Sign in to use this feature.

Years

Between: -

Subjects

remove_circle_outline
remove_circle_outline
remove_circle_outline
remove_circle_outline
remove_circle_outline
remove_circle_outline
remove_circle_outline
remove_circle_outline
remove_circle_outline

Journals

remove_circle_outline
remove_circle_outline
remove_circle_outline
remove_circle_outline
remove_circle_outline
remove_circle_outline
remove_circle_outline
remove_circle_outline
remove_circle_outline
remove_circle_outline
remove_circle_outline
remove_circle_outline
remove_circle_outline

Article Types

Countries / Regions

remove_circle_outline
remove_circle_outline
remove_circle_outline
remove_circle_outline
remove_circle_outline

Search Results (1,897)

Search Parameters:
Keywords = amplitude modulator

Order results
Result details
Results per page
Select all
Export citation of selected articles as:
46 pages, 4468 KB  
Article
Strengthening Structural Dynamics for Upcoming Eurocode 8 Seismic Standards Using Physics-Informed Machine Learning
by Ahad Amini Pishro, Konstantinos Daniel Tsavdaridis, Yuetong Liu and Shiquan Zhang
Buildings 2025, 15(21), 3960; https://doi.org/10.3390/buildings15213960 (registering DOI) - 2 Nov 2025
Abstract
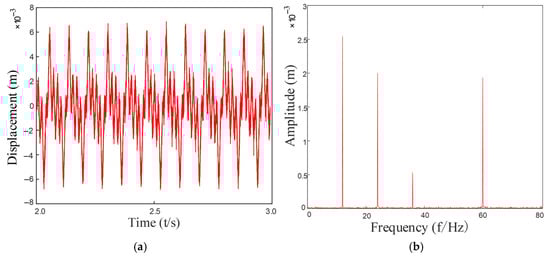
Structural dynamics analysis is essential for predicting the behavior of engineering systems under dynamic forces. This study presents a hybrid framework that combines analytical modeling, machine learning, and optimization techniques to enhance the accuracy and efficiency of dynamic response predictions for Single-Degree-of-Freedom (SDOF) [...] Read more.
Structural dynamics analysis is essential for predicting the behavior of engineering systems under dynamic forces. This study presents a hybrid framework that combines analytical modeling, machine learning, and optimization techniques to enhance the accuracy and efficiency of dynamic response predictions for Single-Degree-of-Freedom (SDOF) systems subjected to harmonic excitation. Utilizing a classical spring–mass–damper model, Fourier decomposition is applied to derive transient and steady-state responses, highlighting the effects of damping, resonance, and excitation frequency. To overcome the uncertainties and limitations of traditional models, Extended Kalman Filters (EKFs) and Physics-Informed Neural Networks (PINNs) are incorporated, enabling precise parameter estimation even with sparse and noisy measurements. We use Adam followed by L-BFGS to improve accuracy while limiting runtime. Numerical experiments using 1000 time samples with a 0.01 s sampling interval demonstrate that the proposed PINN model achieves a displacement MSE of 0.0328, while the Eurocode 8 response-spectrum estimation yields 0.047, illustrating improved predictive performance under noisy conditions and biased initial guesses. Although the present study focuses on a linear SDOF system under harmonic excitation, it establishes a conceptual foundation for adaptive dynamic modeling that can be extended to performance-based seismic design and to future calibration of Eurocode 8. The harmonic framework isolates the fundamental mechanisms of amplitude modulation and damping adaptation, providing a controlled environment for validating the proposed PINN–EKF approach before its application to transient seismic inputs. Controlled-variable analyses further demonstrate that key dynamic parameters can be estimated with relative errors below 1%—specifically 0.985% for damping, 0.391% for excitation amplitude, and 0.692% for excitation frequency—highlighting suitability for real-time diagnostics, vibration-sensitive infrastructure, and data-driven design optimization. This research deepens our understanding of vibratory behavior and supports future developments in smart monitoring, adaptive control, resilient design, and structural code modernization. Full article
(This article belongs to the Section Building Structures)
16 pages, 2200 KB  
Article
Coupling Dynamics and Regulation Mechanisms of Natural Wind, Traffic Wind, and Mechanical Wind in Extra-Long Tunnels
by Yongli Yin, Xiang Lei, Changbin Guo, Kai Kang, Hongbi Li, Jian Wang, Wei Xiang, Bo Guang and Jiaxing Lu
Processes 2025, 13(11), 3512; https://doi.org/10.3390/pr13113512 (registering DOI) - 1 Nov 2025
Abstract
This study systematically investigates the velocity characteristics and coupling mechanisms of tunnel flow fields under the interactions of natural wind, traffic wind, mechanical ventilation, and structural factors (such as transverse passages and relative positions between vehicles and fans). Using CFD simulations combined with [...] Read more.
This study systematically investigates the velocity characteristics and coupling mechanisms of tunnel flow fields under the interactions of natural wind, traffic wind, mechanical ventilation, and structural factors (such as transverse passages and relative positions between vehicles and fans). Using CFD simulations combined with turbulence model analyses, the flow behaviors under different coupling scenarios are explored. The results show that: (1) Under natural wind conditions, transverse passages act as key pressure boundaries, reshaping the longitudinal wind speed distribution into a segmented structure of “disturbance zones (near passages) and stable zones (mid-regions)”, with disturbances near passages showing “amplitude enhancement and range contraction” as natural wind speed increases. (2) The coupling of natural wind and traffic wind (induced by moving vehicles) generates complex turbulent structures; vehicle motion forms typical flow patterns including stagnation zones, high-speed bypass flows, and wake vortices, while natural wind modulates the wake structure through momentum exchange, affecting pollutant dispersion. (3) When natural wind, traffic wind, and mechanical ventilation are coupled, the flow field is dominated by momentum superposition and competition; adjusting fan output can regulate coupling ranges and turbulence intensity, balancing energy efficiency and safety. (4) The relative positions of vehicles and fans significantly affect flow stability: forward positioning leads to synergistic momentum superposition with high stability, while reverse positioning induces strong turbulence, compressing jet effectiveness and increasing energy dissipation. This study reveals the intrinsic laws of tunnel flow field evolution under multi-factor coupling, providing theoretical support for optimizing tunnel ventilation system design and dynamic operation strategies. Full article
(This article belongs to the Section Energy Systems)
Show Figures

