Sign in to use this feature.

Years

Between: -

Subjects

remove_circle_outline
remove_circle_outline
remove_circle_outline
remove_circle_outline
remove_circle_outline
remove_circle_outline
remove_circle_outline
remove_circle_outline
remove_circle_outline

Journals

remove_circle_outline
remove_circle_outline
remove_circle_outline
remove_circle_outline
remove_circle_outline
remove_circle_outline
remove_circle_outline
remove_circle_outline
remove_circle_outline
remove_circle_outline
remove_circle_outline
remove_circle_outline
remove_circle_outline
remove_circle_outline
remove_circle_outline
remove_circle_outline
remove_circle_outline
remove_circle_outline
remove_circle_outline

Article Types

Countries / Regions

remove_circle_outline
remove_circle_outline
remove_circle_outline
remove_circle_outline
remove_circle_outline
remove_circle_outline
remove_circle_outline

Search Results (3,090)

Search Parameters:
Keywords = adaptive robust control

Order results
Result details
Results per page
Select all
Export citation of selected articles as:
37 pages, 2896 KB  
Article
Energy-Efficient Resilience Scheduling for Elevator Group Control via Queueing-Based Planning and Safe Reinforcement Learning
by Tingjie Zhang, Tiantian Zhang, Hao Zou, Chuanjiang Li and Jun Huang
Machines 2026, 14(3), 352; https://doi.org/10.3390/machines14030352 (registering DOI) - 21 Mar 2026
Abstract
High-rise elevator group control systems operate under pronounced nonstationarity during commuting peaks, post-event surges, and capacity degradation, where the waiting time distribution becomes right-tail heavy and stresses service-level agreements (SLAs) defined by coverage and high-quantile targets. At the same time, the time-of-use tariffs [...] Read more.
High-rise elevator group control systems operate under pronounced nonstationarity during commuting peaks, post-event surges, and capacity degradation, where the waiting time distribution becomes right-tail heavy and stresses service-level agreements (SLAs) defined by coverage and high-quantile targets. At the same time, the time-of-use tariffs and carbon constraints sharpen the tension between peak-power control, energy savings, and service capacity. This paper proposes a two-layer resilience scheduling framework that integrates queueing-based planning with safe reinforcement learning (RL) fine-tuning. In the planning layer, parsimonious queueing approximations and scenario-based evaluation construct a finite set of implementable mode cards and emergency switching cards; Sample Average Approximation (SAA) combined with Conditional Value-at-Risk (CVaR) constraints filter candidates to enforce tail-risk-aware service limits while keeping power demand within a prescribed envelope. In the execution layer, online dispatch is formulated as a constrained Markov decision process; within the planning layer limits, action masking and Lagrangian safe RL learn small adaptive adjustments to suppress tail-waiting risk and improve recovery dynamics without increasing peak-power commitments. The experiments under morning peaks and post-event surges confirm tail risk reduction and accelerated recovery. For partial outages, the framework prioritizes SLA coverage and recovery speed, accepting a bounded increase in tail risk as a manageable trade-off. Throughout all tests, peak power remains within the prescribed limits. Improvements persist across random seeds and demand fluctuations, indicating distributional robustness and cross-scenario generalization. Ablation studies further reveal complementary roles: removing the planning layer CVaR screening worsens tail performance, while removing the execution layer action masking increases constraint violations and destabilizes recovery. Full article
Show Figures

