Sign in to use this feature.

Years

Between: -

Subjects

remove_circle_outline
remove_circle_outline
remove_circle_outline
remove_circle_outline
remove_circle_outline
remove_circle_outline
remove_circle_outline
remove_circle_outline
remove_circle_outline

Journals

Article Types

Countries / Regions

remove_circle_outline
remove_circle_outline
remove_circle_outline
remove_circle_outline

Search Results (191)

Search Parameters:
Keywords = beyond the Standard Model Physics

Order results
Result details
Results per page
Select all
Export citation of selected articles as:
21 pages, 754 KB  
Systematic Review
Does Minimally Invasive Valve Surgery Improve Quality of Life Compared to Sternotomy? A Systematic Review
by Andra Denis Marinescu, Stefan Andrei Oprea and Victor Sebastian Costache
J. Clin. Med. 2025, 14(24), 8660; https://doi.org/10.3390/jcm14248660 (registering DOI) - 6 Dec 2025
Abstract
Background/Objectives: Minimally invasive valve surgery (MIVS) is increasingly employed as an alternative to conventional median sternotomy (MS) in the treatment of valvular heart disease. However, its impact on postoperative quality of life (QoL) remains incompletely understood. This systematic review and meta-analysis aimed [...] Read more.
Background/Objectives: Minimally invasive valve surgery (MIVS) is increasingly employed as an alternative to conventional median sternotomy (MS) in the treatment of valvular heart disease. However, its impact on postoperative quality of life (QoL) remains incompletely understood. This systematic review and meta-analysis aimed to compare QoL outcomes between MIVS and MS, focusing on physical, psychological, and social dimensions, both in the short- and long-term postoperative periods. Methods: A comprehensive search was conducted in PubMed, Scopus, Web of Science, and Wiley Online Library databases for studies published between January 2020 and September 2025. Eligible studies included adult patients undergoing MIVS or MS and assessed QoL using validated instruments (SF-36, EQ-5D, MLHFQ, KCCQ). Random-effects models were used for meta-analysis, and standardized mean differences (SMDs) were calculated to estimate pooled effects. Results: Fifty-six studies with a combined sample of over 10,000 patients were included. MIVS was associated with significantly better short-term QoL outcomes across physical (SMD = 0.88; 95% CI: 0.74–1.02) and psychological domains (SMD = 0.47; 95% CI: 0.35–0.59). Patients also experienced earlier social reintegration and improved body image perception. Although these benefits diminished beyond 12 months, MIVS maintained a modest but persistent advantage in long-term QoL (≥5 years). Structured psychological support and cardiac rehabilitation programmes further enhanced physical and emotional recovery. Conclusions: MIVS confers meaningful benefits in postoperative QoL, particularly during the early recovery phase. Sustained improvements depend on comprehensive postoperative care, including rehabilitation and psychosocial support. Further long-term, standardized research is required to strengthen evidence and guide patient-centred surgical decision-making. Full article
(This article belongs to the Section Cardiovascular Medicine)
Show Figures

