Sign in to use this feature.

Years

Between: -

Subjects

remove_circle_outline
remove_circle_outline
remove_circle_outline
remove_circle_outline
remove_circle_outline
remove_circle_outline

Journals

Article Types

Countries / Regions

Search Results (45)

Search Parameters:
Keywords = average symbol error rate

Order results
Result details
Results per page
Select all
Export citation of selected articles as:
12 pages, 11453 KB  
Article
Probabilistic Shaping Based on Single-Layer LUT Combined with RBFNN Nonlinear Equalization in a Photonic Terahertz OFDM System
by Yuting Huang, Kaile Li, Feixiang Zhang and Jianguo Yu
Electronics 2025, 14(13), 2677; https://doi.org/10.3390/electronics14132677 - 2 Jul 2025
Viewed by 444
Abstract
We propose a probabilistic shaping (PS) scheme based on a single-layer lookup table (LUT) that employs only one LUT for symbol mapping while achieving favorable system performance. This scheme reduces the average power of the signal by adjusting the symbol distribution using a [...] Read more.
We propose a probabilistic shaping (PS) scheme based on a single-layer lookup table (LUT) that employs only one LUT for symbol mapping while achieving favorable system performance. This scheme reduces the average power of the signal by adjusting the symbol distribution using a specialized LUT architecture and a flexible shaping proportion. The simulation results indicate that the proposed PS scheme delivers performance comparable to that of the conventional constant-composition distribution-matching-based probabilistic shaping (CCDM-PS) algorithm. Specifically, it reduces the bit error rate (BER) from 1.2376 ×104 to 6.3256 ×105, corresponding to a 48.89% improvement. The radial basis function neural network (RBFNN) effectively compensates for nonlinear distortions and further enhances transmission performance due to its simple architecture and strong capacity for nonlinear learning. In this work, we combine lookup-table-based probabilistic shaping (LUT-PS) with RBFNN-based nonlinear equalization for the first time, completing the transmission of 16-QAM OFDM signals over a photonic terahertz-over-fiber system operating at 400 GHz. Simulation results show that the proposed approach reduces the BER by 81.45% and achieves a maximum Q-factor improvement of up to 23 dB. Full article
Show Figures

Figure 1

30 pages, 424 KB  
Article
Asymptotically Optimal Status Update Compression in Multi-Source System: Age–Distortion Tradeoff
by Jun Li and Wenyi Zhang
Entropy 2025, 27(7), 664; https://doi.org/10.3390/e27070664 - 20 Jun 2025
Viewed by 402
Abstract
We consider a compression problem in a multi-source status-updating system through a representative two-source scenario. The status updates are generated by two independent sources following heterogeneous Poisson processes. These updates are then compressed into binary strings and sent to the receiver via a [...] Read more.
We consider a compression problem in a multi-source status-updating system through a representative two-source scenario. The status updates are generated by two independent sources following heterogeneous Poisson processes. These updates are then compressed into binary strings and sent to the receiver via a shared, error-free channel with a unit rate. We propose two compression schemes—a multi-quantizer compression scheme, where a dedicated quantizer–encoder pair is assigned to each source for compression, and a single-quantizer compression scheme, employing a unified quantizer–encoder pair shared across both sources. For each scheme, we formulate an optimization problem to jointly design quantizer–encoder pairs, with the objective of minimizing the sum of the average ages subject to a distortion constraint of symbols, respectively. The following three theoretical results are established: (1) The combination of two uniform quantizers with different parameters, along with their corresponding AoI-optimal encoders, provides an asymptotically optimal solution for the multi-quantizer compression scheme. (2) The combination of a piecewise uniform w-quantizer with an AoI-optimal encoder provides an asymptotically optimal solution for the single-quantizer compression scheme. (3) For both schemes, the optimal sum of the average ages is asymptotically linear with respect to the log distortion, with the same slope determined by the sources’ arrival rates. Full article
(This article belongs to the Section Information Theory, Probability and Statistics)
Show Figures