Figure 1

36 pages, 1374 KB  
Article
Control Strategies for DC Motor Systems Driving Nonlinear Loads in Mechatronic Applications
by Asma Al-Tamimi, Fadwa Al-Momani, Mohammad Salah, Suleiman Banihani and Ahmad Al-Jarrah
Actuators 2026, 15(3), 175; https://doi.org/10.3390/act15030175 - 20 Mar 2026
Abstract
DC motors are widely used in mechatronic systems; however, their performance degrades significantly in the presence of nonlinear mechanical loads, parameter variations and sensing uncertainties. This paper proposes three control strategies (i.e., PID, optimal, and hybrid controllers) for discrete-time DC motor systems to [...] Read more.
DC motors are widely used in mechatronic systems; however, their performance degrades significantly in the presence of nonlinear mechanical loads, parameter variations and sensing uncertainties. This paper proposes three control strategies (i.e., PID, optimal, and hybrid controllers) for discrete-time DC motor systems to overcome the disturbances caused by nonlinear mechanical loads and parameter variations. Optimal control of nonlinear discrete-time systems is formally characterized by the Hamilton–Jacobi–Bellman (HJB) equation, whose analytical solution is generally intractable. To address this challenge, a learning-based optimal control strategy based on the Heuristic Dynamic Programming (HDP) framework is developed to approximate the HJB equation, supported by a formal convergence proof. For that purpose, Neural Networks (NNs) are employed to approximate both the cost function and the optimal control policy, enabling near-optimal performance with manageable computational complexity. Although the resulting optimal control achieves fast convergence, it may introduce overshoot and steady-state offset under nonlinear disturbances. To address this limitation, a hybrid control framework is proposed, where nonlinear optimal corrections are integrated with the robustness and adaptability of Proportional–Integral–Derivative (PID) control through error-dependent gating and gain-scheduling mechanisms. A structured evaluation framework is conducted, including nominal analysis, motor-parameter stress testing across nine nonlinear scenarios, controller-design sensitivity analysis, and stochastic measurement-noise assessment under filtered sensing conditions. Results demonstrate that the hybrid controller preserves transient speeds within 5–10% of the optimal controller while effectively eliminating overshoot and steady-state offset under nominal conditions. The hybrid design reduces the accumulated tracking error by more than 95% compared to the optimal controller, while incurring only negligible additional control effort. Under aggressive supply-sag disturbances, the hybrid controller significantly limits peak deviation and reduces accumulated tracking error by over 90%, while maintaining comparable control cost. Overall, the hybrid framework provides a convergence-proven and practically deployable control solution that combines near-optimal convergence speed with robust, overshoot-free performance for intelligent motion-control and robotics applications. Full article
(This article belongs to the Section Control Systems)
28 pages, 5094 KB  
Review
Mixed Lymphocyte Reaction: Functional Immune Profiling in Transplantation and Beyond
by Nurtilek Galimov, Aruzhan Asanova, Sholpan Altynova and Aidos Bolatov
Diagnostics 2026, 16(6), 929; https://doi.org/10.3390/diagnostics16060929 - 20 Mar 2026
Abstract
The mixed lymphocyte reaction (MLR) is a classic functional assay that models in vitro interactions between responder T cells and allogeneic antigen-presenting cells (APCs). It quantifies the magnitude and quality of alloreactivity, integrating signals from allorecognition, co-stimulation, inflammatory context, and minor histocompatibility antigens [...] Read more.
The mixed lymphocyte reaction (MLR) is a classic functional assay that models in vitro interactions between responder T cells and allogeneic antigen-presenting cells (APCs). It quantifies the magnitude and quality of alloreactivity, integrating signals from allorecognition, co-stimulation, inflammatory context, and minor histocompatibility antigens that may not be captured by molecular matching alone. This review is narrative in nature and is intended as a practical, non-systematic synthesis of the field. To provide a modern, practice-oriented synthesis of MLR designs, readouts, and translational uses, highlighting how new technologies have expanded MLR from bulk proliferation into multidimensional immune profiling.We summarize why MLR remains valuable as a functional compatibility probe beyond HLA typing, including the high baseline frequency of alloreactive T cells that produces robust signals without priming. We then review key design options (one-way vs. two-way formats; stimulator inactivation; responder definition; APC source and maturation) and how these choices affect interpretation for rejection and graft-versus-host disease risk modeling, tolerance-focused studies, and immunomodulatory screening. Next, we outline major readouts—radiometric and flow cytometric proliferation (dye dilution, Ki-67), cytokine/chemokine profiling, cytotoxicity adaptations, and next-generation add-ons (e.g., scRNA-seq, TCR sequencing)—emphasizing complementary strengths and common pitfalls. Finally, we consolidate practical quality and reproducibility controls (donor variability, dynamic range, timing, batch effects, and acceptance criteria) to improve cross-study comparability and translational readiness. Modern MLR platforms combine controllable allogeneic stimulation with scalable, high-resolution readouts for mechanistic discovery, immune monitoring and translational immune profiling. Standardized modular design and rigorous quality control can improve reproducibility and support broader adoption across transplantation, immunotherapy, and immune-modulation research. Full article
(This article belongs to the Section Pathology and Molecular Diagnostics)
Show Figures