Figure 1

17 pages, 641 KB  
Review
Health and Nutrition Interventions to Prevent Childhood Overweight and Obesity in Mexico and Latin America: A Systematic Review
by Teresa Shamah-Levy, Marti Yareli Del Monte-Vega, Danae Gabriela Valenzuela-Bravo, Carmen Morales-Ruán, Lidia Moreno-Macías, Carlos Galindo-Gómez, Ileana Fajardo-Niquete and Javier Troconis-Cervera
Nutrients 2025, 17(24), 3818; https://doi.org/10.3390/nu17243818 - 5 Dec 2025
Abstract
Background: Childhood obesity is a pressing global health challenge. Analyzing the efficacy of interventions is crucial to mitigate its impact and inform effective public health policies. This study aimed to conduct a systematic review of interventions (SRI) targeting school-aged children with obesity. Our [...] Read more.
Background: Childhood obesity is a pressing global health challenge. Analyzing the efficacy of interventions is crucial to mitigate its impact and inform effective public health policies. This study aimed to conduct a systematic review of interventions (SRI) targeting school-aged children with obesity. Our goal was to identify the key components that contribute to the success of integrated interventions addressing diet/nutrition (D/N), physical activity (PA), and socioemotional skills. Methods: The Cochrane Collaboration methodology and the PRISMA statement were followed. The SRI included the following criteria, established a priori: studies that addressed obesity in school-aged children, including one or more interventions related to physical activity (PA), diet/nutrition (D/N), or socioemotional skills. Following the PICO (Population, Intervention, Comparison, and Outcome) framework, we searched six digital databases using relevant keywords and MeSH terms. The Mixed-Methods Appraisal Tool (MMAT) was used to assess article quality via “function group string” methods. Finally, a thematic synthesis of the SRI findings was conducted. The protocol for this study was registered in PROSPERO (CRD4202454214). Results: Initial screening yielded 127 articles. Following critical appraisal with the MMAT, studies with inadequate methodology, solely descriptive designs, unclear results, or interventions shorter than six months were excluded. Ultimately, 10 studies remained, eight of which included two of the three components of interest (D/N or PA). Conclusions: In this overview, many interventions were presented for the prevention of overweight and obesity in school-age children; however, methodological and standardized limitations still exist that hinder the establishment of effective interventions. Engaging families and teachers as active participants in interventions significantly enhanced effectiveness in both the D/N and PA domains. However, an analysis of current interventions highlights a stark gap in multisectoral and integrated approaches to tackling childhood obesity. This presents a remarkable opportunity for future initiatives to move beyond fragmented efforts and embrace a holistic model that unites families, schools, and communities to promote healthy lifestyles. Full article
(This article belongs to the Special Issue Community, School and Family-Based Nutritional Research)
Show Figures

Figure 1

35 pages, 1898 KB  
Review
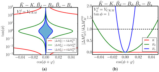
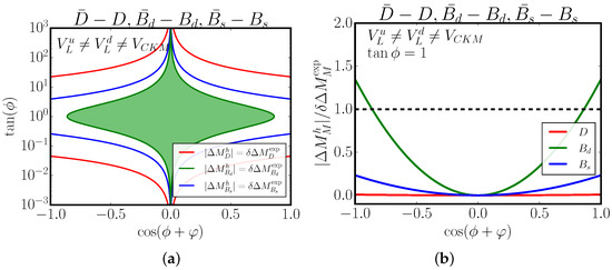
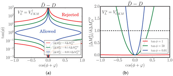
Three Decades of FCNC Studies in 3-3-1 Model with Right-Handed Neutrinos: From Z′-Dominance to the Alignment Limit
by Patricio Escalona, João Paulo Pinheiro, Vinícius Oliveira, Adriano Doff and Carlos Antonio De Sousa Pires
Universe 2025, 11(12), 396; https://doi.org/10.3390/universe11120396 - 3 Dec 2025
Viewed by 51
Abstract
Flavor-changing neutral current (FCNC) processes play a prominent role in the search for physics beyond the Standard Model (SM) due to their sensitivity to new physics at the TeV scale. Meson–antimeson transitions and rare meson decays provide stringent constraints on new physics through [...] Read more.
Flavor-changing neutral current (FCNC) processes play a prominent role in the search for physics beyond the Standard Model (SM) due to their sensitivity to new physics at the TeV scale. Meson–antimeson transitions and rare meson decays provide stringent constraints on new physics through precision measurements of observables such as mass differences, CP asymmetries, and branching ratios. Extensions of the SM based on the SU(3)C×SU(3)L×U(1)N gauge group offer a compelling framework for flavor physics, as FCNC processes emerge inexorably at tree level due to the non-universal transformations of the quark families. Among its various realizations, the version incorporating right-handed neutrinos (331RHNs) is the most phenomenologically viable. This review synthesizes three decades of theoretical developments in FCNC phenomenology within the 331RHN model, from early Z-dominated studies to the recent recognition of the decisive role played by the SM-like Higgs boson and the identification of the alignment limit. We demonstrate that viable parameter space spans orders of magnitude—from mZ a few hundred GeV to ∼100 TeV—depending critically on quark mixing parameterizations and scalar alignment configurations, with significant implications for experimental searches at current and future colliders. Full article
(This article belongs to the Section High Energy Nuclear and Particle Physics)
Show Figures

