Sign in to use this feature.

Years

Between: -

Subjects

remove_circle_outline
remove_circle_outline
remove_circle_outline
remove_circle_outline
remove_circle_outline

Journals

Article Types

Countries / Regions

Search Results (18)

Search Parameters:
Keywords = absorption and geometric diffusion

Order results
Result details
Results per page
Select all
Export citation of selected articles as:
30 pages, 4237 KB  
Article
On the “Bi-Phase” of Fluorescence to Scattering with Single-Fiber Illumination and Detection: A Quasi-Analytical Photon-Transport Approach Operated with Center-Illuminated Area Detection
by Daqing Piao
Photonics 2025, 12(9), 904; https://doi.org/10.3390/photonics12090904 - 9 Sep 2025
Viewed by 435
Abstract
Bi-phasic (with a local minimum) response of fluorescence to scattering when probed by a single fiber (SF) was first observed in 2003. Subsequent experiments and Monte Carlo studies have shown the bi-phasic turning of SF fluorescence to occur at a dimensionless reduced scattering [...] Read more.
Bi-phasic (with a local minimum) response of fluorescence to scattering when probed by a single fiber (SF) was first observed in 2003. Subsequent experiments and Monte Carlo studies have shown the bi-phasic turning of SF fluorescence to occur at a dimensionless reduced scattering of ~1 and vary with absorption. The bi-phase of SF fluorescence received semi-empirical explanations; however, better understandings of the bi-phase and its dependence on absorption are necessary. This work demonstrates a quasi-analytical projection of a bi-phasic pattern comparable to that of SF fluorescence via photon-transport analyses of fluorescence in a center-illuminated-area-detection (CIAD) geometry. This model-approach is principled upon scaling of the diffuse fluorescence between CIAD and a SF of the same size of collection, which expands the scaling of diffuse reflectance between CIAD and a SF discovered for steady-state and time-domain cases. Analytical fluorescence for CIAD is then developed via radial-integration of radially resolved fluorescence. The radiance of excitation is decomposed to surface, collimated, and diffusive portions to account for the surface, near the point-of-entry, and diffuse portion of fluorescence associated with a centered illumination. Radiative or diffuse transport methods are then used to quasi-analytically deduce fluorescence excited by the three portions of radiance. The resulting model of fluorescence for CIAD, while limiting to iso-transport properties at the excitation and emission wavelengths, is compared against the semi-empirical model for SF, revealing bi-phasic turning [0.5~2.6] at various geometric sizes [0.2, 0.4, 0.6, 0.8, 1.0 mm] and a change of three orders of magnitude in the absorption of the background medium. This model projects a strong reduction in fluorescence versus strong absorption at high scattering, which differs from the semi-empirical SF model’s projection of a saturating pattern unresponsive to further increases in the absorption. This framework of modeling fluorescence may be useful to project frequency-domain and lifetime pattens of fluorescence in an SF and CIAD. Full article
(This article belongs to the Section Biophotonics and Biomedical Optics)
Show Figures

Figure 1

23 pages, 3781 KB  
Article
Influence of Uncertainties in Optode Positions on Self-Calibrating or Dual-Slope Diffuse Optical Measurements
by Giles Blaney, Angelo Sassaroli, Tapan Das and Sergio Fantini
Photonics 2025, 12(7), 697; https://doi.org/10.3390/photonics12070697 - 10 Jul 2025
Viewed by 322
Abstract
Self-calibrating and dual-slope measurements have been used in the field of diffuse optics for robust assessment of absolute values or temporal changes in the optical properties of highly scattering media and biological tissue. These measurements employ optical probes with a minimum of two [...] Read more.
Self-calibrating and dual-slope measurements have been used in the field of diffuse optics for robust assessment of absolute values or temporal changes in the optical properties of highly scattering media and biological tissue. These measurements employ optical probes with a minimum of two source positions and a minimum of two detector positions. This work focuses on a quantitative analysis of the impact of errors in these source and detector positions on the assessment of optical properties. We considered linear, trapezoidal, and rectangular optode arrangements and theoretical computations based on diffusion theory for semi-infinite homogeneous media. We found that uncertainties in optodes’ positions may have a greater impact on measurements of absolute scattering versus absorption coefficients. For example, a 4.1% and 19% average error in absolute absorption and scattering, respectively, can be expected by displacing every optode in a linear arrangement by 1 mm in any direction. The impact of optode position errors is typically smaller for measurements of absorption changes. In each geometrical arrangement (linear, trapezoid, rectangular), we identify the direction of the position uncertainty for each optode that has minimal impact on the optical measurements. These results can guide the optimal design of optical probes for self-calibrating and dual-slope measurements. Full article
(This article belongs to the Special Issue Photonics: 10th Anniversary)
Show Figures