Figure 1

13 pages, 582 KB  
Article
A Partitioned IRS-Aided Transmit SM Scheme for Wireless Communication
by Liping Xiong, Yuyang Peng, Ming Yue, Haihong Wei, Runlong Ye, Fawaz AL-Hazemi and Mohammad Meraj Mirza
Mathematics 2025, 13(9), 1503; https://doi.org/10.3390/math13091503 - 2 May 2025
Viewed by 444
Abstract
In this paper, we present a practical partitioned intelligent-reflecting-surface-aided transmit spatial modulation (PIRS-TSM) scheme, where spatial modulation is implemented at the transmitter and partitioning is conducted on the IRS to enhance the spectral efficiency (SE) and reliability for multiple-input single-output (MISO) systems. The [...] Read more.
In this paper, we present a practical partitioned intelligent-reflecting-surface-aided transmit spatial modulation (PIRS-TSM) scheme, where spatial modulation is implemented at the transmitter and partitioning is conducted on the IRS to enhance the spectral efficiency (SE) and reliability for multiple-input single-output (MISO) systems. The theoretical analysis of average bit error rate (ABER) based on maximum likelihood (ML) detection and the computational complexity analysis are provided. Experimental simulations demonstrate that the PIRS-TSM scheme obtains a significant ABER enhancement under the same SE compared to the existing partitioned IRS-aided transmit space shift keying or generalized space shift keying schemes by additionally carrying modulated symbols. Moreover, the system performances with different configurations of antenna numbers and symbol modulation orders under the same SE are investigated as a practical application reference. Full article
Show Figures

Figure 1

25 pages, 1006 KB  
Article
Statistics of the Sum of Double Random Variables and Their Applications in Performance Analysis and Optimization of Simultaneously Transmitting and Reflecting Reconfigurable Intelligent Surface-Assisted Non-Orthogonal Multi-Access Systems
by Bui Vu Minh, Phuong T. Tran, Thu-Ha Thi Pham, Anh-Tu Le, Si-Phu Le and Pavol Partila
Sensors 2024, 24(18), 6148; https://doi.org/10.3390/s24186148 - 23 Sep 2024
Cited by 1 | Viewed by 1493
Abstract
For the future of sixth-generation (6G) wireless communication, simultaneously transmitting and reflecting reconfigurable intelligent surface (STAR-RIS) technology is emerging as a promising solution to achieve lower power transmission and flawless coverage. To facilitate the performance analysis of RIS-assisted networks, the statistics of the [...] Read more.
For the future of sixth-generation (6G) wireless communication, simultaneously transmitting and reflecting reconfigurable intelligent surface (STAR-RIS) technology is emerging as a promising solution to achieve lower power transmission and flawless coverage. To facilitate the performance analysis of RIS-assisted networks, the statistics of the sum of double random variables, i.e., the sum of the products of two random variables of the same distribution type, become vitally necessary. This paper applies the statistics of the sum of double random variables in the performance analysis of an integrated power beacon (PB) energy-harvesting (EH)-based NOMA-assisted STAR-RIS network to improve its outage probability (OP), ergodic rate, and average symbol error rate. Furthermore, the impact of imperfect successive interference cancellation (ipSIC) on system performance is also analyzed. The analysis provides the closed-form expressions of the OP and ergodic rate derived for both imperfect and perfect SIC (pSIC) cases. All analyses are supported by extensive simulation results, which help recommend optimized system parameters, including the time-switching factor, the number of reflecting elements, and the power allocation coefficients, to minimize the OP. Finally, the results demonstrate the superiority of the proposed framework compared to conventional NOMA and OMA systems. Full article
(This article belongs to the Special Issue 5G/6G Networks for Wireless Communication and IoT)
Show Figures