Figure 1

33 pages, 1938 KB  
Article
Smart Industrial Safety in High-Noise Environments Using IoT and AI
by Alessia Bramanti, Luca Catarinucci, Mattia Cotardo, Rosaria Del Sorbo, Claudia Giliberti, Mazhar Jan, Luca Landi, Raffaele Mariconte, Teodoro Montanaro, Federico Paolucci, Luigi Patrono, Davide Rollo, Francesco Antonio Salzano and Ilaria Sergi
Electronics 2026, 15(6), 1311; https://doi.org/10.3390/electronics15061311 - 20 Mar 2026
Abstract
High noise levels in industrial workplaces pose significant challenges to occupational safety, particularly with hearing protection and effective communication. Traditional hearing protection devices, while effectively attenuating harmful noise, often compromise situational awareness by excessively isolating workers from the acoustic environment and preventing the [...] Read more.
High noise levels in industrial workplaces pose significant challenges to occupational safety, particularly with hearing protection and effective communication. Traditional hearing protection devices, while effectively attenuating harmful noise, often compromise situational awareness by excessively isolating workers from the acoustic environment and preventing the perception of critical auditory cues (e.g., emergency alarms), thereby introducing additional safety risks. This paper presents a smart industrial safety system that integrates Internet of Things (IoT) and artificial intelligence (AI) and is based on intelligent hearing protection devices to (a) selectively attenuate hazardous industrial noise while (b) preserving human speech and (c) reproduce targeted audio notifications to workers near malfunctioning or hazardous machinery. A real-time voice activity detection (VAD) model is employed to distinguish vocal components from background noise to adaptively control digital signal processing filters. Furthermore, indoor localization enables the delivery of targeted audio messages to workers in proximity to relevant events. Experimental evaluations on embedded hardware demonstrate that the selected VAD model operates well within real-time constraints and effectively supports dynamic noise filtering. Objective evaluation of the filtering stage using Mean Opinion Score (MOS), signal-to-noise ratio (SNR), and Harmonics-to-Noise Ratio (HNR) shows consistent quality improvements across all tested conditions, with MOS gains up to +118%, SNR increases between +10.4 and +29.0 dB, and HNR improvements up to +6.22 dB, indicating enhanced speech intelligibility and preservation of voice harmonic structure even under high-noise scenarios. Robustness validation of the VAD module across varying acoustic conditions confirms reliable speech detection performance, achieving perfect classification at +10 dB SNR, very high accuracy at 0 dB (98.3%, ROC AUC 0.998), and stable operation even at 7 dB SNR (79.8% accuracy, ROC AUC 0.878). The proposed architecture achieves a balanced trade-off between hearing protection and speech intelligibility while enhancing the effectiveness of safety communications in noisy industrial environments. Full article
21 pages, 5213 KB  
Article
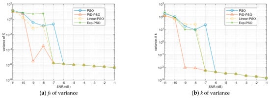
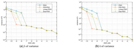
Parameter Estimation of LFM Signals Based on PID-PSO-FRFT
by Xuelian Liu, Tianhang Zhou, Yuchao Wang, Bo Xiao, Yani Chen and Chunyang Wang
Fractal Fract. 2026, 10(3), 202; https://doi.org/10.3390/fractalfract10030202 - 20 Mar 2026
Abstract
The fractional Fourier transform (FRFT) serves as an effective tool for linear frequency modulated (LFM) signal parameter estimation, whose performance depends on the search efficiency for the optimal transform order. To address the issues of fixed inertia weight in the standard particle swarm [...] Read more.
The fractional Fourier transform (FRFT) serves as an effective tool for linear frequency modulated (LFM) signal parameter estimation, whose performance depends on the search efficiency for the optimal transform order. To address the issues of fixed inertia weight in the standard particle swarm optimization (PSO) algorithm, which tends to fall into local optima and suffers from insufficient convergence accuracy, this paper introduces a proportional-integral-derivative (PID) control strategy and proposes a PID-PSO-FRFT-based LFM signal parameter estimation method. This approach introduces a PID controller, which takes the deviation between the particle’s current position and the global best position as input and dynamically adjusts the inertia weight through proportional, integral, and derivative regulation, thereby achieving an adaptive balance between global exploration and local exploitation capabilities of the particles. Simulation results demonstrate that, compared with the basic PSO-FRFT algorithm, the proposed method significantly improves the estimation accuracy of the center frequency and chirp rate of LFM signals under SNR conditions ranging from −9 dB to −7 dB, while considerably reducing computation time, exhibiting superior noise resistance, and exhibiting superior robustness. Full article
Show Figures