Figure 1

19 pages, 9714 KB  
Article
Study on Shear Wave Attenuation Laws in Granular Sediments Based on Bender Element Test Simulations
by Jingyu Tan, Yong Wang, Xuewen Lei and Jingqiang Miao
J. Mar. Sci. Eng. 2025, 13(6), 1132; https://doi.org/10.3390/jmse13061132 - 5 Jun 2025
Viewed by 710
Abstract
The propagation characteristics of shear waves in granular sediments are usually used to assess the dynamic response and liquefaction potential of marine engineering foundations. However, the mesoscopic processes by which the excitation frequency influences the shear wave propagation and attenuation remain unclear. In [...] Read more.
The propagation characteristics of shear waves in granular sediments are usually used to assess the dynamic response and liquefaction potential of marine engineering foundations. However, the mesoscopic processes by which the excitation frequency influences the shear wave propagation and attenuation remain unclear. In this study, based on a triaxial bender element (BE) test model, the shear wave behavior in uniform spherical particles was simulated by the discrete element method (DEM). It revealed that the BE excites shear waves in a point source manner and that the propagation processes within a triaxial unit cell assembly follow exponential attenuation patterns. Near the vibration source (10–100 kHz), the attenuation law of spherical wave propagation is dominated by friction slip and geometric diffusion in particles. At 0.7–3.5 wavelengths, the shear waves progressively transition to plane waves, and the attenuation law is governed by boundary absorption and viscous damping. At 2.9–10 wavelengths, near-field effects diminish, and planar wave propagation stabilizes. Higher excitation frequencies enhance friction slip, boundary absorption, and viscous damping, leading to frequency-dependent attenuation. The granular system exhibits segmented filtering, with cutoff frequencies dependent on the receiver location but independent of the excitation frequency. Full article
(This article belongs to the Section Ocean Engineering)
Show Figures

Figure 1

29 pages, 1763 KB  
Article
Dynamic Frequency Optimization for Underwater Acoustic Energy Transmission: Balancing Absorption and Geometric Diffusion in Marine Environments
by Zhongzheng Liu, Tao Zhang, Yuhang Li, Yazhen Yuan, Nahid Mahmud and Yanzhang Geng
J. Mar. Sci. Eng. 2025, 13(6), 1089; https://doi.org/10.3390/jmse13061089 - 29 May 2025
Cited by 1 | Viewed by 1491
Abstract
The transmission efficiency of underwater acoustic is doubly constrained by absorption attenuation and geometric spreading losses, with the relative interaction between these loss mechanisms exhibiting complex dynamic variations across the frequency spectrum. Achieving dynamic equilibrium between these frequency-dependent loss mechanisms is key to [...] Read more.
The transmission efficiency of underwater acoustic is doubly constrained by absorption attenuation and geometric spreading losses, with the relative interaction between these loss mechanisms exhibiting complex dynamic variations across the frequency spectrum. Achieving dynamic equilibrium between these frequency-dependent loss mechanisms is key to enhancing acoustic energy transmission performance. To address this, this paper proposes a multi-variable coupled acoustic energy transmission model that systematically integrates the cumulative effects of the propagation distance, the geometric configuration of acoustic source arrays, and the interactive influences of critical environmental factors such as the salinity, temperature, and depth to comprehensively analyze the synergistic mechanisms of absorption loss and geometric spreading loss in practical underwater environments. Based on dynamic response analysis in the frequency dimension, the model identifies and determines the optimal working frequency ranges (i.e., dynamic equilibrium points) for maximizing the efficiency of energy transmission under various propagation conditions and environmental configurations. Both theoretical derivations and numerical simulations consistently reveal a frequency band within the low-to-mid frequency range (approximately 20–100 kHz) which is associated with significantly enhanced transmission efficiency under specific parameter settings. These research findings provide a scientific basis and engineering guidance for frequency selection and the structural optimization of underwater acoustic energy systems, offering substantial theoretical value and application prospects that can strongly support the development of acoustic technologies in ocean engineering, resource exploration, and national defense security. Full article
(This article belongs to the Section Marine Energy)
Show Figures