Figure 1

17 pages, 1119 KB  
Study Protocol
Network Topology Reconfiguration-Based Blind Equalization over Sensor Network
by Chi Sulin and Shimamura Tetsuya
Sensors 2024, 24(14), 4524; https://doi.org/10.3390/s24144524 - 12 Jul 2024
Viewed by 1314
Abstract
Distributed in-network processing has garnered much attention due to its capability to estimate the unknown parameter of interest from noisy measurements based on a set of cooperating sensor nodes. In previous studies, distributed in-network processing mainly focused on short-distance communication systems, wherein sensor [...] Read more.
Distributed in-network processing has garnered much attention due to its capability to estimate the unknown parameter of interest from noisy measurements based on a set of cooperating sensor nodes. In previous studies, distributed in-network processing mainly focused on short-distance communication systems, wherein sensor nodes collect certain parameters of interest within their maximum communication distance. In addition, the estimation of certain parameter vectors of interest from noisy measurements, relying heavily on training signals, is achieved with a non-blind distributed estimation algorithm. However, in some applications, acquiring knowledge of training signals beforehand is difficult. Therefore, it is necessary to perform distributed estimation algorithms for receivers without training signals, a concept known as blind distributed estimation. In this paper, the generalized Sato algorithm is used to design the blind equalizer for the signal estimation. In addition, we consider extending the short-distance communication system to a long-distance communication system for an unmanned aerial vehicle (UAV) cooperating with sensor nodes in the wireless sensor network (WSN). In this scenario, the data signal is transmitted from a UAV to the WSN and is received by sensor nodes. However, the performance of the blind equalizer is susceptible to the transmission channel in long-distance communication systems. Here, we present a network topology reconfiguration approach to address the issue of distributed blind equalization. The objective of the proposed method is to discard the influence of ill-channels on the other sensor nodes by detecting ill-channels and redesigning the sensor node weights. Through computer simulation experiments, we evaluated the performance of the blind equalizer using the average mean square error (MSE) and average symbol error rate (SER). In the results of the computer simulation experiments, the blind equalizer using the proposed method outperformed the conventional methods in terms of prediction accuracy and convergence speed. Full article
(This article belongs to the Special Issue Performance Analysis of Wireless Communication Systems)
Show Figures

Figure 1

20 pages, 4552 KB  
Article
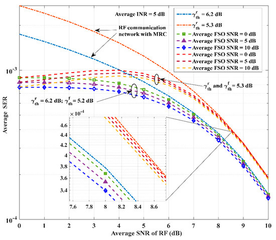
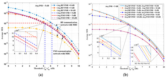
Performance Analysis of UAV RF/FSO Co-Operative Communication Network with Co-Channel Interference
by Xinkang Song, Shanghong Zhao, Xiang Wang, Xin Li and Qin Tian
Drones 2024, 8(3), 70; https://doi.org/10.3390/drones8030070 - 20 Feb 2024
Cited by 6 | Viewed by 2638
Abstract
The unmanned aerial vehicle (UAV) communication network has emerged as a promising paradigm capable of independent operation and as a relay to enhance communication coverage and efficiency. However, densely distributed terrestrial base stations with shared communication frequencies inevitably generate co-channel interference (CCI). The [...] Read more.
The unmanned aerial vehicle (UAV) communication network has emerged as a promising paradigm capable of independent operation and as a relay to enhance communication coverage and efficiency. However, densely distributed terrestrial base stations with shared communication frequencies inevitably generate co-channel interference (CCI). The interference effect can be effectively eliminated by implementing free-space optical (FSO) communication in the UAV communication network. This paper proposes a solution for the UAV communication network to address interference effectively, specifically by employing a hybrid millimeter-wave radio frequency (RF)/FSO communication system. The RF links serve as the primary means of communication, while the FSO links act as a backup means of communication in the case of CCI. The exact outage probability (OP) and average symbol error rate (SER) expressions are derived for the hybrid RF/FSO communication network. The decision to switch between them depends on the signal-to-interference-plus-noise ratio (SINR). Furthermore, the SINR switching threshold value, which satisfies the target SER, has been calculated numerically for the proposed model. Simulation results indicate that the proposed network notably enhances the OP and attains a signal-to-noise ratio gain of approximately 4.6 dB in the average SER, particularly in scenarios where the RF links are subjected to severe interference or adverse weather conditions, as opposed to a pure RF communication network. Full article
Show Figures

Figure 1

14 pages, 2995 KB  
Article
OTFS-IM Modulation Based on Four-Dimensional Spherical Code in Air-to-Ground Communication
by Peng Gu, Lin Guo, Shen Jin, Guangzu Liu and Jun Zou
Drones 2023, 7(10), 631; https://doi.org/10.3390/drones7100631 - 10 Oct 2023
Cited by 1 | Viewed by 2502
Abstract
Unmanned aerial vehicles (UAVs) have been widely utilized for their various advantages. However, UAVs exhibit high mobility and energy storage restrictions in some applications, which can compromise the quality and reliability of communication links. This is a challenge that future aircraft and low-orbit [...] Read more.
Unmanned aerial vehicles (UAVs) have been widely utilized for their various advantages. However, UAVs exhibit high mobility and energy storage restrictions in some applications, which can compromise the quality and reliability of communication links. This is a challenge that future aircraft and low-orbit aircraft will inevitably encounter. To effectively address the issue of dynamic Doppler spread in air-to-ground communication, this paper creatively introduces four-dimensional spherical code modulation into the orthogonal time–frequency space with an index modulation (OTFS-IM) system. The fundamental concept of the four-dimensional spherical code is elaborated in detail. Multiple resource symbols can be jointly used to increase the modulation dimension, thereby achieving a larger minimum Euclidean distance between constellation points. Furthermore, detailed analysis is conducted on the bit error rate (BER) and the peak-to-average-power ratio (PAPR) expressions of the proposed system to evaluate its performance and provide theoretical guidance. The proposed scheme not only adapts well to high-speed scenarios but also achieves better power consumption efficiency. The simulation results demonstrate that our proposed scheme outperforms conventional methods. Its robustness and generalization ability are also validated. Full article
(This article belongs to the Section Drone Communications)
Show Figures