Figure 1

26 pages, 2582 KB  
Article
Lie Symmetry Analysis, Optimal Systems and Physical Interpretation of Solutions for the KdV-Burgers Equation
by Faiza Afzal and Alina Alb Lupas
Symmetry 2025, 17(11), 1981; https://doi.org/10.3390/sym17111981 - 16 Nov 2025
Viewed by 215
Abstract
This manuscript presents a comprehensive Lie symmetry analysis of the KdV-Burgers equation, a prototypical model for nonlinear wave dynamics incorporating dissipation and dispersion. We systematically derive its six-dimensional Lie algebra and construct an optimal system of one-dimensional subalgebras. This framework is used to [...] Read more.
This manuscript presents a comprehensive Lie symmetry analysis of the KdV-Burgers equation, a prototypical model for nonlinear wave dynamics incorporating dissipation and dispersion. We systematically derive its six-dimensional Lie algebra and construct an optimal system of one-dimensional subalgebras. This framework is used to perform a symmetry reduction, transforming the governing partial differential equation into a set of ordinary differential equations. A key contribution of this work is the identification and analysis of several non-trivial invariant solutions, including a new Galilean-boost-invariant solution related to an accelerating reference frame, which extends beyond standard traveling waves. Through a detailed physical interpretation supported by phase plane analysis and asymptotic methods, we elucidate how the mathematical symmetries directly manifest as fundamental physical behaviors. This reveals a clear classification of distinct wave regimes—from monotonic and oscillatory shocks to solitary wave trains governed by the interplay between nonlinearity, dissipation and dispersion. The numerical validation verify the accuracy and physical relevance of the derived invariant solutions, with errors less than 0.5% in the Burgers limit and 3.2% in the weak dissipation regime. Our work establishes a direct link between the model’s symmetry structure and its observable dynamics, providing a unified framework validated both analytically and through the examination of universal scaling laws. The results offer profound insights applicable to fields ranging from plasma physics and hydrodynamics to nonlinear acoustics. Full article
(This article belongs to the Special Issue Symmetry and Its Applications in Partial Differential Equations)
Show Figures

Figure 1

30 pages, 665 KB  
Article
Top-Down Analysis of Leptogenesis and Dirac Neutrino Masses in an Extended CP-Violating Standard Model
by Chilong Lin
Symmetry 2025, 17(11), 1888; https://doi.org/10.3390/sym17111888 - 6 Nov 2025
Viewed by 285
Abstract
We analytically investigate the charge parity (CP) violation, neutrino masses, and leptogenesis in the Standard Model (SM) with an extension to Dirac neutrinos, building on our previous quark sector analysis. Using systematic top-down diagonalization of fermion mass matrices and experimental neutrino mass-squared differences, [...] Read more.
We analytically investigate the charge parity (CP) violation, neutrino masses, and leptogenesis in the Standard Model (SM) with an extension to Dirac neutrinos, building on our previous quark sector analysis. Using systematic top-down diagonalization of fermion mass matrices and experimental neutrino mass-squared differences, we predict the complete neutrino mass spectrum and assess leptogenesis viability. We find that our analysis yields specific mass predictions: mh5.01×102 eV, ml6.09×103 eV, and a bimodal middle mass (mm4.97×102 eV for inverted ordering, mm1.05×102 eV for normal ordering). Four viable scenarios emerge with parameter constraints ranging from highly restrictive (1<g<1.01512) to moderately broad (1<g<5.9). Crucially, Dirac neutrino leptogenesis is about 71 orders of magnitude weaker than baryogenesis, indicating that Standard Model leptogenesis is negligible and Beyond Standard Model physics is needed for significant leptogenesis contributions. CP violation emerges through SN symmetry breaking, with mass degeneracies controlled by model parameters. Remarkably, while mass-squared differences are small, individual neutrino masses can be significantly larger, potentially addressing dark matter mass requirements and enhancing cosmological significance. This work provides testable predictions for neutrino experiments and establishes a unified analytical approach to CP violation across fermion sectors. Full article
(This article belongs to the Special Issue Neutrinos and Symmetry: Theoretical Developments and New Directions)
Show Figures

