Sign in to use this feature.

Years

Between: -

Subjects

remove_circle_outline
remove_circle_outline
remove_circle_outline
remove_circle_outline
remove_circle_outline
remove_circle_outline
remove_circle_outline
remove_circle_outline
remove_circle_outline

Journals

Article Types

Countries / Regions

Search Results (34)

Search Parameters:
Keywords = agro-silvo-pastoral systems

Order results
Result details
Results per page
Select all
Export citation of selected articles as:
13 pages, 1449 KB  
Article
Soil–Plant Characterization in Agrosilvopastoral System Established in a Fe-Mn Abandoned Mine After Long-Term Closure
by Erika S. Santos, Maria Manuela Abreu and Sabina Rossini-Oliva
Plants 2025, 14(1), 60; https://doi.org/10.3390/plants14010060 - 27 Dec 2024
Viewed by 721
Abstract
Small abandoned mining areas of Fe and Mn oxides located in the Portuguese sector of the Iberian Pyrite Belt (SW of Europe) have been converted into agrosilvopastoral systems with very few environmental management measures after their closure. Although at the landscape scale, no [...] Read more.
Small abandoned mining areas of Fe and Mn oxides located in the Portuguese sector of the Iberian Pyrite Belt (SW of Europe) have been converted into agrosilvopastoral systems with very few environmental management measures after their closure. Although at the landscape scale, no visible differences were observed between the former mining intervention areas and adjacent areas, it is essential to assess the state and environmental risk of the soil–plant system, especially in the herbaceous pastures grazed by domestic animals. This was carried out in the Ferragudo mining area, where an agrosilvopastoral system, composed of holm oak and dryland pasture, had been established after the closure of the mine at ≈45 years. The soils presented neutral pH and variable fertility degree. The pseudo-total soil concentrations of Cu, Mo, and Zn exceeded the Portuguese limit values established for agriculture use (>180 mg Cu/kg; >8.2 mg Mo/kg; 349 mg Zn/kg), but their soil available fractions were small (<8.4% of the pseudo-total concentrations). Trees and herbaceous plants showed good development, and the concentrations of the elements (except Mn) were considered normal or sufficient. For Mn, most of the plant samples exceeded phytotoxic Mn values, but no visual signs of phytotoxicity were observed. Only the concentrations of Fe and K in the shoots of some herbaceous samples exceeded the maximum tolerable levels for cattle and sheep, so the risk to animals can be considered small since other sources are present in animal feed. In general, this agrosilvopastoral system did not pose a significant environmental risk. Full article
(This article belongs to the Section Plant Physiology and Metabolism)
Show Figures

Figure 1

22 pages, 1673 KB  
Review
Dairy Goat Production Systems: A Comprehensive Analysis to Reframe Their Global Diversity
by Cesar A. Meza-Herrera, Cayetano Navarrete-Molina, Ulises Macias-Cruz, Gerardo Arellano-Rodriguez, Angeles De Santiago-Miramontes, Maria A. Sariñana-Navarrete, Ruben I. Marin-Tinoco and Carlos C. Perez-Marin
Animals 2024, 14(24), 3717; https://doi.org/10.3390/ani14243717 - 23 Dec 2024
Cited by 8 | Viewed by 3931
Abstract
This review aims to emphasize the important role that goats and dairy goats play for many small-scale rural families worldwide, as well as to introduce a proposal for categorizing the main dairy goat production systems (DGPSs), using a multifactorial approach but emphasizing rainfall [...] Read more.
This review aims to emphasize the important role that goats and dairy goats play for many small-scale rural families worldwide, as well as to introduce a proposal for categorizing the main dairy goat production systems (DGPSs), using a multifactorial approach but emphasizing rainfall and nutritional supplementation level, as the focal categorization factors. The main DGPSs were divided into two metasystems based on available resources, each consisting of three production subsystems. In the first metasystem, the three subsystems have limited water, biotic, and economic resources, whose main economic rationality is based on reducing risk rather than maximizing outputs. In contrast, the three subsystems of the second metasystem usually have increased biotic, economic, and water resources, whose main emphasis involves maximizing product yield rather than reducing risk. The first metasystem involves DGPSs with a very limited or null nutritional supplementation: (a) subsistence, (b) extensive, and (c) agro-silvopastoral. The second metasystem includes those DGPSs with different levels of nutritional supplementation: (d) semi-extensive, (e) semi-intensive, and (f) intensive. There are numerous significant global initiatives focused on scientific collaboration and sharing information regarding nutrition, reproductive, and genetic technologies related to the safety and nutraceutical quality of goat milk and products while contextualized in different DGPSs. Hence, such scenarios should create additional opportunities for researchers, producers, policymakers, and development workers to come together and align interests and needs and exchange knowledge on effective goat farmer support strategies, environmental management, and consumer education. Undoubtedly, it is essential to reevaluate the DGPSs in the world since millions of producers and their families—most of them poor and marginalized—need this species, society needs their products, most of the worldwide arid and semi-arid lands need their recovery, and all of us should encourage the fulfillment of the sustainable development goals. Full article
(This article belongs to the Section Small Ruminants)
Show Figures

