Sign in to use this feature.

Years

Between: -

Subjects

remove_circle_outline
remove_circle_outline
remove_circle_outline
remove_circle_outline
remove_circle_outline

Journals

Article Types

Countries / Regions

Search Results (6)

Search Parameters:
Keywords = VvOMT

Order results
Result details
Results per page
Select all
Export citation of selected articles as:
21 pages, 7437 KB  
Article
Transcriptomic Insights into Higher Anthocyanin Accumulation in ‘Summer Black’ Table Grapes in Winter Crop Under Double-Cropping Viticulture System
by Congqiao Wang, Chengyue Li, Youhuan Li, Yue Zeng, Jie Jiang, Linhui Wu, Siyu Yang, Dan Yuan, Lifang Chen, Zekang Pei, Viola Kayima, Haidi Liu, Zhipeng Qiu and Dongliang Qiu
Plants 2025, 14(1), 26; https://doi.org/10.3390/plants14010026 - 25 Dec 2024
Cited by 3 | Viewed by 1311
Abstract
Anthocyanins are responsible for grape (Vitis vinifera L.) skin color. To obtain a more detailed understanding of the anthocyanin regulatory networks across’ the summer and winter seasons in grapes under a double-cropping viticulture system, the transcriptomes of ‘Summer Black’ grapes were analyzed [...] Read more.
Anthocyanins are responsible for grape (Vitis vinifera L.) skin color. To obtain a more detailed understanding of the anthocyanin regulatory networks across’ the summer and winter seasons in grapes under a double-cropping viticulture system, the transcriptomes of ‘Summer Black’ grapes were analyzed using RNA sequencing. The average daily temperature during the harvest stage in the summer crop, ranging from 26.18 °C to 32.98 °C, was higher than that in the winter crop, ranging from 11.03 °C to 23.90 °C. Grapes from the winter crop accumulated a greater content of anthocyanins than those from the summer crop, peaking in the harvest stage (E-L38) with 207.51 mg·100 g−1. Among them, malvidin-3-O-glucoside (Mv-3-G) had the highest monomer content, accounting for 32%. The content of Cy-3-G during winter increased by 55% compared to summer. KEGG analysis indicated that the flavonoid biosynthesis and circadian rhythm—plant pathways are involved in the regulation of anthocyanin biosynthesis during fruit development. Pearson’s coefficient showed significant positive correlations between anthocyanin content and the VvDFR, VvUFGT, VvOMT, VvMYB, and VvbHLH genes in the winter crop; at full veraison stage, their expressions were 1.34, 1.98, 1.28, 1.17, and 1.34 times greater than in summer, respectively. The higher expression of VvUFGT and VvOMT led to higher contents of Cy-3-G and Mv-3-G in the winter berries, respectively. Full article
(This article belongs to the Special Issue Horticultural Plant Cultivation and Fruit Quality Enhancement)
Show Figures

Figure 1

19 pages, 3111 KB  
Article
Impacts of Selenium–Chitosan Treatment on Color of “Red Globe” Grapes during Low-Temperature Storage
by Wei Wang, Yaping Liu, Jianbing Di, Yu Wang, Bing Deng, Jiali Yang, Zezhen Li and Lixin Zhang
Foods 2024, 13(3), 499; https://doi.org/10.3390/foods13030499 - 4 Feb 2024
Cited by 8 | Viewed by 2354
Abstract
Maintaining the vibrant color of fruit is a longstanding challenge in fruit and vegetable preservation. Chitosan and selenium, known for their protective and antioxidant properties, have been applied to preserve these produce. This study aimed to investigate the influence of selenium–chitosan treatment (comprising [...] Read more.
Maintaining the vibrant color of fruit is a longstanding challenge in fruit and vegetable preservation. Chitosan and selenium, known for their protective and antioxidant properties, have been applied to preserve these produce. This study aimed to investigate the influence of selenium–chitosan treatment (comprising 25 mg L−1 selenium and 1.0% chitosan) on the color of “Red Globe” grapes and to analyze the relative expression of genes associated with anthocyanin synthesis enzymes (VvCHS, VvCHI, VvF3H, VvF3′H, VvF3′5′H, VvDFR, VvLDOX, VvUFGT, VvOMT, Vv5GT, and VvGST) using RT-qPCR. Our goal was to uncover the regulatory mechanisms governing grape color. Comparing various treatments, we observed that selenium–chitosan treatment had a significant effect in reducing decay, maintaining the soluble solids content of grape flesh, and preserving the vivid color of grape. This research indicated that selenium–chitosan treatment slowed down browning and prevented the reduction in total phenolic, flavonoids, and anthocyanin in the grape. Moreover, gene expression analysis revealed that selenium–chitosan treatment increased the expression of VvCHS, VvF3H, VvF’3′H, VvLDOX, and Vv5GT, while also stabilized the expression of VvCHI, VvF3′H, and VvDFR in grape skins. These findings shed light on the potential mechanism by which selenium–chitosan impacts grape color. This study established a theoretical foundation for investigating the molecular mechanisms behind selenium–chitosan’s ability to slow down grape browning and provides a novel approach to enhancing fruit and vegetable preservation techniques. Full article
(This article belongs to the Section Food Packaging and Preservation)
Show Figures