Figure 1

24 pages, 359 KB  
Article
A Risk Management Approach in Occupational Health and Safety Based on the Integration of a Weighted Composite Score
by Mirel Glevitzky, Maria Popa, Paul Mucea-Ștef and Doriana Maria Popa
Safety 2025, 11(4), 103; https://doi.org/10.3390/safety11040103 - 22 Oct 2025
Viewed by 2026
Abstract
Occupational health and safety (OHS) is essential for protecting the life, health, and physical integrity of workers. In a complex and dynamic professional context, the prevention of occupational risks has become a priority for employers and decision-makers, going beyond legal compliance to create [...] Read more.
Occupational health and safety (OHS) is essential for protecting the life, health, and physical integrity of workers. In a complex and dynamic professional context, the prevention of occupational risks has become a priority for employers and decision-makers, going beyond legal compliance to create a safe and efficient work environment. This article explores the history and the main theoretical aspects of OHS and explores the implementation of the ISO 45001 standard and introduces managing workplace health and safety (WHS) risks based on the 5M Method and a weighted composite algorithm for OHS risk assessment integrating factors such as severity, probability, frequency of exposure, number of exposed employees, organizational response capacity, and incident history. Applied in a mixed industrial case study, this approach demonstrated superior risk prioritization compared to the classic severity–probability model. The findings have practical applications: organizations can use the Weighted Composite Score to prioritize interventions, allocate resources efficiently, and prevent high-risk incidents. The approach is adaptable across industries, supporting data-driven safety decisions. The integration of this method supports ISO 45001’s principles of a systematic, proactive, and continuous improvement approach to OHS management. Full article
Show Figures

Figure 1

27 pages, 8701 KB  
Article
Monotonic Behaviour and Physical Characteristics of Silty Sands with Kaolinite Clay
by Davor Marušić and Vedran Jagodnik
Geotechnics 2025, 5(4), 70; https://doi.org/10.3390/geotechnics5040070 - 9 Oct 2025
Viewed by 366
Abstract
This study investigates the behaviour of dense silty sands with kaolinite clay under static drained/undrained conditions at low confining stress. Conventional laboratory tests assessed the mixtures’ physical properties, but standard void ratio methods proved inadequate for silty sands with kaolinite. Despite targeting 80% [...] Read more.
This study investigates the behaviour of dense silty sands with kaolinite clay under static drained/undrained conditions at low confining stress. Conventional laboratory tests assessed the mixtures’ physical properties, but standard void ratio methods proved inadequate for silty sands with kaolinite. Despite targeting 80% relative density, specimens exhibited loose sand behaviour in both drained and undrained tests. With increasing kaolinite content, conventionally reconstituted mixtures exhibit reduced peak stress ratios up to 10% fines, with little change beyond, while critical ratios generally rise at 25 kPa but remain unchanged or decrease slightly at 50 kPa. Analytical redefinition of minimum/maximum void ratios (based on sand–clay volumetric fractions) improved specimen reconstitution, yielding dense behaviour matching that of the host sand. The alternatively reconstituted mixtures display increasing drained peaks and minor changes in undrained peaks with increasing kaolinite content, with critical ratios increasing markedly at 25 kPa and only slightly at 50 kPa. However, this analytical void ratio determination method is limited to non-expansive, low-plasticity clays. Void ratios in silty sands with clay mineras are influenced by confining stress, drainage, saturation, clay content, and the sand skeleton structure. Unlike pure sands, these mixtures exhibit variable void ratios due to changes in the clay phase under different saturation levels. A new evaluation method is needed that accounts for clay composition, saturation-dependent consistency, and initial sand skeleton configuration to characterise these soils accurately. The findings highlight the limitations of conventional approaches and stress the need for advanced frameworks to model complex soil behaviour in geotechnical applications. Full article
Show Figures