Figure 1

20 pages, 3148 KB  
Article
Changes in Soil Chemical Attributes in an Agrosilvopastoral System Six Years After Thinning of Eucalyptus
by Wander Luis Barbosa Borges, Marcelo Andreotti, Luan Carlos Pianta da Cruz, Douglas Yuri Osaki de Oliveira, João Francisco Borges and Laryssa de Castro Silva
Plants 2024, 13(21), 3050; https://doi.org/10.3390/plants13213050 - 31 Oct 2024
Cited by 1 | Viewed by 984
Abstract
The changes in soil chemical attributes in agrosilvopastoral systems after the thinning of trees are unclear. To address this gap, this study evaluated the effects of the thinning of eucalyptus hybrid Urograndis H-13 (Eucalyptus urophylla S. T. Blake × E. grandis W. [...] Read more.
The changes in soil chemical attributes in agrosilvopastoral systems after the thinning of trees are unclear. To address this gap, this study evaluated the effects of the thinning of eucalyptus hybrid Urograndis H-13 (Eucalyptus urophylla S. T. Blake × E. grandis W. Hill ex Maiden) on soil chemical fertility in an agrosilvopastoral system in an Arenic Hapludalf in Brazil. The experimental design was a randomized block with a 3 × 4 factorial design comprising three treatments (thinning of 0%, 50%, or 100% of the eucalyptus trees) and four sampling positions relative to the eucalyptus line (0, 2.0, 4.0, and 6.0 m). Six years after eucalyptus thinning, soil acidification was observed in the 0% and 50% eucalyptus thinning treatments, especially at 0 and 2 m from the eucalyptus line. Decreases in soil pH were associated with increases in the total acidity pH 7.0 (H+ + Al3+) and Al3+ content and decreases in the K+, Ca2+, and Mg2+ contents and base saturation over the soil profile (0–1.0 m). Full article
(This article belongs to the Special Issue Crop and Soil Management for Sustainable Agriculture)
Show Figures

Figure 1

18 pages, 3391 KB  
Article
The Germination Performance After Dormancy Breaking of Leucaena diversifolia (Schltdl.) Benth. Seeds in a Thermal Gradient and Its Distribution Under Climate Change Scenarios
by Andrés Flores, Cesar M. Flores-Ortíz, Patricia D. Dávila-Aranda, Norma Isela Rodríguez-Arévalo, Salvador Sampayo-Maldonado, Daniel Cabrera-Santos, Maraeva Gianella and Tiziana Ulian
Plants 2024, 13(20), 2926; https://doi.org/10.3390/plants13202926 - 18 Oct 2024
Cited by 1 | Viewed by 1676
Abstract
Climate change models predict temperature increases, which may affect germination, an important stage in the recruitment of individuals in agroecosystems. Therefore, it is crucial to conduct research on how temperature will impact the germination of multipurpose native species. Leucaena diversifolia (Schltdl.) Benth. is [...] Read more.
Climate change models predict temperature increases, which may affect germination, an important stage in the recruitment of individuals in agroecosystems. Therefore, it is crucial to conduct research on how temperature will impact the germination of multipurpose native species. Leucaena diversifolia (Schltdl.) Benth. is native to America and is commonly cultivated around the world due to having a high protein content in seeds, and their trees are used in agrosilvopastoral systems because they fix nitrogen and provide shade and cattle feed. However, climate change affects the critical phases of its life cycle and influences its growth, reproduction, phenology, and distribution. To assess the germination performance of Leucaena diversifolia under different temperatures throughout thermal times, we estimated germination variables and determined cardinal temperatures and thermal time; we also analysed germination and potential distribution under two climate change scenarios. We found significant variations in seed germination (78–98%) and differences in cardinal temperatures (Tb = 5.17 and 7.6 °C, To = 29.42 and 29.54 °C, and Tc = 39.45 and 39.76 °C). On the other hand, the sub-optimal and supra-optimal temperature values showed little differences: 51.34 and 55.57 °Cd. The models used showed variations in germination time for the analysed scenarios and the potential distribution. We confirm that the populations and distribution of L. diversifolia will be altered due to climate changes, but the species retains the ability to germinate under warmer conditions. Full article
(This article belongs to the Topic Responses of Trees and Forests to Climate Change)
Show Figures