Figure 1

14 pages, 3863 KB  
Article
PN Junction Optimization for High-Speed Silicon Photonic Modulators
by Mahmoud Hamouda, Carine Mankarious, Aser El-Dahshan, Alaa Fathy, Eslam El-Fiky and Diaa Khalil
Photonics 2025, 12(11), 1079; https://doi.org/10.3390/photonics12111079 (registering DOI) - 31 Oct 2025
Abstract
PN-junction-based modulators are widely used in silicon photonic transceivers for different applications. Different junction shapes have been proposed in the literature. This work studies the optimization of the PN junction by tailoring the doping profile to achieve a high-efficiency modulator with sufficient bandwidth. [...] Read more.
PN-junction-based modulators are widely used in silicon photonic transceivers for different applications. Different junction shapes have been proposed in the literature. This work studies the optimization of the PN junction by tailoring the doping profile to achieve a high-efficiency modulator with sufficient bandwidth. For this purpose, a new N-shaped junction is proposed, which achieves superior performance compared to other junction shapes. The proposed junction has an efficiency that is 60% better than that of the lateral PN junction for the same doping condition, while maintaining a high bandwidth similar to other junctions such as the L-shaped and S-shaped designs. A junction design with an estimated RC bandwidth between 70 GHz and 94 GHz is also proposed. The impact of using the proposed junction in micro-ring modulators (MRMs) is also studied. N-shaped junctions in MRM demonstrated a 112% increase in electro-optic bandwidth over the vertical PN junction, with 60% and 140% improvements in extinction ratio (ER) and optical modulation amplitude (OMA), respectively, compared to the lateral PN junction. Full article
(This article belongs to the Special Issue Recent Advancement in Microwave Photonics)
12 pages, 635 KB  
Article
Differential Photosynthetic Response of Tomato Plants—Ailsa Craig and Carotenoid Mutant tangerine—To Low Light Intensity and Low Temperature Treatment
by Antoaneta V. Popova, Martin Stefanov, Tsonko Tsonev, Violeta Velikova and Maya Velitchkova
Crops 2025, 5(6), 77; https://doi.org/10.3390/crops5060077 (registering DOI) - 31 Oct 2025
Abstract
The response of tomato plants, Ailsa Craig and the carotenoid mutant tangerine, to five days of treatment by low light intensity at normal and low temperature with respect to the photosynthetic performance as well as their capacity to recover after three days [...] Read more.
The response of tomato plants, Ailsa Craig and the carotenoid mutant tangerine, to five days of treatment by low light intensity at normal and low temperature with respect to the photosynthetic performance as well as their capacity to recover after three days under normal conditions was evaluated. Tangerine plants are characterized by defective prolycopene isomerase (CRTISO) and accumulate tetra-cis lycopene instead of all-trans lycopene. The gas exchange parameters were evaluated on intact plants and the pigment content in leaves was estimated. The photosynthetic competence of photosystem II (PSII) and photosystem I (PSI) and the effectiveness of the energy dissipation were assessed by pulse-amplitude-modulated (PAM) fluorometry. The abundance of reaction center proteins of PSII and PSI was estimated by immunoblotting. The application of low light alone or low light and low temperature reduced the chlorophyll content in both types of plants, which was more strongly expressed in Ailsa Craig. The net photosynthetic rate and photochemical activities of PSII and PSI were negatively affected by low light and much more strongly decreased when low light was applied at low temperature. The low-light-induced increase in excitation pressure on PSII and the effectiveness of non-photochemical quenching were not temperature-dependent. The negative effect of the combined treatment in tangerine was more strongly expressed in comparison with Ailsa Craig with respect to the abundance of reaction center proteins of both photosystems. Most probably, the differential photosynthetic response of the carotenoid mutant tangerine and Ailsa Craig to the combined treatment by low light and low temperature is related to the accumulation of tetra-cis-lycopene instead of all-trans-lycopene. Full article
Show Figures