Figure 1

24 pages, 15793 KB  
Article
AirCalypse: A Case Study of Temporal and User-Behaviour Contrasts in Social Media for Urban Air Pollution Monitoring in New Delhi Before and During COVID-19
by Prithviraj Pramanik, Tamal Mondal, Sirshendu Arosh and Mousumi Saha
Sustainability 2025, 17(19), 8924; https://doi.org/10.3390/su17198924 - 8 Oct 2025
Viewed by 875
Abstract
Air pollution has become a significant concern for human health, especially in developing countries. Among Primary Pollutants, particulate matter 2.5 (PM2.5), refers to airborne particles which have a diameter of 2.5 micrometres or less, and has become a widely used [...] Read more.
Air pollution has become a significant concern for human health, especially in developing countries. Among Primary Pollutants, particulate matter 2.5 (PM2.5), refers to airborne particles which have a diameter of 2.5 micrometres or less, and has become a widely used measure for monitoring air quality globally. The standard go-to method usually uses Federal Reference Grade sensors to understand air quality. But, they are quite cost-prohibitive, so the popular alternative is low-cost (LC) air quality sensors. Even LC air quality monitors do not cover many areas, especially across the global south. On the other hand, the ubiquitous use of online social media OSM has led to its evolution in participatory sensing. While it does not function as a physical sensor, it can be a proxy indicator of public perception on the topic under study. OSM platforms such as Twitter/X and Reddit have already demonstrated their value in understanding human perception across various domains, including air quality monitoring. This study focuses on understanding air pollution in a resource-constrained setting by examining how the community perception on social media can complement traditional monitoring. We leverage metadata readily available from social media user data to find patterns with air quality fluctuations before and during the pandemic. We use the US Embassy PM2.5 data for baseline measurement. In the study, we empirically analyse the variations in quantitative & intent-based community perception in seasonal & pandemic outbreaks with varying air quality. We compare the baseline against temporal & user-specific attributes of Twitter/X relating to tweets like daily frequency of tweets, tweet lags 1–5, user followers, user verified, and user lists memberships across two timelines: pre-COVID-19 (20 March 2019– 29 February 2020) & COVID-19 (1 March 2020–20 September 2020). Our analysis examines both the quantitative and the intent-based community engagement, highlighting the significance of features like user authenticity, tweet recurrence rates, and intensity of participation. Furthermore, we show how behavioural patterns in the online discussions diverged across the two periods, which reflected the broader shifts in the air pollution levels and the public attention. This study empirically demonstrates the significance of X/Twitter metadata, beyond standard tweet content, and provides additional features for modelling and understanding air quality in developing countries. Full article
(This article belongs to the Special Issue Air Pollution and Sustainability)
Show Figures

Figure 1

18 pages, 1611 KB  
Review
Blazars as Probes for Fundamental Physics
by Giorgio Galanti
Universe 2025, 11(10), 327; https://doi.org/10.3390/universe11100327 - 27 Sep 2025
Viewed by 334
Abstract
Blazars are a class of active galactic nuclei characterized by having one of their relativistic jets oriented close to our line of sight. Their broad emission spectrum makes them exceptional laboratories for probing fundamental physics. In this review, we explore the potential impact [...] Read more.
Blazars are a class of active galactic nuclei characterized by having one of their relativistic jets oriented close to our line of sight. Their broad emission spectrum makes them exceptional laboratories for probing fundamental physics. In this review, we explore the potential impact on blazar observations of three scenarios beyond the standard paradigm: (i) the hadron beam model, (ii) the interaction of photons with axion-like particles (ALPs), and (iii) Lorentz invariance violation. We focus on the very-high-energy spectral features these scenarios induce in the blazars Markarian 501 and 1ES 0229+200, making them ideal targets for testing such effects. Additionally, we examine ALP-induced effects on the polarization of UV-X-ray and high-energy photons from the blazar OJ 287. The unique signatures produced by these models are accessible to current and upcoming instruments—such as the ASTRI Mini Array, CTAO, LHAASO, IXPE, COSI, and AMEGO—offering new opportunities to probe and constrain fundamental physics through blazar observations. Full article
(This article belongs to the Special Issue Multi-wavelength Properties of Active Galactic Nuclei)
Show Figures