Figure 1

20 pages, 6996 KB  
Article
Establishment of an Electro-Optical Mixing Design on a Photonic SOA-MZI Using a Differential Modulation Arrangement
by Hassan Termos, Ali Mansour and Majid Ebrahim-Zadeh
Sensors 2023, 23(9), 4380; https://doi.org/10.3390/s23094380 - 28 Apr 2023
Cited by 8 | Viewed by 2569
Abstract
We design and evaluate two experimental systems for a single and simultaneous electro-optical semiconductor optical amplifier Mach-Zehnder interferometer (SOA-MZI) mixing system based on the differential modulation mode. These systems and the optimization of their optical and electrical performance largely depend on characteristics of [...] Read more.
We design and evaluate two experimental systems for a single and simultaneous electro-optical semiconductor optical amplifier Mach-Zehnder interferometer (SOA-MZI) mixing system based on the differential modulation mode. These systems and the optimization of their optical and electrical performance largely depend on characteristics of an optical pulse source (OPS), operating at a frequency of f= 39 GHz and a pulse width of 1 ps. The passive power stability of the electro-optical mixing output over one hour is better than 0.3% RMS (root mean square), which is excellent. Additionally, we generate up to 22 dBm of the total average output power with an optical conversion gain of 32 dB, while achieving a record output optical signal to noise ratio (OSNR) up to 77 dB. On the other hand, at the SOA–MZI output, the 128 quadratic amplitude modulation (128-QAM) signal at an intermediate frequency (IF), f1, is up-mixed to higher output frequencies nf ± f1. The advantages of the resulting 128-QAM mixed signal during electrical conversion gains (ECGs) and error vector magnitudes (EVMs) are also evaluated. The performed empirical SOA-MZI mixing can operate up to 118.5 GHz in its high-frequency range. The positive and almost constant conversion gains are achieved. Indeed, the obtained conversion gain values are very close across the entire range of output frequencies. The largest frequency range achieved during experimental work is 118.5 GHz, where the EVM achieves 6% at a symbol rate of 10 GSymb/s. Moreover, the peak data rate of the 128-QAM up mixed signal can reach 70 GBit/s. Finally, the study of the simultaneous electro-optical mixing system is accepted with unmatched performance improvement. Full article
(This article belongs to the Special Issue Smart Systems for Wireless Communications and Networks)
Show Figures

Figure 1

19 pages, 4850 KB  
Article
An IoT-Based GeoData Production System Deployed in a Hospital
by Nel Samama and Alexandre Patarot
Sensors 2023, 23(4), 2086; https://doi.org/10.3390/s23042086 - 13 Feb 2023
Cited by 1 | Viewed by 1686
Abstract
Navigation in large hospitals remains a challenge, especially for patients, visitors and, in some cases, for staff, but in particular it is notable in the case of tracking ambulatory equipment. Current techniques generally seek to reproduce what outdoor navigation systems provide, i.e., “good” [...] Read more.
Navigation in large hospitals remains a challenge, especially for patients, visitors and, in some cases, for staff, but in particular it is notable in the case of tracking ambulatory equipment. Current techniques generally seek to reproduce what outdoor navigation systems provide, i.e., “good” accuracy. In many cases, especially in hospitals, reliability is much more important than accuracy. We show that it is possible to realize a simple, reliable system with a low accuracy, but which perfectly fulfills the task assigned in the particular case of tracking stretchers. Optimizing the use of hospital equipment requires the knowledge of its movement. The possibility to access equipment location in real time as well as on the knowledge of the time necessary to move it between two locations allows to predict or to estimate the load and possibly to scale the necessary number of stretchers, and thus the availability of the stretcher bearers. In this paper, an approach of the real-time location of these devices is proposed, and it is called “symbolic”. The principle is described, as well as the practical implementation and the data that can be retrieved. In the second part, an analysis of the results obtained is provided in two directions: the location of stretchers and the determination of travel times. The methodology followed is described, and it is shown that a correct positioning rate of 90% is reached, which is slightly lower than expected, explained by the chosen practical implementation. Moreover, the average error on the determination of travel times is approximately ten seconds on 2 to 7 min trips. The “reliability” (the terminology of which is discussed at the end of the paper) of the results is related to the simplicity of the approach. Full article
(This article belongs to the Special Issue Localization and Tracking for Internet of Things)
Show Figures

