Sign in to use this feature.

Years

Between: -

Subjects

remove_circle_outline
remove_circle_outline
remove_circle_outline
remove_circle_outline
remove_circle_outline
remove_circle_outline

Journals

Article Types

Countries / Regions

Search Results (9)

Search Parameters:
Keywords = aerogel plaster

Order results
Result details
Results per page
Select all
Export citation of selected articles as:
17 pages, 1731 KB  
Article
Hygrothermal Performance of Thermal Plaster Used as Interior Insulation: Identification of the Most Impactful Design Conditions
by Eleonora Leonardi, Marco Larcher, Alexandra Troi, Anna Stefani, Gianni Nerobutto and Daniel Herrera-Avellanosa
Buildings 2025, 15(19), 3559; https://doi.org/10.3390/buildings15193559 - 2 Oct 2025
Viewed by 569
Abstract
Internal insulation plasters enable historic building renovation without altering the external appearance of the wall. However, the use of internal insulation must be verified case-by-case through dynamic hygrothermal simulation, and the influence of input parameters on the results is not always clear. This [...] Read more.
Internal insulation plasters enable historic building renovation without altering the external appearance of the wall. However, the use of internal insulation must be verified case-by-case through dynamic hygrothermal simulation, and the influence of input parameters on the results is not always clear. This paper aims to (i) characterize a new lime-based insulating plaster with expanded recycled glass and aerogel through laboratory measurements, (ii) assess the damage criteria of the plaster under different boundary conditions through dynamic simulations, and (iii) identify the most impactful design conditions on the relative humidity behind insulation. This innovative plaster combines highly insulating properties (thermal conductivity of 0.0463 W/mK) with good capillary activity while also integrating recycled components without compromising performance. The relative humidity behind insulation remains below 95% in most simulated scenarios, with cases above this threshold found only in cold climates, particularly under high internal moisture loads. The parametric study shows that (i) in the analyzed stones, the thermal conductivity variation of the existing wall has a greater effect on the relative humidity behind insulation than the variation of the vapor resistance factor, (ii) the effect of insulation thickness on the relative humidity behind insulation depends on the difference in thermal resistance of the insulation and existing masonry layers, and (iii) internal moisture load and external climate directly impact the relative humidity behind insulation. Full article
(This article belongs to the Section Building Materials, and Repair & Renovation)
Show Figures

Figure 1

16 pages, 3489 KB  
Article
Hierarchical Modeling of the Thermal Insulation Performance of Novel Plasters with Aerogel Inclusions
by Eugene D. Skouras, Georgia Tsolou and Alexandros N. Kalarakis
Energies 2024, 17(23), 5898; https://doi.org/10.3390/en17235898 - 24 Nov 2024
Cited by 1 | Viewed by 1240
Abstract
Silica aerogel possesses a significantly lower thermal conductivity compared to still air at room temperature, thanks to its high porosity and advanced thermal and physical properties. It is extensively investigated for its potential use as an insulation material, usually being incorporated into other [...] Read more.
Silica aerogel possesses a significantly lower thermal conductivity compared to still air at room temperature, thanks to its high porosity and advanced thermal and physical properties. It is extensively investigated for its potential use as an insulation material, usually being incorporated into other matrix materials, such as cement plasters, to enhance the overall thermal performance with minimal weight load. The development of lightweight thermal insulation materials is a key step in reducing energy consumption in hot and cold environments during construction and in thermal equipment. The superior insulation capabilities of aerogels stem from their nanostructured SiO2 framework, which induces nanoscale rarefaction effects on the enclosed air near the SiO2 structure. This study reconstructed the nanostructured SiO2 network of modern aerogels using microscopy imaging and the literature data and integrated it into sophisticated heat transfer simulations at a microscopic level to predict its thermal performance. The simulation assumed conduction as the primary energy dissipation mechanism, incorporating local rarefaction effects based on kinetic theory approaches. SiO2 aggregates were modeled as interconnected strings of spherical beads, with variations in the aggregate size explored in a parametric study. Nanoscale rarefaction phenomena, such as slip wall and Knudsen diffusion, prevalent at these grain sizes and structures, were incorporated to refine the modeling approach. The degree of the aerogel content relative to the effective properties of the multiphasic material was then investigated systematically along the multilayered mortar thickness and on a representative multiphasic layer at the mesoscopic level. The results quantify the significant decrease in the thermal conductivity of the heterogeneous material as the porosity of the aerogel increased. The insulation performance of this aerogel incorporated into cement plasters was assessed with this hierarchical approach and validated against experimental data, providing insights for the optimization of the fabrication process and potential applications in construction. Full article
(This article belongs to the Special Issue Recent Advances in Computational Heat Transfer and Its Applications)
Show Figures