Figure 1

17 pages, 313 KB  
Review
Organizational Principles of Biological Systems
by Roberto Carlos Navarro-Quiroz, Kelvin Navarro Quiroz, Victor Navarro Quiroz, Antonio Gabucio, Ricardo Fernández-Cisnal, Noelia Geribaldi-Doldán, Cecilia Fernandez-Ponce, Ismael Sánchez Gomar, Yesit Bello Lemus, Eloina Zárate Peñata, Lisandro A. Pacheco-Lugo, Leonardo C. Londoño-Pacheco, Martha Rebolledo Cobos, Antonio Acosta Hoyos, Diana Pava Garzon, José Luis Villarreal Camacho and Elkin Navarro Quiroz
Biology 2026, 15(6), 500; https://doi.org/10.3390/biology15060500 - 20 Mar 2026
Abstract
How does the complex, adaptive, and autonomous organization of life emerge from the laws of physics and information? This review argues that the answer lies in a convergent set of universal organizational principles that constitute a physical and informational grammar of the living. [...] Read more.
How does the complex, adaptive, and autonomous organization of life emerge from the laws of physics and information? This review argues that the answer lies in a convergent set of universal organizational principles that constitute a physical and informational grammar of the living. Living systems are dissipative structures that achieve organizational closure—materially and energetically open, yet causally closed—thereby attaining genuine autonomy and agency. Their architecture exhibits fractal and modular scaling laws that maximize energy flow, robustness, and evolvability under universal physical constraints. Critically, organisms operate at critical transitions—zones of controlled instability where fluctuations amplify information processing, transforming noise into adaptive signal. This self-organized criticality enables functional degeneracy, relational redundancy, and evolutionary antifragility. Cognition emerges as a distributed process of active inference, operating through a predictive–corrective cycle that integrates perception, action, and learning under the Free Energy Principle. From molecular networks to ecosystems, the same physico-informational grammars unfold recursively, revealing a deep organizational holography: the principles of organization are replicated across scales. Evolution under the Law of Increasing Functional Information is not random drift, but a directional expansion of functional complexity—a thermodynamic gradient towards greater agency. This synthesis challenges biological exceptionalism: the trajectory from thermodynamics to cognition is continuous, physically constrained, and potentially inevitable. Life does not violate physical laws—it fulfills them in regimes of high informational complexity, instantiating fundamental principles in self-organized architectures capable of prediction, memory, and purpose. The objective of this work is to articulate how the synthesis of these principles not only unifies physics and biology, but also illuminates the profound continuity between thermodynamics, chemistry, informational constraints, organization, and the mind. Full article
(This article belongs to the Section Theoretical Biology and Biomathematics)
Show Figures

Graphical abstract

39 pages, 2845 KB  
Article
Cascaded Neural Network-Based Power Control for Enhanced Performance of Doubly Fed Induction Generator-Based Wind Energy Conversion Systems
by Habib Benbouhenni and Nicu Bizon
Sustainability 2026, 18(6), 3062; https://doi.org/10.3390/su18063062 - 20 Mar 2026
Abstract
The increasing penetration of wind energy is a key enabler of the global transition toward low-carbon and sustainable power systems. However, ensuring high efficiency, power quality, and operational reliability under variable wind and grid conditions remains a critical challenge for doubly fed induction [...] Read more.
The increasing penetration of wind energy is a key enabler of the global transition toward low-carbon and sustainable power systems. However, ensuring high efficiency, power quality, and operational reliability under variable wind and grid conditions remains a critical challenge for doubly fed induction generator (DFIG)-based wind energy conversion systems. Conventional direct power control (DPC) strategies based on proportional–integral (PI) regulators are simple and widely implemented, yet their performance degrades in the presence of nonlinear system dynamics, parameter uncertainties, and rapid wind speed fluctuations—factors that directly affect energy yield, component lifetime, and grid stability. To enhance the sustainability and resilience of wind power generation, this study proposes a cascaded neural network-based control architecture for DFIG-driven systems. The outer neural control loop regulates active and reactive power references to optimize energy capture and support grid requirements, while the inner neural loop ensures fast and precise tracking by generating appropriate control signals for the rotor-side converter. Leveraging their adaptive learning capability, the neural controllers effectively model nonlinear dynamics and compensate for uncertainties in real time. Compared with the conventional DPC-PI scheme, the proposed approach achieves improved dynamic response, reduced power and electromagnetic torque ripples, enhanced disturbance rejection, and greater robustness under varying wind and grid conditions. These improvements contribute to sustainable energy production by increasing conversion efficiency, reducing mechanical stress, minimizing maintenance requirements, and extending turbine service life. Furthermore, improved reactive power control enhances grid integration and supports stable operation in renewable-dominated power systems. Simulation results validate the superior performance of the cascaded intelligent control strategy. The findings demonstrate that advanced adaptive control techniques can play a significant role in strengthening the reliability, efficiency, and long-term sustainability of wind energy systems, thereby supporting global decarbonization goals and the broader transition to sustainable energy infrastructures. Future work will focus on real-time implementation, stability assessment, and experimental validation to facilitate practical deployment. Full article
(This article belongs to the Topic Advances in Power Science and Technology, 2nd Edition)
Show Figures

