Sign in to use this feature.

Years

Between: -

Subjects

remove_circle_outline
remove_circle_outline
remove_circle_outline
remove_circle_outline
remove_circle_outline
remove_circle_outline

Journals

Article Types

Countries / Regions

Search Results (11)

Search Parameters:
Keywords = all-dielectric nanostructures

Order results
Result details
Results per page
Select all
Export citation of selected articles as:
14 pages, 2211 KB  
Communication
Large-Area Nanostructure Fabrication with a 75 nm Half-Pitch Using Deep-UV Flat-Top Laser Interference Lithography
by Kexin Jiang, Mingliang Xie, Zhe Tang, Xiren Zhang and Dongxu Yang
Sensors 2025, 25(18), 5906; https://doi.org/10.3390/s25185906 - 21 Sep 2025
Viewed by 770
Abstract
Micro- and nanopatterning is crucial for advanced photonic, electronic, and sensing devices. Yet achieving large-area periodic nanostructures with a 75 nm half-pitch on low-cost laboratory systems remains difficult, because conventional near-ultraviolet laser interference lithography (LIL) suffers from Gaussian-beam non-uniformity and a narrow exposure [...] Read more.
Micro- and nanopatterning is crucial for advanced photonic, electronic, and sensing devices. Yet achieving large-area periodic nanostructures with a 75 nm half-pitch on low-cost laboratory systems remains difficult, because conventional near-ultraviolet laser interference lithography (LIL) suffers from Gaussian-beam non-uniformity and a narrow exposure latitude. Here, we report a cost-effective deep-ultraviolet (DUV) dual-beam LIL system based on a 266 nm laser and diffractive flat-top beam shaping, enabling large-area patterning of periodical nanostructures. At this wavelength, a moderate half-angle can be chosen to preserve a large beam-overlap region while still delivering 150 nm period (75 nm half-pitch) structures. By independently tuning the incident angle and beam uniformity, we pattern one-dimensional (1D) gratings and two-dimensional (2D) arrays over a Ø 1.0 cm field with critical-dimension variation < 5 nm (1σ), smooth edges, and near-vertical sidewalls. As a proof of concept, we transfer a 2D pattern into Si to create non-metal-coated nanodot arrays that serve as surface-enhanced Raman spectroscopy (SERS) substrates. The arrays deliver an average enhancement factor of ~1.12 × 104 with 11% intensity relative standard deviation (RSD) over 65 sampling points, a performance near the upper limit of all-dielectric SERS substrates. The proposed method overcomes the uneven hotspot distribution and complex fabrication procedures in conventional SERS substrates, enabling reliable and large-area chemical sensing. Compared to electron-beam lithography, the flat-top DUV-LIL approach offers orders-of-magnitude higher throughput at a fraction of the cost, while its centimeter-scale uniformity can be scaled to full wafers with larger beam-shaping optics. These attributes position the method as a versatile and economical route to large-area photonic metasurfaces and sensing devices. Full article
(This article belongs to the Section Nanosensors)
Show Figures

Figure 1

12 pages, 3665 KB  
Article
Ultra-Sensitive Refractive Index Sensing Based on Quasi-BICs in All-Dielectric Nanorod Array
by Yuefeng Zhao, Zhenghua Wu, Zhihao Feng and Tingyin Ning
Photonics 2024, 11(6), 503; https://doi.org/10.3390/photonics11060503 - 25 May 2024
Cited by 1 | Viewed by 1710
Abstract
We propose an all-dielectric nanorod array for ultra-sensitive refractive index sensing based on quasi-bound states in the continuum (BICs). The nanorod is fabricated by silicon or silicon with an air hole, i.e., the hollow silicon nanorod. The quasi-BICs are formed in the hollow [...] Read more.
We propose an all-dielectric nanorod array for ultra-sensitive refractive index sensing based on quasi-bound states in the continuum (BICs). The nanorod is fabricated by silicon or silicon with an air hole, i.e., the hollow silicon nanorod. The quasi-BICs are formed in the hollow silicon nanorod array due to the symmetry-breaking of air holes. The high-quality factor (Q-factor) and ultra-narrow reflectance spectral width at quasi-BICs contribute to high performances of the sensor. The numerical results show that the sensitivity and figure of merit (FOM) can reach up to 602.9 nm/RIU and 34,977, respectively. The results indicate that the proposed nanostructures of quasi-BICs are promising for advanced biosensing applications. Full article
(This article belongs to the Section Lasers, Light Sources and Sensors)
Show Figures