Figure 1

16 pages, 3527 KB  
Article
Organic Carbon Storage in Waterlogging Soils in Ávila, Spain: A Traditional Agrosilvopastoral Region
by María P. Alvarez-Castellanos, Laura Escudero-Campos, Jorge Mongil-Manso, Francisco J. San Jose, Adrián Jiménez-Sánchez and Raimundo Jiménez-Ballesta
Land 2024, 13(10), 1630; https://doi.org/10.3390/land13101630 - 8 Oct 2024
Cited by 3 | Viewed by 2052
Abstract
Soils play a crucial role in the protection, management, and ecological understanding of the La Moraña region, located in Ávila province, Central Spain, which has a moderate population, traditional agriculture, livestock farming, and low industrial activity, resulting in relatively low environmental degradation. The [...] Read more.
Soils play a crucial role in the protection, management, and ecological understanding of the La Moraña region, located in Ávila province, Central Spain, which has a moderate population, traditional agriculture, livestock farming, and low industrial activity, resulting in relatively low environmental degradation. The region’s soils often experience prolonged water stagnation, influencing its agronomy, ecology, and economy. This study aimed to estimate and understand the soil’s role in the C sequestration of an agrosilvopastoral system under conditions of temporary water stagnation and different land uses. The results showed that ryegrass-magaza and Pinus pinaster show more content in soil carbon sequestration storage (98.7 and 92.4 Mg per hectare) compared to the adjacent degraded rangeland (75.8 and 63.9 Mg ha−1). Arenosols exhibited a higher total amount of SOC stocks. The soil profile with ryegrass sequestered more nitrogen (9.7 Mg ha−1) than other land uses; moreover, Arenosols have a lower nitrogen sequestration capacity even in low-forest conditions. The study highlights significant differences in carbon accumulation due to the management practices, temporary water layers, and parent material. Full article
Show Figures

Figure 1

15 pages, 5689 KB  
Article
Modelling Water Availability in Livestock Ponds by Remote Sensing: Enhancing Management in Iberian Agrosilvopastoral Systems
by Francisco Manuel Castaño-Martín, Álvaro Gómez-Gutiérrez and Manuel Pulido-Fernández
Remote Sens. 2024, 16(17), 3257; https://doi.org/10.3390/rs16173257 - 2 Sep 2024
Viewed by 1925
Abstract
Extensive livestock farming plays a crucial role in the economy of agrosilvopastoral systems of the southwestern Iberian Peninsula (known as dehesas and montados in Spanish and Portuguese, respectively) as well as providing essential ecosystem services. The existence of livestock in these areas heavily [...] Read more.
Extensive livestock farming plays a crucial role in the economy of agrosilvopastoral systems of the southwestern Iberian Peninsula (known as dehesas and montados in Spanish and Portuguese, respectively) as well as providing essential ecosystem services. The existence of livestock in these areas heavily relies on the effective management of natural resources (annual pastures and water stored in ponds built ad hoc). The present work aims to assess the water availability in these ponds by developing equations to estimate the water volume based on the surface area, which can be quantified by means of remote sensing techniques. For this purpose, field surveys were carried out in September 2021, 2022 and 2023 at ponds located in representative farms, using unmanned aerial vehicles (UAVs) equipped with RGB sensors and survey-grade global navigation satellite systems and inertial measurement units (GNSS-IMU). These datasets were used to produce high-resolution 3D models by means of Structure-from-Motion and Multi-View Stereo photogrammetry, facilitating the estimation of the stored water volume within a Geographic Information System (GIS). The Volume–Area–Height relationships were calibrated to allow conversions between these parameters. Regression analyses were performed using the maximum volume and area data to derive mathematical models (power and quadratic functions) that resulted in significant statistical relationships (r2 > 0.90, p < 0.0001). The root mean square error (RMSE) varied from 1.59 to 17.06 m3 and 0.16 to 3.93 m3 for the power and quadratic function, respectively. Both obtained equations (i.e., power and quadratic general functions) were applied to the estimated water storage in similar water bodies using available aerial or satellite imagery for the period from 1984 to 2021. Full article
Show Figures