Figure 1

42 pages, 1779 KB  
Article
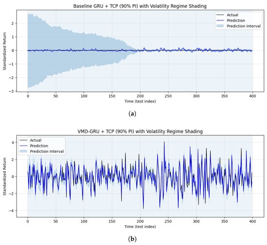
Uncertainty-First Forecasting of the South African Equity Market Using Deep Learning and Temporal Conformal Prediction
by Phumudzo Lloyd Seabe, Claude Rodrigue Bambe Moutsinga and Maggie Aphane
Big Data Cogn. Comput. 2026, 10(3), 93; https://doi.org/10.3390/bdcc10030093 - 20 Mar 2026
Abstract
Accurate forecasting of equity returns remains fundamentally constrained by weak short-horizon predictability, pronounced noise, and structural non-stationarity. While deep learning models have been widely applied to financial time series, most studies prioritize point prediction and provide limited guidance on reliable uncertainty quantification, particularly [...] Read more.
Accurate forecasting of equity returns remains fundamentally constrained by weak short-horizon predictability, pronounced noise, and structural non-stationarity. While deep learning models have been widely applied to financial time series, most studies prioritize point prediction and provide limited guidance on reliable uncertainty quantification, particularly in emerging markets. This study developed an uncertainty-aware forecasting framework for the South African equity market by integrating variational mode decomposition (VMD), gated recurrent units (GRUs), and temporal conformal prediction (TCP) to construct distribution-free prediction intervals with finite-sample coverage guarantees. Using daily returns from the FTSE/JSE All Share Index, we first confirmed that baseline recurrent models applied directly to raw returns exhibited negligible out-of-sample explanatory power, consistent with weak-form market efficiency. Incorporating VMD enhanced representation learning and improved point forecast accuracy by isolating latent frequency components. However, model-based predictive variance alone proved insufficient for reliable calibration. Embedding the models within a rolling conformal prediction framework restored near-nominal coverage across multiple confidence levels while allowing interval widths to adapt dynamically to changing volatility regimes. Robustness analyses, including walk-forward validation, stress-regime evaluation, and block permutation negative control experiments, indicated that the observed performance was not driven by temporal leakage or alignment artifacts. The results further highlight a trade-off between interval sharpness and tail-risk protection, particularly during extreme market events. Overall, the findings support a shift from return-level prediction toward calibrated uncertainty estimation as a more stable and economically meaningful objective in non-stationary financial environments. Full article
Show Figures

Figure 1

25 pages, 6913 KB  
Article
A Seamless Transition Control Strategy Based on Adaptive Fusion Between Grid-Following and Grid-Forming Inverters for Wide-Ranging Grid-Strength Fluctuations
by Zhiwei Liao, Qiyun Hu, Zesheng Huang, Jun Ge, Duotong Yang and Xiyuan Ma
Electronics 2026, 15(6), 1298; https://doi.org/10.3390/electronics15061298 - 20 Mar 2026
Abstract
To tackle the degraded stability and non-smooth mode transitions under wide-range grid-strength variations with high renewable penetration, an adaptive fusion and disturbance-free switching control strategy is proposed, where parameter stability regions are analyzed using the D-partition method, thereby improving robustness over single-mode grid-following/grid-forming [...] Read more.
To tackle the degraded stability and non-smooth mode transitions under wide-range grid-strength variations with high renewable penetration, an adaptive fusion and disturbance-free switching control strategy is proposed, where parameter stability regions are analyzed using the D-partition method, thereby improving robustness over single-mode grid-following/grid-forming operation and reducing transients from conventional switching. First, a unified frequency-domain characteristic equation that incorporates the fusion weight is derived based on the sequence-impedance stability criterion, providing a consistent theoretical basis for stability modeling and assessment across operating conditions. Next, under wide-range grid-strength conditions, the controller-parameter stability region is computed subject to multiple constraints, including phase margin, gain margin, and short-circuit ratio, and the resulting robust feasible set is geometrically characterized on the parameter plane. Furthermore, to suppress transient disturbances induced by variations of the fusion weight with grid strength near the switching threshold, a D-zone-based multi-partition, stage-by-stage smoothing adaptive fusion strategy is developed. A nonlinear weight mapping yields a continuous transition trajectory, enabling seamless, disturbance-free transitions from weak to strong grids. Finally, simulation and experimental results quantitatively validate the superiority of the proposed method. Under severe weak-grid conditions with a short-circuit ratio of 1, the fusion strategy enlarges the parameter-stability feasible region by approximately 11.5% compared to single-mode operations. Moreover, the proposed D-zone strategy achieves a peak fusion advantage ratio of 43.11%, ensuring robust and disturbance-free switching across a wide range of grid-strength scenarios where the short-circuit ratio varies from 1 to 30. Full article
(This article belongs to the Section Power Electronics)
Show Figures