Figure 1

22 pages, 2777 KB  
Article
Efficient Dual-Domain Collaborative Enhancement Method for Low-Light Images in Architectural Scenes
by Jing Pu, Wei Shi, Dong Luo, Guofei Zhang, Zhixun Xie, Wanying Liu and Bincan Liu
Infrastructures 2025, 10(11), 289; https://doi.org/10.3390/infrastructures10110289 (registering DOI) - 31 Oct 2025
Abstract
Low-light image enhancement in architectural scenes presents a considerable challenge for computer vision applications in construction engineering. Images captured in architectural settings during nighttime or under inadequate illumination often suffer from noise interference, low-light blurring, and obscured structural features. Although low-light image enhancement [...] Read more.
Low-light image enhancement in architectural scenes presents a considerable challenge for computer vision applications in construction engineering. Images captured in architectural settings during nighttime or under inadequate illumination often suffer from noise interference, low-light blurring, and obscured structural features. Although low-light image enhancement and deblurring are intrinsically linked when emphasizing architectural defects, conventional image restoration methods generally treat these tasks as separate entities. This paper introduces an efficient and robust Frequency-Space Recovery Network (FSRNet), specifically designed for low-light image enhancement in architectural contexts, tailored to the unique characteristics of such scenes. The encoder utilizes a Feature Refinement Feedforward Network (FRFN) to achieve precise enhancement of defect features while dynamically mitigating background redundancy. Coupled with a Frequency Response Module, it modifies the amplitude spectrum to amplify high-frequency components of defects and ensure balanced global illumination. The decoder utilizes InceptionDWConv2d modules to capture multi-directional and multi-scale features of cracks. When combined with a gating mechanism, it dynamically suppresses noise, restores the spatial continuity of defects, and eliminates blurring. This method also reduces computational costs in terms of parameters and MAC operations. To assess the effectiveness of the proposed approach in architectural contexts, this paper conducts a comprehensive study using low-light defect images from indoor concrete walls as a representative case. Experimental results indicate that FSRNet not only achieves state-of-the-art PSNR performance of 27.58 dB but also enhances the mAP of the downstream YOLOv8 detection model by 7.1%, while utilizing only 3.75 M parameters and 8.8 GMACs. These findings fully validate the superiority and practicality of the proposed method for low-light image enhancement tasks in architectural settings. Full article
29 pages, 7616 KB  
Article
Dynamic Modeling and Analysis of Rotary Joints with Coupled Bearing Tilt-Misalignment Faults
by Jun Lu, Zixiang Zhu, Jie Ji, Yichao Yang, Xueyang Miao, Xiaoan Yan and Qinghua Liu
Entropy 2025, 27(11), 1123; https://doi.org/10.3390/e27111123 (registering DOI) - 31 Oct 2025
Abstract
This study systematically analyzes the dynamic behavior of bearing tilt-misalignment coupling faults in rotary joints and establishes a high-fidelity nonlinear dynamic model for a dual-support bearing–rotor system. By integrating Hertzian contact theory, the nonlinear contact forces induced by the tilt of the inner/outer [...] Read more.