Figure 1

30 pages, 8417 KB  
Article
Toward a Blood Sensor for an IoT Monitoring: A New Approach for the Design and Implementation of Blood Light Absorption Systems Based on the Finite Element Method and the Diffusion Equation
by Mouna Dhmiri, Yassine Manai and Tahar Ezzedine
Math. Comput. Appl. 2025, 30(2), 33; https://doi.org/10.3390/mca30020033 - 24 Mar 2025
Viewed by 955
Abstract
Non-invasive blood analysis has the power to completely change how doctors identify and track illnesses. This study presents a novel approach for the non-invasive monitoring of red blood cell (RBC) mobility and concentration within capillaries, using photon absorption as a key diagnostic tool. [...] Read more.
Non-invasive blood analysis has the power to completely change how doctors identify and track illnesses. This study presents a novel approach for the non-invasive monitoring of red blood cell (RBC) mobility and concentration within capillaries, using photon absorption as a key diagnostic tool. The research combines optical modeling with the diffusion equation for light propagation, leveraging COMSOL simulations to create a comprehensive framework for understanding RBC dynamics. A two-dimensional geometric model of capillaries with RBCs is developed, where blood flow is modeled as a laminar, incompressible fluid. The Arbitrary Lagrangian–Eulerian (ALE) formulation is employed to account for the fluid–structure interactions, while photon attenuation by the RBCs is analyzed to investigate wavelength-dependent absorption characteristics. The methodology is implemented through a workflow developed with MATLAB’s S-Function builder, consisting of three main components: mesh generation, fluence computing, and Software-in-the-Loop (SIL) verification. The mesh generation process adapts to the target architecture using COMSOL Multiphysics for fluid–structure interaction (FSI) modeling. The fluence computing function solves the diffusion equation to model light intensity attenuation due to RBCs, and the SIL function compares computed results with real-time measurements, ensuring accuracy for potential real-time embedded system applications. The results demonstrate significant wavelength-dependent variations in photon absorption by RBCs, providing insights into the optical behavior of blood in microvascular structures. The findings have important implications for medical imaging, photodynamic therapy, and diagnostic tools, emphasizing the potential of integrating computational models with real-time systems for enhanced performance in biomedical applications. Full article
(This article belongs to the Topic Numerical Methods for Partial Differential Equations)
Show Figures

Figure 1

15 pages, 3338 KB  
Article
One-Pot Strategies for Lithium Recovery from Beta-Spodumene and LTA-Type Zeolite Synthesis
by Leonardo Leandro dos Santos, Rubens Maribondo do Nascimento and Sibele Berenice Castellã Pergher
Crystals 2025, 15(2), 161; https://doi.org/10.3390/cryst15020161 - 8 Feb 2025
Viewed by 1160
Abstract
This study presents a groundbreaking method for extracting lithium from beta-spodumene while simultaneously achieving the sustainable synthesis of LTA-type zeolite, designated as LPM-15, without relying on organic solvents or calcination. Lithium extraction was efficiently performed using sodium salts, accompanied by the recycling of [...] Read more.
This study presents a groundbreaking method for extracting lithium from beta-spodumene while simultaneously achieving the sustainable synthesis of LTA-type zeolite, designated as LPM-15, without relying on organic solvents or calcination. Lithium extraction was efficiently performed using sodium salts, accompanied by the recycling of the mother liquor, with lithium content in the supernatant precisely quantified via atomic absorption spectroscopy (AAS). The optimized synthesis route enables the concurrent production of Li2CO3 and LPM-15, distinguished by a powdered appearance without a well-defined geometric framework and a unique cubic morphology with spherical facets, respectively. To gain deeper insights into the process, density functional theory (DFT) simulations were conducted to analyze how different cation exchanges (Na+ replacing Al3+, NH4+ replacing Al3+, and Ca2+ replacing Al3+) influence the structural stability and diffusion dynamics within the zeolitic pores of LPM-15. Additionally, cation-exchange capacity (CEC) measurements further assessed ion mobility within the LPM-15 framework. This integrative approach not only sheds light on the fundamental mechanisms underpinning LTA-type zeolite synthesis but also demonstrates their versatile applications, with particular emphasis on water purification technologies. Full article
(This article belongs to the Section Inorganic Crystalline Materials)
Show Figures