Figure 1

28 pages, 4748 KB  
Article
ProMix-DGNet: A Process-Aware Spatiotemporal Network for Sintering System Prediction
by Zhili Zhang, Yuxin Wan, Liya Wang and Jie Li
Sensors 2026, 26(6), 1953; https://doi.org/10.3390/s26061953 - 20 Mar 2026
Abstract
Multistep-ahead prediction of critical states in the iron ore sintering process is essential for maintaining production stability, enhancing energy efficiency, and reducing industrial emissions. However, large time delays, strong coupling, and condition drifts challenge existing spatiotemporal graph neural networks (STGNNs). This paper proposes [...] Read more.
Multistep-ahead prediction of critical states in the iron ore sintering process is essential for maintaining production stability, enhancing energy efficiency, and reducing industrial emissions. However, large time delays, strong coupling, and condition drifts challenge existing spatiotemporal graph neural networks (STGNNs). This paper proposes Process-aware Mixed Dynamic Graph Network (ProMix-DGNet), which integrates a Decoupled Two-Stream Topology Learning mechanism—fusing Adaptive Static Graph with a Radial Basis Function (RBF)-driven Dynamic Graph Constructor—to ensure robust spatial modeling under high-noise conditions. Furthermore, Process-View Global Mixer explicitly captures long-range process coupling across the entire sintering strand, overcoming the receptive field limitations of traditional graph convolutions. In the decoding phase, a future control-informed module utilizes a bidirectional Long Short-Term Memory (BiLSTM) and a global mixer to align known future control setpoints with the system’s spatial topology. These features are integrated via a gated residual mechanism that dynamically modulates the interaction between control intents and historical representations. Extensive experiments conducted on two real-world industrial datasets, Sinter-A and Sinter-B, demonstrate that ProMix-DGNet consistently outperforms mainstream baselines across multiple metrics, including Mean Absolute Error (MAE) and Root Mean Square Error (RMSE). The results verify the model’s higher accuracy and robustness in complex large-time-delay systems, offering a reliable framework for the intelligent monitoring and closed-loop optimization of sintering process. Full article
Show Figures