This study systematically analyzes the dynamic behavior of bearing tilt-misalignment coupling faults in rotary joints and establishes a high-fidelity nonlinear dynamic model for a dual-support bearing–rotor system. By integrating Hertzian contact theory, the nonlinear contact forces induced by the tilt of the inner/outer rings and axial misalignment are considered, and expressions for bearing forces incorporating time-varying stiffness and radial clearance are derived. The system’s vibration response is solved using the Newmark-β numerical integration method. This study reveals the influence of tilt angle and misalignment magnitude on contact forces, vibration patterns, and fault characteristic frequencies, demonstrating that the system exhibits multi-frequency harmonic characteristics under misalignment conditions, with vibration amplitudes increasing nonlinearly with the degree of misalignment. Furthermore, dynamic models for single-point faults (inner/outer ring) and composite faults are constructed, and Gaussian filtering technology is employed to simulate defect surface roughness, analyzing the modulation effects of faults on spectral characteristics. Experimental validation confirms that the theoretical model effectively captures actual vibration features, providing a theoretical foundation for health monitoring and intelligent diagnosis of rotary joints. Full article
(This article belongs to the Special Issue Entropy-Based Fault Diagnosis: From Theory to Applications)
Show Figures

Figure 1

21 pages, 2770 KB  
Article
Sensory Modality-Dependent Interplay Between Updating and Inhibition Under Increased Working Memory Load: An ERP Study
by Yuxi Luo, Ao Guo, Jinglong Wu and Jiajia Yang
Brain Sci. 2025, 15(11), 1178; https://doi.org/10.3390/brainsci15111178 - 30 Oct 2025
Viewed by 78
Abstract
Background/Objectives: Working memory (WM) performance relies on the coordination of updating and inhibition functions within the central executive system. However, their interaction under varying cognitive loads, particularly across sensory modalities, remains unclear. Methods: This study examined how sensory modality modulates flanker interference under [...] Read more.
Background/Objectives: Working memory (WM) performance relies on the coordination of updating and inhibition functions within the central executive system. However, their interaction under varying cognitive loads, particularly across sensory modalities, remains unclear. Methods: This study examined how sensory modality modulates flanker interference under increasing WM loads. Twenty-two participants performed a visual n-back task at three load levels (1-, 2-, and 3-back) while ignoring visual (within-modality) or auditory (cross-modality) flankers. Results: Behaviorally, increased WM load (2- and 3-back) led to reduced accuracy (AC) and prolonged reaction times (RTs) in both conditions. In addition, flanker interference was observed under the 2-back condition in both the visual within-modality (VM) and audiovisual cross-modality (AVM) tasks. However, performance impairment emerged at a lower load (2-back) in the VM condition, whereas in the AVM condition, it only emerged at the highest load (3-back). Significant performance impairment in the AVM condition occurred at higher WM loads, suggesting that greater WM load is required to trigger interference. Event-related potential (ERP) results showed that N200 amplitudes increased significantly for incongruent flankers under the highest WM load (3-back) in the visual within-modality condition, reflecting greater inhibitory demands. In the cross-modality condition, enhanced N200 was not observed across all loads and even reversed at low load (1-back). Moreover, the results also showed that P300 amplitude increased with load in the within-modality condition but decreased in the cross-modality condition. Conclusions: These results demonstrated that the interaction between updating and inhibition is shaped by both WM load and sensory modality, further supporting a sensory modality-specific resource allocation mechanism. The cross-modality configurations may enable more efficient distribution of cognitive resources under high load, reducing interference between concurrent executive demands. Full article
(This article belongs to the Section Cognitive, Social and Affective Neuroscience)
Show Figures