Graphical abstract

16 pages, 8481 KB  
Article
Generic and Model-Based Calibration Method for Spatial Frequency Domain Imaging with Parameterized Frequency and Intensity Correction
by Stefan A. Lohner, Steffen Nothelfer and Alwin Kienle
Sensors 2023, 23(18), 7888; https://doi.org/10.3390/s23187888 - 14 Sep 2023
Cited by 2 | Viewed by 2406
Abstract
Spatial frequency domain imaging (SFDI) is well established in biology and medicine for non-contact, wide-field imaging of optical properties and 3D topography. Especially for turbid media with displaced, tilted or irregularly shaped surfaces, the reliable quantitative measurement of diffuse reflectance requires efficient calibration [...] Read more.
Spatial frequency domain imaging (SFDI) is well established in biology and medicine for non-contact, wide-field imaging of optical properties and 3D topography. Especially for turbid media with displaced, tilted or irregularly shaped surfaces, the reliable quantitative measurement of diffuse reflectance requires efficient calibration and correction methods. In this work, we present the implementation of a generic and hardware independent calibration routine for SFDI setups based on the so-called pinhole camera model for both projection and detection. Using a two-step geometric and intensity calibration, we obtain an imaging model that efficiently and accurately determines 3D topography and diffuse reflectance for subsequently measured samples, taking into account their relative distance and orientation to the camera and projector, as well as the distortions of the optical system. Derived correction procedures for position- and orientation-dependent changes in spatial frequency and intensity allow the determination of the effective scattering coefficient μs and the absorption coefficient μa when measuring a spherical optical phantom at three different measurement positions and at nine wavelengths with an average error of 5% and 12%, respectively. Model-based calibration allows the characterization of the imaging properties of the entire SFDI system without prior knowledge, enabling the future development of a digital twin for synthetic data generation or more robust evaluation methods. Full article
(This article belongs to the Special Issue Recent Advances in Optical Imaging and 3D Display Technologies)
Show Figures

Figure 1

23 pages, 13789 KB  
Article
Exploratory Acoustic Investigation of Customizable 3D-Printed Hybrid Acoustic Materials (HAMs) through Interlaboratory Impedance Tube Measurements
by Vaia Tsiokou, Louena Shtrepi, Elena Badino, Arianna Astolfi and Anna Karatza
Acoustics 2023, 5(3), 653-675; https://doi.org/10.3390/acoustics5030040 - 13 Jul 2023
Cited by 6 | Viewed by 6268
Abstract
Acoustic materials are widely used for improving interior acoustics based on their sound absorptive or sound diffusive properties. However, common acoustic materials only offer limited options for customizable geometrical features, performance, and aesthetics. This paper focuses on the sound absorption performance of highly [...] Read more.
Acoustic materials are widely used for improving interior acoustics based on their sound absorptive or sound diffusive properties. However, common acoustic materials only offer limited options for customizable geometrical features, performance, and aesthetics. This paper focuses on the sound absorption performance of highly customizable 3D-printed Hybrid Acoustic Materials (HAMs) by means of parametric stepped thickness, which is used for sound absorption and diffusion. HAMs were parametrically designed and produced using computational design, 3D-printing technology, and feedstock material with adjustable porosity, allowing for the advanced control of acoustic performance through geometry-related sound absorbing/diffusing strategies. The proposed design methodology paves the way to a customizable large-scale cumulative acoustic performance by varying the parametric stepped thickness. The present study explores the challenges posed by the testing of the sound absorption performance of HAMs in an impedance tube. The representativeness of the test samples (i.e., cylindrical sections) with respect to the original (i.e., rectangular) panel samples is contextually limited by the respective impedance tube’s geometrical features (i.e., cylindrical cross-section) and dimensional requirements (i.e., diameter size). To this aim, an interlaboratory comparison was carried out by testing the normal incidence sound absorption of ten samples in two independent laboratories with two different impedance tubes. The results obtained demonstrate a good level of agreement, with HAMs performing better at lower frequencies than expected and behaving like Helmholtz absorbers, as well as demonstrating a frequency shift pattern related to superficial geometric features. Full article
Show Figures