Figure 1

13 pages, 4075 KB  
Article
Effect of 2,5-Dicarbonyl-3-Isobutyl-Piperazine on 3-Isobutyl-2-Methoxypyrazine Biosynthesis in Wine Grape
by Yujuan Lei, Zhansheng Ma, Ping Wang, Xuchen Qin, Xueqiang Guan and Zhenwen Zhang
Foods 2023, 12(17), 3258; https://doi.org/10.3390/foods12173258 - 30 Aug 2023
Cited by 2 | Viewed by 1950
Abstract
The metabolic pathway of 3-alkyl-2-methoxypyrazines (MPs) in grape remains largely unclear except for the final step. In this study, the 2,5-dicarbonyl-3-isobutyl-piperazine (DCIP), which is proposed as the key intermediate of 3-isobutyl-2-methoxypyrazine (IBMP) biosynthesis, was incorporated into Cabernet Sauvignon clusters in situ using a [...] Read more.
The metabolic pathway of 3-alkyl-2-methoxypyrazines (MPs) in grape remains largely unclear except for the final step. In this study, the 2,5-dicarbonyl-3-isobutyl-piperazine (DCIP), which is proposed as the key intermediate of 3-isobutyl-2-methoxypyrazine (IBMP) biosynthesis, was incorporated into Cabernet Sauvignon clusters in situ using a soaking method. The IBMP concentration of grape and the expression patterns of VvOMTs in berry skin were monitored over two consecutive years. The results showed that the IBMP concentration of grape treated with DCIP was significantly increased at maturity in both years. The relative expression levels of VvOMT1 and VvOMT3 in berry skin were positively correlated with the IBMP accumulation. After DCIP incorporation, the relative expression level of VvOMT1 and particularly that of VvOMT3 were obviously up-regulated and closely mirrored the IBMP accumulation pattern in two consecutive years. Therefore, we speculate that DCIP may be a key intermediate involved in the biosynthesis of IBMP and plays an important role in regulating IBMP accumulation. Full article
(This article belongs to the Section Food Engineering and Technology)
Show Figures

Figure 1

16 pages, 20053 KB  
Article
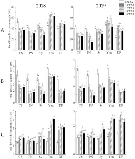
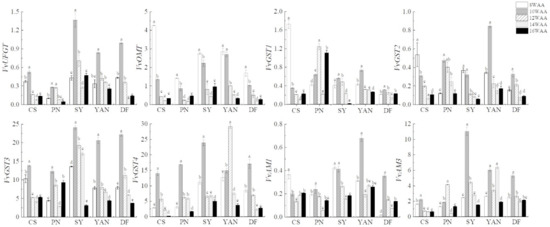
Comparison of Methoxypyrazine Content and Expression Pattern of O-Methyltransferase Genes in Grape Berries and Wines from Six Cultivars (Vitis vinifera L.) in the Eastern Foothill of the Helan Mountain
by Yanxia Zhang, Xiangyi Li, Xufeng Guo, Ning Wang, Kangqi Geng, Dongmei Li and Zhenping Wang
Plants 2022, 11(12), 1613; https://doi.org/10.3390/plants11121613 - 20 Jun 2022
Cited by 10 | Viewed by 3003
Abstract
Methoxypyrazines (MPs) are a unique class of volatile compounds containing nitrogenous heterocyclics that impart green bell, vegetal and herbal odors to red grape berries and wines. In this study, the quality and MPs levels of grape berries from six representative red wine grape [...] Read more.
Methoxypyrazines (MPs) are a unique class of volatile compounds containing nitrogenous heterocyclics that impart green bell, vegetal and herbal odors to red grape berries and wines. In this study, the quality and MPs levels of grape berries from six representative red wine grape varieties were determined in the two consecutive years. The results showed that, at maturity, the highest total soluble solid was observed in Petit Verdot grape berries in the two consecutive years. While the anthocyanin content showed the highest in Marselan berries in 2018, in 2019, Petit Verdot berries had the highest anthocyanin content. Moreover, 2-methoxypyrazine (MOMP), 3-methyl-2-methoxypyrazine (MEMP) and 3-ethyl-2-methoxypyrazine (ETMP) levels were relatively lower, with almost no detectable in berries at maturity. The relative higher 3-isobutyl-2-methoxypyrazine (IBMP) content was observed in Cabernet Sauvignon, Marselan, Merlot, and Malbec berries. However, 3-sec-butyl-2-methoxypyrazine (SBMP) and IBMP were only detected in six wines, and their levels were higher than those in the grape berries. Furthermore, correlation analysis showed that there was a statistically positive correlation between the expression levels of VvOMT1 and VvOMT3 and MPs content in grape berries, while the lowest association was found in the VvOMT2. These findings provide a basis for selecting the most suitable grape varieties to improve wine quality. Full article
(This article belongs to the Special Issue Identification and Bioactivity of Volatile Compounds in Fruits)
Show Figures