Figure 1

16 pages, 278 KB  
Article
Feasibility and Preliminary Outcomes of Web-Based Cognitive Remediation Therapy in Psychiatric Inpatients: A Pilot Pre-Post Study Using the MATRICS Consensus Cognitive Battery
by Brent Nixon, Anne Pleydon, Nicholas Deptuch, Fiyin Peluola, Patrick Emeka Okonji, Cameron Bye, Kingsley Nwachukwu, Winifred Okoko and Mansfield Mela
J. Mind Med. Sci. 2026, 13(1), 7; https://doi.org/10.3390/jmms13010007 - 20 Mar 2026
Abstract
Cognitive impairments are a core feature of psychotic disorders and are strongly associated with long-term functional disability. Although Cognitive Remediation Therapy (CRT) is an evidence-based intervention for improving cognition in psychosis, its feasibility and preliminary effects in acute inpatient settings—particularly using web-based platforms—remain [...] Read more.
Cognitive impairments are a core feature of psychotic disorders and are strongly associated with long-term functional disability. Although Cognitive Remediation Therapy (CRT) is an evidence-based intervention for improving cognition in psychosis, its feasibility and preliminary effects in acute inpatient settings—particularly using web-based platforms—remain underexplored. This single-arm, pre–post pilot study evaluated the feasibility of delivering a web-based CRT program and examined preliminary cognitive outcomes in a secure psychiatric inpatient facility. Thirteen inpatients with psychotic and non-psychotic diagnoses completed a 15-week intervention comprising twice-weekly sessions that included adaptive computerized CRT exercises (Happy Neuron Pro) and therapist-led bridging discussions focused on metacognitive reflection and functional application. Cognitive performance was assessed pre- and post-intervention using the MATRICS Consensus Cognitive Battery. All participants completed the study with no withdrawals or adverse events, attending a mean of 27.77 of 30 sessions (93.0%). Pre–post improvements were observed in processing speed, verbal learning, and overall composite cognition, with large within-sample effect sizes that remained robust in sensitivity analyses. Exploratory analyses suggested potential associations between sex, history of self-harm, and cognitive change, though these findings require cautious interpretation. Findings support the feasibility of inpatient web-based CRT and provide preliminary cognitive effect-size estimates. Given the single-arm design and absence of systematic medication monitoring, results should be interpreted as exploratory signals warranting controlled validation. Overall, findings support the feasibility of inpatient web-based CRT and provide preliminary signals of cognitive benefit, warranting evaluation in larger controlled studies. Full article
35 pages, 11244 KB  
Article
Cloud-Model-Based Evaluation of Reference Evapotranspiration Variability for Reference Crops Within the Xizang Plateau’s Agricultural Regions
by Qiang Meng, Jingxia Liu, Peng Chen, Junzeng Xu, Qiang He, Yangzong Cidan, Yun Su, Yuanzhi Zhang and Lijiang Huang
Water 2026, 18(6), 730; https://doi.org/10.3390/w18060730 - 19 Mar 2026
Abstract
Against the backdrop of ongoing climate change, the Qinghai–Tibet Plateau, a region highly sensitive to climatic variation, exhibits intricate spatiotemporal patterns in reference crop evapotranspiration (ETO), with significant implications for regional water-resource planning. This study selected four agro-climatic zones across the [...] Read more.
Against the backdrop of ongoing climate change, the Qinghai–Tibet Plateau, a region highly sensitive to climatic variation, exhibits intricate spatiotemporal patterns in reference crop evapotranspiration (ETO), with significant implications for regional water-resource planning. This study selected four agro-climatic zones across the plateau region (TSA, TSH, TAZ, and WCH). Long-term daily observations from 28 meteorological stations were used to estimate ETO via the FAO 56 Penman–Monteith equation. This extensive dataset enabled robust trend analysis using the Mann–Kendall test, alongside a cloud-model framework, and analyses of sensitivity and contributions to evaluate ETO’s spatiotemporal evolution, its distributional uncertainty, and the underlying drivers. Results reveal pronounced regional heterogeneity in the interannual variability of ETO. Annual ETO declined in TSH and TSA (trend rates of −1.12 and −6.58 mm·10a−1, respectively) and increased in TAZ and WCH (15.76 and 10.74 mm·10a−1, respectively). At monthly and seasonal timescales, ETO exhibited an unimodal pattern, with the greatest stability in winter and spring and lower stability in summer and autumn. The cloud-model parameter He indicates that ETO stability is greatest in TSH and weakest in WCH, with He values of 7.15 and 12.29 mm, respectively. Contribution-rate analyses identify Tmax and Tmean as the principal determinants of rising ETO across all study zones, reflecting the largest individual contributions. Temperature-related factors together account for the majority of ETO variability across the regions, with their absolute contributions ranging from 5.61% to 8.63%, well above those of aerodynamic factors (0.62–1.78%). Stability assessments indicate that ETO is generally more unstable than its meteorological drivers, with substantial regional disparities, implying that ETO evolution cannot be explained by a single controlling factor. Overall, the study characterizes the uncertainty in ETO variations under complex terrain, highlights the value of the cloud model for refined hydrological assessments, and provides a scientific basis for adaptive agricultural water-resource management in the region. Full article
(This article belongs to the Section Water, Agriculture and Aquaculture)
Show Figures