Figure 1

27 pages, 1139 KB  
Article
Hardware-Based Architecture for DNN Wireless Communication Models
by Van Duy Tran, Duc Khai Lam and Thi Hong Tran
Sensors 2023, 23(3), 1302; https://doi.org/10.3390/s23031302 - 23 Jan 2023
Cited by 4 | Viewed by 3627
Abstract
Multiple Input Multiple Output Orthogonal Frequency Division Multiplexing (MIMO OFDM) is a key technology for wireless communication systems. However, because of the problem of a high peak-to-average power ratio (PAPR), OFDM symbols can be distorted at the MIMO OFDM transmitter. It degrades the [...] Read more.
Multiple Input Multiple Output Orthogonal Frequency Division Multiplexing (MIMO OFDM) is a key technology for wireless communication systems. However, because of the problem of a high peak-to-average power ratio (PAPR), OFDM symbols can be distorted at the MIMO OFDM transmitter. It degrades the signal detection and channel estimation performance at the MIMO OFDM receiver. In this paper, three deep neural network (DNN) models are proposed to solve the problem of non-linear distortions introduced by the power amplifier (PA) of the transmitters and replace the conventional digital signal processing (DSP) modules at the receivers in 2 × 2 MIMO OFDM and 4 × 4 MIMO OFDM systems. Proposed model type I uses the DNN model to de-map the signals at the receiver. Proposed model type II uses the DNN model to learn and filter out the channel noises at the receiver. Proposed model type III uses the DNN model to de-map and detect the signals at the receiver. All three model types attempt to solve the non-linear problem. The robust bit error rate (BER) performances of the proposed receivers are achieved through the software and hardware implementation results. In addition, we have also implemented appropriate hardware architectures for the proposed DNN models using special techniques, such as quantization and pipeline to check the feasibility in practice, which recent studies have not done. Our hardware architectures are successfully designed and implemented on the Virtex 7 vc709 FPGA board. Full article
Show Figures

Figure 1

14 pages, 6218 KB  
Article
Synchronous Clock Recovery of Photon-Counting Underwater Optical Wireless Communication Based on Deep Learning
by Haodong Yang, Qiurong Yan, Ming Wang, Yuhao Wang, Peng Li and Wei Wang
Photonics 2022, 9(11), 884; https://doi.org/10.3390/photonics9110884 - 21 Nov 2022
Cited by 10 | Viewed by 2691
Abstract
In photon-counting underwater optical wireless communication (UOWC), the recovery of the time slot synchronous clock is extremely important, and it is the basis of symbol synchronization and frame synchronization. We have previously proposed a time slot synchronous clock extraction method based on single [...] Read more.
In photon-counting underwater optical wireless communication (UOWC), the recovery of the time slot synchronous clock is extremely important, and it is the basis of symbol synchronization and frame synchronization. We have previously proposed a time slot synchronous clock extraction method based on single photon pulse counting, but the accuracy needs to be further improved. Deep learning is very effective for feature extraction; synchronous information is already implicit in the discrete single photon pulse signal output by single photon avalanche diode (SPAD), which is used as a communication receiver. Aiming at this characteristic, a method of time slot synchronous clock recovery for photon-counting UOWC based on deep learning is proposed in this paper. Based on the establishment of the underwater channel model and SPAD receiver model, the Monte Carlo method is used to generate discrete single photon pulse sequences carrying synchronous information, which are used as training data. Two neural network models based on regression problem and classification problem are designed to predict the phase value of the time slot synchronous clock. Experimental results show that when the average number of photons per time slot is eight, photon-counting UOWC with a data rate of 1Mbps and a bit error rate (BER) of 5.35 × 10−4 can be achieved. Full article
(This article belongs to the Special Issue Advances in Visible Light Communication)
Show Figures