Figure 1

12 pages, 3860 KB  
Article
High-Sensitivity Sensing in All-Dielectric Metasurface Driven by Quasi-Bound States in the Continuum
by Zhao Jing, Wang Jiaxian, Gao Lizhen and Qiu Weibin
Nanomaterials 2023, 13(3), 505; https://doi.org/10.3390/nano13030505 - 27 Jan 2023
Cited by 40 | Viewed by 5191
Abstract
Quasi-bound states in the continuum (quasi-BIC) in all-dielectric metasurfaces provide a crucial platform for sensing due to its ability to enhance strong matter interactions between light-waves and analytes. In this study, a novel high-sensitivity all-dielectric sensor composed of a periodic array of silicon [...] Read more.
Quasi-bound states in the continuum (quasi-BIC) in all-dielectric metasurfaces provide a crucial platform for sensing due to its ability to enhance strong matter interactions between light-waves and analytes. In this study, a novel high-sensitivity all-dielectric sensor composed of a periodic array of silicon (Si) plates with square nanoholes in the continuous near-infrared band is theoretically proposed. By adjusting the position of the square nanohole, the symmetry-protected BIC and Friedrich–Wintgen BIC (FW–BIC) can be excited. The torodial dipole (TD) and electric quadruple (EQ) are demonstrated to play a dominating role in the resonant modes by near-field analysis and multipole decomposition. The results show that the sensitivity, the Q-factor, and the corresponding figure of merit (FOM) can simultaneously reach 399 nm/RIU (RIU is refractive index unit), 4959, and 1281, respectively. Compared with other complex nanostructures, the proposed metasurface is more feasible and practical, which may open up an avenue for the development of ultrasensitive sensors. Full article
(This article belongs to the Topic Advanced Nanomaterials for Sensing Applications)
Show Figures

Figure 1

17 pages, 16265 KB  
Review
Magneto-Optics Effects: New Trends and Future Prospects for Technological Developments
by Conrad Rizal, Hiromasa Shimizu and Jorge Ricardo Mejía-Salazar
Magnetochemistry 2022, 8(9), 94; https://doi.org/10.3390/magnetochemistry8090094 - 24 Aug 2022
Cited by 38 | Viewed by 9327
Abstract
Magneto-optics (MO) is an effervescent research field, with a wide range of potential industrial applications including sensing, theranostics, pharmaceutics, magnetometry, and spectroscopy, among others. This review discusses the historical development, from the discovery of MO effects up to the most recent application trends. [...] Read more.
Magneto-optics (MO) is an effervescent research field, with a wide range of potential industrial applications including sensing, theranostics, pharmaceutics, magnetometry, and spectroscopy, among others. This review discusses the historical development, from the discovery of MO effects up to the most recent application trends. In addition to the consolidated fields of magnetoplasmonic sensing and modulation of optical signals, we describe novel MO materials, phenomena, and applications. We also identified the emerging field of all-dielectric magnetophotonics, which hold promise to overcome dissipation from metallic inclusions in plasmonic nanostructures. Moreover, we identified some challenges, such as the need to merge magneto-chiroptical effects with microfluidics technology, for chiral sensing and enantioseparation of drugs in the pharmaceutical industry. Other potential industrial applications are discussed in light of recent research achievements in the available literature. Full article
(This article belongs to the Special Issue Advanced Plasmonics and Magneto-Optical Technologies)
Show Figures