Figure 1

12 pages, 2794 KB  
Article
Transmission-Reflection-Integrated Bifunctional Metasurface by Hybridizing Geometric Phase and Propagation Phase
by Zhaotang Liu, Zhenxu Wang, Tiefu Li, Jinxin Gu, Yunzhou Shi, Jie Zhang, Huiting Sun and Jiafu Wang
Electronics 2025, 14(21), 4250; https://doi.org/10.3390/electronics14214250 - 30 Oct 2025
Viewed by 123
Abstract
Multifunctional metasurfaces, capable of flexible electromagnetic wave manipulation, have become a focus of research for their high integration and utility. In particular, those operating simultaneously in transmission and reflection modes have attracted growing interest, as they integrate multiple functions within a single aperture, [...] Read more.
Multifunctional metasurfaces, capable of flexible electromagnetic wave manipulation, have become a focus of research for their high integration and utility. In particular, those operating simultaneously in transmission and reflection modes have attracted growing interest, as they integrate multiple functions within a single aperture, save physical space, and further expand wave control capabilities across full space. In this work, an inspiring strategy of transmission-reflection-integrated bifunctional metasurface by hybridizing geometric phase and propagation phase is proposed. The transmission and reflection modes can be independently and flexibly controlled in full space: the co-polarized reflection under left-handed circular polarization (LCP) incidence is governed by rotation-induced geometric phase modulation, while the co-polarized transmission under right-handed circular polarization (RCP) incidence is modulated through scaling-induced propagation phase modulation. Moreover, arbitrary amplitude modulation of the co-polarized transmission under RCP incidence can be realized by incorporating lumped resistors. As a proof of concept, a bifunctional meta-device is constructed, which can generate vortex beam carrying arbitrary topological charge for LCP reflected wave and achieve high-quality holographic imaging for RCP transmitted wave. Both the simulated and experimental results validate the feasibility of the proposed strategy, which significantly enhances the integration density of multifunctional metasurfaces while reducing inter-functional crosstalk, expanding its potential applications in electronic engineering. Moreover, it can also serve as a fundamental machine learning platform, facilitating multimodal fusion and cross-modal learning in radar signals and visual imaging. Full article
Show Figures