Graphical abstract

11 pages, 2464 KB  
Article
Effect of High-Temperature Paraffin Impregnation on the Properties of the Amorphous Cellulose Region Based on Molecular Dynamics Simulation
by Zening Qu, Wei Wang, Youna Hua and Shilong Cang
Forests 2023, 14(6), 1068; https://doi.org/10.3390/f14061068 - 23 May 2023
Cited by 2 | Viewed by 2399
Abstract
A paraffin–cellulose composite model was created using Materials Studio software, establishing a cellulose chain with a polymerization degree of 20 and paraffin molecules. A theoretical foundation for the research of wood heat treatment was established by explaining the changes in macroscopic qualities, such [...] Read more.
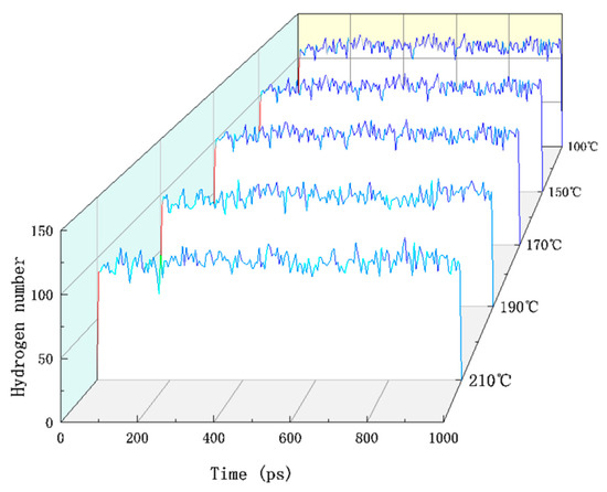
A paraffin–cellulose composite model was created using Materials Studio software, establishing a cellulose chain with a polymerization degree of 20 and paraffin molecules. A theoretical foundation for the research of wood heat treatment was established by explaining the changes in macroscopic qualities, such as mechanical properties, water absorption, etc., from a microscopic point of view. The model tended to a stable state with lower energy through geometric optimization and kinetic relaxation. The dynamics simulation was run based on this condition at a total of five different temperatures: 100 °C, 150 °C, 170 °C, 190 °C, and 210 °C. The energy balance, paraffin molecular diffusion coefficients, cell parameters and densities, hydrogen bonding numbers and mechanical parameters of the paraffin–cellulose composite model were analyzed. The results demonstrated that the paraffin diffusion range increased with temperature, and the paraffin diffusion coefficient was greatest at 210 °C, which also resulted in the maximum cell volume, the lowest density, and the lowest water absorption at this temperature. On the other hand, the paraffin–cellulose hybrid model had the most hydrogen bonds and the most stable system at 100 °C. The mechanical properties of the amorphous cellulose region of wood are influenced by temperature. According to the calculation of Lamé constants, with the system’s temperature rise, Young’s modulus (E) and shear modulus (G) were maximum at 100 °C, indicating the wood’s optimal toughness and plasticity. Poisson’s ratio and K/G values were largest at 210 °C, indicating the optimal toughness and plasticity of wood. The thermal modification of wood under different conditions can not only retain its natural advantages, but also improve its own performance, expand the application range of wood, and increase the utilization rate of wood. Therefore, the appropriate temperature and other conditions can be selected according to the actual needs of the wood heat treatment, which has significant practical significance for the study of wood heat treatment. Full article
(This article belongs to the Section Wood Science and Forest Products)
Show Figures