Figure 1

15 pages, 1669 KB  
Article
A Framework for Investment and Risk Assessment of Agricultural Projects
by Leonir Vilani, Antonio Zanin, Mauro Lizot, Marcelo Gonçalves Trentin, Paulo Afonso and José Donizetti de Lima
J. Risk Financial Manag. 2024, 17(9), 378; https://doi.org/10.3390/jrfm17090378 - 23 Aug 2024
Cited by 5 | Viewed by 5170
Abstract
Investment appraisal of agricultural projects (APs) is particularly demanding due to several factors. Namely, APs may have longer time horizons, higher external and internal volatility, and uncertainty caused by less control of production and external conditions (e.g., climatic conditions and market demand). Indeed, [...] Read more.
Investment appraisal of agricultural projects (APs) is particularly demanding due to several factors. Namely, APs may have longer time horizons, higher external and internal volatility, and uncertainty caused by less control of production and external conditions (e.g., climatic conditions and market demand). Indeed, these APs may face high and different risks that should be managed properly. Nevertheless, both the literature and practice do not address such complexity and uncertainty conveniently. Thus, this research aimed to develop an integrative and easy-to-use framework to support the investment appraisal of APs, which goes beyond the traditional approach based on simple and deterministic models. This framework is based on an approach that includes several capital budgeting techniques integrating extended multi-index methodology (EMIM), Monte Carlo simulation (MCS), and real options analysis (ROA). This framework allows dealing with different risk and uncertainty scenarios and managerial flexibilities, which allow alternative and additional investment options. A simpler and easier approach can be particularly important for family agribusinesses, which usually do not use sophisticated decision-making tools. An AP in an agrosilvopastoral system (i.e., agriculture, livestock, forestry) was used to present and discuss the proposed methodology considering the relevance of such systems for sustainable agriculture and their higher risk and complexity when compared to traditional approaches. The main contribution of the framework is structuring a set of steps based on several tools to carry out investment appraisal in APs. Full article
(This article belongs to the Section Financial Markets)
Show Figures

Figure 1

16 pages, 2277 KB  
Article
Agro-Silvo-Pastoral Heritage Conservation and Valorization—A Comparative Analysis of the Chinese Nationally Important Agricultural Heritage Systems and of the Italian Register of Historical Rural Landscapes
by Francesco Piras, Yulian Pan, Antonio Santoro, Beatrice Fiore, Qingwen Min, Xuan Guo and Mauro Agnoletti
Land 2024, 13(7), 988; https://doi.org/10.3390/land13070988 - 4 Jul 2024
Cited by 5 | Viewed by 1997
Abstract
Agricultural heritage systems are receiving increasing attention due to their multifunctional role, their capability to provide ecosystem services, and for representing sustainable development models for rural areas. At the international level, the Food and Agriculture Organization (FAO) of the United Nations launched in [...] Read more.
Agricultural heritage systems are receiving increasing attention due to their multifunctional role, their capability to provide ecosystem services, and for representing sustainable development models for rural areas. At the international level, the Food and Agriculture Organization (FAO) of the United Nations launched in 2002 the Globally Important Agricultural Heritage Systems (GIAHS) Program to identify and safeguard traditional agro-silvo-pastoral systems that are the result of the adaptation of rural communities to the surrounding environments. Following this approach, similar national programs have been developed, among which the Italian National Register of Historical Rural Landscapes and the China Nationally Important Agricultural Heritage Systems (China-NIAHS) initiative stand out. This research compares the China-NIAHS initiative and the Italian Register of Historical Rural Landscapes, highlighting similarities and differences and identifying strengths and weaknesses, to contribute to the development of proper tools for the conservation and valorization of agricultural heritage systems. Both initiatives were established in 2012 and share similar aims and inscription criteria, including historical and current significance, knowledge system and social structure, economic and productive framework, and causes of vulnerability. The main differences are related to the delimitation of the boundaries of the proposed sites and to the inscription process; in addition, while for the Italian National Register spatial analyses of land-use changes and landscape structure are mandatory according to a precise methodology, for the China-NIAHS no specific landscape analyses are required. The main critical issues are the lack of public participation and the lack of a monitoring plan after the inscription. The absence of monitoring is also the main vulnerability of the FAO GIAHS Programme. This research can offer important information for different stakeholders at the international, national, and local levels dealing with agricultural heritage conservation and valorization. In particular, it highlights the need of developing a multidisciplinary monitoring system with a standard methodology based on different indicators that can contribute to maximizing the impact of these initiatives. This research also provides useful information for the countries that are interested in developing a national initiative for agricultural heritage systems’ identification and valorization/conservation or for countries that intend to improve their national programs. Full article
(This article belongs to the Section Land Socio-Economic and Political Issues)
Show Figures