Figure 1

12 pages, 4850 KB  
Article
Oscillating Poiseuille Flow-Induced Diffraction Grating in a Nematic Volume with Microrelief
by Semen S. Kharlamov, Sergey V. Pasechnik, Vladimir G. Chigrinov and Alex V. Zakharov
Crystals 2025, 15(11), 932; https://doi.org/10.3390/cryst15110932 - 30 Oct 2025
Viewed by 136
Abstract
This work is devoted to the study of the effect of the oscillating Poiseuille flow on the diffraction of light passing through a nematic layer bounded by a submicron relief at one of the inner surfaces of the plane capillary. In experimental nematic [...] Read more.
This work is devoted to the study of the effect of the oscillating Poiseuille flow on the diffraction of light passing through a nematic layer bounded by a submicron relief at one of the inner surfaces of the plane capillary. In experimental nematic liquid crystal (NLC) cells with a hybrid planar–homeotropic orientation, a photo-profiled PAZO polymer layer with a sinusoidal relief with a depth of 180 and 360 nm and a period of 2 μm was used as a diffraction grating. The experimentally obtained dependencies of the flow-induced changes in the intensity of polarized light at the main and the first diffraction maxima on the amplitude of the low-frequency oscillating pressure gradient applied to the NLC layer are presented. Processing of the obtained results indicates the possibility of modulating the intensity of diffracted polarized light transmitted through the NLC layer by up to 10% when applying an oscillating pressure difference of up to 700 Pa to the layer of corresponding experimental cells in the absence of an analyzer in the optical scheme. Possible mechanisms responsible for the modulation of optical radiation in the main and first diffraction maxima are discussed. The discussed principles of controlling diffracted electromagnetic radiation can be used to create optofluidic modulators operating in both the visible and THz ranges. Full article
(This article belongs to the Collection Liquid Crystals and Their Applications)
Show Figures

Figure 1

11 pages, 2245 KB  
Article
A Three-Terminal Si-Ge Avalanche Photodiode with a Breakdown Voltage of 6.8 V and a Gain Bandwidth Product of 1377 GHz
by Chao Cheng, Jintao Xue, Xishan Yu, Jifang Mu and Binhao Wang
Micromachines 2025, 16(11), 1222; https://doi.org/10.3390/mi16111222 - 27 Oct 2025
Viewed by 238
Abstract
Silicon–germanium (Si-Ge) avalanche photodiodes (APDs), fully compatible with complementary metal–oxide–semiconductor (CMOS) processes, are critical devices for high-speed optical communication. In this work, we propose a three-terminal Si-Ge APD on a silicon-on-insulator (SOI) substrate based on device simulation studies. The proposed APD employs a [...] Read more.
Silicon–germanium (Si-Ge) avalanche photodiodes (APDs), fully compatible with complementary metal–oxide–semiconductor (CMOS) processes, are critical devices for high-speed optical communication. In this work, we propose a three-terminal Si-Ge APD on a silicon-on-insulator (SOI) substrate based on device simulation studies. The proposed APD employs a separate absorption and multiplication structure, achieving an ultra-low breakdown voltage of 6.8 V. The device operates in the O-band, with optical signals laterally coupled into the Ge absorption layer via a silicon nitride (Si3N4) waveguide. At a bias of 2 V, the APD exhibits a responsivity of 0.85 A/W; under a bias of 6.6 V, it achieves a 3-dB optoelectronic (OE) bandwidth of 51 GHz, a direct current gain of 27, and a maximum gain–bandwidth product (GBP) of 1377 GHz. High-speed performance is further confirmed through eye-diagram simulations at 100 Gbps non-return-to-zero (NRZ) and 200 Gbps four-level pulse amplitude modulation (PAM4). These results clearly show the strong potential of the proposed APD for optical communication and interconnect applications under stringent power and supply voltage constraints. Full article
(This article belongs to the Special Issue Photonic and Optoelectronic Devices and Systems, Third Edition)
Show Figures

Figure 1

11 pages, 703 KB  
Article
Distinguishing Between Healthy and Unhealthy Newborns Based on Acoustic Features and Deep Learning Neural Networks Tuned by Bayesian Optimization and Random Search Algorithm
by Salim Lahmiri, Chakib Tadj and Christian Gargour
Entropy 2025, 27(11), 1109; https://doi.org/10.3390/e27111109 - 27 Oct 2025
Viewed by 190
Abstract
Voice analysis and classification for biomedical diagnosis purpose is receiving a growing attention to assist physicians in the decision-making process in clinical milieu. In this study, we develop and test deep feedforward neural networks (DFFNN) to distinguish between healthy and unhealthy newborns. The [...] Read more.
Voice analysis and classification for biomedical diagnosis purpose is receiving a growing attention to assist physicians in the decision-making process in clinical milieu. In this study, we develop and test deep feedforward neural networks (DFFNN) to distinguish between healthy and unhealthy newborns. The DFFNN are trained with acoustic features measured from newborn cries, including auditory-inspired amplitude modulation (AAM), Mel Frequency Cepstral Coefficients (MFCC), and prosody. The configuration of the DFFNN is optimized by using Bayesian optimization (BO) and random search (RS) algorithm. Under both optimization techniques, the experimental results show that the DFFNN yielded to the highest classification rate when trained with all acoustic features. Specifically, the DFFNN-BO and DFFNN-RS achieved 87.80% ± 0.23 and 86.12% ± 0.33 accuracy, respectively, under ten-fold cross-validation protocol. Both DFFNN-BO and DFFNN-RS outperformed existing approaches tested on the same database. Full article
(This article belongs to the Section Signal and Data Analysis)
Show Figures