Figure 1

16 pages, 4556 KB  
Article
Differences in Anthocyanin Accumulation Profiles between Teinturier and Non-Teinturier Cultivars during Ripening
by Meng-Bo Tian, Lin Yuan, Ming-Yuan Zheng and Zhu-Mei Xi
Foods 2021, 10(5), 1073; https://doi.org/10.3390/foods10051073 - 12 May 2021
Cited by 11 | Viewed by 2611
Abstract
Anthocyanins are vital components of plant secondary metabolites, and are also the most important coloring substances in wine. Teinturier cultivars are rich in anthocyanins. However, the differences in anthocyanin accumulation and profiles between teinturier and non-teinturier cultivars have not been reported. In this [...] Read more.
Anthocyanins are vital components of plant secondary metabolites, and are also the most important coloring substances in wine. Teinturier cultivars are rich in anthocyanins. However, the differences in anthocyanin accumulation and profiles between teinturier and non-teinturier cultivars have not been reported. In this study, Yan 73 and Dunkelfelder were selected as the experimental materials, and three non-teinturier cultivars were used for comparison. LC-MS and qRT-PCR were used to determine the individual anthocyanin contents and the relative gene expression. The results show that the total anthocyanin content of the teinturier cultivars was considerably higher than that in non-teinturier cultivars, and the levels of individual anthocyanins increased gradually during ripening. Lower ratios of modified anthocyanins were found in the teinturier cultivars, which was not only due to the high expression level of VvUFGT and VvGST4, but also due to the relatively low expression of VvOMT in these cultivars. Cluster analysis of gene expression and anthocyanin accumulation showed that VvUFGT is related to anthocyanin accumulation, and that AM1 is related to the synthesis and transport of methylated anthocyanins. Our results will be useful for further clarifying the pathways of anthocyanin synthesis, modification, and transport in teinturier cultivars. Full article
(This article belongs to the Section Food Quality and Safety)
Show Figures

Figure 1

17 pages, 2589 KB  
Article
Rational Design of Resveratrol O-methyltransferase for the Production of Pinostilbene
by Daniela P. Herrera, Andrea M. Chánique, Ascensión Martínez-Márquez, Roque Bru-Martínez, Robert Kourist, Loreto P. Parra and Andreas Schüller
Int. J. Mol. Sci. 2021, 22(9), 4345; https://doi.org/10.3390/ijms22094345 - 21 Apr 2021
Cited by 22 | Viewed by 5409
Abstract
Pinostilbene is a monomethyl ether analog of the well-known nutraceutical resveratrol. Both compounds have health-promoting properties, but the latter undergoes rapid metabolization and has low bioavailability. O-methylation improves the stability and bioavailability of resveratrol. In plants, these reactions are performed by O-methyltransferases (OMTs). [...] Read more.
Pinostilbene is a monomethyl ether analog of the well-known nutraceutical resveratrol. Both compounds have health-promoting properties, but the latter undergoes rapid metabolization and has low bioavailability. O-methylation improves the stability and bioavailability of resveratrol. In plants, these reactions are performed by O-methyltransferases (OMTs). Few efficient OMTs that monomethylate resveratrol to yield pinostilbene have been described so far. Here, we report the engineering of a resveratrol OMT from Vitis vinifera (VvROMT), which has the highest catalytic efficiency in di-methylating resveratrol to yield pterostilbene. In the absence of a crystal structure, we constructed a three-dimensional protein model of VvROMT and identified four critical binding site residues by applying different in silico approaches. We performed point mutations in these positions generating W20A, F24A, F311A, and F318A variants, which greatly reduced resveratrol’s enzymatic conversion. Then, we rationally designed eight variants through comparison of the binding site residues with other stilbene OMTs. We successfully modified the native substrate selectivity of VvROMT. Variant L117F/F311W showed the highest conversion to pinostilbene, and variant L117F presented an overall increase in enzymatic activity. Our results suggest that VvROMT has potential for the tailor-made production of stilbenes. Full article
(This article belongs to the Special Issue Enzymes as Biocatalysts: Current Research Trends and Applications)
Show Figures

Graphical abstract

Back to TopTop