Figure 1

15 pages, 4921 KB  
Article
Exploring the Impact of Climate Change on Water Resources for Vegetation Covers in Extremadura (Spain)
by Javier Lozano-Parra and José Manuel Sánchez-Martín
Water 2024, 16(10), 1418; https://doi.org/10.3390/w16101418 - 16 May 2024
Cited by 2 | Viewed by 2285
Abstract
Mediterranean areas will likely undergo climate shifts in the near future that modify the water resources for vegetation. However, in some regions of southwestern Spain, such as Extremadura, the impact of different future scenarios on the water resources for vegetation has not been [...] Read more.
Mediterranean areas will likely undergo climate shifts in the near future that modify the water resources for vegetation. However, in some regions of southwestern Spain, such as Extremadura, the impact of different future scenarios on the water resources for vegetation has not been studied extensively. This study focused on the quantification and spatial distribution of water resources for vegetation covers in Extremadura and analyzed the impact of future climate change scenarios on those water resources. For this, five downscaled global climate models from Coupled Model Intercomparison Project phase 6 (CMIP6) were used in four future periods (from 2021 to 2100) following two Shared Socioeconomic Pathways (SSP-2.45 and SSP-5.85). These projections were compared with a historical baseline period (1970–2000) to obtain the variation of water resources. The results showed decreases in the water resources for all the scenarios and periods analyzed compared to those observed in the historical baseline period. The smallest decreases were noted over 2041–2060 for SSP2-4.5, with almost 74% of the region decreasing between 15 and 18% (with an average of 16.4%). The greatest decreases were over 2081–2100 for SSP5-8.5, in which 90% of the region displayed water resource declines of greater than 50%. In this last situation, the three more widespread vegetation covers (agrosilvopastoral systems of dehesas, grasslands, and crops) underwent similar declines of around 55% of their water resources (from ≈203 to ≈93 mm), while the fourth widely spread vegetation cover, forests, declined by 49% (from ≈261 to ≈133 mm). If any of these future projections occur, the decline in water resources could modify the forest composition and structure of these water-dependent ecosystems, compromising their maintenance and ecological, cultural, and economic functions. Full article
(This article belongs to the Section Water and Climate Change)
Show Figures

Figure 1

10 pages, 1619 KB  
Communication
Presence of Quercus Suber Soft-Leaf Defoliators on Trees with Distinct Foliar Monoterpene Emission Profiles
by Israel Sánchez-Osorio, Daniel Robles and Raúl Tapias
Appl. Sci. 2024, 14(3), 1112; https://doi.org/10.3390/app14031112 - 29 Jan 2024
Cited by 1 | Viewed by 1594
Abstract
The cork tree, Quercus suber L., is a characteristic species of the Dehesa agrosilvopastoral system, typical of western Spain. Defoliating insects are an important component of these ecosystems. This study assessed the presence and impact of defoliators feeding on Q. suber soft leaf [...] Read more.
The cork tree, Quercus suber L., is a characteristic species of the Dehesa agrosilvopastoral system, typical of western Spain. Defoliating insects are an important component of these ecosystems. This study assessed the presence and impact of defoliators feeding on Q. suber soft leaf tissue and their relationship with foliar monoterpene emission profiles. Samplings consisted of weekly tree beating (15 times per tree per sample) during the flight period of key species. We studied 26 cork trees with known profiles of foliar monoterpene emission (13 pinene and 13 limonene chemotypes). We identified a total of 272 larvae from 9 species. The main species were Catocala nymphagoga Esper (40.8%) and Periclista andrei Know (27.6%). Notably, 70.6% of larvae were found on trees with a pinene chemotype. The combined abundance of the four key defoliator species (C. nymphagoga L., P. andrei, Bena bicolorana L., and Cyclophora punctaria L.) was 62.7% lower on limonene-chemotype trees than pinene-chemotype trees. Significant differences were found in defoliation damage between leaves with distinct terpene emission profiles. These results suggest that both the abundance and damage caused by defoliators differ with trees’ emission profiles, and this may indicate differences in palatability and/or nutritional quality between Q. suber trees with distinct foliar monoterpene emission profiles. Full article
(This article belongs to the Special Issue Spatial Information Technology in Forest Ecosystem)
Show Figures