Figure 1

20 pages, 8617 KB  
Article
A 1DCNN-GRU Hybrid System on FPGA for Plant Electrical Signal Feature Classification
by Zhaolin Zhou, Xiaohui Zhang, Chi Zhang and Huinan Shen
Appl. Sci. 2025, 15(21), 11446; https://doi.org/10.3390/app152111446 - 27 Oct 2025
Viewed by 265
Abstract
Plant electrical signals are closely related to light conditions, and changes in light intensity lead to variations in the amplitude, frequency, and other characteristics of plant electrical signals. Therefore, real-time analysis of the relationship between plant electrical signals and light factors is crucial [...] Read more.
Plant electrical signals are closely related to light conditions, and changes in light intensity lead to variations in the amplitude, frequency, and other characteristics of plant electrical signals. Therefore, real-time analysis of the relationship between plant electrical signals and light factors is crucial for monitoring plant growth status. In this study, Aloe Vera was chosen as the experimental subject, and electrical signal data were collected under different light intensities, followed by preprocessing including wavelet threshold denoising. Furthermore, a hybrid model architecture combining one-dimensional convolutional neural networks (1D-CNNs) and lightweight gated recurrent units (GRUs) was proposed to address the temporal signal characteristics of plant electrical signals and edge computing requirements. The 1D-CNN module extracts local spatial features, which are then modeled in time by the optimized GRU module with channel pruning. Model compression was achieved through parameter quantization. Finally, the computational and storage modules of the model were deployed on an FPGA development board using hardware description language for simulation verification. The results indicate that the system achieved a classification accuracy of 90.1%, a detection time of 43.2 ms, and a power consumption of 4.95 W, demonstrating the comprehensive advantages in terms of accuracy, response speed, and power consumption. This approach effectively improves data processing speed and reduces system power consumption while maintaining high classification accuracy, thereby providing technical support for the development of plant growth monitoring technologies. Full article
Show Figures

Figure 1

12 pages, 6190 KB  
Technical Note
Stretched Radial Trajectory Design for Efficient MRI with Enhanced K-Space Coverage and Image Resolution
by Li Song Gong, Zihan Zhou, Qing Li, Yurui Qian, Yang Yang, Kawin Setsompop, Zhitao Li, Xiaozhi Cao and Congyu Liao
Bioengineering 2025, 12(11), 1152; https://doi.org/10.3390/bioengineering12111152 - 24 Oct 2025
Viewed by 505
Abstract
We present a stretched radial trajectory design that enhances image resolution in MRI by expanding k-space coverage without increasing readout duration or scan time. The method dynamically modulates gradient amplitudes as a function of projection angle, achieving square k-space coverage in 2D and [...] Read more.
We present a stretched radial trajectory design that enhances image resolution in MRI by expanding k-space coverage without increasing readout duration or scan time. The method dynamically modulates gradient amplitudes as a function of projection angle, achieving square k-space coverage in 2D and cubic coverage in 3D imaging. Validation was conducted using phantom and in vivo experiments on GE and Siemens scanners at 0.55 T and 3 T. Point spread function analysis and reconstructed images demonstrated improved sharpness and clearer visualization of fine structures, including small phantom details and brain vasculature. The approach also increased T1 and T2 mapping accuracy in MRF acquisitions. The proposed strategy requires no additional scan time or gradient hardware capability, making it well-suited for MRI systems with moderate performance. It offers a simple and generalizable means to improve spatial resolution in both structural and quantitative imaging applications. Full article
Show Figures