Figure 1

21 pages, 7527 KB  
Article
Recent Development of Heat and Mass Transport in the Presence of Hall, Ion Slip and Thermo Diffusion in Radiative Second Grade Material: Application of Micromachines
by V. V. L. Deepthi, Maha M. A. Lashin, N. Ravi Kumar, Kodi Raghunath, Farhan Ali, Mowffaq Oreijah, Kamel Guedri, El Sayed Mohamed Tag-ElDin, M. Ijaz Khan and Ahmed M. Galal
Micromachines 2022, 13(10), 1566; https://doi.org/10.3390/mi13101566 - 21 Sep 2022
Cited by 62 | Viewed by 2627
Abstract
This article describes the incompressible two-dimensional heat and mass transfer of an electrically conducting second-grade fluid flow in a porous medium with Hall and ion slip effects, diffusion thermal effects, and radiation absorption effects. It is assumed that the fluid is a gray, [...] Read more.
This article describes the incompressible two-dimensional heat and mass transfer of an electrically conducting second-grade fluid flow in a porous medium with Hall and ion slip effects, diffusion thermal effects, and radiation absorption effects. It is assumed that the fluid is a gray, absorbing–emitting but non-scattering medium and the Rosseland approximation is used to describe the radiative heat flux in the energy equation. It is assumed that the liquid is opaque and absorbs and emits radiation in a manner that does not result in scattering. It is considered an unsteady laminar MHD convective rotating flow of heat-producing or absorbing second-grade fluid across a semi-infinite vertical moving permeable surface. The profiles of velocity components, temperature distribution, and concentration are studied to apply the regular perturbation technique. These profiles are shown as graphs for various fluid and geometric parameters such as Hall and ion slip parameters, radiation absorption, diffusion thermo, Prandtl number, Schmidt number, and chemical reaction rate. On the other hand, the skin friction coefficient and the Nusselt number are determined by numerical evaluation and provided in tables. These tables are then analysed and debated for various values of the flow parameters that regulate it. It may be deduced that an increase in the parameters of radiation absorption, Hall, and ion slip over the fluid region increases the velocity produced. The resulting momentum continually grows to a very high level, with contributions from the thermal and solutal buoyancy forces. The temperature distribution may be more concentrated by raising both the heat source parameter and the quantity of radiation. When one of the parameters for the chemical reaction is increased, the whole fluid area will experience a fall in concentration. Skin friction may be decreased by manipulating the rotation parameter, but the Hall effect and ion slip effect can worsen it. When the parameter for the chemical reaction increases, there is a concomitant rise in the mass transfer rate. Full article
(This article belongs to the Special Issue Heat and Mass Transfer in Micro/Nanoscale)
Show Figures

Figure 1

23 pages, 1079 KB  
Article
Proposal for a Skin Layer-Wise Decomposition Model of Spatially-Resolved Diffuse Reflectance Spectra Based on Maximum Depth Photon Distributions: A Numerical Study
by Victor Colas, Walter Blondel, Grégoire Khairallah, Christian Daul and Marine Amouroux
Photonics 2021, 8(10), 444; https://doi.org/10.3390/photonics8100444 - 14 Oct 2021
Cited by 12 | Viewed by 4221
Abstract
In the context of cutaneous carcinoma diagnosis based on in vivo optical biopsy, Diffuse Reflectance (DR) spectra, acquired using a Spatially Resolved (SR) sensor configuration, can be analyzed to distinguish healthy from pathological tissues. The present contribution aims at studying the depth distribution [...] Read more.
In the context of cutaneous carcinoma diagnosis based on in vivo optical biopsy, Diffuse Reflectance (DR) spectra, acquired using a Spatially Resolved (SR) sensor configuration, can be analyzed to distinguish healthy from pathological tissues. The present contribution aims at studying the depth distribution of SR-DR-detected photons in skin from the perspective of analyzing how these photons contribute to acquired spectra carrying local physiological and morphological information. Simulations based on modified Cuda Monte Carlo Modeling of Light transport were performed on a five-layer human skin optical model with epidermal thickness, phototype and dermal blood content as variable parameters using (i) wavelength-resolved scattering and absorption properties and (ii) the geometrical configuration of a multi-optical fiber probe implemented on an SR-DR spectroscopic device currently used in clinics. Through histograms of the maximum probed depth and their exploitation, we provide numerical evidence linking the characteristic penetration depth of the detected photons to their wavelengths and four source–sensor distances, which made it possible to propose a decomposition of the DR signals related to skin layer contributions. Full article
(This article belongs to the Special Issue Tissue Optics)
Show Figures