Figure 1

40 pages, 6858 KB  
Review
Montado Mediterranean Ecosystem (Soil–Pasture–Tree and Animals): A Review of Monitoring Technologies and Grazing Systems
by Emanuel Carreira, João Serrano, José Lopes de Castro, Shakib Shahidian and Alfredo F. Pereira
Appl. Sci. 2023, 13(10), 6242; https://doi.org/10.3390/app13106242 - 19 May 2023
Cited by 9 | Viewed by 4757
Abstract
Montado is an agro-silvo-pastoral ecosystem characteristic of the south of Portugal and called Dehesa in Spain. Its four fundamental components—soil, pasture, trees, and animals—as well as the climate make Montado a highly complex ecosystem. This review article provides an overview of the state [...] Read more.
Montado is an agro-silvo-pastoral ecosystem characteristic of the south of Portugal and called Dehesa in Spain. Its four fundamental components—soil, pasture, trees, and animals—as well as the climate make Montado a highly complex ecosystem. This review article provides an overview of the state of the art of Montado from the point of view of the agro-silvo-pastoral ecosystem and the scientific work carried out in this context. Thus, the aim is: (i) to describe and characterize the Montado ecosystem, as an agro-silvo-pastoral system; (ii) to reveal experimental tests carried out, technologies used or with the potential to be used in the monitoring of Montado; (iii) to address other technologies, carried out in similar and different agro-silvo-pastoral ecosystems from south Portugal. This review consists of three chapters: (a) components of Montado and their interactions; (b) advanced technologies for monitoring Montado; (c) grazing systems. No review article is known to provide an overview of Montado. Thus, it is essential to carry out research on grazing and its effects on the soil and pasture in the Montado ecosystem. Full article
(This article belongs to the Section Agricultural Science and Technology)
Show Figures

Figure 1

15 pages, 4495 KB  
Article
Soil Carbon and Nitrogen Stocks under Agrosilvopastoral Systems with Different Arrangements in a Transition Area between Cerrado and Caatinga Biomes in Brazil
by Igor Costa de Freitas, Matheus Almeida Alves, Jaílson Ramos Magalhães, Rafael Ferreira Dias, Carlos Juliano Brant Albuquerque, Evander Alves Ferreira, Luiz Arnaldo Fernandes, Rodinei Facco Pegoraro and Leidivan Almeida Frazão
Agronomy 2022, 12(12), 2926; https://doi.org/10.3390/agronomy12122926 - 23 Nov 2022
Cited by 14 | Viewed by 3615
Abstract
Production systems that promote the accumulation of soil organic matter (SOM) must be implemented to maintain the sustainability of agriculture, livestock, and forestry. Since increases in MOS content contribute to improving the chemical, physical, and biological quality of the soil, as well as [...] Read more.
Production systems that promote the accumulation of soil organic matter (SOM) must be implemented to maintain the sustainability of agriculture, livestock, and forestry. Since increases in MOS content contribute to improving the chemical, physical, and biological quality of the soil, as well as helping to reduce carbon emissions to mitigate climate change. Therefore, the objective of this study was to evaluate soil organic carbon (SOC) and nitrogen (N) stocks after the implementation of agrosilvopastoral (ASP) systems in a Cerrado-Caatinga transition zone in Brazil. Native vegetation of Cerrado-Caatinga (NV), regenerating stratum of Cerrado-Caatinga (RS), two arrangements of ASP systems cultivating Cenchrus ciliaris L. intercropped with Eucalyptus camaldulensis Dehnh. × Eucalyptus tereticornis Sm. hybrid (ASP1 and ASP2), and intercropped with Eucalyptus urophylla S.T. Blake × Eucalyptus grandis W. Mill ex Maiden hybrid (ASP3 and ASP4) were evaluated. Soil C and N stocks and the C content in the humic fractions of SOM were evaluated at 0–10, 10–20, and 20–30 cm soil depths. The introduction of ASP2, ASP3, and ASP4 systems in an area previously occupied by low productivity pasture increased and restored SOC stocks to levels found in NV, at a depth of 0–30 cm. N stocks were higher in ASP systems, regardless of the arrangement studied. As a result, the ASP systems provided accumulations that ranged from 1.0 to 4.31 Mg SOC ha−1 yr−1 and from 0.33 to 0.36 Mg N ha−1 yr−1. The carbon contents in humic fractions remained higher in NV. The hierarchical grouping and principal component analysis showed that the implementation of the ASP systems was efficient in increasing soil C and N stocks over time. In conclusion, the present study identified that integrated production systems can support land use intensification strategies based on sustainable and low-carbon agriculture in a transition area between the Cerrado and Caatinga biomes in Brazil. Full article
Show Figures