Figure 1

28 pages, 5282 KB  
Article
Predicting Empathy and Other Mental States During VR Sessions Using Sensor Data and Machine Learning
by Emilija Kizhevska, Hristijan Gjoreski and Mitja Luštrek
Sensors 2025, 25(18), 5766; https://doi.org/10.3390/s25185766 - 16 Sep 2025
Viewed by 1979
Abstract
Virtual reality (VR) is often regarded as the “ultimate empathy machine” because of its ability to immerse users in alternative perspectives and environments beyond physical reality. In this study, 105 participants (average age 22.43 ± 5.31 years, range 19–45, 75% female) with diverse [...] Read more.
Virtual reality (VR) is often regarded as the “ultimate empathy machine” because of its ability to immerse users in alternative perspectives and environments beyond physical reality. In this study, 105 participants (average age 22.43 ± 5.31 years, range 19–45, 75% female) with diverse educational and professional backgrounds experienced three-dimensional 360° VR videos featuring actors expressing different emotions. Despite the availability of established methodologies in both research and clinical domains, there remains a lack of a universally accepted “gold standard” for empathy assessment. The primary objective was to explore the relationship between the empathy levels of the participants and the changes in their physiological responses. Empathy levels were self-reported using questionnaires, while physiological attributes were recorded through various sensors. The main outcomes of the study are machine learning (ML) models capable of predicting state empathy levels and trait empathy scores during VR video exposure. The Random Forest (RF) regressor achieved the best performance for trait empathy prediction, with a mean absolute percentage error (MAPE) of 9.1%, and a standard error of the mean (SEM) of 0.32% across folds. For classifying state empathy, the RF classifier achieved the highest balanced accuracy of 67%, and a standard error of the proportion (SE) of 1.90% across folds. This study contributes to empathy research by introducing an objective and efficient method for predicting empathy levels using physiological signals, demonstrating the potential of ML models to complement self-reports. Moreover, by providing a novel dataset of VR empathy-eliciting videos, the work offers valuable resources for future research and clinical applications. Additionally, predictive models were developed to detect non-empathic arousal (78% balanced accuracy ± 0.63% SE) and to distinguish empathic vs. non-empathic arousal (79% balanced accuracy ± 0.41% SE). Furthermore, statistical tests explored the influence of narrative context, as well as empathy differences toward different genders and emotions. We also make available a set of carefully designed and recorded VR videos specifically created to evoke empathy while minimizing biases and subjective perspectives. Full article
(This article belongs to the Special Issue Sensors and Wearables for AR/VR Applications)
Show Figures

Figure 1

9 pages, 742 KB  
Article
Experimental Search for Neutron–Antineutron Oscillation with the Use of Ultra-Cold Neutrons Revisited
by Tatsushi Shima
Symmetry 2025, 17(9), 1524; https://doi.org/10.3390/sym17091524 - 12 Sep 2025
Viewed by 707
Abstract
Neutron–antineutron oscillation (nnbar-osc) is a baryon number-violating process and a sensitive probe for physics beyond the standard model. Ultra-cold neutrons (UCNs) are attractive for nnbar-osc searches because of their long storage time, but earlier analyses indicated that phase shifts on wall reflection differ [...] Read more.
Neutron–antineutron oscillation (nnbar-osc) is a baryon number-violating process and a sensitive probe for physics beyond the standard model. Ultra-cold neutrons (UCNs) are attractive for nnbar-osc searches because of their long storage time, but earlier analyses indicated that phase shifts on wall reflection differ for neutrons and antineutrons, leading to severe decoherence and a loss of sensitivity. Herein, we revisit this problem by numerically solving the time-dependent Schrödinger equation for the two-component n/nbar wave function, explicitly including wall interactions. We show that decoherence can be strongly suppressed by selecting a wall material whose neutron and antineutron optical potentials are nearly equal. Using coherent scattering length data and estimates for antineutrons, we identify a Ni–Al alloy composition that matches the potentials within a few percent while providing a high absolute value, enabling long UCN storage. With such a bottle and an improved UCN source, the sensitivity could reach an oscillation period τnnbar of the order 1010 s, covering most of the range predicted with certain grand unified models. This approach revives the feasibility of high-sensitivity nnbar-osc searches using stored UCNs and offers a clear path to probe baryon number violation far beyond existing limits. Full article
(This article belongs to the Section Physics)
Show Figures