Figure 1

12 pages, 3732 KB  
Article
Silica Aerogel-Incorporated Cement and Lime Plasters for Building Insulation: An Experimental Study
by Larisa Meliță, Răzvan Calotă and Marin Amăreanu
Buildings 2024, 14(8), 2300; https://doi.org/10.3390/buildings14082300 - 25 Jul 2024
Cited by 4 | Viewed by 3252
Abstract
Silica aerogel has remarkable properties, particularly its translucence/transparency, extremely low thermal conductivity and density. Due to these properties, it can be used for the thermal insulation of buildings for energy saving, cost saving, and enhanced comfort. In this context, aerogel products such as [...] Read more.
Silica aerogel has remarkable properties, particularly its translucence/transparency, extremely low thermal conductivity and density. Due to these properties, it can be used for the thermal insulation of buildings for energy saving, cost saving, and enhanced comfort. In this context, aerogel products such as aerogel blankets have already started to demonstrate their effectiveness in retrofitting projects and the development and adoption of aerogel glazing systems and aerogel-enhanced renders is promising. Other products, for example, through the incorporation of silica aerogel granules in cement and lime renders were obtained, with high thermal insulation properties, to achieve energy efficiency on buildings facades. This research aims to come up with new aerogel particle composition insulation plasters at cost-effective rates for application in building insulation. Their physical apparent mass density, mechanical–flexural and compressive strengths, thermal conductivity, and properties were investigated. As an experimental study, the thermal conductivities of six sets of cement and lime plasters with aerogel particles (0.1–4.0 mm) were investigated and it was concluded that the thermal conductivity of cement and lime plasters with 80% aerogel was 0.2287 W·m−1·K−1, about 3.4 times smaller than the respective value of traditional lightweight plasters of 0.76 W·m−1·K−1, while the cement and lime plasters with less than 40% aerogel showed a thermal conductivity value as low as 0.3172 W·m−1·K−1. It was confirmed that the end product plasters’ mechanical qualities included low apparent mass densities, no apparent shrinkage, and mechanical strength values that matched those of the prepared compositions. This suggests that the obtained plasters are suitable for use in both new constructions and renovation projects. Full article
(This article belongs to the Section Building Materials, and Repair & Renovation)
Show Figures

Figure 1

17 pages, 18714 KB  
Article
Analysis of Thermal Rehabilitation and Seismic Strengthening Solutions Suitable for Heritage Structures
by Dragos Bocan, Catalina Bocan, Alexandra Keller and Aurelian Gruin
Sustainability 2024, 16(13), 5369; https://doi.org/10.3390/su16135369 - 24 Jun 2024
Cited by 5 | Viewed by 1761
Abstract
Heritage structures built in the 19th and 20th centuries in the western part of Romania are marked by the significant aesthetic influence of the Austro-Hungarian empire, with highly decorated façades facing the street and rather more simple surfaces towards the back and inner [...] Read more.
Heritage structures built in the 19th and 20th centuries in the western part of Romania are marked by the significant aesthetic influence of the Austro-Hungarian empire, with highly decorated façades facing the street and rather more simple surfaces towards the back and inner courtyard. This region is also marked by shallow earthquakes, which significantly affect the structural integrity of these buildings. Considering the current climatic context, energy efficiency regulations that also apply to the refurbishment of heritage structures, and the additional need by private owners and authorities to reduce the seismic vulnerability of these structures, it is necessary to develop integrated solutions that could improve the thermal performance of the building and strengthen its load-bearing structure, while preserving the highly valuable aesthetic features that are visible from the street. Therefore, this study is intended to investigate the viability of using different thermal rehabilitation solutions and materials that are suitable for the architectural characteristics of heritage buildings, while also integrating seismic strengthening solutions. These solutions are applied to a 19th-century building that comprises all the specific architectural and structural features found in the western part of Romania. It compares the effectiveness of using mineral-based insulation materials, cork and lime-based plasters, and aerogel–lime-based plaster applied to the inner or outer parts of the wall, depending on the solution. This solution to the problem will combine suitable wet, strengthening techniques that can be used on the inner part of the exterior walls without affecting the aesthetic value of the building. In this way, through the analysed results, this study provides valuable insights concerning potential suitable solutions that can be used to increase sustainability and reduce the seismic vulnerability of heritage masonry buildings. Full article
(This article belongs to the Section Green Building)
Show Figures