Figure 1

20 pages, 933 KB  
Review
Robotic Welding Technologies for Intersecting and Irregular Pipes and Pipe Joints Toward Automated Production Line Integration: A Review
by Hrvoje Cajner, Patrik Vlašić, Viktor Ložar, Matija Golec and Maja Trstenjak
Appl. Sci. 2026, 16(6), 2974; https://doi.org/10.3390/app16062974 - 19 Mar 2026
Abstract
Robotic pipe welding represents a key and rapidly evolving technology for the automation of pipe and pipe-joint welding processes with standard, intersecting, and complex geometries. This review analyses 84 studies published over the past three decades, categorising them into four primary research areas: [...] Read more.
Robotic pipe welding represents a key and rapidly evolving technology for the automation of pipe and pipe-joint welding processes with standard, intersecting, and complex geometries. This review analyses 84 studies published over the past three decades, categorising them into four primary research areas: general pipe welding, intersecting pipes, boiler and tube-to-tubesheet welding, and control and modelling. Two separate comparative analyses were conducted: one within intersecting pipe research and another within the control and modelling category. The aggregated findings reveal consistent, complementary patterns: simulation and laboratory experiments clearly dominate validation methods, while industrial-scale evaluations remain scarce. The results further demonstrate that control strategies, sensor integration, and validation levels are strongly interconnected, collectively determining system performance, reliability, and practical applicability. Despite significant progress, challenges remain, including system integration complexity, limited robustness in variable industrial environments, insufficient real-time adaptive control, and inconsistent quantitative performance evaluation. Further research should prioritise the development of digital twins, human–robot collaboration, multi-sensor fusion, reinforcement learning-based adaptive control, and scalable industrial deployment. This review provides an overview of current progress and outlines key directions for developing intelligent and reliable robotic pipe welding systems. Full article
(This article belongs to the Section Mechanical Engineering)
62 pages, 13996 KB  
Article
Teaching and Research Optimization Algorithms Based on Social Networks for Global Optimization and Real Problems
by Xinyi Huang, Guangyuan Jin and Yi Fang
Symmetry 2026, 18(3), 529; https://doi.org/10.3390/sym18030529 - 19 Mar 2026
Abstract
The modeling and control of photovoltaic and other engineering systems highly depend on the accuracy of parameter identification. However, parameter extraction for photovoltaic equivalent models typically presents a high-dimensional, strongly nonlinear, and multimodal global optimization problem. Traditional analytical or gradient-based methods are sensitive [...] Read more.
The modeling and control of photovoltaic and other engineering systems highly depend on the accuracy of parameter identification. However, parameter extraction for photovoltaic equivalent models typically presents a high-dimensional, strongly nonlinear, and multimodal global optimization problem. Traditional analytical or gradient-based methods are sensitive to initial values and easily fall into local optima. To address this issue, this paper proposes a multi-strategy improvement teaching–learning-based optimization algorithm (SNTLBO). A social learning network structure with symmetric interaction topology is introduced into the classical TLBO framework to characterize the knowledge propagation relationships among individuals. Through this symmetric and balanced information exchange mechanism, learners can be guided not only by the teacher but also by multiple neighbors within the network, enabling more diverse and symmetric exploration of the search space and enhancing population diversity and global search capability. Furthermore, a teacher reputation mechanism is constructed, where historical performance is used to weight teacher influence, strengthening the guidance of high-quality solutions and accelerating convergence. Meanwhile, an adaptive teaching factor is designed to dynamically adjust the teaching intensity based on the distance between the teacher and students in the solution space, maintaining a dynamic balance (symmetry) between exploration and exploitation. To evaluate the performance of the proposed algorithm, SNTLBO is systematically compared with 11 advanced optimization algorithms on two benchmark test suites, CEC2017 (30D, 50D) and CEC2022 (10D, 20D). Non-parametric statistical tests are conducted to assess significance. The results demonstrate that SNTLBO shows competitive advantages in terms of convergence speed, solution accuracy, and stability. Finally, SNTLBO is applied to the parameter estimation of single-diode, double-diode, triple-diode, quadruple-diode, and photovoltaic module models. Experimental results show that the proposed algorithm achieves higher identification accuracy and robustness in terms of RMSE, IAE, and I–V/P–V curve fitting, verifying its effectiveness and practical value for complex global optimization and practical engineering applications. Full article
(This article belongs to the Special Issue Symmetry and Asymmetry in Optimization Algorithms and System Control)
Show Figures

Figure 1

33 pages, 6110 KB  
Article
Bridging Probabilistic Inference and Behavior Trees: An Interactive Method for Adaptive Collaborative Behavior Decision-Making of Multi-UAVs
by Chaoran Wang, Jingyuan Sun, Yanhui Zhang and Changju Wu
Drones 2026, 10(3), 216; https://doi.org/10.3390/drones10030216 - 19 Mar 2026
Abstract
This paper presents an interactive inference behavior tree (IIBT) framework, integrating behavior trees (BTs) with interactive inference based on the free energy principle for distributed decision-making in multi-UAV (unmanned aerial vehicle) systems. The proposed IIBT framework enhances conventional BTs by incorporating probabilistic inference, [...] Read more.
This paper presents an interactive inference behavior tree (IIBT) framework, integrating behavior trees (BTs) with interactive inference based on the free energy principle for distributed decision-making in multi-UAV (unmanned aerial vehicle) systems. The proposed IIBT framework enhances conventional BTs by incorporating probabilistic inference, enabling online joint planning and execution among multiple UAVs. The framework maintains full compatibility with standard BT architectures, allowing seamless integration into existing UAV control systems. In this framework, cooperative behavior is modeled as a free-energy minimization process, where each UAV dynamically updates its preference matrix based on perceptual inputs and peer intentions, achieving adaptive coordination in dynamic and partially observable environments. The validation tasks, including cooperative navigation in uncertain environments and task coordination, directly mirror the decision-making and coordination challenges faced in UAV missions. Experimental results demonstrate that the IIBT framework achieves a reduction of over 70% in BT node complexity while maintaining robust, interpretable, and adaptive cooperative behavior in uncertain environments. Full article
Show Figures

Figure 1

Back to TopTop