Graphical abstract

11 pages, 3382 KB  
Article
Design and Modelling of Metal-Oxide Nanodisk Arrays for Structural Colors and UV-Blocking Functions in Solar Cell Glass Covers
by Albert Peralta Amores, Ajith Padyana Ravishankar and Srinivasan Anand
Photonics 2022, 9(5), 273; https://doi.org/10.3390/photonics9050273 - 19 Apr 2022
Cited by 5 | Viewed by 2682
Abstract
We present a multifunctional structural coloration strategy for solar cell glass covers based on all-dielectric nanoscatterer arrays. Titanium dioxide (TiO2) nanostructures are designed to efficiently scatter in the visible and absorb in the UV region, making them suitable candidates as UV [...] Read more.
We present a multifunctional structural coloration strategy for solar cell glass covers based on all-dielectric nanoscatterer arrays. Titanium dioxide (TiO2) nanostructures are designed to efficiently scatter in the visible and absorb in the UV region, making them suitable candidates as UV absorptive color coatings. Results from finite difference time domain (FDTD) simulations on a square lattice of TiO2 nanocylinders show that a rich palette in the reflected colors can be obtained by varying the period of the lattice. The reflected colors are narrow-banded, with a typical FWHM ~11–17 nm, leading to a minimal penalty on the amount of transmitted light. This narrow band reflectance is attributed to the interaction of Mie resonances between individual scatterers with their neighbors in the lattice. The color appearance, with viewing angles of ~45°, is maintained for incidence angles up to ~70°. With TiO2 being transparent for a major part of silicon solar cells spectral response (400–1100 nm), a loss of ~4.5–9.2% in the short-circuit current has been estimated in the specified wavelength range, primarily due to the loss of photons in the reflected light. Furthermore, due to the inherent UV-absorption properties of TiO2, the proposed color-cover designs reduce the transmittance of UV radiation (320–400 nm) by up to ~63.70%, potentially preventing the degradation of the encapsulation materials and thus increasing the lifetime expectancy of a solar panel. Full article
(This article belongs to the Special Issue Advances in Photovoltaic Technologies from Atomic to Device Scale)
Show Figures

Figure 1

10 pages, 33527 KB  
Article
Silicon-Based All-Dielectric Metasurface on an Iron Garnet Film for Efficient Magneto-Optical Light Modulation in Near IR Range
by Denis M. Krichevsky, Shuang Xia, Mikhail P. Mandrik, Daria O. Ignatyeva, Lei Bi and Vladimir I. Belotelov
Nanomaterials 2021, 11(11), 2926; https://doi.org/10.3390/nano11112926 - 1 Nov 2021
Cited by 12 | Viewed by 3353
Abstract
All-dielectric nanostructures provide a unique low-loss platform for efficiently increasing light-matter interaction via excitation of the localized or propagating optical modes. Here, we report on the transverse magneto-optical Kerr effect enhancement in an all-dielectric metasurface based on a two-dimensional array of Si nanodisks [...] Read more.
All-dielectric nanostructures provide a unique low-loss platform for efficiently increasing light-matter interaction via excitation of the localized or propagating optical modes. Here, we report on the transverse magneto-optical Kerr effect enhancement in an all-dielectric metasurface based on a two-dimensional array of Si nanodisks on a cerium substituted dysprosium iron garnet thin film. We observed up to 15% light intensity modulation under TM modes excitation. The observed magneto-optical effect is nearly independent of the rotation of the light incidence plane with respect to the metasurface. Being compatible with conventional semiconductor technology, our structure holds promise for device applications, such as light modulators, magnetic and chemical sensors. Full article
(This article belongs to the Special Issue Nanophotonic and Optical Nanomaterials)
Show Figures

