and Number Theory)
12 pages, 857 KB  
Article
Accurate Computations with Generalized Green Matrices
by Jorge Delgado, Guillermo Peña and Juan Manuel Peña
Symmetry 2024, 16(8), 1004; https://doi.org/10.3390/sym16081004 - 7 Aug 2024
Viewed by 1175
Abstract
We consider generalized Green matrices that, in contrast to Green matrices, are not necessarily symmetric. In spite of the loss of symmetry, we show that they can preserve some nice properties of Green matrices. In particular, they admit a bidiagonal decomposition. Moreover, for [...] Read more.
We consider generalized Green matrices that, in contrast to Green matrices, are not necessarily symmetric. In spite of the loss of symmetry, we show that they can preserve some nice properties of Green matrices. In particular, they admit a bidiagonal decomposition. Moreover, for convenient parameters, the bidiagonal decomposition can be obtained efficiently and with high relative accuracy and it can also be used to compute all eigenvalues, all singular values, the inverse, and the solution of some linear system of equations with high relative accuracy. Numerical examples illustrate the high accuracy of the performed computations using the bidiagonal decompositions. Finally, nonsingular and totally positive generalized Green matrices are characterized. Full article
(This article belongs to the Special Issue Research on Structured Matrices and Applications)
Show Figures

Figure 1

11 pages, 1117 KB  
Article
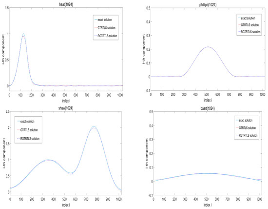
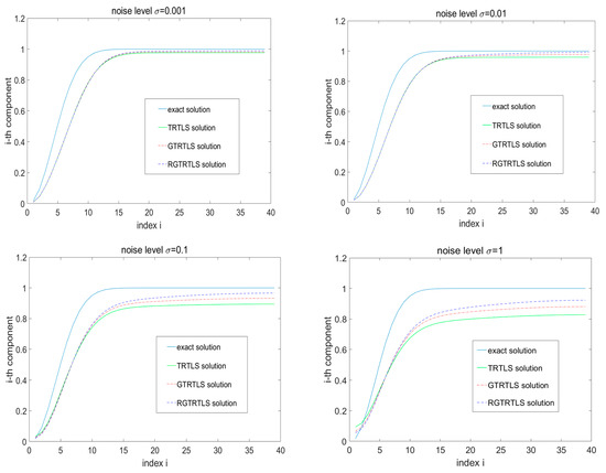
Regularization Total Least Squares and Randomized Algorithms
by Zhanshan Yang, Xilan Liu and Tiexiang Li
Mathematics 2024, 12(13), 1927; https://doi.org/10.3390/math12131927 - 21 Jun 2024
Viewed by 1401
Abstract
In order to achieve an effective approximation solution for solving discrete ill-conditioned problems, Golub, Hansen, and O’Leary used Tikhonov regularization and the total least squares (TRTLS) method, where the bidiagonal technique is considered to deal with computational aspects. In this paper, the generalized [...] Read more.
In order to achieve an effective approximation solution for solving discrete ill-conditioned problems, Golub, Hansen, and O’Leary used Tikhonov regularization and the total least squares (TRTLS) method, where the bidiagonal technique is considered to deal with computational aspects. In this paper, the generalized singular value decomposition (GSVD) technique is used for computational aspects, and then Tikhonov regularized total least squares based on the generalized singular value decomposition (GTRTLS) algorithm is proposed, whose time complexity is better than TRTLS. For medium- and large-scale problems, the randomized GSVD method is adopted to establish the randomized GTRTLS (RGTRTLS) algorithm, which reduced the storage requirement, and accelerated the convergence speed of the GTRTLS algorithm. Full article
Show Figures