Figure 1

15 pages, 627 KB  
Article
Two Interval Upper-Bound Q-Function Approximations with Applications
by Zoran Perić, Aleksandar Marković, Nataša Kontrec, Jelena Nikolić, Marko D. Petković and Aleksandra Jovanović
Mathematics 2022, 10(19), 3590; https://doi.org/10.3390/math10193590 - 1 Oct 2022
Cited by 7 | Viewed by 3416
Abstract
The Gaussian Q-function has considerable applications in numerous areas of science and engineering. However, the fact that a closed-form expression for this function does not exist encourages finding approximations or bounds of the Q-function. In this paper, we determine analytically two [...] Read more.
The Gaussian Q-function has considerable applications in numerous areas of science and engineering. However, the fact that a closed-form expression for this function does not exist encourages finding approximations or bounds of the Q-function. In this paper, we determine analytically two novel interval upper bound Q-function approximations and show that they could be used efficiently not only for the symbol error probability (SEP) estimation of transmission over Nakagami-m fading channels, but also for the average symbol error probability (ASEP) evaluation for two modulation formats. Specifically, we determine analytically the composition of the upper bound Q-function approximations specified at disjoint intervals of the input argument values so as to provide the highest accuracy within the intervals, by utilizing the selected one of two upper bound Q-function approximations. We show that a further increase of the accuracy, achieved in the case with two upper-bound approximations composing the interval approximation, can be obtained by forming a composite interval approximation of the Q-function that assumes another extra interval and by specifying the third form for the upper-bound Q-function approximation. The proposed analytical approach can be considered universal and widely applicable. The results presented in the paper indicate that the proposed Q-function approximations outperform in terms of accuracy other well-known approximations carefully chosen for comparison purposes. This approximation can be used in numerous theoretical communication problems based on the Q-function calculation. In this paper, we apply it to estimate the average bit error rate (ABER), when the transmission in a Nakagami-m fading channel is observed for the assumed binary phase-shift keying (BPSK) and differentially encoded quadrature phase-shift keying (DE-QPSK) modulation formats, as well as to design scalar quantization with equiprobable cells for variables from a Gaussian source. Full article
(This article belongs to the Section E1: Mathematics and Computer Science)
Show Figures

Figure 1

20 pages, 501 KB  
Article
On the Fast DHT Precoding of OFDM Signals over Frequency-Selective Fading Channels for Wireless Applications
by Kelvin Anoh, Cagri Tanriover, Moisés V. Ribeiro, Bamidele Adebisi and Chan Hwang See
Electronics 2022, 11(19), 3099; https://doi.org/10.3390/electronics11193099 - 28 Sep 2022
Cited by 6 | Viewed by 2462
Abstract
Due to high power consumption and other problems, it is unlikely that orthogonal frequency-division multiplexing (OFDM) would be included in the uplink of the future 6G standard. High power consumption in OFDM systems is motivated by the high peak-to-average power ratio (PAPR) introduced [...] Read more.
Due to high power consumption and other problems, it is unlikely that orthogonal frequency-division multiplexing (OFDM) would be included in the uplink of the future 6G standard. High power consumption in OFDM systems is motivated by the high peak-to-average power ratio (PAPR) introduced by the inverse Fourier transform (IFFT) processing kernel in the time domain. Linear precoding of the symbols in the frequency domain using discrete Hartley transform (DHT) could be used to minimise the PAPR problem, however, at the cost of increased complexity and power consumption. In this study, we minimise the computation complexity of the DHT precoding on OFDM transceiver schemes and the consequent power consumption. We exploit the involutory properties of the processing kernels to process the DHT and IFFT as a single-processing block, thus reducing the system complexity and power consumption. These also enable a novel power-saving receiver design. We compare the results to three other precoding schemes and the standard OFDM scheme as the baseline; while improving the power consumption efficiency of a Class-A power amplifier from 4.16% to 16.56%, the bit error ratio is also enhanced by up to 5 dB when using a 12rate error-correction coding and 7 dB with interleaving. Full article
Show Figures