Figure 1

19 pages, 6179 KB  
Article
A Comparative Assessment of Different Aerogel-Insulated Building Walls for Enhanced Thermal Insulation Performance
by Jianming Yang, Huijun Wu, Yuying Liang, Jian Cen and Xianyong Zhang
Gels 2023, 9(12), 943; https://doi.org/10.3390/gels9120943 - 30 Nov 2023
Cited by 10 | Viewed by 4134
Abstract
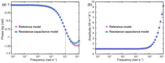
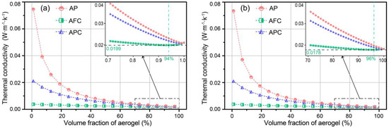
Aerogel is widely recognized as a superinsulating material with great potential for enhancing the thermal insulation performance of building walls. It can be applied in various forms such as aerogel plasters (AP), aerogel fibrous composites (AFC), and aerogel concrete (AC) in practical engineering [...] Read more.
Aerogel is widely recognized as a superinsulating material with great potential for enhancing the thermal insulation performance of building walls. It can be applied in various forms such as aerogel plasters (AP), aerogel fibrous composites (AFC), and aerogel concrete (AC) in practical engineering applications. This study aims to investigate the most efficient application form for maximizing building insulation performance while minimizing the amount of aerogel used. To predict the thermal insulation performance of aerogel-insulated walls, a resistance–capacitance network model integrating the aerogels’ effective thermal conductivity model was developed and was validated by comparing it with Fluent simulation software results in terms of surface temperature. Using the validated models, the thermophysical parameters, transient thermal properties, and transmission load were predicted and compared among AP, AFC, and AC walls. The results indicate that using AFC can result in approximately 50% cost savings to achieve the same thermal resistance. After adding a 20 mm thickness of aerogel to the reference wall without aerogel, the AFC wall exhibited the highest improvement in thermal insulation performance, reaching 46.0–53.5%, followed by the AP wall, and then the AC wall, aligning with considerations of microstructural perspectives, thermal resistance distributions, and thermal non-uniformity factors. Therefore, giving priority to AFC use could reduce the required amount of silica aerogel and enhance economic efficiency. These results provide valuable insights for theoretical models and the application of aerogel-insulated walls in building engineering insulation. Full article
(This article belongs to the Section Gel Applications)
Show Figures

Graphical abstract

12 pages, 4252 KB  
Article
Stability Relevant Properties of an SiO2 Aerogel-Based Rendering and Its Application on Buildings
by Thomas Stahl, Karim Ghazi Wakili and Ernst Heiduk
Sustainability 2021, 13(18), 10035; https://doi.org/10.3390/su131810035 - 8 Sep 2021
Cited by 9 | Viewed by 2388
Abstract
Aerogel-based renderings and plasters have been spreading throughout Europe for nearly a decade. Several national and EU-funded projects have addressed this interesting building product, both at research level within academia and at application level within R&D of renowned industrial enterprises. At present, a [...] Read more.
Aerogel-based renderings and plasters have been spreading throughout Europe for nearly a decade. Several national and EU-funded projects have addressed this interesting building product, both at research level within academia and at application level within R&D of renowned industrial enterprises. At present, a number of investigations into the hygro-thermal, chemical and application properties of a commercially successful aerogel-based rendering and its main ingredient, SiO2 aerogel granules, have been undertaken. Immersion in water showed that even under harsh circumstances water does not enter the aerogel granules, but rather accumulates in the porous phase surrounding the granules. A further immersion in calcium hydroxide at different temperatures did not affect the aerogel granule either, which indicates the robustness of the granules with respect to their exposure to moisture and chemical deterioration emerging from the construction materials the rendering is applied on. An executed application to a historic building with a structured finish, and without any reinforcement mesh, showed the advantage of a versatile applicability of this rendering when the external appearance and visible details of a façade must be kept unchanged. The investigation is rounded off by an infrared picture taken on a cold day showing the thermal influence of the aerogel-based rendering, and its effectiveness for reducing heat loss in buildings. Full article
Show Figures