Figure 1

12 pages, 2907 KB  
Article
Broadband and Ultra-Low Threshold Optical Bistability in Guided-Mode Resonance Grating Nanostructures of Quasi-Bound States in the Continuum
by Xin Li, Zhongshuai Zhang, Yanyan Huo, Lina Zhao, Qingyang Yue, Shouzhen Jiang, Huawei Liang, Yuanmei Gao and Tingyin Ning
Nanomaterials 2021, 11(11), 2843; https://doi.org/10.3390/nano11112843 - 26 Oct 2021
Cited by 10 | Viewed by 2762
Abstract
We model optical bistability in all-dielectric guide-mode resonance grating (GMR) nanostructures working at quasi-bound states in the continuum (BICs). The complementary metal-oxide-semiconductor (CMOS) compatible material silicon nitride (SiN) is used for the design of nanostructures and simulations. The ultra-low threshold of input intensity [...] Read more.
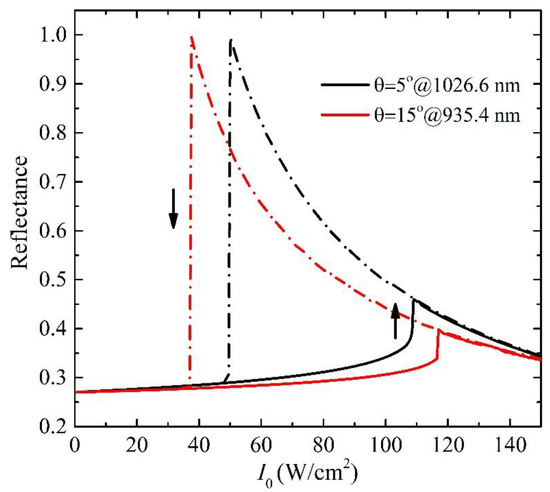
We model optical bistability in all-dielectric guide-mode resonance grating (GMR) nanostructures working at quasi-bound states in the continuum (BICs). The complementary metal-oxide-semiconductor (CMOS) compatible material silicon nitride (SiN) is used for the design of nanostructures and simulations. The ultra-low threshold of input intensity in the feasible nanostructure for nanofabrication is obtained at the level of ~100 W/cm2 driven by quasi-BICs. Additionally, the resonance wavelength in the GMR nanostructure can be widely tuned by incident angles with the slightly changed Q-factor that enables the optical bistable devices to work efficiently over a wide spectrum. The impact of the defects of grating that may be introduced in the fabrication process on the optical properties is discussed, and the tolerance of the defects to the optical performance of the device is confirmed. The results indicate that the GMR nanostructures of broadband and ultra-low threshold optical bistability driven by quasi-BICs are promising in the application of all-optical devices. Full article
(This article belongs to the Section Theory and Simulation of Nanostructures)
Show Figures

Figure 1

8 pages, 1842 KB  
Article
Broadband and Highly Directional Visible Light Scattering by Laser-Splashed Lossless TiO2 Nanoparticles
by Yinan Zhang, Shiren Chen and Jing Han
Molecules 2021, 26(20), 6106; https://doi.org/10.3390/molecules26206106 - 10 Oct 2021
Cited by 1 | Viewed by 2914
Abstract
All-dielectric nanoparticles, as the counterpart of metallic nanostructures have recently attracted significant interest in manipulating light-matter interaction at a nanoscale. Directional scattering, as an important property of nanoparticles, has been investigated in traditional high refractive index materials, such as silicon, germanium and gallium [...] Read more.
All-dielectric nanoparticles, as the counterpart of metallic nanostructures have recently attracted significant interest in manipulating light-matter interaction at a nanoscale. Directional scattering, as an important property of nanoparticles, has been investigated in traditional high refractive index materials, such as silicon, germanium and gallium arsenide in a narrow band range. Here in this paper, we demonstrate that a broadband forward scattering across the entire visible range can be achieved by the low loss TiO2 nanoparticles with moderate refractive index. This mainly stems from the optical interferences between the broadband electric dipole and the magnetic dipole modes. The forward/backward scattering ratio reaches maximum value at the wavelengths satisfying the first Kerker’s condition. Experimentally, the femtosecond pulsed laser was employed to splash different-sized nanoparticles from a thin TiO2 film deposited on the glass substrate. Single particle scattering measurement in both the forward and backward direction was performed by a homemade confocal microscopic system, demonstrating the broadband forward scattering feature. Our research holds great promise for many applications such as light harvesting, photodetection and on-chip photonic devices and so on. Full article
Show Figures