Figure 1

12 pages, 1631 KB  
Article
Comparative Analysis of Pasture Soil Fertility in Semiarid Agro-Silvo-Pastoral Systems
by Francisco J. Moral, João M. Serrano, Francisco J. Rebollo, Ricardo F. M. Teixeira and Tiago Domingos
Agronomy 2022, 12(11), 2711; https://doi.org/10.3390/agronomy12112711 - 1 Nov 2022
Cited by 1 | Viewed by 1914
Abstract
Dryland pastures are usually on soils with a low fertility. However, a high spatial variability is apparent in pasture soils. In consequence, the application of inputs should be based on the particular characteristics of each field and their within-field variability. In this study, [...] Read more.
Dryland pastures are usually on soils with a low fertility. However, a high spatial variability is apparent in pasture soils. In consequence, the application of inputs should be based on the particular characteristics of each field and their within-field variability. In this study, a comparative analysis of seven experimental fields (agro–silvo–pastoral ecosystems) in the southwest of the Iberian Peninsula was performed using a probabilistic and objective model. Some soil properties (the texture, cation exchange capacity, soil apparent electrical conductivity, organic matter, nitrogen, potassium and slope) measured at six sampling locations in each field were consolidated in the model. It was verified that the data fit the model and, later, a ranking of all the sampling locations and, consequently, a ranking of all the experimental fields according to the pasture soil fertility was established. Moreover, another output of the model was a ranking of the soil properties according to their influence on the soil fertility: the topographical property, the slope, was the most influential as it is related to the level of other important soil properties, as the textural components. Two fields, Cubillos and Grous, had the highest overall soil fertility levels because the soil samples in these fields were very fertile. However, some samples in the other five fields were also in the group of the most fertile, denoting the existence of an important spatial variability within each field. The proposed method is a rational way to improve the efficiency of the use of fertilisers by adjusting them to the soil pasture fertility. Full article
(This article belongs to the Section Grassland and Pasture Science)
Show Figures