Figure 1

16 pages, 2185 KB  
Article
The Analysis of Small Investors’ Demands on a Thermal Insulation System for a Family House: A Case Study
by Alena Tažiková, Zuzana Struková and Mária Kozlovská
Sustainability 2021, 13(5), 2491; https://doi.org/10.3390/su13052491 - 25 Feb 2021
Cited by 3 | Viewed by 3451
Abstract
This study deals with small investors’ demands on thermal insulation systems when choosing the most suitable solution for a family house. By 2050, seventy percent of current buildings, including residential buildings, are still expected to be in operation. To reach carbon neutrality, it [...] Read more.
This study deals with small investors’ demands on thermal insulation systems when choosing the most suitable solution for a family house. By 2050, seventy percent of current buildings, including residential buildings, are still expected to be in operation. To reach carbon neutrality, it is necessary to reduce operational energy consumption and thus reduce the related cost of building operations and the cost of the life cycle of buildings. One solution is to adapt envelopes of buildings by proper insulation solutions. To choose an optimal thermal insulation system that will reduce energy consumption of building, it is necessary to consider the environmental cost of insulation materials in addition to the construction cost of the materials. The environmental cost of a material depends on the carbon footprint from the initial origin of the material. This study presents the results of a multi-criteria decision-making analysis, where five different contractors set the evaluation criteria for selection of the optimal thermal insulation system. In their decision-making, they involved the requirements of small investors. The most common requirements were selected: the construction cost, the construction time (represented by the total man-hours), the thermal conductivity coefficient, the diffusion resistance factor, and the reaction to fire. The confidences of the criteria were then determined with the help of the pairwise comparison method. This was followed by multi-criteria decision-making using the method of index coefficients, also known as the method of basic variant. The multi-criteria decision-making included thermal insulation systems based on polystyrene, mineral wool, thermal insulation plaster, and aerogels’ nanotechnology. As a result, it was concluded that, currently, in Slovakia, small investors emphasize the cost of material and the coefficient of thermal conductivity and they do not care as much about the carbon footprint of the material manufacturing, the importance of which is mentioned in this study. Full article
Show Figures

Figure 1

23 pages, 3532 KB  
Review
Aerogel-Based Plasters and Energy Efficiency of Historic Buildings. Literature Review and Guidelines for Manufacturing Specimens Destined for Thermal Tests
by Davide Del Curto and Valentina Cinieri
Sustainability 2020, 12(22), 9457; https://doi.org/10.3390/su12229457 - 13 Nov 2020
Cited by 21 | Viewed by 6791
Abstract
This paper presents a literature review about aerogel-based products for building, focusing on the plasters used within the architectural restoration sector. Aerogel has entered the construction field in the last two decades as a component of many insulation products, due to its high [...] Read more.
This paper presents a literature review about aerogel-based products for building, focusing on the plasters used within the architectural restoration sector. Aerogel has entered the construction field in the last two decades as a component of many insulation products, due to its high thermal performance. Aerogel-based plasters allow the matching of high thermal performance and limited thickness. This makes them suitable when retrofitting an existing building and also when restoring a heritage building. We analyze the results of recent research, focusing on the most commonly used methods for assessing the thermal performances and durability of aerogel-based plasters. As a result of this review, we propose a guideline for manufacturing samples destined for laboratory tests. Full article
(This article belongs to the Special Issue Preventive Conservation and Energy Efficiency of Heritage Buildings)
Show Figures

Figure 1

14 pages, 2150 KB  
Article
Development of Innovative Aerogel Based Plasters: Preliminary Thermal and Acoustic Performance Evaluation
by Cinzia Buratti, Elisa Moretti, Elisa Belloni and Fabrizio Agosti
Sustainability 2014, 6(9), 5839-5852; https://doi.org/10.3390/su6095839 - 1 Sep 2014
Cited by 122 | Viewed by 11385
Abstract
The thermal and acoustic properties of innovative insulating systems used as building coatings were investigated: Granular silica aerogel was mixed with natural plaster in different percentages. This coating solution is transpiring and insulating, thanks to the use of a natural lime coat and [...] Read more.
The thermal and acoustic properties of innovative insulating systems used as building coatings were investigated: Granular silica aerogel was mixed with natural plaster in different percentages. This coating solution is transpiring and insulating, thanks to the use of a natural lime coat and aerogel, a highly porous light material with very low thermal conductivity. The thermal conductivity of the proposed solution was evaluated by means of a Heat Flow meter apparatus (EN ISO 12667), considering different percentages of aerogel. The natural plaster without aerogel has a thermal conductivity of about 0.50 W/m K; considering a percentage of granular aerogel of about 90% in volume, the thermal conductivity of the insulating natural coating falls to 0.050 W/m K. Increasing the percentage of granular aerogel, a value of about 0.018–0.020 W/m K can be reached. The acoustic properties were also evaluated in terms of the acoustic absorption coefficient, measured by means of a Kundt’s Tube (ISO 10534-2). Two samples composed by a plasterboard support, an insulation plaster with aerogel (thicknesses 10 mm and 30 mm respectively) and a final coat were assembled. The results showed that the absorption coefficient strongly depends on the final coat, so the aerogel-based plaster layer moderately influences the final value. The application of this innovative solution can be a useful tool for new buildings, but also for the refurbishment of existing ones. This material is in development: until now, the best value of the thermal conductivity obtained from manufacturers is about 0.015 W/m K. Full article
Show Figures

Figure 1

Back to TopTop