Figure 1

19 pages, 1748 KB  
Article
On the True Significance of the Hubble Tension: A Bayesian Error Decomposition Accounting for Information Loss
by Nathalia M. N. da Rocha, Andre L. B. Ribeiro and Francisco B. S. Oliveira
Universe 2025, 11(9), 303; https://doi.org/10.3390/universe11090303 - 6 Sep 2025
Viewed by 515
Abstract
The Hubble tension, a persistent discrepancy between early and late Universe measurements of H0, poses a significant challenge to the standard cosmological model. In this work, we present a new Bayesian hierarchical framework designed to meticulously decompose this observed tension into [...] Read more.
The Hubble tension, a persistent discrepancy between early and late Universe measurements of H0, poses a significant challenge to the standard cosmological model. In this work, we present a new Bayesian hierarchical framework designed to meticulously decompose this observed tension into its constituent parts: standard measurement errors, information loss arising from parameter-space projection, and genuine physical tension. Our approach, employing Fisher matrix analysis with MCMC-estimated loss coefficients and explicitly modeling information loss via variance inflation factors (λ), is particularly important in high-precision analysis where even seemingly small information losses can impact conclusions. We find that the real tension component (Treal) has a mean value of 5.94 km/s/Mpc (95% CI: [3.32, 8.64] km/s/Mpc). Quantitatively, approximately 78% of the observed tension variance is attributed to real tension, 13% to measurement error, and 9% to information loss. Despite this, our decomposition indicates that the observed ∼6.39σ discrepancy is predominantly a real physical phenomenon, with real tension contributing ∼5.64σ. Our findings strongly suggest that the Hubble tension is robust and probably points toward new physics beyond the ΛCDM model. Full article
Show Figures

Figure 1

29 pages, 2571 KB  
Article
Governance Framework for Intelligent Digital Twin Systems in Battery Storage: Aligning Standards, Market Incentives, and Cybersecurity for Decision Support of Digital Twin in BESS
by April Lia Hananto and Ibham Veza
Computers 2025, 14(9), 365; https://doi.org/10.3390/computers14090365 - 2 Sep 2025
Viewed by 2188
Abstract
Digital twins represent a transformative innovation for battery energy storage systems (BESS), offering real-time virtual replicas of physical batteries that enable accurate monitoring, predictive analytics, and advanced control strategies. These capabilities promise to significantly enhance system efficiency, reliability, and lifespan. Yet, despite the [...] Read more.
Digital twins represent a transformative innovation for battery energy storage systems (BESS), offering real-time virtual replicas of physical batteries that enable accurate monitoring, predictive analytics, and advanced control strategies. These capabilities promise to significantly enhance system efficiency, reliability, and lifespan. Yet, despite the clear technical potential, large-scale deployment of digital twin-enabled battery systems faces critical governance barriers. This study identifies three major challenges: fragmented standards and lack of interoperability, weak or misaligned market incentives, and insufficient cybersecurity safeguards for interconnected systems. The central contribution of this research is the development of a comprehensive governance framework that aligns these three pillars—standards, market and regulatory incentives, and cybersecurity—into an integrated model. Findings indicate that harmonized standards reduce integration costs and build trust across vendors and operators, while supportive regulatory and market mechanisms can explicitly reward the benefits of digital twins, including improved reliability, extended battery life, and enhanced participation in energy markets. For example, simulation-based evidence suggests that digital twin-guided thermal and operational strategies can extend usable battery capacity by up to five percent, providing both technical and economic benefits. At the same time, embedding robust cybersecurity practices ensures that the adoption of digital twins does not introduce vulnerabilities that could threaten grid stability. Beyond identifying governance gaps, this study proposes an actionable implementation roadmap categorized into short-, medium-, and long-term strategies rather than fixed calendar dates, ensuring adaptability across different jurisdictions. Short-term actions include establishing terminology standards and piloting incentive programs. Medium-term measures involve mandating interoperability protocols and embedding digital twin requirements in market rules, and long-term strategies focus on achieving global harmonization and universal plug-and-play interoperability. International examples from Europe, North America, and Asia–Pacific illustrate how coordinated governance can accelerate adoption while safeguarding energy infrastructure. By combining technical analysis with policy and governance insights, this study advances both the scholarly and practical understanding of digital twin deployment in BESSs. The findings provide policymakers, regulators, industry leaders, and system operators with a clear framework to close governance gaps, maximize the value of digital twins, and enable more secure, reliable, and sustainable integration of energy storage into future power systems. Full article
(This article belongs to the Section AI-Driven Innovations)
Show Figures