Figure 1

11 pages, 1159 KB  
Article
Collective Lattice Resonances in All-Dielectric Nanostructures under Oblique Incidence
by Anton D. Utyushev, Vadim I. Zakomirnyi, Alexander E. Ershov, Valeriy S. Gerasimov, Sergey V. Karpov and Ilia L. Rasskazov
Photonics 2020, 7(2), 24; https://doi.org/10.3390/photonics7020024 - 28 Mar 2020
Cited by 26 | Viewed by 5989
Abstract
Collective lattice resonances (CLRs) emerging under oblique incidence in 2D finite-size arrays of Si nanospheres have been studied with the coupled dipole model. We show that hybridization between the Mie resonances localized on a single nanoparticle and angle-dependent grating Wood–Rayleigh anomalies allows for [...] Read more.
Collective lattice resonances (CLRs) emerging under oblique incidence in 2D finite-size arrays of Si nanospheres have been studied with the coupled dipole model. We show that hybridization between the Mie resonances localized on a single nanoparticle and angle-dependent grating Wood–Rayleigh anomalies allows for the efficient tuning of CLRs across the visible spectrum. Complex nature of CLRs in arrays of dielectric particles with both electric dipole (ED) and magnetic dipole (MD) resonances paves a way for a selective and flexible tuning of either ED or MD CLR by an appropriate variation of the angle of incidence. The importance of the finite-size effects, which are especially pronounced for CLRs emerging for high diffraction orders under an oblique incidence has been also discussed. Full article
(This article belongs to the Special Issue Optical Nanoantennas)
Show Figures

Figure 1

13 pages, 9251 KB  
Article
Design and Application Research of All-Dielectric Nanostructure Colorful Display
by Shishang Luo, Junbo Yang, Xin He, Sen Zhang and Ying Chen
Appl. Sci. 2019, 9(14), 2937; https://doi.org/10.3390/app9142937 - 23 Jul 2019
Cited by 3 | Viewed by 3285
Abstract
Structural colors generated by plasmonic resonances in metallic nanostructures have been intensively studied and exciting progress has been made. However, because of the inherent plasmon damping, the saturation of these colors generated by metallic nanostructures could not meet the needs of industrial applications. [...] Read more.
Structural colors generated by plasmonic resonances in metallic nanostructures have been intensively studied and exciting progress has been made. However, because of the inherent plasmon damping, the saturation of these colors generated by metallic nanostructures could not meet the needs of industrial applications. As a result, researchers increasingly focus on structural colors generated by all-dielectric nanostructures. In this paper, we discuss a type of all-dielectric nanostructure based on a previous design and analyze its optical properties extensively. The display of character T with different color is realized by using this nanostructure. The study helps the understanding of the influence of structural parameters on structural color and provides some guidance for future experiments. This work can impact the development of the structural color devices which can be applied in color printing, color displays, color filters, imaging, and energy harvesting, etc. Full article
(This article belongs to the Special Issue Advanced Active and Passive Metasurfaces)
Show Figures

Figure 1

37 pages, 1992 KB  
Review
Magneto-Plasmonics and Resonant Interaction of Light with Dynamic Magnetisation in Metallic and All-Magneto-Dielectric Nanostructures
by Ivan S. Maksymov
Nanomaterials 2015, 5(2), 577-613; https://doi.org/10.3390/nano5020577 - 9 Apr 2015
Cited by 88 | Viewed by 12963
Abstract
A significant interest in combining plasmonics and magnetism at the nanoscale gains momentum in both photonics and magnetism sectors that are concerned with the resonant enhancement of light-magnetic-matter interaction in nanostructures. These efforts result in a considerable amount of literature, which is difficult [...] Read more.
A significant interest in combining plasmonics and magnetism at the nanoscale gains momentum in both photonics and magnetism sectors that are concerned with the resonant enhancement of light-magnetic-matter interaction in nanostructures. These efforts result in a considerable amount of literature, which is difficult to collect and digest in limited time. Furthermore, there is insufficient exchange of results between the two research sectors. Consequently, the goal of this review paper is to bridge this gap by presenting an overview of recent progress in the field of magneto-plasmonics from two different points of view: magneto-plasmonics, and magnonics and magnetisation dynamics. It is expected that this presentation style will make this review paper of particular interest to both general physical audience and specialists conducting research on photonics, plasmonics, Brillouin light scattering spectroscopy of magnetic nanostructures and magneto-optical Kerr effect magnetometry, as well as ultrafast all-optical and THz-wave excitation of spin waves. Moreover, readers interested in a new, rapidly emerging field of all-dielectric nanophotonics will find a section about all-magneto-dielectric nanostructures. Full article
(This article belongs to the Special Issue Nanophotonic Materials)
Show Figures

Back to TopTop