Figure 1

17 pages, 377 KB  
Article
The Application of the Bidiagonal Factorization of Totally Positive Matrices in Numerical Linear Algebra
by José-Javier Martínez
Axioms 2024, 13(4), 258; https://doi.org/10.3390/axioms13040258 - 14 Apr 2024
Cited by 2 | Viewed by 1670
Abstract
The approach to solving linear systems with structured matrices by means of the bidiagonal factorization of the inverse of the coefficient matrix is first considered in this review article, the starting point being the classical Björck–Pereyra algorithms for Vandermonde systems, published in 1970 [...] Read more.
The approach to solving linear systems with structured matrices by means of the bidiagonal factorization of the inverse of the coefficient matrix is first considered in this review article, the starting point being the classical Björck–Pereyra algorithms for Vandermonde systems, published in 1970 and carefully analyzed by Higham in 1987. The work of Higham briefly considered the role of total positivity in obtaining accurate results, which led to the generalization of this approach to totally positive Cauchy, Cauchy–Vandermonde and generalized Vandermonde matrices. Then, the solution of other linear algebra problems (eigenvalue and singular value computation, least squares problems) is addressed, a fundamental tool being the bidiagonal decomposition of the corresponding matrices. This bidiagonal decomposition is related to the theory of Neville elimination, although for achieving high relative accuracy the algorithm of Neville elimination is not used. Numerical experiments showing the good behavior of these algorithms when compared with algorithms that ignore the matrix structure are also included. Full article
(This article belongs to the Special Issue Advances in Linear Algebra with Applications)
14 pages, 1343 KB  
Article
Bidiagonal Factorizations of Filbert and Lilbert Matrices
by Yasmina Khiar, Esmeralda Mainar, Juan Manuel Peña, Eduardo Royo-Amondarain and Beatriz Rubio
Axioms 2024, 13(4), 219; https://doi.org/10.3390/axioms13040219 - 26 Mar 2024
Cited by 1 | Viewed by 1386
Abstract
Extensions of Filbert and Lilbert matrices are addressed in this work. They are reciprocal Hankel matrices based on Fibonacci and Lucas numbers, respectively, and both are related to Hilbert matrices. The Neville elimination is applied to provide explicit expressions for their bidiagonal factorization. [...] Read more.
Extensions of Filbert and Lilbert matrices are addressed in this work. They are reciprocal Hankel matrices based on Fibonacci and Lucas numbers, respectively, and both are related to Hilbert matrices. The Neville elimination is applied to provide explicit expressions for their bidiagonal factorization. As a byproduct, formulae for the determinants of these matrices are obtained. Finally, numerical experiments show that several algebraic problems involving these matrices can be solved with outstanding accuracy, in contrast with traditional approaches. Full article
Show Figures

Figure 1

13 pages, 606 KB  
Article
Accurate Computations with Block Checkerboard Pattern Matrices
by Jorge Delgado, Héctor Orera and J. M. Peña
Mathematics 2024, 12(6), 853; https://doi.org/10.3390/math12060853 - 14 Mar 2024
Viewed by 1607
Abstract
In this work, block checkerboard sign pattern matrices are introduced and analyzed. They satisfy the generalized Perron–Frobenius theorem. We study the case related to total positive matrices in order to guarantee bidiagonal decompositions and some linear algebra computations with high relative accuracy. A [...] Read more.
In this work, block checkerboard sign pattern matrices are introduced and analyzed. They satisfy the generalized Perron–Frobenius theorem. We study the case related to total positive matrices in order to guarantee bidiagonal decompositions and some linear algebra computations with high relative accuracy. A result on intervals of checkerboard matrices is included. Some numerical examples illustrate the theoretical results. Full article
(This article belongs to the Special Issue Numerical Algorithms: Computer Aspects and Related Topics)
Show Figures

Figure 1

17 pages, 616 KB  
Article
On the Total Positivity and Accurate Computations of r-Bell Polynomial Bases
by Esmeralda Mainar, Juan Manuel Peña and Beatriz Rubio
Axioms 2023, 12(9), 839; https://doi.org/10.3390/axioms12090839 - 29 Aug 2023
Cited by 1 | Viewed by 1325
Abstract
A new class of matrices defined in terms of r-Stirling numbers is introduced. These r-Stirling matrices are totally positive and determine the linear transformation between monomial and r-Bell polynomial bases. An efficient algorithm for the computation to high relative accuracy [...] Read more.
A new class of matrices defined in terms of r-Stirling numbers is introduced. These r-Stirling matrices are totally positive and determine the linear transformation between monomial and r-Bell polynomial bases. An efficient algorithm for the computation to high relative accuracy of the bidiagonal factorization of r-Stirling matrices is provided and used to achieve computations to high relative accuracy for the resolution of relevant algebraic problems with collocation, Wronskian, and Gramian matrices of r-Bell bases. The numerical experimentation confirms the accuracy of the proposed procedure. Full article
(This article belongs to the Special Issue Advances in Linear Algebra with Applications)
Show Figures

Figure 1

16 pages, 618 KB  
Article
Green Matrices, Minors and Hadamard Products
by Jorge Delgado, Guillermo Peña and Juan Manuel Peña
Axioms 2023, 12(8), 774; https://doi.org/10.3390/axioms12080774 - 10 Aug 2023
Cited by 3 | Viewed by 1959
Abstract
Green matrices are interpreted as discrete version of Green functions and are used when working with inhomogeneous linear system of differential equations. This paper discusses accurate algebraic computations using a recent procedure to achieve an important factorization of these matrices with high relative [...] Read more.
Green matrices are interpreted as discrete version of Green functions and are used when working with inhomogeneous linear system of differential equations. This paper discusses accurate algebraic computations using a recent procedure to achieve an important factorization of these matrices with high relative accuracy and using alternative accurate methods. An algorithm to compute any minor of a Green matrix with high relative accuracy is also presented. The bidiagonal decomposition of the Hadamard product of Green matrices is obtained. Illustrative numerical examples are included. Full article
(This article belongs to the Special Issue Advances in Linear Algebra with Applications)
Show Figures

Figure 1

Back to TopTop