Figure 1

17 pages, 1126 KB  
Article
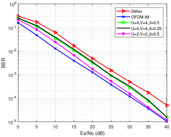
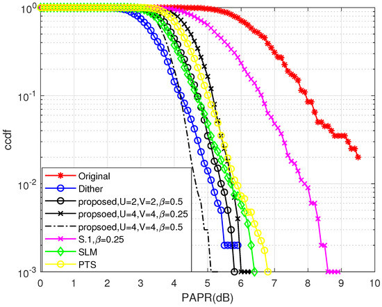
A Hybrid PAPR Reduction Scheme in OFDM-IM Using Phase Rotation Factors and Dither Signals on Partial Sub-Carriers
by Si-Yu Zhang and Hui Zheng
Entropy 2022, 24(10), 1335; https://doi.org/10.3390/e24101335 - 22 Sep 2022
Cited by 7 | Viewed by 2238
Abstract
As a multi-carrier modulation technique, a high peak-to-average power ratio (PAPR) is a common issue suffered by orthogonal frequency division multiplexing with index modulation (OFDM-IM) due to its system structure. High PAPR may cause signal distortion, which affects correct symbol transmission. This paper [...] Read more.
As a multi-carrier modulation technique, a high peak-to-average power ratio (PAPR) is a common issue suffered by orthogonal frequency division multiplexing with index modulation (OFDM-IM) due to its system structure. High PAPR may cause signal distortion, which affects correct symbol transmission. This paper tries to inject dither signals to the inactive (idle) sub-carriers, which is a unique transmission structure of OFDM-IM, to reduce PAPR. Unlike the previous works, which utilize all idle sub-carriers, the proposed PAPR reduction scheme utilizes selected partial sub-carriers. This method performs well in terms of bit error rate (BER) performance and energy efficiency, which are obvious drawbacks of the previous PAPR reduction works due to the introduction of dither signals. In addition, in this paper, phase rotation factors are combined with the dither signals to compensate for the PAPR reduction performance degradation due to the insufficient use of partial idle sub-carriers. Moreover, an energy detection scheme is designed and proposed in this paper in order to distinguish the index of phase rotation factor used for transmission. It is shown by extensive simulation results that the proposed hybrid PAPR reduction scheme is able to implement an impressive PAPR reduction performance among existing dither signa-based schemes as well as classical distortion-less PAPR reduction schemes. In addition, the proposed method obtains better error performance and energy efficiency than that of the previous works. At the error probability 104, the proposed method can achieve around 5 dB gain compared to the conventional dither signal-based schemes Full article
(This article belongs to the Section Signal and Data Analysis)
Show Figures

Figure 1

12 pages, 1568 KB  
Article
Communication Systems Performance at mm and THz as a Function of a Rain Rate Probability Density Function Model
by Judy Kupferman and Shlomi Arnon
Sensors 2022, 22(16), 6269; https://doi.org/10.3390/s22166269 - 20 Aug 2022
Cited by 5 | Viewed by 1842
Abstract
6G is already being planned and will employ much higher frequencies, leading to a revolutionary era in communication between people as well as things. It is well known that weather, especially rain, can cause increased attenuation of signal transmission for higher frequencies. The [...] Read more.
6G is already being planned and will employ much higher frequencies, leading to a revolutionary era in communication between people as well as things. It is well known that weather, especially rain, can cause increased attenuation of signal transmission for higher frequencies. The standard methods for evaluating the effect of rain on symbol error rate are based on long-term averaging. These methods are inaccurate, which results in an inefficient system design. This is critical regarding bandwidth scarcity and energy consumption and requires a more significant margin of effort to cope with the imprecision. Recently, we have developed a new and more precise method for calculating communication system performance in case of rain, using the probability density function of rain rate. For high rain rate (above 10 mm/h), for a typical set of parameters, our method shows the symbol error rate in this range to be higher by orders of magnitude than that found by ITU standard methods. Our model also indicates that sensing and measuring the rain rate probability is important in order to provide the required bit error rate to the users. This will enable the design of more efficient systems, enabling design of an adaptive system that will adjust itself to rain conditions in such a way that performance will be improved. To the best knowledge of the authors, this novel analysis is unique. It can constitute a more efficient performance metric for the new era of 6G communication and prevent disruption due to incorrect system design. Full article
(This article belongs to the Section Optical Sensors)
Show Figures

Figure 1

Back to TopTop