Figure 1

29 pages, 14046 KB  
Article
Self-Similarity of Continuous-Spectrum Radiative Transfer in Plasmas with Highly Reflecting Walls
by Alexander B. Kukushkin and Pavel V. Minashin
Symmetry 2021, 13(7), 1303; https://doi.org/10.3390/sym13071303 - 20 Jul 2021
Cited by 4 | Viewed by 2779
Abstract
Radiative Transfer (RT) in a continuous spectrum in plasmas is caused by the emission and absorption of electromagnetic waves (EM) by free electrons. For a wide class of problems, the deviation of the velocity distribution function (VDF) of free electrons from the thermodynamic [...] Read more.
Radiative Transfer (RT) in a continuous spectrum in plasmas is caused by the emission and absorption of electromagnetic waves (EM) by free electrons. For a wide class of problems, the deviation of the velocity distribution function (VDF) of free electrons from the thermodynamic equilibrium, the Maxwellian VDF, can be neglected. In this case, RT in the geometric optics approximation is reduced to a single transport equation for the intensity of EM waves with source and sink functions dependent on the macroscopic parameters of the plasma (temperature and density of electrons). Integration of this equation for RT of radio-frequency EM waves in laboratory plasmas with highly reflecting metallic walls is substantially complicated by the multiple reflections which make the waves with the long free path the dominant contributors to the power balance profile. This in turn makes the RT substantially nonlocal with the spatial–spectral profile of the power balance determined by the spatial integrals of the plasma parameters. The geometric symmetry of the bounding walls, especially when enhanced by the diffuse reflectivity, provides a semi-analytic description of the RT problem. Analysis of the accuracy of such an approach reveals an approximate self-similarity of the power balance profile and the radiation intensity spectrum in both approximate and ab initio modeling. This phenomenon is shown here for a wide range of plasma parameters and wall reflectivity, including data from various numeric codes. The relationship between the revealed self-similarity and the accuracy of numeric codes is discussed. Full article
(This article belongs to the Special Issue New Trends in Plasma Physics)
Show Figures

Figure 1

19 pages, 1966 KB  
Article
Graded and Anisotropic Porous Materials for Broadband and Angular Maximal Acoustic Absorption
by Théo Cavalieri, Jean Boulvert, Gwénaël Gabard, Vicent Romero-García, Marie Escouflaire, Josselin Regnard and Jean-Philippe Groby
Materials 2020, 13(20), 4605; https://doi.org/10.3390/ma13204605 - 16 Oct 2020
Cited by 20 | Viewed by 3333
Abstract
The design of graded and anisotropic materials has been of significant interest, especially for sound absorption purposes. Together with the rise of additive manufacturing techniques, new possibilities are emerging from engineered porous micro-structures. In this work, we present a theoretical and numerical study [...] Read more.
The design of graded and anisotropic materials has been of significant interest, especially for sound absorption purposes. Together with the rise of additive manufacturing techniques, new possibilities are emerging from engineered porous micro-structures. In this work, we present a theoretical and numerical study of graded and anisotropic porous materials, for optimal broadband and angular absorption. Through a parametric study, the effective acoustic and geometric parameters of homogenized anisotropic unit cells constitute a database in which the optimal anisotropic and graded material will be searched for. We develop an optimization technique based on the simplex method that is relying on this database. The concepts of average absorption and diffuse field absorption coefficients are introduced and used to maximize angular acoustic absorption. Numerical results present the optimized absorption of the designed anisotropic and graded porous materials for different acoustic targets. The designed materials have anisotropic and graded effective properties, which enhance its sound absorption capabilities. While the anisotropy largely enhances the diffuse field absorbing when optimized at a single frequency, graded properties appear to be crucial for optimal broadband diffuse field absorption. Full article
(This article belongs to the Special Issue Innovative Composite Materials for Sound Absorption and Insulation)
Show Figures