Figure 1

16 pages, 7510 KB  
Article
Experimental Study on Hydrodynamic Characteristics of Streamlined-Layout Double-Row Floating Breakwaters with Wing Plates
by Yu Xu, Yucheng Sui, Jian Zhang, Hao Lin and Zhifeng Wang
J. Mar. Sci. Eng. 2025, 13(11), 2038; https://doi.org/10.3390/jmse13112038 - 24 Oct 2025
Viewed by 166
Abstract
Floating breakwater layouts require flexible adjustment to accommodate sheltered area bathymetry. However, most studies have focused solely on straight layouts and have neglected the influence of complex nearshore bathymetry and structures. This work investigates streamlined-layout double-row floating breakwaters with wing plates designed for [...] Read more.
Floating breakwater layouts require flexible adjustment to accommodate sheltered area bathymetry. However, most studies have focused solely on straight layouts and have neglected the influence of complex nearshore bathymetry and structures. This work investigates streamlined-layout double-row floating breakwaters with wing plates designed for a specific port. Wave attenuation performance, motion responses, mooring tensions, and surface wave pressures under realistic nearshore conditions are systematically evaluated through a water tank experiment. The results demonstrate that the wave attenuation performance improves as incident wave height and period decrease, with the attenuation rate increasing by 6.32~11.05%. However, both the motion responses and the uplift pressures on the head and tail modules change slightly. The maximum prototype-scale changes in the maximum amplitudes of surge, heave, and pitch are +0.0625 m, −0.488 m, and +3.8523°, respectively, and the uplift pressures on the head and tail modules exhibit maximum changes of +2.3 kPa and −5.6 kPa, respectively. Additionally, wave reflection induced by nearshore structures influences both harbor tranquility and breakwater motion response. Full article
(This article belongs to the Section Coastal Engineering)
Show Figures

Figure 1

23 pages, 5345 KB  
Article
Vibration Analysis of Aviation Electric Propulsion Test Stand with Active Main Rotor
by Rafał Kliza, Mirosław Wendeker, Paweł Drozd and Ksenia Siadkowska
Sensors 2025, 25(21), 6547; https://doi.org/10.3390/s25216547 - 24 Oct 2025
Viewed by 242
Abstract
This paper focuses on the vibration analysis of a prototype helicopter rotor test stand, with particular attention to the dynamic response of its electric propulsion system. The stand is driven by an induction motor and equipped with composite rotor blades of various geometries, [...] Read more.
This paper focuses on the vibration analysis of a prototype helicopter rotor test stand, with particular attention to the dynamic response of its electric propulsion system. The stand is driven by an induction motor and equipped with composite rotor blades of various geometries, including blades with shape memory alloy (SMA)-based torsion actuators for angle of attack (AoA) adjustment. These variable geometries significantly influence the system’s dynamic behavior, where resonance phenomena may pose risks to structural integrity. The objective was to investigate how selected operational parameters specifically motor speed and AoA affect the vibration response of the propulsion system. Structural vibrations were measured using a tri-axial piezoelectric accelerometer system integrated with calibrated signal conditioning and high-resolution data acquisition modules. This setup enabled precise, time-synchronized recording of dynamic responses along all three axes. Fast Fourier Transform (FFT) and Power Spectral Density (PSD) methods were applied to identify dominant frequency components, including those associated with rotor harmonics and SMA activation. The highest vibration amplitudes were observed at an AoA of 16°, but all results remained within the vibration limits defined by MIL-STD-810H for rotorcraft drive systems. The study confirms the importance of sensor-based diagnostics in evaluating electromechanical propulsion systems operating under dynamic loading conditions. Full article
(This article belongs to the Section Fault Diagnosis & Sensors)
Show Figures

Figure 1

Back to TopTop