Figure 1

21 pages, 3127 KB  
Article
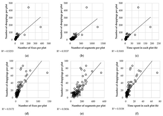
GPS Tracking to Monitor the Spatiotemporal Dynamics of Cattle Behavior and Their Relationship with Feces Distribution
by Jessica A. Hassan-Vásquez, Francisco Maroto-Molina and José E. Guerrero-Ginel
Animals 2022, 12(18), 2383; https://doi.org/10.3390/ani12182383 - 12 Sep 2022
Cited by 22 | Viewed by 4737
Abstract
The sustainability of agrosilvopastoral systems, e.g., dehesas, is threatened. It is necessary to deepen the knowledge of grazing and its environmental impact. Precision livestock farming (PLF) technologies pose an opportunity to monitor production practices and their effects, improving decision-making to avoid or [...] Read more.
The sustainability of agrosilvopastoral systems, e.g., dehesas, is threatened. It is necessary to deepen the knowledge of grazing and its environmental impact. Precision livestock farming (PLF) technologies pose an opportunity to monitor production practices and their effects, improving decision-making to avoid or reduce environmental damage. The objective of this study was to evaluate the potential of the data provided by commercial GPS collars, together with information about farm characteristics and weather conditions, to characterize the distribution of cattle dung in paddocks, paying special attention to the identification of hotspots with an excessive nutrient load. Seven animals were monitored with smart collars on a dehesa farm located in Cordoba, Spain. Dung deposition was recorded weekly in 90 sampling plots (78.5 m2) distributed throughout the paddock. Grazing behavior and animal distribution were analyzed in relation to several factors, such as terrain slope, insolation or distance to water. Animal presence in sampling plots, expressed as fix, trajectory segment or time counting, was regressed with dung distribution. Cattle showed a preference for flat terrain and areas close to water, with selection indices of 0.30 and 0.46, respectively. The accumulated animal presence during the experimental period explained between 51.9 and 55.4% of the variance of dung distribution, depending on the indicator used, but other factors, such as distance to water, canopy cover or ambient temperature, also had a significant effect on the spatiotemporal dynamics of dung deposition. Regression models, including GPS data, showed determination coefficients up to 82.8% and were able to detect hotspots of dung deposition. These results are the first step in developing a decision support tool aimed at managing the distribution of dung in pastures and its environmental effects. Full article
(This article belongs to the Section Cattle)
Show Figures

Figure 1

26 pages, 3852 KB  
Review
Multiomics Molecular Research into the Recalcitrant and Orphan Quercus ilex Tree Species: Why, What for, and How
by Ana María Maldonado-Alconada, María Ángeles Castillejo, María-Dolores Rey, Mónica Labella-Ortega, Marta Tienda-Parrilla, Tamara Hernández-Lao, Irene Honrubia-Gómez, Javier Ramírez-García, Víctor M. Guerrero-Sanchez, Cristina López-Hidalgo, Luis Valledor, Rafael M. Navarro-Cerrillo and Jesús V. Jorrin-Novo
Int. J. Mol. Sci. 2022, 23(17), 9980; https://doi.org/10.3390/ijms23179980 - 1 Sep 2022
Cited by 16 | Viewed by 4204
Abstract
The holm oak (Quercus ilex L.) is the dominant tree species of the Mediterranean forest and the Spanish agrosilvopastoral ecosystem, “dehesa.” It has been, since the prehistoric period, an important part of the Iberian population from a social, cultural, and religious point [...] Read more.
The holm oak (Quercus ilex L.) is the dominant tree species of the Mediterranean forest and the Spanish agrosilvopastoral ecosystem, “dehesa.” It has been, since the prehistoric period, an important part of the Iberian population from a social, cultural, and religious point of view, providing an ample variety of goods and services, and forming the basis of the economy in rural areas. Currently, there is renewed interest in its use for dietary diversification and sustainable food production. It is part of cultural richness, both economically (tangible) and environmentally (intangible), and must be preserved for future generations. However, a worrisome degradation of the species and associated ecosystems is occurring, observed in an increase in tree decline and mortality, which requires urgent action. Breeding programs based on the selection of elite genotypes by molecular markers is the only plausible biotechnological approach. To this end, the authors’ group started, in 2004, a research line aimed at characterizing the molecular biology of Q. ilex. It has been a challenging task due to its biological characteristics (long life cycle, allogamous, high phenotypic variability) and recalcitrant nature. The biology of this species has been characterized following the central dogma of molecular biology using the omics cascade. Molecular responses to biotic and abiotic stresses, as well as seed maturation and germination, are the two main objectives of our research. The contributions of the group to the knowledge of the species at the level of DNA-based markers, genomics, epigenomics, transcriptomics, proteomics, and metabolomics are discussed here. Moreover, data are compared with those reported for Quercus spp. All omics data generated, and the genome of Q. ilex available, will be integrated with morphological and physiological data in the systems biology direction. Thus, we will propose possible molecular markers related to resilient and productive genotypes to be used in reforestation programs. In addition, possible markers related to the nutritional value of acorn and derivate products, as well as bioactive compounds (peptides and phenolics) and allergens, will be suggested. Subsequently, the selected molecular markers will be validated by both genome-wide association and functional genomic analyses. Full article
(This article belongs to the Special Issue State-of-the-Art Molecular Plant Biology Research in Spain)
Show Figures

Figure 1

Back to TopTop