Figure 1

25 pages, 3958 KB  
Article
The Optical Effective Attenuation Coefficient as an Informative Measure of Brain Health in Aging
by Antonio M. Chiarelli, Kathy A. Low, Edward L. Maclin, Mark A. Fletcher, Tania S. Kong, Benjamin Zimmerman, Chin Hong Tan, Bradley P. Sutton, Monica Fabiani and Gabriele Gratton
Photonics 2019, 6(3), 79; https://doi.org/10.3390/photonics6030079 - 12 Jul 2019
Cited by 10 | Viewed by 6073
Abstract
Aging is accompanied by widespread changes in brain tissue. Here, we hypothesized that head tissue opacity to near-infrared light provides information about the health status of the brain’s cortical mantle. In diffusive media such as the head, opacity is quantified through the Effective [...] Read more.
Aging is accompanied by widespread changes in brain tissue. Here, we hypothesized that head tissue opacity to near-infrared light provides information about the health status of the brain’s cortical mantle. In diffusive media such as the head, opacity is quantified through the Effective Attenuation Coefficient (EAC), which is proportional to the geometric mean of the absorption and reduced scattering coefficients. EAC is estimated by the slope of the relationship between source–detector distance and the logarithm of the amount of light reaching the detector (optical density). We obtained EAC maps across the head in 47 adults (age range 18–75 years), using a high-density dual-wavelength optical system. We correlated regional and global EAC measures with demographic, neuropsychological, structural and functional brain data. Results indicated that EAC values averaged across wavelengths were strongly associated with age-related changes in cortical thickness, as well as functional and neuropsychological measures. This is likely because the EAC largely depends on the thickness of the sub-arachnoid cerebrospinal fluid layer, which increases with cortical atrophy. In addition, differences in EAC values between wavelengths were correlated with tissue oxygenation and cardiorespiratory fitness, indicating that information about cortical health can be derived non-invasively by quantifying the EAC. Full article
(This article belongs to the Special Issue Neurophotonics – Optics for the Brain)
Show Figures

Figure 1

17 pages, 4373 KB  
Article
Validation of an Inverse Fitting Method of Diffuse Reflectance Spectroscopy to Quantify Multi-Layered Skin Optical Properties
by Chiao-Yi Wang, Tzu-Chia Kao, Yin-Fu Chen, Wen-Wei Su, Hsin-Jou Shen and Kung-Bin Sung
Photonics 2019, 6(2), 61; https://doi.org/10.3390/photonics6020061 - 30 May 2019
Cited by 19 | Viewed by 6047
Abstract
Skin consists of epidermis and dermis layers that have distinct optical properties. The quantification of skin optical properties is commonly achieved by modeling photon propagation in tissue using Monte Carlo (MC) simulations and iteratively fitting experimentally measured diffuse reflectance spectra. In order to [...] Read more.
Skin consists of epidermis and dermis layers that have distinct optical properties. The quantification of skin optical properties is commonly achieved by modeling photon propagation in tissue using Monte Carlo (MC) simulations and iteratively fitting experimentally measured diffuse reflectance spectra. In order to speed up the inverse fitting process, time-consuming MC simulations have been replaced by artificial neural networks to quickly calculate reflectance spectra given tissue geometric and optical parameters. In this study the skin was modeled to consist of three layers and different scattering properties of the layers were considered. A new inverse fitting procedure was proposed to improve the extraction of chromophore-related information in the skin, including the hemoglobin concentration, oxygen saturation and melanin absorption. The performance of the new inverse fitting procedure was evaluated on 40 sets of simulated spectra. The results showed that the fitting procedure without knowing the epidermis thickness extracted chromophore information with accuracy similar to or better than fitting with known epidermis thickness, which is advantageous for practical applications due to simpler and more cost-effective instruments. In addition, the melanin volume fraction multiplied by the thickness of the melanin-containing epidermis layer was estimated more accurately than the melanin volume fraction itself. This product has the potential to provide a quantitative indicator of melanin absorption in the skin. In-vivo cuff occlusion experiments were conducted and skin optical properties extracted from the experiments were comparable to the results of previously reported in vivo studies. The results of the current study demonstrated the applicability of the proposed method to quantify the optical properties related to major chromophores in the skin, as well as scattering coefficients of the dermis. Therefore, it has the potential to be a useful tool for quantifying skin optical properties in vivo. Full article
(This article belongs to the Special Issue Biomedical Photonics Advances)
Show Figures

Figure 1

Back to TopTop