Figure 1

10 pages, 641 KB  
Study Protocol
Sport-Based Exercise in Pediatric Acquired Brain Injury: Protocol for a Randomized Controlled Trial
by Andrea Gutiérrez-Suárez, Marta Pérez-Rodríguez, Agurtzane Castrillo and Javier Pérez-Tejero
J. Clin. Med. 2025, 14(17), 5970; https://doi.org/10.3390/jcm14175970 - 23 Aug 2025
Viewed by 1426
Abstract
Background/Objectives: Pediatric acquired brain injury (ABI) often results in persistent challenges that extend beyond motor impairments, affecting quality of life (QoL), social participation, and engagement in physical activity. Given the complexity and chronicity of these outcomes, there is a pressing need for [...] Read more.
Background/Objectives: Pediatric acquired brain injury (ABI) often results in persistent challenges that extend beyond motor impairments, affecting quality of life (QoL), social participation, and engagement in physical activity. Given the complexity and chronicity of these outcomes, there is a pressing need for multidimensional interventions grounded in the International Classification of Functioning, Disability and Health (ICF). Sport-based exercise interventions, when developmentally adapted and tailored to individual interests, may promote intrinsic motivation, peer connection, and sustainable engagement—factors especially relevant in pediatric ABI populations, who often experience reduced physical activity and social isolation. However, standardized, replicable protocols specifically tailored to this population remain scarce. This study presents the protocol for a randomized controlled trial evaluating the effects of a 16-week sport-based intervention on QoL, social participation, physical activity engagement, and motor functioning tailored for adolescents with pediatric ABI. Methods: Participants will be randomly assigned to an intervention group or a control group receiving usual care. The intervention consists of one weekly 60-minute session, led by trained professionals in adapted physical activity and pediatric neurorehabilitation. It combines sport-based motor skill training, cooperative games, and group activities specifically tailored to each child’s developmental level, motor abilities, and preferences. Outcomes will be assessed at baseline and following the 16-week intervention period, focusing on QoL, participation, physical activity engagement, and motor functioning. Discussion: This study introduces a structured, child-centered model that bridges clinical rehabilitation and community-based sport. By integrating motor and psychosocial targets through a group sport-based intervention, it aims to enhance recovery across ICF domains. Findings may inform interdisciplinary practice and support the development of sustainable strategies to promote long-term engagement and well-being in adolescents with ABI. Full article
(This article belongs to the Special Issue Clinical Advances in Traumatic Brain Injury)
Show Figures

Figure 1

26 pages, 4856 KB  
Article
PREFACE: A Search for Long-Lived Particles at the Large Hadron Collider
by Burak Hacisahinoglu, Suat Ozkorucuklu, Maksym Ovchynnikov, Michael G. Albrow, Aldo Penzo and Orhan Aydilek
Physics 2025, 7(3), 33; https://doi.org/10.3390/physics7030033 - 1 Aug 2025
Viewed by 1408
Abstract
The Standard Model (SM) fails to explain many problems (neutrino masses, dark matter, and matter–antimatter asymmetry, among others) that may be resolved with new particles beyond the SM. No observation of such new particles may be explained either by their exceptionally high mass [...] Read more.
The Standard Model (SM) fails to explain many problems (neutrino masses, dark matter, and matter–antimatter asymmetry, among others) that may be resolved with new particles beyond the SM. No observation of such new particles may be explained either by their exceptionally high mass or by considerably small coupling to SM particles. The latter case implies relatively long lifetimes. Such long-lived particles (LLPs) then to have signatures different from those of SM particles. Searches in the “central region” are covered by the LHC general purpose experiments. The forward small angle region far from the interaction point (IP) is unexplored. Such particles are expected to have the energy as large as E = O(1 TeV) and Lorentz time dilation factor γ=E/m102103 (with m the particle mass) hence long enough decay distances. A new class of specialized LHC detectors dedicated to LLP searches has been proposed for the forward regions. Among these experiments, FASER is already operational, and FACET is under consideration at a location 100 m from the LHC IP5 (the CMS detector intersection). However, some features of FACET require a specially enlarged beam pipe, which cannot be implemented for LHC Run 4. In this study, we explore a simplified version of the proposed detector PREFACE compatible with the standard LHC beam pipe in the HL-LHC Run 4. Realistic Geant4 simulations are performed and the background is evaluated. An initial analysis of the physics potential with the PREFACE geometry indicates that several significant channels could be accessible with sensitivities comparable to FACET and other LLP searches. Full article
(This article belongs to the Section High Energy Physics)
Show Figures

Figure 1

Back to TopTop